Employing Plant Parasitic Nematodes as an Indicator for Assessing Advancements in Landfill Remediation
Abstract
1. Introduction
2. Materials and Methods
2.1. Study Site
2.2. Collecting Samples
2.3. Nematodes Analysis
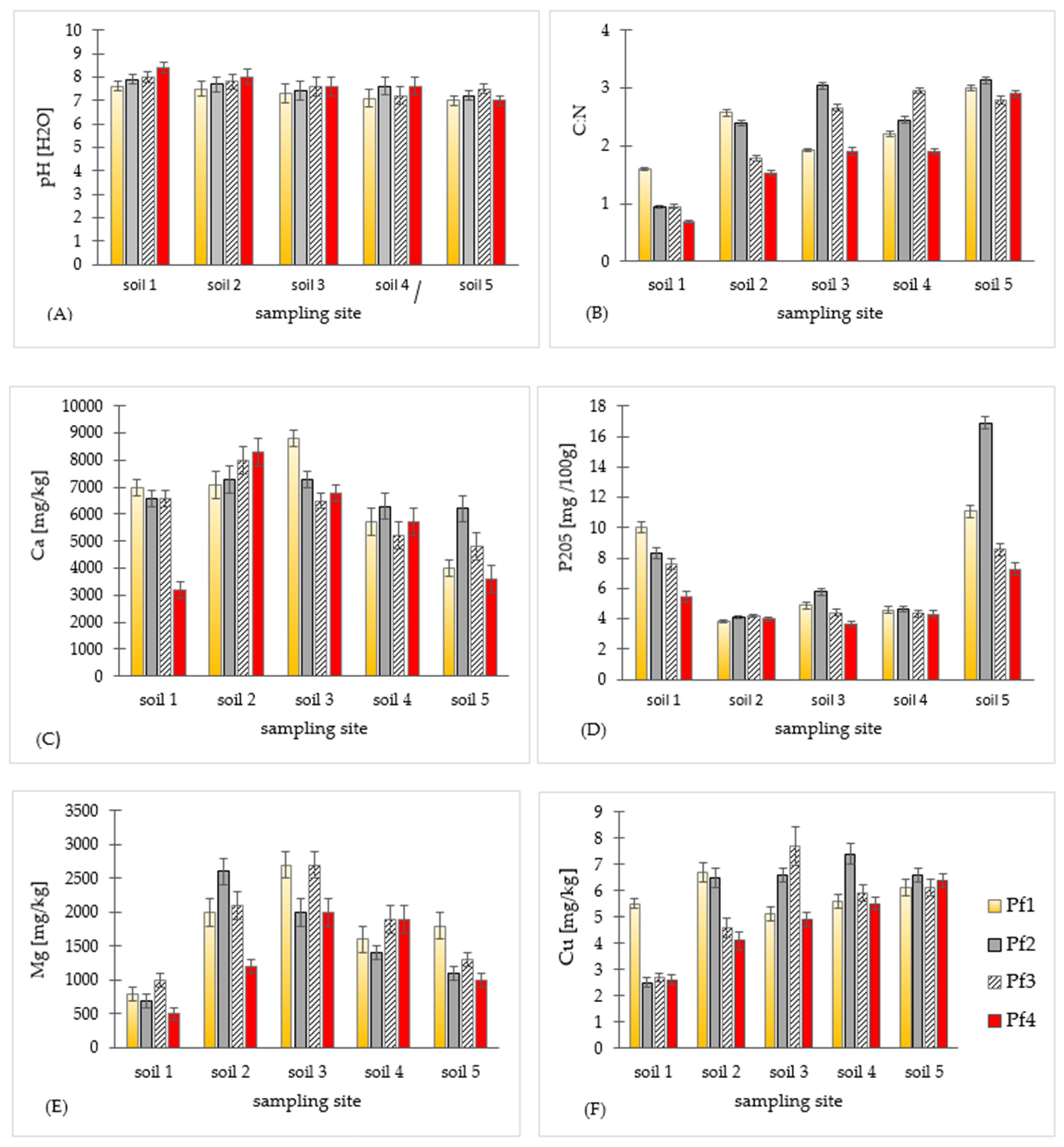
2.4. Soil Chemical Analysis
2.5. Statistical Analysis
3. Results and Discussion
4. Conclusions
Author Contributions
Funding
Institutional Review Board Statement
Informed Consent Statement
Data Availability Statement
Conflicts of Interest
References
- Bardgett, R. The Biology of Soil: A Community and Ecosystem Approach; Biology of Habitats: Oxford, UK, 2005. [Google Scholar] [CrossRef]
- Freckman, D.W.; Ettema, C.H. Assessing nematode communities in agroecosystems of varying human intervention. Agric. Ecosyst. Environ. 1993, 45, 239–261. [Google Scholar] [CrossRef]
- Bongers, T.; Ferris, H. Nematode community structure as a bioindicator in environmental monitoring. Trends Ecol. Evol. 1999, 14, 224–228. [Google Scholar] [CrossRef] [PubMed]
- Huang, J.; Huang, T.; Chen, J.; Li, G.; Wang, Z.; Huo, N. Nematode Community Characteristics Indicate Soil Restoration under Different Revegetation Approaches in the Semiarid Area of the Chinese Loess Plateau. Forests 2023, 14, 1886. [Google Scholar] [CrossRef]
- Paul, E.A. Soil Microbiology, Ecology, and Biochemistry, 3rd ed.; Academic Press: Amsterdam, The Netherlands, 2007. [Google Scholar]
- Andrássy, I. Free-living Nematodes of Hungary (Nematoda errantia). In I. Pedozoolo-gia Hungarica, Taxonomic, Zoogeographic and Faunistic Studies on the Soil Animals, Seriesno. 3; Hungarian Natural History Museum and Systematic Zoology Research Group of the Hungarian Academy of Sciences: Budapest, Hungary, 2005; p. 518. Available online: https://books.google.pl/books/about/Free_living_Nematodes_of_Hungary.html?id=MjdMygAACAAJ&redir_esc=y (accessed on 1 December 2023).
