Aerobic Polishing of Liquid Digestate for Preparation of Hydroponic Fertiliser
Abstract
1. Introduction
2. Materials and Methods
2.1. Medium and Medium Preparation
2.2. Polishing Unit Design and Operation
2.3. Analytical Methods
2.4. ngDNA Sequencing
3. Results
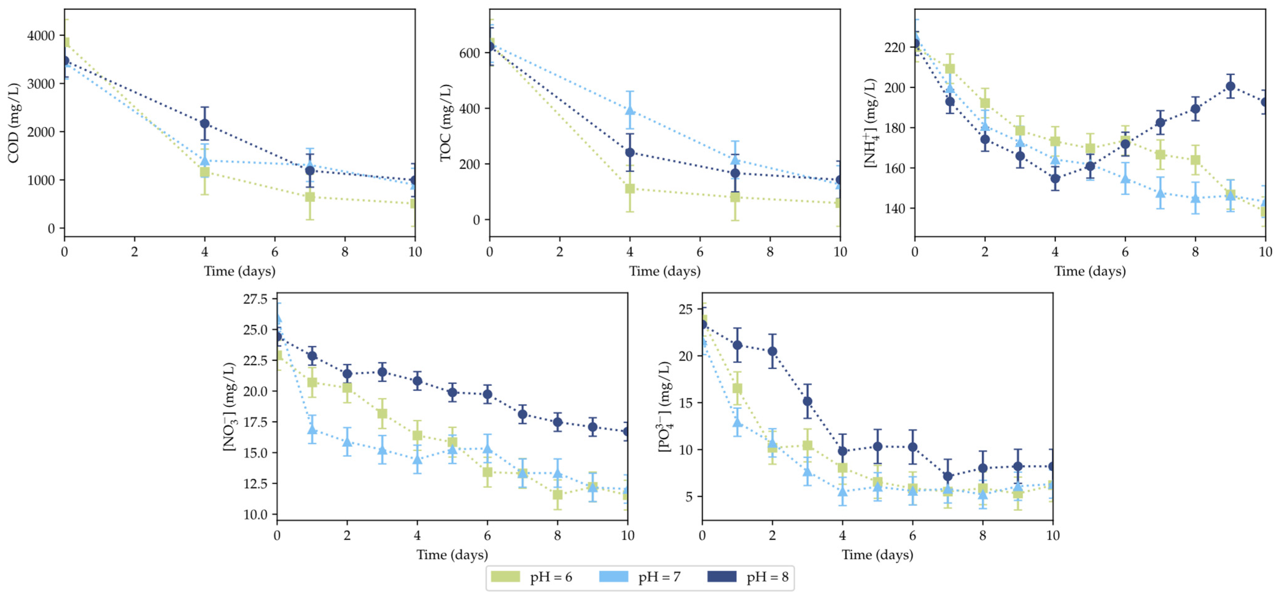
3.1. Repeat Batch Experiments
3.2. Continuous Experiments
3.3. Bacterial Characterisation Using ngDNA Sequencing
| Genus | Heterotrophic | Optimum pH | Applications | Reference |
|---|---|---|---|---|
| Proteiniphilum | Yes | 7.1–7.8 | Facultative anaerobe found in anaerobic digesters | [62,63] |
| Gemmatimonas | Yes | 7.0 | Aerobic bacteria linked to rapid phosphorus removal in wastewater treatment | [54] |
| Planctomicrobium | Yes | 6.0–6.5 | Aquatic aerobe found in wetlands with a preference for organic sugars | [59,64] |
| Aquamicrobium | Yes | 6.5–7.5 | Strictly aerobic marine bacteria capable of reducing nitrate | [61] |
| Luteimonas | Yes | 7.0 | Aerobic bacteria found in wastewater treatment plants capable of increasing nitrogen acquisition | [44,60] |
4. Discussion
5. Conclusions
Supplementary Materials
Author Contributions
Funding
Institutional Review Board Statement
Informed Consent Statement
Data Availability Statement
Conflicts of Interest
Appendix A

References
- Yao, M.; Elling, F.J.; Jones, C.; Nomosatryo, S.; Long, C.P.; Crowe, S.A.; Antoniewicz, M.R.; Hinrichs, K.; Maresca, J.A. Heterotrophic bacteria from an extremely phosphate-poor lake have conditionally reduced phosphorus demand and utilize diverse sources of phosphorus. Environ. Microbiol. 2016, 18, 656–667. [Google Scholar] [CrossRef] [PubMed]
- Mallin, M.A. Effect of Human Land Development on Water Quality. In Handbook of Water Purity and Quality; Elsevier: London, UK, 2019; pp. 67–94. [Google Scholar] [CrossRef]
- Istvánovics, V. Eutrophication of Lakes and Reservoirs. In Encyclopedia of Inland Waters; Elsevier: San Diego, CA, USA, 2009; pp. 157–165. [Google Scholar] [CrossRef]
- Patel, P.; Modi, A.; Minipara, D.; Kumar, A. Microbial biosurfactants in management of organic waste. In Sustainable Environmental Clean-Up: Green Remediation; Elsevier: Amsterdam, The Netherlands, 2021; pp. 211–230. [Google Scholar] [CrossRef]
- Achinas, S.; Achinas, V.; Euverink, G.J.W. Microbiology and biochemistry of anaerobic digesters: An overview. In Bioreactors Sustainable Design and Industrial Applications in Mitigation of GHG Emissions; Elsevier: Amsterdam, The Netherlands, 2020; pp. 17–26. [Google Scholar] [CrossRef]
- Bioenergy, I.E. A Perspective on the State of the Biogas Industry from Selected Member Countries of IEA Bioenergy Task 37. Mar. 2022. Available online: https://www.ieabioenergy.com/blog/publications/a-perspective-on-the-state-of-the-biogas-industry-from-selected-member-countries-of-iea-bioenergy-task-37/ (accessed on 2 August 2023).
- Stoyanov, G. Compost and digestate application in Europe—Quality assurance & standards. In Global Methane Forum; Global Methane Initiative: Washington, DC, USA, 2016. [Google Scholar]
