The Impact of the Industrial Internet on the Innovation and Development Level of China’s Manufacturing Industry: Under the Perspective of Government Incentives
Abstract
1. Introduction
2. Literature Review
2.1. Industrial Internet Boosts the Development of Manufacturing Innovation
2.2. Impact of Government Incentives
2.3. Evolutionary Game Theory (EGT)
3. The Model
3.1. Basic Assumptions of the Model
3.1.1. Assumptions of Local Government
3.1.2. Assumptions of Manufacturing Enterprises
3.1.3. Assumptions of Platforms
3.2. Income Matrix
3.2.1. Expected Returns for Manufacturing Enterprises
3.2.2. Expected Returns for Industrial Internet Platforms
3.2.3. Expected Returns for Local Governments
3.3. The Replication Dynamic Equation
4. Analysis of Evolutionary Stable Strategy
4.1. Evolutionary Stable Strategy of Manufacturing Enterprises
4.2. Evolutionary Stable Strategy of Industrial Internet Platforms
4.3. Evolutionary Stable Strategy of Local Governments
4.4. Evolutionary Stable Strategy Analysis of Three-Party Evolutionary Game
5. Data Simulation
5.1. The Effect of Different Initial Intentions on Evolutionary Outcomes
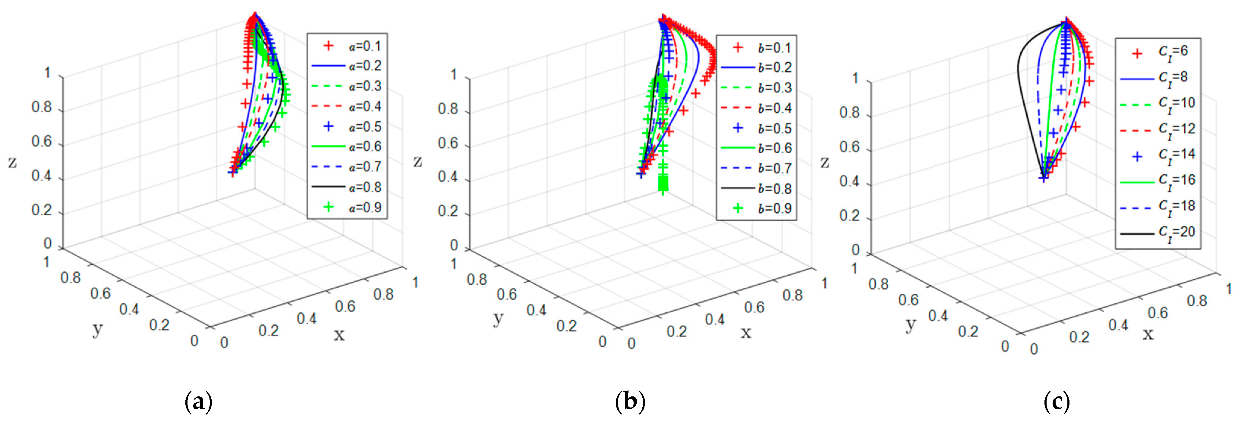
5.2. The Effect of Different Incentive Coefficients and the Cost of Application Platforms on Evolutionary Paths
5.3. Discussion of the Results of Evolutionary Game Analysis
- (1)
- The higher the incentive coefficient of the government for manufacturing enterprises, the higher the probability of enterprises choosing to apply the platforms to carry out the development of innovation and upgrading. In addition, the enterprise strategy choices are also affected by the costs of applying industrial Internet platforms for transformation and development in the manufacturing industry and by the net benefits for manufacturing enterprises that do not apply the platforms and maintain their traditional operations.
- (2)
- The higher the incentive coefficient of the government for the industrial Internet platforms, the higher the probability that the platforms choose to enhance their services. In addition, when the costs of industrial Internet platforms maintaining daily operations, the maximum policy support and economic incentives for industrial Internet platforms, and the direct economic benefits when industrial Internet platforms enhance their services and indirect benefits that can be gained when industrial Internet platforms enhance their services increase, the platforms tend to choose to enhance their services; and when the costs of industrial Internet platforms to enhance their services and maintain their daily operations, as well as the direct economic benefits when industrial Internet platforms do not enhance their services, increase, the platforms tend to choose not to enhance their services.