- Hugot, J.P.; Baujard, P.; Morand, S. Biodiversity in helminthes and nematodes as a field of study: An overview. Nematology 2001, 3, 199–208. Available online: https://horizon.documentation.ird.fr/exl-doc/pleins_textes/pleins_textes_7/b_fdi_59-60/010026034.pdf (accessed on 1 December 2023). [CrossRef]
- Bardgett, R.D.; van der Putten, W.H. Belowground biodiversity and ecosystem functioning. Nature 2014, 515, 505–511. [Google Scholar] [CrossRef] [PubMed]
- van den Hoogen, J.; Geisen, S.; Routh, D.; Ferris, H.; Traunspurger, W.; Wardle, D.A.; de Goede, R.G.M.; Adams, B.J.; Ahmad, W.; Andriuzzi, W.S.; et al. Soil nematode abundance and functional group composition at a global scale. Nature 2019, 572, 194–198. [Google Scholar] [CrossRef]
- Biswal, D. Nematodes as Ghosts of Land Use Past: Elucidating the Roles of Soil Nematode Community Studies as Indicators of Soil Health and Land Management Practices. Appl. Biochem. Biotechnol. 2022, 194, 2357–2417. [Google Scholar] [CrossRef]
- Ilieva-Makulec, K. Soil nematodes in the Skaryszewki Park in Warsaw—Community density and diversity in two habitats. Stud. Ecol. Bioethicae 2015, 13, 119–133. [Google Scholar] [CrossRef]
- Caixeta, L.B.; Pereira, T.J.; Castañeda, E.N.; Cares, J.E. Nematode communities as indicators of the status of a soil ecosystem influencedby mining practices in Brazil. Nematology 2016, 18, 265–276. [Google Scholar] [CrossRef]
- Skwiercz, A.T. Occurrence of Plant Parasitic Nematodes in Peat Soils in Poland. Roczn. Nauk Rol. Ser. A 1987, 17, 337–343. Available online: https://www.researchgate.net/publication/266136747_Occurrence_of_plant_parasitic_nematodes_in_peat_soils_in_Poland_Roczn_Nauk_roln_seria_E_T17_2337-343 (accessed on 1 December 2023).
- Skwiercz, A.T. Plant Parasitic Nematodes in the Peat Soils in Poland. Part I. Biocenotic analyse. Rocz. Nauk Rol. Ser. E 1989, 19, 91–99. Available online: https://www.researchgate.net/publication/266136890_Plant_parasitic_nematodes_in_the_peat_soils_in_Poland_Part_I_Biocenotic_analyse_Roczn_Nauk_roln_E_191291-99 (accessed on 1 December 2023).
- Skwiercz, A.T. Plant Parasitic Nematodes in the Peat Soils in Poland. Part II. Frequency of occurrence and population density in different chemical properties of peat. Rocz. Nauk Rol. Ser. E 1989, 19, 101–111. Available online: https://pascal-francis.inist.fr/vibad/index.php?action=getRecordDetail&idt=6545303 (accessed on 1 December 2023).
- Manzanilla-López, R.H.; Marbán-Mendoza, N. Practical Plant Nematology; Biblioteca Básica de Agricultura: Guadalajara, Mexico, 2012; pp. 1–876. Available online: https://books.google.pl/books/about/Practical_Plant_Nematology.html?id=qguungEACAAJ&redir_esc=y (accessed on 1 December 2023).