- Association, E.B. Digestate as Driver of the Agroecological Transition in Europe. European Biogas Association. Available online: https://www.europeanbiogas.eu/digestate-as-driver-of-the-agroecological-transition-in-europe/ (accessed on 2 August 2023).
- Halisçelik, E.; Soytas, M.A. Sustainable development from millennium 2015 to Sustainable Development Goals 2030. Sustain. Dev. 2019, 27, 545–572. [Google Scholar] [CrossRef]
- Chadwick, J.J.; Witteveen, A.; Zhang, P.; Lynch, I. Hydroponics and alternative forms of agriculture: Opportunities from nanotechnology. In Nano-Enabled Sustainable and Precision Agriculture; Academic Press: Cambridge, MA, USA, 2023; pp. 259–272. [Google Scholar] [CrossRef]
- Mattson, N.; Lieth, J.H. Liquid Culture Hydroponic System Operation. In Soilless Culture: Theory and Practice Theory and Practice; Elsevier: Amsterdam, The Netherlands, 2019; pp. 567–585. [Google Scholar] [CrossRef]
- Barker, A.V.; Stratton, M.L. Nutrient density of fruit crops as a function of soil fertility. In Fruit Crops: Diagnosis and Management of Nutrient Constraints; Elsevier: Amsterdam, The Netherlands, 2020; pp. 13–31. [Google Scholar] [CrossRef]
- Lind, O.P.; Hultberg, M.; Bergstrand, K.-J.; Larsson-Jönsson, H.; Caspersen, S.; Asp, H. Biogas Digestate in Vegetable Hydroponic Production: pH Dynamics and pH Management by Controlled Nitrification. Waste Biomass-Valorization 2021, 12, 123–133. [Google Scholar] [CrossRef]
- Ronga, D.; Setti, L.; Salvarani, C.; De Leo, R.; Bedin, E.; Pulvirenti, A.; Milc, J.; Pecchioni, N.; Francia, E. Effects of solid and liquid digestate for hydroponic baby leaf lettuce (Lactuca sativa L.) cultivation. Sci. Hortic. 2019, 244, 172–181. [Google Scholar] [CrossRef]
- Bergstrand, K.-J.; Asp, H.; Hultberg, M. Utilizing Anaerobic Digestates as Nutrient Solutions in Hydroponic Production Systems. Sustainability 2020, 12, 10076. [Google Scholar] [CrossRef]
- Weimers, K.; Bergstrand, K.-J.; Hultberg, M.; Asp, H. Liquid Anaerobic Digestate as Sole Nutrient Source in Soilless Horticulture—Or Spiked with Mineral Nutrients for Improved Plant Growth. Front. Plant Sci. 2022, 13, 770179. [Google Scholar] [CrossRef] [PubMed]
- Rizzioli, F.; Bertasini, D.; Bolzonella, D.; Frison, N.; Battista, F. A critical review on the techno-economic feasibility of nutrients recovery from anaerobic digestate in the agricultural sector. Sep. Purif. Technol. 2023, 306, 122690. [Google Scholar] [CrossRef]
- Tuszynska, A.; Wilinska, A.; Czerwionka, K. Phosphorus and nitrogen forms in liquid fraction of digestates from agricultural biogas plants. Environ. Technol. 2021, 42, 3942–3954. [Google Scholar] [CrossRef] [PubMed]
- da Silva, M.E.J.; Mathe, L.O.J.; van Rooyen, I.L.; Brink, H.G.; Nicol, W. Optimal Growth Conditions for Azolla pinnata R. Brown: Impacts of Light Intensity, Nitrogen Addition, pH Control, and Humidity. Plants 2022, 11, 1048. [Google Scholar] [CrossRef]
- Akhiar, A.; Battimelli, A.; Torrijos, M.; Carrere, H. Comprehensive characterization of the liquid fraction of digestates from full-scale anaerobic co-digestion. Waste Manag. 2017, 59, 118–128. [Google Scholar] [CrossRef]