- (3)
- Local government strategy choices are related to the social reputation benefits for local governments in developing and implementing incentive policies and the maximum policy support and economic incentives for industrial Internet platforms.
- (1)
- Under the condition of different initial strategy selection ratios of each game subject, although the evolution endpoint is identical, the evolution path is not the same. The strategy selection of the local government at the evolution endpoint is least affected by the initial strategy selection ratio. When the proportion of initial strategy choices is low, the rate at which the evolutionary outcome of the industrial Internet platforms converges to the “enhance service” strategy is significantly lower. The rate at which the manufacturing enterprises’ evolutionary outcomes converge to the “application of platforms” measure is significantly higher when the proportion of initial strategy choices is higher.
- (2)
- The willingness of manufacturing enterprises to apply the platforms for transformation and innovation is affected by the government incentive coefficient. As the government incentive coefficient for enterprises increases, the willingness of enterprises to apply the platforms increases significantly. However, when the incentive coefficient is raised to the interval of [0.5, 0.9], although the government incentive coefficient still positively impacts enterprises’ willingness to apply the platform, the impact effect is significantly weaker.
- (3)
- The willingness of industrial Internet platforms that choose to enhance their services is significantly and positively affected by the coefficient of government incentives for platforms. However, when the coefficients are raised to the interval [0.6, 0.9], this effect is significantly weaker. In addition, when the government’s incentive coefficient for platforms is raised to 0.9, the cost to the local government is too high compared to the benefits of developing incentives, which leads to a decrease in the incentive to develop and implement incentives, and the local government tends to choose not to enforce incentives.
- (4)
- The enterprises’ willingness to apply the platforms is significantly inhibited by the cost of applying the platform.
6. Empirical Analysis
6.1. Variable Selection and Model Construction
6.1.1. The Interpreted Variable
6.1.2. Explanatory Variable
6.1.3. Control Variable
6.1.4. Model Construction
6.2. General Regression Analysis
6.3. Regression Analysis by Region
6.4. Discussion of Empirical Analysis
- (1)
- The level of industrial Internet development, government support, and industrial development scale has a significant positive impact on the level of innovation input and output of the manufacturing industry, and the formulation of appropriate incentive policies by the government can help promote the transformation and upgrading of the manufacturing industry.
- (2)
- The level of industrial Internet development has a significant positive impact on the level of manufacturing innovation inputs and innovation outputs in the eastern region. In contrast, the effect on manufacturing innovation outputs in the central area is insignificant, and the effect on the level of manufacturing innovation inputs in the western region has a negative impact. Government support has a significant positive effect on manufacturing innovation output in the eastern region. In contrast, it has a negligible impact on manufacturing development in the central and western areas. This is because the industrial Internet infrastructure construction in the eastern region has been practical, the network construction and transformation support capacity has been strengthened, and the area is rich in scientific and technological innovation resources, with many research institutions, and professional talents, which provides strong support for the technological innovation and application of the industrial Internet. In addition, compared with other regions, the eastern region has a higher level of economic development, a more complete industrial system, and a higher level of economic growth, which provides a solid material foundation and financial support for the transformation and upgrading of the manufacturing industry. In contrast, in the central and western regions of the manufacturing industry structure, the traditional sector accounts for a high proportion, and there is a lack of a diversified industrial structure to promote innovation, and compared with other regions, the policy support and market environment are relatively immature, and the innovation incentive mechanism is not perfect, which affects the enthusiasm of manufacturing enterprise innovation and the effective allocation of innovation resources.
7. Discussion and Recommendations
- (1)
- As the government’s incentive coefficient for manufacturing enterprises increases, the stronger the enterprise’s willingness to apply the industrial Internet platform for innovation upgrading and development, but if the government’s incentive coefficient is too high, the effect of this influence will gradually diminish, which will gradually be transformed into an inhibitory effect.
- (2)
- The willingness of industrial Internet platforms to choose the “enhance service” strategy is affected by the government’s incentive coefficient for platforms. Within a specific range, the higher the incentive coefficient is, the more the industrial Internet platforms tend to improve the quality of their services. Still, if the incentive coefficient is too high, the effect of this influence will gradually diminish. When the government’s incentive coefficient for platforms reaches 0.9, compared with the reputational and economic benefits generated by the development of incentive policies, the cost to be paid by the government is too high. At this time, local governments tend to refrain from implementing incentive policies.
