Enhanced Nitrate Nitrogen Removal from Wastewater Using Modified Reed Straw: Adsorption Performance and Resource Utilization
Abstract
1. Introduction
2. Materials and Methods
2.1. Materials
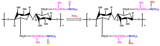
2.2. Synthesis of MRS
2.3. Experimental Procedure
2.3.1. Characterization of MRS
2.3.2. Batch Adsorption
2.4. Dynamic Experiment
2.4.1. Dynamic Adsorption and Desorption
2.4.2. Dynamic Adsorption Modeling
Thomas Model
Yoon–Nelson Model
2.5. Capitalizing on Resources
3. Results and Discussion
3.1. Physicochemical Characterization of MRS
3.2. Adsorption Characteristics
3.3. Dynamic Adsorption and Desorption of MRS
3.3.1. Dynamic Adsorption Experiment
3.3.2. Dynamic Model Fitting
Thomas Model
Yoon–Nelson Model
3.3.3. Desorption Experiment
3.4. Nitrate Nitrogen Resource Utilization
3.4.1. Desorbent Resource Utilization
3.4.2. Effects of Desorbing Solutions on Plants
4. Conclusions
Author Contributions
Funding
Institutional Review Board Statement
Informed Consent Statement
Data Availability Statement
Conflicts of Interest
References
- Ma, L.; Hu, L.; Feng, X.; Wang, S. Nitrate and Nitrite in Health and Disease. Aging Dis. 2018, 9, 938. [Google Scholar] [CrossRef]
- Ackerman, D.; Millet, D.B.; Chen, X. Global Estimates of Inorganic Nitrogen Deposition across Four Decades. Glob. Biogeochem. Cycles 2019, 33, 100–107. [Google Scholar] [CrossRef]
- Liu, J.; Su, J.; Ali, A.; Wang, Z.; Chen, C.; Xu, L. Role of Porous Polymer Carriers and Iron-Carbon Bioreactor Combined Micro-Electrolysis and Biological Denitrification in Efficient Removal of Nitrate from Wastewater under Low Carbon to Nitrogen Ratio. Bioresour. Technol. 2021, 321, 124447. [Google Scholar] [CrossRef]
- Li, R.; Feng, C.; Hu, W.; Xi, B.; Chen, N.; Zhao, B.; Liu, Y.; Hao, C.; Pu, J. Woodchip-Sulfur Based Heterotrophic and Autotrophic Denitrification (WSHAD) Process for Nitrate Contaminated Water Remediation. Water Res. 2016, 89, 171–179. [Google Scholar] [CrossRef] [PubMed]
- Priya, E.; Kumar, S.; Verma, C.; Sarkar, S.; Maji, P.K. A Comprehensive Review on Technological Advances of Adsorption for Removing Nitrate and Phosphate from Waste Water. J. Water Process Eng. 2022, 49, 103159. [Google Scholar] [CrossRef]
- Li, M.; Gu, H.; Lam, S.S.; Sonne, C.; Peng, W. Deposition-Mediated Phytoremediation of Nitrogen Oxide Emissions. Environ. Pollut. 2022, 308, 119706. [Google Scholar] [CrossRef] [PubMed]
- Zhan, Q.; Stratmann, C.N.; van der Geest, H.G.; Veraart, A.J.; Brenzinger, K.; Lürling, M.; de Senerpont Domis, L.N. Effectiveness of Phosphorus Control under Extreme Heatwaves: Implications for Sediment Nutrient Releases and Greenhouse Gas Emissions. Biogeochemistry 2021, 156, 421–436. [Google Scholar] [CrossRef]
- Sun, J.; Liu, L.; Yang, F. Electro-Enhanced Chlorine-Mediated Ammonium Nitrogen Removal Triggered by an Optimized Catalytic Anode for Sustainable Saline Wastewater Treatment. Sci. Total Environ. 2021, 776, 146035. [Google Scholar] [CrossRef] [PubMed]
- Abbach, W.; Laghlimi, C.; Isaad, J. Amine-Grafted Pomegranate Peels for the Simultaneous Removal of Nitrate and Phosphate Anions from Wastewater. Sustainability 2023, 15, 13991. [Google Scholar] [CrossRef]