- Zapałowska, A.; Skwiercz, A.T.; Kopeć, M. Fauna nicieni pasożytniczych jako wskaźnik antropopresji środowiska glebowego. In Technologiczno-Ekonomiczne Aspekty Rolnictwa; Uniwersytet Rzeszowski: Rzeszów, Poland, 2019; pp. 107–117. Available online: https://bazawiedzy.uwm.edu.pl/info/article/UWMea81863fce874cb7a252eac9d8014372/ (accessed on 1 December 2023).
- Landfill Reclamation. Available online: https://www.epa.gov/sites/default/files/2016-03/documents/land-rcl.pdf (accessed on 22 April 2024).
- Stachowski, P.; Kraczkowska, K.; Oliskiewicz-Krzywicka, A.; Rolbiecki, S.; Rolbiecki, R. Irrigation in the Reclamation of Municipal Waste Landfills. Rocz. Ochr. Sr. 2019, 21, 472–480. [Google Scholar]
- Majewski, K.A. The Reclamation of a Municipal Waste Landfill—Grudziądz Case Study. Civ. Environ. Eng. Rep. 2021, 31, 106–117. [Google Scholar] [CrossRef]
- Dietrich, P.; Cesarz, S.; Liu, T.; Roscher, C.; Eisenhauer, N. Effects of plant species diversity on nematode community composition and diversity in a long-term biodiversity experiment. Oecologia 2021, 197, 297–311. [Google Scholar] [CrossRef]
- van Bezooijen, J. Methods and Techniques for Nematology; Wageningen University: Wageningen, The Netherlands, 2006. [Google Scholar]
- Yeates, G.W.; Bongers, T.; De Goede, R.G.M.; Freckman, D.W.; Georgieva, S.S. Feedeing Habits in Soil Nematde Families and Genera An Outline for Soil Ecologists. J. Nematol. 1993, 25, 315–331. [Google Scholar]
- Brzeski, M.W. Nematodes of Tylenchinain Poland and Temperate Europe; Muzeum i Instytutu Zoologii: Warszawa, Poland, 1998; p. 397. Available online: https://miiz.waw.pl/pl/wydawnictwa/spis-artykulow/19-serie-wydawnicze-ksiki-dvd/597-nematodes (accessed on 1 December 2023).
- Bongers, T. The Maturity Index: An ecological measure of environmental disturbance based on nematode species composition. Oecologia 1990, 83, 14–19. [Google Scholar] [CrossRef]
- Bongers, T.; Goede, R.G.M.; Korthals, G.; Yeates, G.W. Proposed changes of c-p classification for nematodes. Russ. J. Nematol. 1995, 3, 61–62. Available online: https://www.russjnematology.com/Articles/rjn31/Bongers_c-p_classification.pdf (accessed on 1 December 2023).
- Ferris, H.; Bongers, T.; de Goede, R. A Framework for Soil Food Web Diagnostics: Extension of the Nematode Faunal Analysis Concept. Appl. Soil Ecol. 2001, 18, 13–29. [Google Scholar] [CrossRef]
- Addinsoft XLSTAT Statistical Software for Excel. 2020. Available online: https://www.xlstat.com (accessed on 1 December 2023).
- Wang, C.; Bruening, G.; Williamson, V.M. Determination of preferred pH for root-knot nematode aggregation using Pluronic F-127 gel. J. Chem. Ecol. 2009, 35, 1242–1251. [Google Scholar] [CrossRef]
- Norton, D.C. Abiotic soil factors and plant–parasitic nematode communities. J. Nematol. 1989, 21, 299–307. [Google Scholar]
- Cadet, P.; Thioulouse, J.; Albrecht, A. Relationships between ferrisol properties and the structure of plant-parasitic nematode communities on sugarcane in Martinique (French West Indies). Acta Oecologica 1994, 15, 767–780. [Google Scholar]
- Korthals, G.W.; Bongers, T.; Kammenga, J.E.; Alexiev, A.D.; Lexmond, T.M. Long-term effects of copper and pH on the nematode community in an agroecosystem. Environ. Toxicol. Chem. 1996, 15, 979–985. [Google Scholar]
- Neher, D.A. Nematode communities in organically and conventionally managed agricultural soils. J. Nematol. 1999, 31, 142–154. [Google Scholar]
- Mulder, C.; Zwart, D.D.; Van Wijnen, H.J.; Schouten, A.J.; Breure, A.M. Observational and simulated evidence of ecological shifts within the soil nematode community of agroecosystems under conventional and organic farming. Funct. Ecol. 2003, 17, 516–525. [Google Scholar] [CrossRef]
- Wang, K.H.; McSorley, R.; Gallaher, R.N. Relationship of soil management history and nutrient status to nematode community structure. Nematropica 2004, 34, 83–95. [Google Scholar]
- Boyd, C.E. Carbon-Nitrogen Ratio Management. 2009. Available online: https://www.globalseafood.org/advocate/carbon-nitrogen-ratio-management/ (accessed on 1 December 2023).