- (3)
- The level of industrial Internet development has a significant positive impact on the level of manufacturing innovation inputs and innovation outputs, but this impact in the eastern, central, and western regions shows noticeable regional differences; the level of industrial Internet development has a significant positive impact on the level of manufacturing innovation inputs and innovation outputs in the eastern region. However, this impact is insignificant for the manufacturing innovation output level in the central area, and the level of manufacturing innovation inputs in the western region has a negative impact.
- (4)
- Government support significantly affects manufacturing innovation inputs and outputs in the eastern region but not in the central and western areas.
- (1)
- Give full play to the supportive and guiding role of government incentives, the formulation of incentive policies should be consistent with the long-term goal of national manufacturing upgrading and innovative development; promote industrial structure optimization and transformation and upgrading; continuously adjust and improve incentive policies according to the domestic and international economic environment and technological development trends; ensure the timeliness and effectiveness of the policies; and, at the same time, set up a scientific system of the innovation evaluation system to regularly monitor and evaluate the effect of the policy implementation, control appropriate incentives, and to ensure that the policy objectives are achieved.
- (2)
- To formulate and implement regional industrial Internet development policies according to local conditions, clarify development goals and paths, provide policy and financial support, and accelerate the construction of digital infrastructure such as 5G networks and data centers to provide a solid network foundation for the industrial Internet, demonstrate the application effect of the industrial Internet through demonstration projects and pilot projects, and encourage various regions to explore ways to promote the development of mutual development between the industrial Internet and the manufacturing industry. To draw on the actual cases of the successful integration of the industrial Internet and the manufacturing industry and make improvements by the exact differences between different regions, and thus lead to the development of deeper integration of the industrial Internet and the manufacturing industry in this region.
- (3)
- Create a provincial industrial Internet innovation center, carry out theoretical research and technical research in the fields of equipment access, platform frameworks, and mechanism models, guide the transformation of the platform to sustainable operation, accelerate the deep integration of the Internet and manufacturing industry, and boost the transformation, upgrading, and development of manufacturing enterprises by applying the industrial Internet platform. With the support of new-generation information technology, improve the efficiency and quality of the manufacturing enterprises in the links of customization, production, sales, and service, and further enhance the independent innovation capability of the manufacturing industry. Efficiency and quality of manufacturing enterprises, from customization, production, and sales to service, further enhance the independent innovation capability of the manufacturing industry.
8. Limitations and Further Study
Author Contributions
Funding
Informed Consent Statement
Data Availability Statement
Conflicts of Interest
References
- Adner, R.; Puranam, P.; Zhu, F. What is different about digital strategy? From quantitative to qualitative change. Strategy Sci. 2019, 4, 253–261. [Google Scholar] [CrossRef]
- Aghion, P.; Akcigit, U.; Bergeaud, A.; Blundell, R.; Hémous, D. Innovation and top income inequality. Rev. Econ. Stud. 2019, 86, 1–45. [Google Scholar] [CrossRef]
- Yu, Y.Z.; Duan, S.L.; Lin, B.B. High quality development of the Chinese industries under the new development pattern: Realistic dilemma and policy guidance. J. Macro-Qual. Res. 2021, 9, 78–98. [Google Scholar]