- Schindler, D.W.; Carpenter, S.R.; Chapra, S.C.; Hecky, R.E.; Orihel, D.M. Reducing Phosphorus to Curb Lake Eutrophication Is a Success. Environ. Sci. Technol. 2016, 50, 8923–8929. [Google Scholar] [CrossRef]
- Dai, Y.; Wang, W.; Lu, L.; Yan, L.; Yu, D. Utilization of Biochar for the Removal of Nitrogen and Phosphorus. J. Clean. Prod. 2020, 257, 120573. [Google Scholar] [CrossRef]
- Du, R.; Peng, Y.; Ji, J.; Shi, L.; Gao, R.; Li, X. Partial Denitrification Providing Nitrite: Opportunities of Extending Application for Anammox. Environ. Int. 2019, 131, 105001. [Google Scholar] [CrossRef] [PubMed]
- Fernandez, M.E.; Nunell, G.V.; Bonelli, P.R.; Cukierman, A.L. Activated Carbon Developed from Orange Peels: Batch and Dynamic Competitive Adsorption of Basic Dyes. Ind. Crops Prod. 2014, 62, 437–445. [Google Scholar] [CrossRef]
- Shi, Q.; Zhang, S.; Xie, M.; Christodoulatos, C.; Meng, X. Competitive Adsorption of Nitrate, Phosphate, and Sulfate on Amine-Modified Wheat Straw: In-Situ Infrared Spectroscopic and Density Functional Theory Study. Environ. Res. 2022, 215, 114368. [Google Scholar] [CrossRef] [PubMed]
- Mei, Y.; Xu, J.; Zhang, Y.; Li, B.; Fan, S.; Xu, H. Effect of Fe–N Modification on the Properties of Biochars and Their Adsorption Behavior on Tetracycline Removal from Aqueous Solution. Bioresour. Technol. 2021, 325, 124732. [Google Scholar] [CrossRef]
- Liu, Y.; Zhang, X.; Wang, J. A Critical Review of Various Adsorbents for Selective Removal of Nitrate from Water: Structure, Performance and Mechanism. Chemosphere 2022, 291, 132728. [Google Scholar] [CrossRef]
- Hu, W.; Wang, L.; Zhu, K.; Wu, F.; Qiao, H.; Li, Y. Facile Copolymerization Synthesis of Vinylimidazole/Dibromodecane/Vinylpyridine Polymer with High Capacity for Selective Adsorption of Nitrate from Water. J. Water Process Eng. 2022, 49, 103052. [Google Scholar] [CrossRef]
- Rezania, S.; Park, J.; Rupani, P.F.; Darajeh, N.; Xu, X.; Shahrokhishahraki, R. Phytoremediation Potential and Control of Phragmites Australis as a Green Phytomass: An Overview. Environ. Sci. Pollut. Res. 2019, 26, 7428–7441. [Google Scholar] [CrossRef] [PubMed]
- Stipniece-Jekimova, A.A.; Teirumnieka, E.; Blumberga, D. When Reed Application Is Sustainable. Environ. Clim. Technol. 2022, 26, 697–707. [Google Scholar] [CrossRef]
- Wang, J.; Yan, L.; Ren, Q.; Fan, L.; Zhang, F.; Shi, Z. Facile Hydrothermal Treatment Route of Reed Straw-Derived Hard Carbon for High Performance Sodium Ion Battery. Electrochim. Acta 2018, 291, 188–196. [Google Scholar] [CrossRef]
- Qi, K.; Song, M.; Xie, X.; Wen, Y.; Wang, Z.; Wei, B.; Wang, Z. CQDs/Biochar from Reed Straw Modified Z-Scheme MgIn2S4/BiOCl with Enhanced Visible-Light Photocatalytic Performance for Carbamazepine Degradation in Water. Chemosphere 2022, 287, 132192. [Google Scholar] [CrossRef] [PubMed]
- Liu, N.; Wu, C.; Lyu, G.; Li, M. Efficient Adsorptive Removal of Short-Chain Perfluoroalkyl Acids Using Reed Straw-Derived Biochar (RESCA). Sci. Total Environ. 2021, 798, 149191. [Google Scholar] [CrossRef] [PubMed]