- Sutton, J.C.; Sopher, C.R.; Owen-Going, T.N.; Liu, W.; Grodzinski, B.; Hall, J.C.; Benchimol, R.L. Etiology and epidemiology of Pythium root rot in hydroponic crops: Current knowledge and perspectives. Summa Phytopathol. 2006, 32, 307–321. [Google Scholar] [CrossRef]
- van Rooyen, I.L.; Nicol, W. Nitrogen management in nitrification-hydroponic systems by utilizing their pH characteristics. Environ. Technol. Innov. 2022, 26, 102360. [Google Scholar] [CrossRef]
- van Rooyen, I.L.; Nicol, W. Optimal hydroponic growth of Brassica oleracea at low nitrogen concentrations using a novel pH-based control strategy. Sci. Total. Environ. 2021, 775, 145875. [Google Scholar] [CrossRef]
- Shojaei, S.; Shojaei, S. Optimization of Process Conditions in Wastewater Degradation Process. In Soft Computing Techniques in Solid Waste and Wastewater Management; Elsevier: Amsterdam, The Netherlands, 2021; pp. 381–392. [Google Scholar] [CrossRef]
- Jung, H.; Pauly, D. Water in the Pulp and Paper Industry. Treatise Water Sci. 2011, 4, 667–683. [Google Scholar] [CrossRef]
- Bowman, J.S.; Ducklow, H.W. Bacterioplankton. In Encyclopedia of Ocean Sciences; Elsevier: Amsterdam, The Netherlands, 2019; pp. 500–507. [Google Scholar] [CrossRef]
- Rao, A.S.; Jha, P.; Meena, B.P.; Biswas, A.K.; Lakaria, B.L.; Patra, A.K. Nitrogen Processes in Agroecosystems of India. In The Indian Nitrogen Assessment: Sources of Reactive Nitrogen, Environmental and Climate Effects, Management Options, and Policies; Elsevier: Amsterdam, The Netherlands, 2017; pp. 59–76. [Google Scholar] [CrossRef]
- Youcai, Z. Leachate Treatment Engineering Processes. In Pollution Control Technology for Leachate from Municipal Solid Waste; Butterworth-Heinemann: Oxford, UK, 2018; pp. 361–522. [Google Scholar] [CrossRef]
- Lee, S.; Lee, J. Beneficial bacteria and fungi in hydroponic systems: Types and characteristics of hydroponic food production methods. Sci. Hortic. 2015, 195, 206–215. [Google Scholar] [CrossRef]
- Shabbir, M.A.; Ahmed, W.; Khan, M.R.; Ahmad, T.; Aadil, R.M. Revitalization of wastewater from the edible oil industry. In Valorization of Agri-Food Wastes and By-Products: Recent Trends, Innovations and Sustainability Challenges; Academic Press: Cambridge, MA, USA, 2021; pp. 645–663. [Google Scholar] [CrossRef]
- Gonde, L.; Wickham, T.; Brink, H.G.; Nicol, W. pH-Based Control of Anaerobic Digestion to Maximise Ammonium Production in Liquid Digestate. Water 2023, 15, 417. [Google Scholar] [CrossRef]
- Swart, R.M.; Brink, H.; Nicol, W. Rhizopus oryzae for Fumaric Acid Production: Optimising the Use of a Synthetic Lignocellulosic Hydrolysate. Fermentation 2022, 8, 278. [Google Scholar] [CrossRef]
- Swart, R.M.; le Roux, F.; Naude, A.; de Jongh, N.W.; Nicol, W. Fumarate production with Rhizopus oryzae: Utilising the Crabtree effect to minimise ethanol by-product formation. Biotechnol. Biofuels 2020, 13, 22. [Google Scholar] [CrossRef] [PubMed]
- Hu, J.; Li, D.; Liu, Q.; Tao, Y.; He, X.; Wang, X.; Li, X.; Gao, P. Effect of organic carbon on nitriffication efficiency and community composition of nitrifying bioffilms. J. Environ. Sci. 2009, 21, 387–394. [Google Scholar] [CrossRef]