- Yan, J.L.; Kong, D.J. Study on “Industrial Internet” and “Industrie 4.0”. Strateg. Study CAE 2015, 17, 141–144. [Google Scholar]
- Liu, M.; Zhang, T. Overview of industrial Internet industry development. Inf. Commun. Technol. Policy 2017, 11, 26–29. [Google Scholar]
- Li, X.M. Evolution of industrial Internet policy in main developed countries and its enlightenment to China. Reg. Econ. Rev. 2022, 4, 32–44. [Google Scholar]
- Rehman, S.U.; Kraus, S.; Shah, S.A.; Khanin, D.; Mahto, R.V. Analyzing the relationship between green innovation and environmental performance in large manufacturing firms. Technol. Forecast. Soc. Chang. 2021, 163, 120481. [Google Scholar] [CrossRef]
- Kim, M.K.; Park, J.H.; Paik, J.H. Factors influencing innovation capability of small and medium-sized enterprises in Korean manufacturing sector: Facilitators, barriers and moderators. Int. J. Technol. Manag. 2018, 76, 214–235. [Google Scholar] [CrossRef]
- Ghalayini, A.M.; Noble, J.S.; Crowe, T.J. An integrated dynamic performance measurement system for improving manufacturing competitiveness. Int. J. Prod. Econ. 1997, 48, 207–225. [Google Scholar] [CrossRef]
- Blázquez, L.; Díaz-Mora, C.; González-Díaz, B. The role of services content for manufacturing competitiveness: A network analysis. PLoS ONE 2020, 15, e226411. [Google Scholar] [CrossRef]
- Shahzad, M.; Qu, Y.; Javed, S.A.; Zafar, A.U.; Rehman, S.U. Relation of environment sustainability to CSR and green innovation: A case of Pakistani manufacturing industry. J. Clean. Prod. 2020, 253, 119938. [Google Scholar] [CrossRef]
- Asif, M.; Yang, L.; Hashim, M. The role of digital transformation, corporate culture, and leadership in enhancing corporate sustainable performance in the manufacturing sector of China. Sustainability 2024, 16, 2651. [Google Scholar] [CrossRef]
- Feng, T. Do Intelligent manufacturing concerns promote corporate sustainability? Based on the perspective of green innovation. Sustainability 2023, 15, 10958. [Google Scholar] [CrossRef]
- Shi, X.A.; Ji, L.Y.; Chen, Z.H. Influence of “Internet+” on transformation and upgrading of Chinese manufacturing industry based on the national 2003–2014 provincial panel data. Sci. Technol. Prog. Policy 2017, 34, 64–71. [Google Scholar]
- Del Giudice, M. Discovering the Internet of Things (IoT) within the business process managemen. Bus. Process Manag. J. 2016, 22, 263–270. [Google Scholar] [CrossRef]
- Caputo, A.; Marzi, G.; Pellegrini, M.M. The Internet of Things in manufacturing innovation processes. Bus. Process Manag. J. 2016, 22, 383–402. [Google Scholar] [CrossRef]
- Alexopoulos, K.; Sipsas, K.; Xanthakis, E.; Makris, S.; Mourtzis, D. An industrial Internet of things based platform for context-aware information services in manufacturing. Int. J. Comput. Integr. Manuf. 2018, 31, 1111–1123. [Google Scholar] [CrossRef]
- Wang, J.J.; Guo, S.L.; Zhang, L.P. A Study of the Impact of the Internet on Firms’ Innovation Performance and Its Mechanisms—An Explanation Based on Open Innovation. Nankai Econ. Stud. 2018, 6, 170–190. [Google Scholar]
- Cai, C.W.; Qi, L.D. The empowerment path of industry Internet to China’s manufacturing industry. Contemp. Econ. Manag. 2021, 43, 40–48. [Google Scholar]
- Maware, C.; Parsley, D.M. Can industry 4.0 assist lean manufacturing in attaining sustainability over time? Evidence from the US organizations. Sustainability 2023, 15, 1962. [Google Scholar] [CrossRef]
- Wang, H.Y.; Mo, J.L. Research on the influence of industrial Internet on improving quality and efficiency of manufacturing enterprises. J. Ind. Technol. Econ. 2022, 41, 28–37. [Google Scholar]
- Lv, M.Y.; Chen, Q.Y. The impact of the development of industrial Internet platform on the transformation and upgrading of manufacturing industry: Effect and mechanism. J. Humanit. 2022, 10, 63–74. [Google Scholar]
- Bloom, N.; Garicano, L.; Sadun, R.; Van Reenen, J. The Distinct Effects of Information Technology and Communication Technology on Firm Organization; Wiley: West Sussex, UK, 2014; Volume 60. [Google Scholar]