- Grzyb, A.; Wolna-Maruwka, A.; Niewiadomska, A. Environmental Factors Affecting the Mineralization of Crop Residues. Agronomy 2020, 10, 1951. [Google Scholar] [CrossRef]
- Qiao, N.; Xu, X.; Hu, Y.; Blagodatskaya, E.; Liu, Y.; Schaefer, D.; Kuzyakov, Y. Carbon and nitrogen additions induce distinct priming effects along an organic-matter decay continuum. Sci. Rep. 2016, 6, 19865. [Google Scholar] [CrossRef]
- Ferris, H.; Venette, R.C.; Scow, K. Soil management to enhance bacterivore and fungivore nematode populations and their nitrogen mineralisation function. Appl. Soil Ecol. 2004, 25, 19–35. [Google Scholar] [CrossRef]
- Widmer, T.L.; Mitkowski, N.A.; Abawi, G.S. Soil organic matter and management of plant-parasitic nematodes. J. Nematol. 2002, 34, 289–295. [Google Scholar] [PubMed]
- Mokrini, F.; Laasli, S.E.; Karra, Y.; El Aissami, A.; Dababat, A.A. Diversity and incidence of plant-parasitic nematodes associated with saffron (Crocus sativus L.) in Morocco and their relationship with soil physicochemical properties. Nematology 2019, 22, 87–102. [Google Scholar] [CrossRef]
- Benjlil, H.; Elkassemi, K.; Hamza, M.A.; Mateille, T.; Furze, J.N.; Cherifi, K.; Ferji, Z. Plant-parasitic nematodes parasitizing saffron in Morocco: Structuring drivers and biological risk identification. Appl. Soil Ecol. 2020, 147, 103362. [Google Scholar] [CrossRef]
- Hominick, B. Nematodes. In Proceedings of the International Workshop Tropical Soil Biology: Opportunities and Challenges for African Agriculture, Nairobi, Kenya, 14–23 March 1999. [Google Scholar]
- Qi, Y.; Hu, C. Soil nematode abundance in relation to diversity in different farming management system. World J. Agric. Sci. 2007, 3, 587–592. [Google Scholar]
- Barros, P.A.; Pedrosa, E.M.R.; de Oliveira Cardoso, M.S.; Rolim, M.M. Relationship between soil organic matter and nematodes in sugarcane fields. Semin. Ciências Agrárias 2017, 38, 551–560. [Google Scholar] [CrossRef]
- Papatheodorou, E.M.; Argyropoulou, M.D.; Stamou, G.P. The effects of large and small-scale differences in soil temperature and moisture on bacterial functional diversity and the community of bacterivorous nematodes. Appl. Soil Ecol. 2004, 25, 37–49. [Google Scholar] [CrossRef]
- Berry, S.; Cadet, P.; Spaull, V.W. Effect of certain cultural practices on nematode management in a small scale farming system. Proc. S. Afr. Sugar Technol. 2005, 79, 149–164. [Google Scholar]
- Oteifa, B.A. Nitrogen source of the host nutrition in relation to infection by a root-knot nematode, Meloidogyne incognita. Plant Dis. Rep. 1955, 39, 902–903. [Google Scholar]
- Yeates, G.W. Effect of fertiliser treatment and stocking rate on pasture nematode populations in a yellow-grey earth. N. Z. J. Agric. Res. 1976, 19, 405–408. [Google Scholar] [CrossRef]
- Georgieva, S.S.; McGrath, S.P.; Hooper, D.J.; Chambers, B.S. Nematode communities under stress: The long-term effects of heavy metals in soil treated with sewage sludge. Appl. Soil Ecol. 2002, 20, 27–42. [Google Scholar] [CrossRef]
- Camerini, G.; Groppali, R. Landfill restoration and biodiversity: A case of study in Northern Italy. Waste Manag. Res. 2014, 32, 782–790. [Google Scholar] [CrossRef] [PubMed]
- Keesstra, S.; Nunes, J.; Novara, A.; Finger, D.; Avelar, D.; Kalantari, Z.; Cerdà, A. The superior effect of nature based solutions in land management for enhancing ecosystem services. Sci. Total Environ. 2018, 610–611, 997–1009. [Google Scholar] [CrossRef]
- Chen, X.-W.; Wong, J.T.F.; Leung, A.O.W.; Ng, C.W.W.; Wong, M.H. Comparison of plant and bacterial communities between a subtropical landfill topsoil 15 years after restoration and a natural area. Waste Manag. 2017, 63, 49–57. [Google Scholar] [CrossRef]
- Vaverková, M.D.; Radziemska, M.; Bartoň, S.; Cerdà, A.; Koda, E. The use of vegetation as a natural strategy for landfill restoration. Land Degrad. Dev. 2018, 29, 3674–3680. [Google Scholar] [CrossRef]
- Koda, E. Geośrodowiskowe aspekty rekultywacji składowisk odpadów. Inżynieria Morska Geotech. 2009, 3, 134–151. Available online: https://yadda.icm.edu.pl/baztech/element/bwmeta1.element.baztech-article-BWM4-0020-0072 (accessed on 1 December 2023).
