The Effect of Perceived Corporate Social Responsibility (PCSR) on Subjective Well-Being
Abstract
1. Introduction
2. Theoretical Background and Hypotheses
2.1. Perceived Corporate Social Responsibility (PCSR)
2.2. Organizational Identification
2.3. Moral Identity
2.4. Sense of Organizational Support
2.5. Subjective Well-Being
3. Research Hypothesis and Research Model
3.1. Perceived Corporate Social Responsibility (PCSR) and Subjective Well-Being of Employees
3.2. PCSR and Organizational Identification
3.3. Organizational Identification and Subjective Well-Being
3.4. PCSR and Moral Identity
3.5. Moral Identity and Subjective Well-Being
3.6. Mediating Effect of Organizational Identification and Moral Identity
3.7. Moderating Effect of Organizational Support
4. Research Design
4.1. Research Data and Analysis Method
4.2. Operational Definition of Constructs
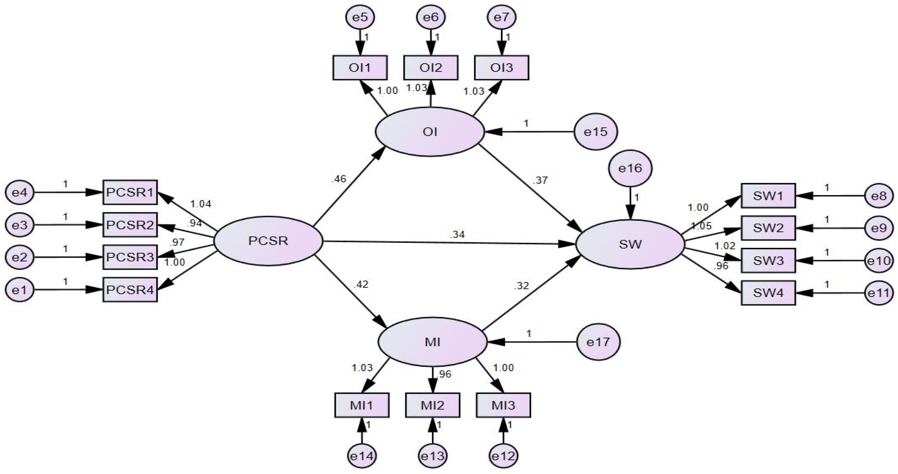
5. Results of Analysis
5.1. General Characteristics of the Sample Respondents
5.2. Reliability and Validity Analysis
5.3. Hypothesis Testing
5.4. Mediating Effect Testing
5.5. Moderation Effect Testing
6. Discussions and Implications
6.1. Significance of the Study
6.2. Limitations and Future Research Directions
Author Contributions
Funding
Institutional Review Board Statement
Informed Consent Statement
Data Availability Statement
Conflicts of Interest
References
- Barnett, M.L.; Salomon, R.M. Beyond dichotomy: The curvilinear relationship between social responsibility and financial performance. Strateg. Manag. J. 2007, 27, 1101–1122. [Google Scholar] [CrossRef]
- Aguinis, H.; Glavas, A. What We Know and Do not Know about Corporate Social Responsibility: A Review and Research Agenda. J. Manag. 2012, 38, 932–968. [Google Scholar]
- Bhattacharya, C.B.; Sen, S. Doing Better at Doing Good: When, Why and How Consumers Respond to Corporate Social Initiatives. Calif. Manag. Rev. 2012, 47, 9–24. [Google Scholar] [CrossRef]
- Lu, J.; Ren, L.; Lin, W.; He, Y.; Streimikis, J. Policies to promote corporate social responsibility (csr) and assessment of csr impacts. Econ. Manag. 2019, 22, 82–98. [Google Scholar] [CrossRef]
- Bauman, C.W.; Skitka, L.J. Corporate social responsibility as a source of employee satisfaction. Res. Organ. Behav. 2012, 32, 63–86. [Google Scholar] [CrossRef]
- De Roeck, K.; El Akremi, A.; Swaen, V. Consistency Matters! How and When Does Corporate Social Responsibility Affect Employees’ Organizational Identification? J. Manag. Stud. 2016, 53, 1141–1168. [Google Scholar] [CrossRef]
- Shaikh, E.; Brahmi, M.; Thang, P.C.; Watto, W.A.; Trang TT, N.; Loan, N.T. Should I Stay or Should I Go? Explaining the Turnover Intentions with Corporate Social Responsibility (CSR), Organizational Identification and Organizational Commitment. Sustainability 2022, 14, 6030. [Google Scholar] [CrossRef]
- Dowling, P.J. Exploring the effects of high-performance work systems (HPWS) on the work-related well-being of Chinese hospital employees. Int. J. Hum. Resour. Manag. 2013, 24, 3196–3212. [Google Scholar]
- Ahmed, A.K. The Role of Corporate Support for Employee Volunteering in Strengthening the Impact of Green Human Resource Management Practices on Corporate Social Responsibility in the Egyptian Firms. Eur. Manag. Rev. 2019, 16, 1079–1095. [Google Scholar]
- Barnett, M.L. Stakeholder influence capacity and the variability of financial returns to corporate social responsibility. Acad. Manag. Rev. 2007, 32, 794–816. [Google Scholar] [CrossRef]
- Roeck, K.; Delobbe, N. Do Environmental CSR Initiatives Serve Organizations’ Legitimacy in the Oil Industry? Exploring Employees’ Reactions Through Organizational Identification Theory. J. Bus. Ethics 2012, 110, 397–412. [Google Scholar] [CrossRef]