- Zhang, J.; Huang, J. Vehicle product-line strategy under government subsidy programs for electric/hybrid vehicles. Transp. Res. Part E Logist. Transp. Rev. 2021, 146, 102221. [Google Scholar] [CrossRef]
- Bigerna, S.; Wen, X.; Hagspiel, V.; Kort, P.M. Green electricity investments: Environmental target and the optimal subsidy. Eur. J. Oper. Res. 2019, 279, 635–644. [Google Scholar] [CrossRef]
- Lu, C.C.; Lv, H. Fiscal subsidies, financing constraints and manufacturing R&D investment. Rev. Econ. Manag. 2019, 35, 17–27. [Google Scholar]
- Ye, X.S.; Liu, J. The impact of government support and market-oriented reforms on manufacturing technology progress. Econ. Res. J. 2020, 55, 83–98. [Google Scholar]
- Jung, S.H.; Feng, T. Government subsidies for green technology development under uncertainty. Eur. J. Oper. Res. 2020, 286, 726–739. [Google Scholar] [CrossRef]
- Bronzini, R.; Iachini, E. Are Incentives for R&D effective? Evidence from a regression discontinuity approach. Am. Econ. J. Econ. Policy 2014, 4, 100–134. [Google Scholar]
- Thomson, R.; Jensen, P. The effects of government subsidies on business R&D employment—Evidence from OECD countries. Natl. Tax J. 2013, 2, 281–309. [Google Scholar]
- Gintis, H. Game Theory Evolving a Problem-Centered Introduction to Modeling Strategic Behavio; Princeton University Press: Princeton, NJ, USA, 2009. [Google Scholar]
- Cai, G.; Kock, N. An evolutionary game theoretic perspective on e-collaboration: The collaboration effort and media relativeness. Eur. J. Oper. Res. 2009, 194, 821–833. [Google Scholar] [CrossRef]
- Bian, J.; Zhang, G.; Zhou, G. Manufacturer vs. Consumer Subsidy with Green Technology Investment and Environmental Concern. Eur. J. Oper. Res. 2020, 287, 832–843. [Google Scholar] [CrossRef]
- Yang, R.; Tang, W.; Zhang, J. Technology improvement strategy for green products under competition: The role of government subsidy. Eur. J. Oper. Res. 2021, 289, 553–568. [Google Scholar] [CrossRef]
- Friedman, D. Evolutionary game in economics. Econometrica 1991, 3, 637–666. [Google Scholar] [CrossRef]
- Yousuf, M.U.; Siddiqui, M.; Rehman, N.U. Solar energy potential estimation by calculating sun illumination hours and sky view factor on building rooftops using digital elevation model. J. Renew. Sustain. Energy 2018, 10, 013703. [Google Scholar] [CrossRef]
- Chen, Y.; Zhan, M.; Liu, Y. Promoting the development of China’s new-energy vehicle industry in the post-subsidy era: A study based on the evolutionary game theory method. Energies 2023, 16, 5760. [Google Scholar] [CrossRef]
- He, Z.; Liu, Q. The crossover cooperation mode and mechanism of green innovation between manufacturing and Internet enterprises in digital economy. Sustainability 2023, 15, 4156. [Google Scholar] [CrossRef]
- Wu, J.; Cao, L.X.; Huang, Q.H.; Xu, L.; Zhang, J. Research on the tripartite evolutionary game of collaborative innovation in renewable resources industry under the background of “Internet plus”. China Soft Sci. 2021, 12, 175–186. [Google Scholar]
- Chao, X.J.; Liu, L.; Sun, Y.M. Measurement and development path of the high-quality development of China’s equipment manufacturing industry. J. Stat. Inf. 2021, 36, 94–103. [Google Scholar]
- Song, H.H.; Wang, Y. Dynamic comprehensive evaluation of the development level of high-end equipment manufacturing industry in eastern provinces of China. Stat. Decis. 2021, 37, 85–89. [Google Scholar]
- Wang, X.H.; Li, N.; Zhang, B. Enterprise research and dvelopemnt, industry-university-research cooperation innovation, and regional innovation output: The moderating role of openness. J. Syst. Manag. 2022, 31, 500–508. [Google Scholar]
- Ma, Y.H.; Li, B.X. Digital economy, regional university knowledge transfer, and high-tech enterprise innovation performance. J. Syst. Manag. 2022, 31, 522–533. [Google Scholar]
- Yue, L.R.; Shao, B.; Shen, J.Y. Study on the impact of industrial Internet on green innovation performance: Empirical research based on manufacturing. J. Sci. Technol. Manag. 2020, 22, 28–36. [Google Scholar]