- Neher, D.A. Role of nematodes in soil health and their use as indicators. J. Nematol. 2001, 33, 161–168. Available online: https://www.ncbi.nlm.nih.gov/pmc/articles/PMC2620512/pdf/161.pdf (accessed on 1 December 2023).
- Neher, D.A. Ecology of plant and free-living nematodes in natural and agricultural soil. Annu. Rev. Phytopathol. 2010, 48, 371–394. [Google Scholar] [CrossRef]
- Yeates, G.W.; Bongers, T. Nematode diversity in agroecosystems. In Invertebrate Biodiversity as Bioindicators of Sustainable Landscapes; Elsevier: Amsterdam, The Netherlands, 1999; pp. 113–135. [Google Scholar] [CrossRef]
- Yeates, G. Nematodes as soil indicators: Functional and biodiversity aspects. Biol. Fertil. Soils 2003, 37, 199–210. Available online: https://www.scirp.org/(S(lz5mqp453edsnp55rrgjct55))/reference/referencespapers.aspx?referenceid=743990 (accessed on 1 December 2023). [CrossRef]
- Dąbrowski, D. Nematofauna Rezerwatu Mszar w Olsztynie. Praca Inzynierska Wykonana w Uniwersytecie Warmińsko-Mazurskim w Olsztynie Pod Kierunkiem Dr Andrzeja T. Skwiercza. 2010. Available online: https://www.researchgate.net/publication/266374603_Nematofauna_rezerwatu_Mszar_w_Olsztynie_Praca_inzynierska_wykonana_pod_kierunkiem_dr_inz_Andrzeja_T_Skwiercza (accessed on 1 December 2023).
- Winiszewska, G.; Dmowska, E.; Chałańska, A.; Dobosz, R.; Kornobis, F.; Ilieva-Makulec, K.; Skwiercz, A.; Wolny, S.; Ishage, E. Nematodes associated with plant growth inhibition in the Wielkopolska region. J. Plant Prot. Res. 2012, 52, 440–446. [Google Scholar] [CrossRef]
- Dobies, T.; Kuźnicki, J. Nicienie (nematoda, tylenchida) w Szkółce Leśnej Nadleśnictwa Ełk [Nematodes (Nematoda, Tylenchida) in the nursery of the Ełk forest division]. Acta Sci. Pol. Silv. 2021, 20, 115–120. [Google Scholar] [CrossRef]
- Skwiercz, A.T. Nematodes (Nematoda) in Polish forests. I. Species inhabiting soils in nurseries. J. Plant Prot. Res. 2012, 52, 169–179. [Google Scholar] [CrossRef]
- Skwiercz, A.; Zapałowska, A.; Flis, Ł.; Koc-Jurczyk, J.; Jurczyk, Ł.; Litwińczuk, W.; Puchalski, C. Plant parasitic nematodes on Paulownia tomentosa in Poland. J. Hortic. Res. 2022, 30, 31–40. [Google Scholar] [CrossRef]
- Alasmary, Z.; Todd, T.; Hettiarachchi, G.M.; Stefanovska, T.; Pidlisnyuk, V.; Roozeboom, K.; Erickson, L.; Davis, L.; Zhukov, O. Effect of Soil Treatments and Amendments on the Nematode Community under Miscanthus Growing in a Lead Contaminated Military Site. Agronomy 2020, 10, 1727. [Google Scholar] [CrossRef]
- Zapałowska, A.; Skwiercz, A.T. Populations of parasitic nematodes colonizing Jerusalem artichoke (Helianthus tuberosus L.). Acta Soc. Bot. Pol. 2018, 87, 3578. [Google Scholar] [CrossRef]
- Yeates, G.W. The diversity of soil nematode faunas. Pedobiologia 1970, 10, 104–107. [Google Scholar] [CrossRef]
- Freckman, D.W. Bacterivorous nematodes and organic-matter decomposition. Agric. Ecosyst. Environ. 1988, 24, 195–217. [Google Scholar] [CrossRef]
- Wasilewska, L. Soil invertebrates as bioindicators, with special reference to soil-inhabiting nematodes. Russ. J. Nematol. 1997, 5, 113–126. [Google Scholar]
- Dynowska, M.; Ciecierska, H. Biologiczne Metody Oceny Stanu Środowiska. T. 1, Ekosystemy Lądowe. Olsztyn: Mantis. 2013. Available online: https://integro.bs.katowice.pl/32503350690/ksiazka/biologiczne-metody-oceny-stanu-srodowiska?bibFilter=3 (accessed on 1 December 2023).