- Su, L.; Swanson, S.R. Perceived corporate social responsibility’s impact on the well-being and supportive green behaviors of hotel employees: The mediating role of the employee-corporate relationship. Tour. Manag. 2019, 72, 4377–4450. [Google Scholar] [CrossRef]
- Kim, H.; Woo, E.; Uysal, M. The effects of corporate social responsibility (CSR) on employee well-being in the hospitality industry. Int. J. Contemp. Hosp. Manag. 2018, 30, 1584–1600. [Google Scholar] [CrossRef]
- Jabagi, N.; Croteau, A.M.; Audebrand, L. Perceived Organizational Support in the Face of Algorithmic Management: A Conceptual Model. In Proceedings of the 53rd Hawaii International Conference on System Sciences, Maui, HI, USA, 7–10 January 2020; Available online: https://hdl.handle.net/10125/64231 (accessed on 1 March 2023).
- Jeon, M.M.; Lee, S.; Jeong, M. Perceived corporate social responsibility and customers’ behaviors in the ridesharing service industry. Int. J. Hosp. Manag. 2020, 84, 102341. [Google Scholar] [CrossRef]
- Lee, S.H. The effects of employee services on organizational commitment and intentions to quit. Pers. Rev. 2013, 37, 222–237. [Google Scholar] [CrossRef]
- Glavas, A.; Kelley, K. The Effects of Perceived Corporate Social Responsibility on Employee Attitudes. Bus. Ethics Q. 2014, 24, 165–202. [Google Scholar] [CrossRef]
- Tajfel, T.E. Differentiation between Social Groups: Studies in the Social Psychology of Intergroup Relations; Academic Press: London, UK, 1982; Chapter 1–3. [Google Scholar]
- Mael, F.; Ashforth, B.E. Alumni and their alma mater: A partial test of the reformulated model of organizational identification. J. Organ. Behav. 1992, 13, 103–123. [Google Scholar] [CrossRef]
- Galvin, B.M.; Lange, D.; Ashforth, B.E. Narcissistic organizational identification: Seeing oneself as central to the organization’s identity. Acad. Manag. Rev. 2015, 40, 163–181. [Google Scholar] [CrossRef]
- Edwards, M.R.; Pecei, R.P. Perceived Organizational Suppport, Organizational Identification, and Employee Outcomes. J. Pers. Psychol. 2015, 9, 17–26. [Google Scholar]
- Diamond, M.A. Psychoanalytic organisation theory and identity: A psychosocial framework. J. Psychosoc. Stud. 2020, 18, 141–163. [Google Scholar] [CrossRef]
- Skarlicki, D.P.; van Jaarsveld, D.D.; Walker, D.D. Getting even for customer mistreatment: The role of moral identity in the relationship between customer interpersonal injustice and employee sabotage. J. Appl. Psychol. 2008, 93, 1335–1347. [Google Scholar] [CrossRef]
- Rehman Khan, S. Different and better than you: The interplay between social identity, moral identity, and social comparison. J. Community Appl. Soc. Psychol. 2021, 31, 615–635. [Google Scholar] [CrossRef]
- Pąchalska, M. Integrated self-system: A microgenetic approach. Acta Neuropsychol. 2019, 17, 349–392. [Google Scholar] [CrossRef]
- Krettenauer, T. Moral Identity as a goal of moral action: A Self-Determination Theory perspective. J. Moral Educ. 2020, 49, 330–345. [Google Scholar] [CrossRef]
- Hertz, S.G.; Krettenauers, T. Does Moral Identity Effectively Predict Moral Behavior?: A Meta-Analysis. Rev. Gen. Psychol. 2016, 20, 129–140. [Google Scholar] [CrossRef]
- Choi, W.J.; Winterich, K.P. Can Brands Move In from the Outside? How Moral Identity Enhances Out-Group Brand Attitudes. J. Mark. 2013, 77, 96–111. [Google Scholar] [CrossRef]
- Aquino, K.; Reed, A., II. The self-importance of moral identity. J. Personal. Soc. Psychol. 2002, 83, 1423–1440. [Google Scholar] [CrossRef] [PubMed]