- Zhou, Q.; Wang, Y.L.; Yang, W. An empirical study of the impact of digital level on innovation performance a study based on the panel data of 73 counties (districts, cities) of Zhejiang Province. Sci. Res. Manag. 2020, 41, 120–129. [Google Scholar]
- Guo, R.B.; Zhao, J. A threshold effect test of the impact of industrial Internet development on the upgrading of China’s manufacturing industry. Stat. Decis. 2022, 38, 135–138. [Google Scholar]
- Cha, H.W.; Zuo, P.F. The impacts of informatization on industrial structure upgrading in China: Spatial econometric analysis based on province’s panel data. Econ. Rev. 2017, 1, 80–89. [Google Scholar]
- Tang, X.W.; Sun, Y.; Tang, X.B. An evaluation of technological innovation capability of the advanced equipment manufacturing industry in China. Sci. Res. Manag. 2021, 42, 1–9. [Google Scholar]
- Li, J.; Yan, Y.C. Evaluation of comprehensive development capability of China’s equipment manufacturing industry and characteristics of spatio-temporal evolution. Stat. Decis. 2021, 37, 95–99. [Google Scholar]





| Parameter Symbols | Symbol Meaning |
|---|---|
| Probability of choosing the “application platform” strategy, ∈ [0, 1] | |
| Probability of choosing the “service enhancement” strategy, ∈ [0, 1] | |
| Probability of choosing the “incentive” strategy, ∈ [0, 1] | |
| Maximum policy support and economic incentives for industrial Internet platforms | |
| Maximum policy support and economic incentives for manufacturing enterprises | |
| Incentive coefficients for manufacturing enterprises, ∈ [0, 1] | |
| Incentive coefficients for industrial Internet platforms, ∈ [0, 1] | |
| Economic benefits to the government when manufacturing enterprises apply platforms and the platforms enhance their services | |
| Economic benefits to the government when manufacturing enterprises apply platforms and the platforms do not upgrade their services | |
| Social reputation benefits for local governments in developing and implementing incentive policies | |
| Publicity and administrative costs incurred by local governments for the development and implementation of incentive policies | |
| Economic benefits available to enterprises applying the platform when industrial Internet platforms enhance their services | |
| Economic benefits available to enterprises applying platforms when industrial Internet platforms do not enhance their services | |
| Maximum amount of loss caused by information leakage in manufacturing enterprises applying industrial Internet platforms | |
| Likelihood of business losses due to information leakage when industrial Internet platforms enhance their services, ∈ [0, 1] | |
| Likelihood of enterprise losses due to information leakage when industrial Internet platforms do not enhance their services, ∈ [0, 1] | |
| Costs of applying industrial Internet platforms for transformation and development in the manufacturing industry | |
| The net benefits for manufacturing enterprises that do not apply the platforms and maintain the traditional operations | |
| Direct economic benefits when industrial Internet platforms enhance their services | |
| Direct economic benefits when industrial Internet platforms do not enhance their services | |
| Costs of industrial Internet platforms to enhance their services and maintain their daily operations | |
| Costs of industrial Internet platforms maintaining daily operations | |
| Indirect benefits that can be gained when industrial Internet platforms enhance their services |
| Enterprises | Platforms | Local Governments | |
|---|---|---|---|
| “Incentive” () | “No Incentive” () | ||
| “application of platforms” () | “service enhancement” () | ||
| “no service enhancement” () | |||
| “no application of platforms” () | “service enhancement” () | ||
| 0 | |||
| “no service enhancement” () | |||
| 0 | |||
| Equilibrium Solutions | |||
|---|---|---|---|
| Variant | N | Min | Max | Mean | Standard |
|---|---|---|---|---|---|
| The number of research and experimental development personnel | 84 | 2.29 | 5.51 | 3.84 | 0.77 |