- Liu, G.; Zheng, H.; Zhai, X.; Wang, Z. Characteristics and Mechanisms of Microcystin-LR Adsorption by Giant Reed-Derived Biochars: Role of Minerals, Pores, and Functional Groups. J. Clean. Prod. 2018, 176, 463–473. [Google Scholar] [CrossRef]
- Song, R.; Yang, S.; Xu, H.; Wang, Z.; Chen, Y.; Wang, Y. Adsorption Behavior and Mechanism for the Uptake of Fluoride Ions by Reed Residues. Int. J. Environ. Res. Public Health 2018, 15, 101. [Google Scholar] [CrossRef] [PubMed]
- Amiri, M.J.; Khozaei, M.; Gil, A. Modification of the Thomas Model for Predicting Unsymmetrical Breakthrough Curves Using an Adaptive Neural-Based Fuzzy Inference System. J. Water Health 2019, 17, 25–36. [Google Scholar] [CrossRef] [PubMed]
- Li, H.; He, J.; Chen, K.; Shi, Z.; Li, M.; Guo, P.; Wu, L. Dynamic Adsorption of Sulfamethoxazole from Aqueous Solution by Lignite Activated Coke. Materials 2020, 13, 1785. [Google Scholar] [CrossRef] [PubMed]
- Xu, X.; Gao, B.; Yue, Q.; Li, Q.; Wang, Y. Nitrate Adsorption by Multiple Biomaterial Based Resins: Application of Pilot-Scale and Lab-Scale Products. Chem. Eng. J. 2013, 234, 397–405. [Google Scholar] [CrossRef]
- Namasivayam, C.; Sureshkumar, M.V. Removal of Chromium(VI) from Water and Wastewater Using Surfactant Modified Coconut Coir Pith as a Biosorbent. Bioresour. Technol. 2008, 99, 2218–2225. [Google Scholar] [CrossRef] [PubMed]
- Sun, X.; Yang, L.; Li, Q.; Zhao, J.; Li, X.; Wang, X.; Liu, H. Amino-Functionalized Magnetic Cellulose Nanocomposite as Adsorbent for Removal of Cr(VI): Synthesis and Adsorption Studies. Chem. Eng. J. 2014, 241, 175–183. [Google Scholar] [CrossRef]
- Ren, Z.; Xu, X.; Wang, X.; Gao, B.; Yue, Q.; Song, W.; Zhang, L.; Wang, H. FTIR, Raman, and XPS Analysis during Phosphate, Nitrate and Cr(VI) Removal by Amine Cross-Linking Biosorbent. J. Colloid Interface Sci. 2016, 468, 313–323. [Google Scholar] [CrossRef]
- Oliveira, C.S.; Airoldi, C. Pyridine Derivative Covalently Bonded on Chitosan Pendant Chains for Textile Dye Removal. Carbohydr. Polym. 2014, 102, 38–46. [Google Scholar] [CrossRef] [PubMed]
- Oyervides-Muñoz, E.; Pollet, E.; Ulrich, G.; de Jesús Sosa-Santillán, G.; Avérous, L. Original Method for Synthesis of Chitosan-Based Antimicrobial Agent by Quaternary Ammonium Grafting. Carbohydr. Polym. 2017, 157, 1922–1932. [Google Scholar] [CrossRef] [PubMed]
- Song, W. Adsorption of Nitrate from Aqueous Solution by Magnetic Amine-Crosslinked Biopolymer Based Corn Stalk and Its Chemical Regeneration Property. J. Hazard. Mater. 2016, 304, 280–290. [Google Scholar] [CrossRef] [PubMed]
- Zhang, L.; Meng, F.; Song, W.; Ren, X.; Wang, J.; Cai, X.; Li, X.; Li, Y.; Yan, L. Enhanced Selective Removal of Phosphate in the Presence of High-Strength Nitrate Using Straw-Based Anion Imprinted Biosorbent. J. Environ. Chem. Eng. 2022, 10, 108060. [Google Scholar] [CrossRef]
- Wang, X.; Lü, S.; Gao, C.; Feng, C.; Xu, X.; Bai, X.; Gao, N.; Yang, J.; Liu, M.; Wu, L. Recovery of Ammonium and Phosphate from Wastewater by Wheat Straw-Based Amphoteric Adsorbent and Reusing as a Multifunctional Slow-Release Compound Fertilizer. ACS Sustain. Chem. Eng. 2016, 4, 2068–2079. [Google Scholar] [CrossRef]