- Matczyszyn, J.N. Nematodes in the Wild: Community Ecology and the Search for Cryptic Species within the Family Criconematidae. Ph.D. Dissertation, University of Nebraska–Lincoln, Lincoln, NE, USA, 2015. Available online: https://digitalcommons.unl.edu/dissertations/AAI22616431 (accessed on 1 December 2023).
- Stamou, G.P.; Argyropoulou, M.D.; Rodriguez-Polo, I.; Boutsis, G.; Kapagianni, P.; Papatheodorou, E.M. A Case Study of Nematode Communities’ Dynamics along Successional Paths in the Reclaimed Landfill. Diversity 2020, 12, 274. [Google Scholar] [CrossRef]
- Fitoussi, N.; Pen-Mouratov, S.; Steinberger, Y. Soil free-living nematodes as bio-indicators for assaying the invasive effect of the alien plant Heterotheca subaxillaris in a coastal dune ecosystem. Appl. Soil Ecol. 2016, 102, 1–9. [Google Scholar] [CrossRef]
- Lu, Q.; Liu, T.; Wang, N.; Dou, Z.; Wang, K.; Zuo, Y. A review of soil nematodes as biological indicators for the assessment of soil health. Front. Agr. Sci. Eng. 2020, 7, 275–281. [Google Scholar] [CrossRef]
- Sanchez-Moreno, S.; Ferris, H. Nematode ecology and soil health. In Plant Parasitic Nematodes in Subtropical and Tropical Agriculture, 3rd ed.; Sikora, R.A., Coyne, D., Hallmann, J., Timper, P., Eds.; CABI: Wallingford, UK, 2018; Chapter 3; pp. 62–86. [Google Scholar] [CrossRef]
- Wasilewska, L. Changes in the structure of the soil nematode community over long-term secondary grassland succession in drained fen peat. Appl. Soil Ecol. 2006, 32, 165–179. [Google Scholar] [CrossRef]
- Mateille, T.; Tavoillot, J.; Martiny, B.; Fargette, M. Importance of soil characteristics for plant-parasitic nematode communities in European coastal foredunes. Eur. J. Soil Biol. 2014, 64, 53–60. [Google Scholar] [CrossRef]
- Renčo, M.; Murín, J. Soil Nematode Assemblages in Natural European Peatlands of the Horná Orava Protected Landscape Area, Slovakia. Wetlands 2013, 33, 459–470. [Google Scholar] [CrossRef]





| Sampling Site | ||||||
|---|---|---|---|---|---|---|
| 1 | 2 | 3 | 4 | 5 | p-Value | |
| Total number | 480 ± 47 | 555 ± 178 | 608 ± 139 | 628 ± 236 | 647 ± 360 | 0.82 |
| Bacterivores | 161 ± 20 | 132 ± 11 | 137 ± 22 | 141 ± 13 | 173 ± 18 | 0.88 |
| Fungivores | 57 ± 10 | 30 ± 9 | 39 ± 12 | 30 ± 20 | 30 ± 12 | 0.56 |
| Plant parasites | 123 ± 12 | 259 ± 31 | 347 ± 42 | 346 ± 33 | 343 ± 47 | 0.19 |
| Predators | 107 ± 14 | 83 ± 25 | 44 ± 18 | 72 ± 31 | 59 ± 14 | 0.41 |
| Omnivores | 31 ± 8 | 52 ± 12 | 41 ± 11 | 38 ± 10 | 43 ± 17 | 0.78 |
| Genus/Species | Sampling Site | ||||||
|---|---|---|---|---|---|---|---|
| P-p Class (c-p Value) | 1 | 2 | 3 | 4 | 5 | p-Value | |
| Trichodorus cylindricus | 3 | 6.0 ± 3.0 b | 3.0 ± 1.0 ab | 2.0 ± 1.0 a | 1.0 ± 1.0 a | 0.0 a | 0.001 |