- Montgomery, D.C. Design and Analysis of Experiments, 8th ed.; John Wiley & Sons, Incorporated: Hoboken, NJ, USA, 2012; Available online: https://books.google.co.za/books?id=XQAcAAAAQBAJ (accessed on 11 November 2023).
- Li, D.; Liu, S. Water Quality Detection for Lakes. In Water Quality Monitoring and Management; Academic Press: Cambridge, MA, USA, 2019; pp. 221–231. [Google Scholar] [CrossRef]
- Ergas, S.J.; Aponte-Morales, V.; Waltham, B.N.R. Biological Nitrogen Removal; Elsevier: Amsterdam, The Netherlands, 2014. [Google Scholar] [CrossRef]
- Wilhelm, F.M. Pollution of Aquatic Ecosystems I. In Encyclopedia of Inland Waters; Elsevier: Amsterdam, The Netherlands, 2009; pp. 110–119. [Google Scholar] [CrossRef]
- Theradimani, M.; Ramamoorthy, V. Advances in microbial management of soil. In Biological Approaches to Controlling Pollutants; Elsevier: Amsterdam, The Netherlands, 2022; pp. 15–27. [Google Scholar] [CrossRef]
- Kirchman, D.L.; Wheeler, P.A. Uptake of ammonium and nitrate by heterotrophic bacteria and phytoplankton in the sub-Arctic Pacific. Deep. Sea Res. Part I Oceanogr. Res. Pap. 1998, 45, 347–365. [Google Scholar] [CrossRef]
- Li, L.; Song, K.; Visvanathan, C. Endogenous respiration process analysis between aMBR and UV/O3-aMBR for polluted surface water treatment. J. Water Supply Res. Technol. 2019, 68, 793–802. [Google Scholar] [CrossRef]
- Stefanakis, A.; Akratos, C.S.; Tsihrintzis, V.A. Treatment Processes in VFCWs. In Vertical Flow Constructed Wetlands; Elsevier: Amsterdam, The Netherlands, 2014; pp. 57–84. [Google Scholar] [CrossRef]
- Jiang, X.; Jiao, N. Nitrate assimilation by marine heterotrophic bacteria. Sci. China Earth Sci. 2016, 59, 477–483. [Google Scholar] [CrossRef]
- Ulrich, K.; Becker, R.; Behrendt, U.; Kube, M.; Schneck, V.; Ulrich, A. Physiological and genomic characterisation of Luteimonas fraxinea sp. nov., a bacterial species associated with trees tolerant to ash dieback. Syst. Appl. Microbiol. 2022, 45, 126333. [Google Scholar] [CrossRef] [PubMed]
- Akpor, O.; Momba, M. The effects of pH and temperature on phosphate and nitrate uptake by wastewater protozoa. Afr. J. Biotechnol. 2008, 7, 13. [Google Scholar]
- Dodds, W.K. Nutrient Use and Remineralization. In Freshwater Ecology; Academic Press: San Diego, CA, USA, 2002; pp. 312–335. [Google Scholar] [CrossRef]
- Rubinstein-Litwak, S. Energy Metabolism. In Encyclopedia of Food Sciences and Nutrition; Elsevier: Amsterdam, The Netherlands, 2003; pp. 2108–2114. [Google Scholar] [CrossRef]
- Garcia-Ochoa, F.; Gomez, E.; Santos, V.E.; Merchuk, J.C. Oxygen uptake rate in microbial processes: An overview. Biochem. Eng. J. 2010, 49, 289–307. [Google Scholar] [CrossRef]
- Schmidt, S.K.; Alexander, M.; Shuler, M.L. Predicting threshold concentrations of organic substrates for bacterial growth. J. Theor. Biol. 1985, 114, 1–8. [Google Scholar] [CrossRef]