- Katal, R.; Baei, M.S.; Rahmati, H.T.; Esfandian, H. Kinetic, Isotherm and Thermodynamic Study of Nitrate Adsorption from Aqueous Solution Using Modified Rice Husk. J. Ind. Eng. Chem. 2012, 18, 295–302. [Google Scholar] [CrossRef]
- Zhang, H.; Li, C.; Chen, X.; Fu, H.; Chen, Y.; Ning, S.; Fujita, T.; Wei, Y.; Wang, X. Layered Ammonium Vanadate Nanobelt as Efficient Adsorbents for Removal of Sr2+ and Cs+ from Contaminated Water. J. Colloid Interface Sci. 2022, 615, 110–123. [Google Scholar] [CrossRef] [PubMed]
- Wang, T.; Wang, J.; Wu, C.; Zhao, M.; Ge, T. Disturbance-Rejection Control for the Hover and Transition Modes of a Negative-Buoyancy Quad Tilt-Rotor Autonomous Underwater Vehicle. Appl. Sci. 2018, 8, 2459. [Google Scholar] [CrossRef]
- Wang, B.; Qu, Q.; Lu, Z.; Li, F. Adsorption Effect of Modified Aquatic Plants on Nitrate and Phosphate in Water. Ecol. Sci. 2017, 36, 108–113. [Google Scholar] [CrossRef]
- Wang, B.; Ye, C.; Li, F.; Qu, Q.; Chen, X. Study on Adsorption Regularity of Nitrate Nitrogen by Aquatic Plant-made Biochar. Chin. J. Environ. Sci. 2017, 37, 116–122. [Google Scholar]
- He, K.; Jiang, Y.; Zhou, L.; Han, M.; Jin, J. Experimental Study on Adsorption of Nitrogen and Phosphorus in Initial Rainfall by Iron-modified Biochar. Environ. Sci. Technol. 2022, 45, 78–86. [Google Scholar] [CrossRef]
- Du, Q.; Chen, Y. Research Progress on Modified Zeolite Treatment of Nitrate in Water. Appl. Chem. Ind. 2023, 52, 1830–1835. [Google Scholar] [CrossRef]
- Ahmad, A.A.; Hameed, B.H. Fixed-Bed Adsorption of Reactive Azo Dye onto Granular Activated Carbon Prepared from Waste. J. Hazard. Mater. 2010, 175, 298–303. [Google Scholar] [CrossRef]
- Kundu, S.; Gupta, A.K. Analysis and Modeling of Fixed Bed Column Operations on as(V) Removal by Adsorption onto Iron Oxide-Coated Cement (IOCC). J. Colloid Interface Sci. 2005, 290, 52–60. [Google Scholar] [CrossRef]
- Martín-Lara, M.A.; Blázquez, G.; Trujillo, M.C.; Pérez, A.; Calero, M. New Treatment of Real Electroplating Wastewater Containing Heavy Metal Ions by Adsorption onto Olive Stone. J. Clean. Prod. 2014, 81, 120–129. [Google Scholar] [CrossRef]
- Silva, M.A.G.D.; Muniz, A.S.; Mannigel, A.R.; Porto, S.M.A.; Marchetti, M.E.; Nolla, A.; Grannemann, I. Monitoring and Evaluation of Need for Nitrogen Fertilizer Topdressing for Maize Leaf Chlorophyll Readings and the Relationship with Grain Yield. Braz. Arch. Biol. Technol. 2011, 54, 665–674. [Google Scholar] [CrossRef]
- Wierzbowska, J.; Wierzbowska, J.; Żuk-Gołaszewska, K. The Impact of Nitrogen Fertilization and Rhizobium Inoculation on the Yield and Quality of Trigonella foenum-graecum L. J. Elem. 2014, 19, 1109–1117. [Google Scholar] [CrossRef]









| Material | RS | MRS | MRS-N |
|---|---|---|---|
| Zeta potential/mV | −21.2 | +40.2 | +9.3 |
| Pseudo-First-Order | Pseudo-Second-Order | |||||
|---|---|---|---|---|---|---|
| qe (mg·g−1) | K1 (min−1) | R2 | qe (mg·g−1) | K2 (g·(mg·min)−1) | R2 | |
| 20 mg/L | 2.44 | 5.25 | 0.994 | 2.45 | 8.47 | 0.998 |
| 50 mg/L | 4.79 | 3.95 | 0.997 | 4.85 | 2.66 | 0.999 |