| Paratrichodorus pachydermus | 3 | 2.0 ± 0.0 a | 3.0 ± 1.0 a | 4.0 ± 1.0 a | 2.0 ± 3.0 a | 6.0 ± 4.0 a | 0.258 |
| Longidorus attenuatus | 3 | 4.0 ± 1.0 bc | 2.0 ± 1.0 ab | 6.0 ± 2.0 c | 2.0 ± 2.0 ab | 0.0 a | 0.002 |
| Criconemoides informis | 3 | 15.0 ± 8.0 a | 47.0 ± 13.0 ab | 64.0 ± 20.0 b | 52.0 ± 13.0 ab | 44.0 ± 28.0 ab | 0.045 |
| Mesocriconema spp. | 3 | 7.0 ± 7.0 a | 28.0 ± 5.0 ab | 49.0 ± 19.0 b | 32.0 ± 11.0 ab | 40.0 ± 24.0 ab | 0.027 |
| Paratylenchus projectus | 3 | 22.0 ± 15.0 a | 35.0 ± 6.0 a | 45.0 ± 10.0 a | 29.0 ± 10.0 a | 28.0 ± 13.0 a | 0.168 |
| Bitylenchus bryobius | 3 | 5.0 ± 5.0 a | 4.0 ± 4.0 a | 4.0 ± 4.0 a | 3.0 ± 1.0 a | 16.0 ± 9.0 b | 0.047 |
| Bitylenchus dubius | 3 | 5.0 ± 2.0 a | 10.0 ± 5.0 a | 10.0 ± 4.0 a | 8.0 ± 2.0 a | 10.0 ± 5.0 a | 0.527 |
| Bitylenchus maximus | 3 | 3.0 ± 1.0 a | 11.0 ± 6.0 ab | 9.0 ± 2.0 ab | 13.0 ± 4.0 b | 8.0 ± 4.0 ab | 0.039 |
| Geocenamus quadrifer | 5 | 5.0 ± 2.0 a | 6.0 ± 1.0 a | 11.0 ± 5.0 a | 8.0 ± 1.0 a | 8.0 ± 2.0 a | 0.187 |
| Merlinius nothus | 3 | 5.0 ± 3.0 a | 6.0 ± 2.0 a | 8.0 ± 2.0 a | 7.0 ± 1.0 a | 9.0 ± 1.0 a | 0.201 |
| Loofia thienemanni | 3 | 1.0 ± 1.0 a | 7.0 ± 7.0 a | 17.0 ± 7.0 a | 44.0 ± 34.0 a | 77.0 ± 19.0 a | 0.156 |
| Hemicycliophora triangulum | 4 | 2.0 ± 2.0 a | 4.0 ± 3.0 a | 12.0 ± 5.0 a | 42.0 ± 32.0 a | 53.0 ± 17.0 a | 0.164 |
| Helicotylenchus digonicus | 2 | 7.0 ± 4.0 a | 20.0 ± 18.0 a | 16.0 ± 5.0 a | 17.0 ± 5.0 a | 13.0 ± 3.0 a | 0.486 |
| Helicotylenchus pseudorobustus | 3 | 8.0 ± 5.0 a | 30.0 ± 26.0 a | 21.0 ± 8.0 a | 23.0 ± 8.0 a | 11.0 ± 1.0 a | 0.256 |
| Pratylenchus crenatus | 4 | 14.0 ± 3.0 a | 37.0 ± 24.0 a | 53.0 ± 40.0 a | 43.0 ± 2.0 a | 38.0 ± 7.0 a | 0.269 |
| Sampling Site | Pf | Lead (Pb) (mg/kg) | Chrome (Cr) (mg/kg) | Nickel (Ni) (mg/kg) | Cadmium (Cd) (mg/kg) | Zinc (Zn) (mg/kg) | Mercury (Hg) (mg/kg) |
|---|---|---|---|---|---|---|---|
| Soil 1 | 1 | <8.0 | <10 | <5.0 | <0.3 | 21.00 ± 1.98 | 0.02 ± 0.00 |
| 2 | <8.0 | 37.00 ± 3.02 | <5.0 | <0.3 | <10 | <0.01 | |
| 3 | <8.0 | 24.00 ± 2.01 | <5.0 | <0.3 | 11.00 ± 0.91 | <0.01 | |
| 4 | <8.0 | <10 | <5.0 | <0.3 | <10 | <0.01 | |
| Soil 2 | 1 | <8.0 | <10 | 8.00 ± 0.61 | <0.3 | 23.00 ± 2.88 | 0.02 ± 0.00 |
| 2 | <8.0 | 29.00 ± 2.03 | 8.30 ± 0.65 | <0.3 | 23.00 ± 2.88 | 0.02 ± 0.00 | |
| 3 | <8.0 | 18.00 ± 1.98 | 5.80 ± 0.39 | <0.3 | 18.00 ± 1.98 | <0.01 | |
| 4 | <8.0 | <10 | <5.0 | <0.3 | 15.00 ± 1.28 | 0.01 ± 0.00 | |
| Soil 3 | 1 | <8.0 | <10 | 6.00 ± 0.45 | <0.3 | 19.00 ± 1.98 | 0.02 ± 0.00 |
| 2 | <8.0 | 28.00 ± 2.01 | 8.10 ± 0.71 | <0.3 | 22.00 ± 1.84 | 0.03 ± 0.00 | |
| 3 | <8.0 | 21.00 ± 1.84 | 9.10 ± 0.73 | <0.3 | 25.00 ± 2.91 | 0.02 ± 0.00 | |
| 4 | 8.60 ± 0.82 | <10 | 12.00 ± 1.04 | <0.3 | 16.00 ± 1.28 | 0.01 ± 0.00 | |