| The internal expenditure of research and experimental development funds | 84 | 3.66 | 7.07 | 5.37 | 0.79 |
| The sales revenue of new products | 84 | 4.60 | 8.32 | 6.52 | 0.83 |
| The number of patent applications | 84 | 1.68 | 5.03 | 3.17 | 0.82 |
| The number of Internet access ports | 84 | 2.55 | 3.94 | 3.40 | 0.31 |
| The number of Internet broadband access users | 84 | 2.18 | 3.59 | 3.09 | 0.32 |
| The number of computers per 100 people | 84 | 1.23 | 1.89 | 1.48 | 0.13 |
| The length of long-distance fiber-optic cable lines | 84 | 3.60 | 5.10 | 4.44 | 0.36 |
| The number of websites owned by enterprises | 84 | 2.99 | 4.93 | 4.08 | 0.45 |
| The number of domain names | 84 | 0.48 | 2.87 | 1.96 | 0.50 |
| The number of software business revenue | 84 | 0.15 | 4.20 | 2.75 | 0.97 |
| The number of enterprises in the information transmission, software, and information technology service industry | 84 | 3.16 | 5.26 | 4.38 | 0.46 |
| E-commerce sales | 84 | 2.23 | 4.48 | 3.49 | 0.55 |
| The portion of research and experimental development expenditure whose source of funding is government funds | 84 | 0.30 | 5.90 | 3.87 | 1.01 |
| The number of enterprise units | 84 | 1.00 | 3.88 | 2.32 | 0.62 |
| The total of current assets | 84 | 1.36 | 4.46 | 2.94 | 0.72 |
| The total amount of assets | 84 | 1.86 | 4.62 | 3.18 | 0.67 |
| Variant | ||
|---|---|---|
| (13) | (14) | |
| 0.163 *** | 0.191 *** | |
| (0.0436) | (0.0440) | |
| 0.364 *** | 0.299 *** | |
| (0.0432) | (0.0436) | |
| 0.0702 *** | 0.146 *** | |
| (0.0233) | (0.0236) | |
| 0.00624 | −0.00745 | |
| (0.00886) | (0.00896) | |
| 0.727 | 0.715 | |
| 84.000 | 84.000 |
| Variant | Eastern | Central | Western | |||
|---|---|---|---|---|---|---|
| (13) | (14) | (13) | (14) | (13) | (14) | |
| 0.228 ** | 0.208 ** | 0.237 ** | 0.137 | −0.073 * | 0.072 ** | |
| (0.082) | (0.074) | (0.080) | (0.125) | (0.039) | (0.027) | |
| 0.362 *** | 0.353 *** | 0.342 ** | 0.358 | 0.376 ** | 0.322 *** | |
| (0.074) | (0.067) | (0.134) | (0.208) | (0.143) | (0.100) | |
| 0.069 | 0.188 *** | 0.011 | 0.032 | 0.005 | 0.060 | |
| (0.044) | (0.040) | (0.028) | (0.043) | (0.084) | (0.059) | |
| 0.011 | −0.007 | −0.015 | −0.006 | 0.013 ** | −0.007 * | |
| (0.028) | (0.026) | (0.010) | (0.016) | (0.005) | (0.004) | |
| 0.785 | 0.815 | 0.773 | 0.526 | 0.327 | 0.740 | |
| 30.000 | 30.000 | 24.000 | 24.000 | 30.000 | 30.000 | |
Disclaimer/Publisher’s Note: The statements, opinions and data contained in all publications are solely those of the individual author(s) and contributor(s) and not of MDPI and/or the editor(s). MDPI and/or the editor(s) disclaim responsibility for any injury to people or property resulting from any ideas, methods, instructions or products referred to in the content. |
© 2024 by the authors. Licensee MDPI, Basel, Switzerland. This article is an open access article distributed under the terms and conditions of the Creative Commons Attribution (CC BY) license (https://creativecommons.org/licenses/by/4.0/).
Share and Cite
Ma, L.; Hu, W.; Liang, R. The Impact of the Industrial Internet on the Innovation and Development Level of China’s Manufacturing Industry: Under the Perspective of Government Incentives. Sustainability 2024, 16, 3935. https://doi.org/10.3390/su16103935
Ma L, Hu W, Liang R. The Impact of the Industrial Internet on the Innovation and Development Level of China’s Manufacturing Industry: Under the Perspective of Government Incentives. Sustainability. 2024; 16(10):3935. https://doi.org/10.3390/su16103935
Chicago/Turabian StyleMa, Liang, Weiqiang Hu, and Ru Liang. 2024. "The Impact of the Industrial Internet on the Innovation and Development Level of China’s Manufacturing Industry: Under the Perspective of Government Incentives" Sustainability 16, no. 10: 3935. https://doi.org/10.3390/su16103935
APA StyleMa, L., Hu, W., & Liang, R. (2024). The Impact of the Industrial Internet on the Innovation and Development Level of China’s Manufacturing Industry: Under the Perspective of Government Incentives. Sustainability, 16(10), 3935. https://doi.org/10.3390/su16103935