| 100 mg/L | 12.11 | 5.93 | 0.998 | 12.16 | 3.35 | 0.999 |
| Langmuir | Freundlich | |||||
|---|---|---|---|---|---|---|
| qmax (mg·g−1) | KL | R2 | n | KF | R2 | |
| 288 (k) | 8.54 | 0.139 | 0.976 | 2.29 | 1.69 | 0.998 |
| 298 (k) | 8.43 | 0.143 | 0.976 | 2.43 | 1.78 | 0.996 |
| 308 (k) | 8.76 | 0.122 | 0.976 | 2.31 | 1.66 | 0.997 |
| Absorbent | Maximum Adsorption Capacity (mg/g) | Removal Rate |
|---|---|---|
| CPB-modified zeolite [42] | 4.70 | / |
| Modified cattail biochar [39] | 5.56 | 56% |
| Modified reed [40] | 4.24 | 47% |
| Iron-modified biochar [41] | 4.49 | / |
| present study | 8.54 | 80% |
| Column Height (cm) | Initial Flow Rate (mL/min) | Initial Concentration (mg/L) | Kth (mL/min/mg) | qe (mg/g) | R2 |
|---|---|---|---|---|---|
| 1.1 | 5 | 50 | 1.35 | 14.37 | 0.932 |
| 2.2 | 5 | 50 | 2.57 | 14.39 | 0.949 |
| 3.3 | 5 | 50 | 1.66 | 13.81 | 0.993 |
| 2.2 | 3 | 50 | 1.02 | 13.76 | 0.939 |
| 2.2 | 7 | 50 | 2.66 | 13.34 | 0.996 |
| 2.2 | 5 | 20 | 1.47 | 13.92 | 0.981 |
| 2.2 | 5 | 80 | 1.50 | 13.92 | 0.945 |
| Column Height (cm) | Initial Flow Rate (mL/min) | Initial Concentration (mg/L) | KYN (min−1) | Τ (min) | R2 |
|---|---|---|---|---|---|
| 1.1 | 5 | 50 | 0.0673 | 57.49 | 0.932 |
| 2.2 | 5 | 50 | 0.1284 | 115.09 | 0.949 |
| 3.3 | 5 | 50 | 0.0829 | 165.78 | 0.993 |
| 2.2 | 3 | 50 | 0.0508 | 183.45 | 0.939 |
| 2.2 | 7 | 50 | 0.1328 | 76.24 | 0.996 |
| 2.2 | 5 | 20 | 0.0293 | 278.37 | 0.981 |
| 2.2 | 5 | 80 | 0.1198 | 69.61 | 0.945 |
Disclaimer/Publisher’s Note: The statements, opinions and data contained in all publications are solely those of the individual author(s) and contributor(s) and not of MDPI and/or the editor(s). MDPI and/or the editor(s) disclaim responsibility for any injury to people or property resulting from any ideas, methods, instructions or products referred to in the content. |
© 2024 by the authors. Licensee MDPI, Basel, Switzerland. This article is an open access article distributed under the terms and conditions of the Creative Commons Attribution (CC BY) license (https://creativecommons.org/licenses/by/4.0/).
Share and Cite
Zhang, H.; Yang, Z.; Tian, J.; Liu, C.; Qin, Z. Enhanced Nitrate Nitrogen Removal from Wastewater Using Modified Reed Straw: Adsorption Performance and Resource Utilization. Sustainability 2024, 16, 4001. https://doi.org/10.3390/su16104001
Zhang H, Yang Z, Tian J, Liu C, Qin Z. Enhanced Nitrate Nitrogen Removal from Wastewater Using Modified Reed Straw: Adsorption Performance and Resource Utilization. Sustainability. 2024; 16(10):4001. https://doi.org/10.3390/su16104001
Chicago/Turabian StyleZhang, Haodong, Zhan Yang, Jiawang Tian, Changyi Liu, and Zhe Qin. 2024. "Enhanced Nitrate Nitrogen Removal from Wastewater Using Modified Reed Straw: Adsorption Performance and Resource Utilization" Sustainability 16, no. 10: 4001. https://doi.org/10.3390/su16104001
APA StyleZhang, H., Yang, Z., Tian, J., Liu, C., & Qin, Z. (2024). Enhanced Nitrate Nitrogen Removal from Wastewater Using Modified Reed Straw: Adsorption Performance and Resource Utilization. Sustainability, 16(10), 4001. https://doi.org/10.3390/su16104001