| Soil 4 | 1 | <8.0 | <10 | <5.0 | <0.3 | 21.00 ± 1.74 | 0.02 ± 0.00 |
| 2 | <8.0 | 34.00 ± 3.06 | <5.0 | <0.3 | 24.00 ± 2.01 | 0.02 ± 0.00 | |
| 3 | <8.0 | 24.00 ± 2.09 | <5.0 | <0.3 | 21.00 ± 1.98 | 0.02 ± 0.00 | |
| 4 | 9.20 ± 0.75 | <10 | 9.30 ± 0.76 | <0.3 | 18.00 ± 1.74 | 0.01 ± 0.00 | |
| Soil 5 | 1 | <8.0 | <10 | <5.0 | <0.3 | 32.00 ± 3.01 | 0.03 ± 0.00 |
| 2 | <8.0 | 50.00 ± 4.27 | <5.0 | <0.3 | 50.00 ± 4.28 | 0.03 ± 0.00 | |
| 3 | <8.0 | 21.00 ± 1.84 | <5.0 | <0.3 | 36.00 ± 2.00 | 0.02 ± 0.00 | |
| 4 | 11.00 ± 0.88 | <10 | 9.30 ± 0.77 | <0.3 | 38.00 ± 3.09 | 0.03 ± 0.00 |
| Sampling Site | ||||||
|---|---|---|---|---|---|---|
| 1 | 2 | 3 | 4 | 5 | p-Value | |
| Shannon Index (H’) | 2.3 ± 0.1 | 2.1 ± 0.1 | 2.3 ± 0.1 | 2.4 ± 0.1 | 2.31 ± 0.1 | 0.49 |
| Maturity Index (MI) | 2.7 ± 0.2 | 2.9 ± 0.3 | 2.6 ± 0.2 | 2.8 ± 0.2 | 2.65 ± 0.4 | 0.58 |
| Plant Parasitic Index (PPI) | 3 ± 0.1 | 2.9 ± 0.1 | 2.9 ± 0.1 | 2.9 ± 0.1 | 2.93 ± 0.1 | 0.49 |
| Channel Index (CI) | 35.5 ± 18.4 | 22 ± 9.7 | 29.9 ± 25 | 23.1 ± 15.1 | 25.19 ± 20 | 0.83 |
| Basal Index (BI) | 19.9 ± 2.2 | 16.4 ± 5.3 | 22.6 ± 1.8 | 18.8 ± 2.9 | 20.74 ± 5.4 | 0.26 |
Disclaimer/Publisher’s Note: The statements, opinions and data contained in all publications are solely those of the individual author(s) and contributor(s) and not of MDPI and/or the editor(s). MDPI and/or the editor(s) disclaim responsibility for any injury to people or property resulting from any ideas, methods, instructions or products referred to in the content. |
© 2024 by the authors. Licensee MDPI, Basel, Switzerland. This article is an open access article distributed under the terms and conditions of the Creative Commons Attribution (CC BY) license (https://creativecommons.org/licenses/by/4.0/).
Share and Cite
Zapałowska, A.; Skwiercz, A.; Kozacki, D.; Puchalski, C. Employing Plant Parasitic Nematodes as an Indicator for Assessing Advancements in Landfill Remediation. Sustainability 2024, 16, 3936. https://doi.org/10.3390/su16103936
Zapałowska A, Skwiercz A, Kozacki D, Puchalski C. Employing Plant Parasitic Nematodes as an Indicator for Assessing Advancements in Landfill Remediation. Sustainability. 2024; 16(10):3936. https://doi.org/10.3390/su16103936
Chicago/Turabian StyleZapałowska, Anita, Andrzej Skwiercz, Dawid Kozacki, and Czesław Puchalski. 2024. "Employing Plant Parasitic Nematodes as an Indicator for Assessing Advancements in Landfill Remediation" Sustainability 16, no. 10: 3936. https://doi.org/10.3390/su16103936
APA StyleZapałowska, A., Skwiercz, A., Kozacki, D., & Puchalski, C. (2024). Employing Plant Parasitic Nematodes as an Indicator for Assessing Advancements in Landfill Remediation. Sustainability, 16(10), 3936. https://doi.org/10.3390/su16103936