- Biselli, E.; Schink, S.J.; Gerland, U. Slower growth of Escherichia coli leads to longer survival in carbon starvation due to a decrease in the maintenance rate. Mol. Syst. Biol. 2020, 16, e9478. [Google Scholar] [CrossRef] [PubMed]
- Vos, T.; Hakkaart, X.D.V.; de Hulster, E.A.F.; van Maris, A.J.A.; Pronk, J.T.; Daran-Lapujade, P. Maintenance-energy requirements and robustness of Saccharomyces cerevisiae at aerobic near-zero specific growth rates. Microb. Cell Factories 2016, 15, 1–20. [Google Scholar] [CrossRef] [PubMed]
- Hoagland, D.R.; Arnon, D.I. The water-culture method for growing plants without soil. Circular. Calif. Agric. Exp. Stn. 1950, 347, 32. [Google Scholar]
- Li, H.; Cheng, Z. Hoagland nutrient solution promotes the growth of cucumber seedlings under light-emitting diode light. Acta Agric. Scand. Sect. B—Soil Plant Sci. 2015, 65, 74–82. [Google Scholar] [CrossRef]
- Zhang, H.; Sekiguchi, Y.; Hanada, S.; Hugenholtz, P.; Kim, H.; Kamagata, Y.; Nakamura, K. Gemmatimonas aurantiaca gen. nov., sp. nov., a Gram-negative, aerobic, polyphosphate-accumulating micro-organism, the first cultured representative of the new bacterial phylum Gemmatimonadetes phyl. nov. Int. J. Syst. Evol. Microbiol. 2003, 53, 1155–1163. [Google Scholar] [CrossRef] [PubMed]
- Finkel, O.M.; Salas-González, I.; Castrillo, G.; Spaepen, S.; Law, T.F.; Teixeira, P.J.P.L.; Jones, C.D.; Dangl, J.L. The effects of soil phosphorus content on plant microbiota are driven by the plant phosphate starvation response. PLoS Biol. 2019, 17, e3000534. [Google Scholar] [CrossRef]
- Roopnarain, A.; Akindolire, M.A.; Rama, H.; Ndaba, B. Casting Light on the Micro-Organisms in Digestate: Diversity and Untapped Potential. Fermentation 2023, 9, 160. [Google Scholar] [CrossRef]
- Megonigal, J.P.; Hines, M.E.; Visscher, P.T. Anaerobic Metabolism: Linkages to Trace Gases and Aerobic Processes. In Treatise on Geochemistry, 2nd ed.; Elsevier: Amsterdam, The Netherlands, 2014; Volume 10, pp. 273–359. [Google Scholar] [CrossRef]
- Nassal, D.; Spohn, M.; Eltlbany, N.; Jacquiod, S.; Smalla, K.; Marhan, S.; Kandeler, E. Effects of phosphorus-mobilizing bacteria on tomato growth and soil microbial activity. Plant Soil 2018, 427, 17–37. [Google Scholar] [CrossRef]
- Dedysh, S.; Ivanova, A.; Kulichevskaya, I. Planctomicrobium. In Bergey’s Manual of Systematics of Archaea and Bacteria; John Wiley & Sons, Inc.: Hoboken, NJ, USA, 2022; pp. 1–7. [Google Scholar] [CrossRef]
- Siddiqi, M.Z.; Yeon, J.M.; Choi, H.; Lee, J.H.; Kim, S.Y.; Wee, J.-H.; Im, W.T. Luteimonas granuli sp. nov., Isolated from Granules of the Wastewater Treatment Plant. Curr. Microbiol. 2020, 77, 2002–2007. [Google Scholar] [CrossRef] [PubMed]
- Jin, H.M.; Kim, J.M.; Jeon, C.O. Aquamicrobium aestuarii sp. nov., a marine bacterium isolated from a tidal flat. Int. J. Syst. Evol. Microbiol. 2013, 63, 4012–4017. [Google Scholar] [CrossRef]
- Yi, J.; Dong, B.; Jin, J.; Dai, X. Effect of Increasing Total Solids Contents on Anaerobic Digestion of Food Waste under Mesophilic Conditions: Performance and Microbial Characteristics Analysis. PLoS ONE 2014, 9, e102548. [Google Scholar] [CrossRef]
- Hahnke, S.; Langer, T.; Koeck, D.E.; Klocke, M. Description of Proteiniphilum saccharofermentans sp. nov., Petrimonas mucosa sp. nov. and Fermentimonas caenicola gen. nov., sp. nov., isolated from mesophilic laboratory-scale biogas reactors, and emended description of the genus Proteiniphilum. Int. J. Syst. Evol. Microbiol. 2016, 66, 1466–1475. [Google Scholar] [CrossRef]
- Kulichevskaya, I.S.; Ivanova, A.A.; Detkova, E.N.; Rijpstra, W.I.C.; Damsté, J.S.S.; Dedysh, S.N. Planctomicrobium piriforme gen. nov., sp. nov., a stalked planctomycete from a littoral wetland of a boreal lake. Int. J. Syst. Evol. Microbiol. 2015, 65, 1659–1665. [Google Scholar] [CrossRef]
- Chicco, D.; Warrens, M.J.; Jurman, G. The coefficient of determination R-squared is more informative than SMAPE, MAE, MAPE, MSE and RMSE in regression analysis evaluation. PeerJ Comput. Sci. 2021, 7, e623. [Google Scholar] [CrossRef]
- Dubber, D.; Gray, N.F. Replacement of chemical oxygen demand (COD) with total organic carbon (TOC) for monitoring wastewater treatment performance to minimize disposal of toxic analytical waste. J. Environ. Sci. Health Part A 2010, 45, 1595–1600. [Google Scholar] [CrossRef]




| Component | Concentration (mg/L) |
|---|---|
| COD | 3627.7 ± 177.4 |
| TOC | 631.1 ± 5.4 |
| NH4+ | 235.6 ± 22.7 |
| NO3− | 24.2 ± 1.2 |
| PO43− | 24.3 ± 2.5 |
| Concentration (mg/day) | |||
|---|---|---|---|
| Component | τ = 7.38 | τ = 3.18 | τ = 1.63 |
| COD | 511.88 | 1187.59 | 2319.42 |
| TOC | 87.75 | 203.59 | 397.61 |
| NH4+ | 32.18 | 74.65 | 145.79 |
| NO3− | 3.51 | 8.14 | 15.9 |
| PO43− | 3.36 | 7.8 | 15.24 |
Disclaimer/Publisher’s Note: The statements, opinions and data contained in all publications are solely those of the individual author(s) and contributor(s) and not of MDPI and/or the editor(s). MDPI and/or the editor(s) disclaim responsibility for any injury to people or property resulting from any ideas, methods, instructions or products referred to in the content. |
© 2024 by the authors. Licensee MDPI, Basel, Switzerland. This article is an open access article distributed under the terms and conditions of the Creative Commons Attribution (CC BY) license (https://creativecommons.org/licenses/by/4.0/).
Share and Cite
Mathe, L.O.J.; Ramsumer, S.; Brink, H.G.; Nicol, W. Aerobic Polishing of Liquid Digestate for Preparation of Hydroponic Fertiliser. Sustainability 2024, 16, 4077. https://doi.org/10.3390/su16104077
Mathe LOJ, Ramsumer S, Brink HG, Nicol W. Aerobic Polishing of Liquid Digestate for Preparation of Hydroponic Fertiliser. Sustainability. 2024; 16(10):4077. https://doi.org/10.3390/su16104077
Chicago/Turabian StyleMathe, Lebani Oarabile Joy, Simira Ramsumer, Hendrik Gideon Brink, and Willie Nicol. 2024. "Aerobic Polishing of Liquid Digestate for Preparation of Hydroponic Fertiliser" Sustainability 16, no. 10: 4077. https://doi.org/10.3390/su16104077
APA StyleMathe, L. O. J., Ramsumer, S., Brink, H. G., & Nicol, W. (2024). Aerobic Polishing of Liquid Digestate for Preparation of Hydroponic Fertiliser. Sustainability, 16(10), 4077. https://doi.org/10.3390/su16104077