- Hart, D. Adding Identity to the Moral Domain. Hum. Dev. 2005, 48, 257–261. [Google Scholar] [CrossRef]
- Caesens, G.; Stinglhamber, F.; Demoulin, S.; De Wilde, M. Perceived organizational support and employees’well-being: The mediating role of organizational dehumanization. Eur. J. Work Organ. Psychol. 2017, 26, 527–540. [Google Scholar] [CrossRef]
- Shore, L.M.; Tetrick, L.E.; Taylor, M.S. The employee-organizational relationship: A timely concept in a period of transition. Res. Pers. Hum. Resour. Manag. 2004, 23, 291–370. [Google Scholar]
- Mc Millian, R. Customer Satisfaction and Organizational Support for Service Providers. Master’s Thesis, University of Florida, Ganesrille, FL, USA, 1997. [Google Scholar]
- Diener, E. Subjective well-being. Psychol. Bull. 1984, 95, 542–575. [Google Scholar] [CrossRef] [PubMed]
- Wilson, M.G.; Dejoy, D.M.; Vandenberg, R.J.; Richardson, H.A.; Mcgrath, A.L. Work characteristics and employee health and well-being: Test of a model of healthy work organization. J. Occup. Organ. Psychol. 2011, 77, 565–588. [Google Scholar] [CrossRef]
- Dursun, P. Optimism, Hope and Subjective Well-Being: A Literature Overview. Çatalhöyük Uluslararası Turizm ve Sosyal Araştırmalar Dergisi 2021, 61–74. Available online: https://dergipark.org.tr/en/pub/cutsad/issue/63565/946124 (accessed on 1 March 2023).
- Wright, T.A.; Cropanzano, R. The Role of Psychological Well-Bing in Job Performance. Organ. Dyn. 2004, 33, 338–351. [Google Scholar] [CrossRef]
- Turker, D. How Corporate Social Responsibility Influences Organizational Commitment. J. Bus. Ethics 2009, 89, 189–204. [Google Scholar] [CrossRef]
- Farh, J.-L.; Zhong, C.-B.; Organ, D.W. Organizational Citizenship Behavior in the People’s Republic of China. Organ. Sci. 2004, 15, 241–253. [Google Scholar] [CrossRef]
- Leal, S.; Rego ACunha, M.P. How the Employees’ Perceptions of Corporate Social Responsibility Make Them Happier and Psychologically Stronger. Int. J. Sustain. Dev. 2015, 8, 113–126. [Google Scholar]
- McWilliams, A.; Siegel, D. Corporate Social Responsibility: A Theory of the Firm Perspective. Acad. Manag. Rev. 2001, 26, 117–127. [Google Scholar] [CrossRef]
- Scott, S.G.; Lane, V.R. A Stakeholder Approach to Organizational Identity. Acad. Manag. Rev. 2000, 25, 43–62. [Google Scholar] [CrossRef]
- Smidts, A.; Pruyn, A.T.H.; Van Riel, C.B. The Impact of Employee Communication and Perceived External Prestige On Organizational Identification. AMJ 2001, 44, 1051–1062. [Google Scholar] [CrossRef]
- Amaro, L.M.; Joseph, N.T.; de los Santos, T.M. Relationships of Online Social Comparison and Parenting Satisfaction among New Mothers: The Mediating Roles of Belonging and Emotion. J. Fam. Commun. 2019, 19, 144–156. [Google Scholar] [CrossRef]
- Khorakian, A.; Mohammadi Shahroodi, H.; Jahangir, M.; Nikkhah Farkhani, Z. Innovative Work Behavior in Public Organizations: The Roles of Ethical and Knowledge Sharing Behaviors. Creat. Res. J. 2019, 31, 164–173. [Google Scholar] [CrossRef]
- Kim, S.O.; Moon, S.-H. Factors Influencing Turnover Intention among Male Nurses in Korea. Int. J. Environ. Res. Public Health 2021, 18, 9862. [Google Scholar] [CrossRef]
- Bartel, C.A. Social Comparisons in Boundary-Spanning Work: Effects of Community Outreach on Members’ Organizational Identity and Identification. Adm. Sci. Q. 2001, 46, 379–413. [Google Scholar] [CrossRef]
- Li, B.; Ma, H.; Guo, Y.; Xu, F.; Yu, F.; Zhou, Z. Positive psychological capital: A new approach to social support and subjective well-being. Sci. J. Publ. 2014, 42, 135–144. [Google Scholar] [CrossRef]
- Horomnea, E.; Pascu, A.-M. Ethical and Morality in Accounting Epistemological Approach. J. East. Eur. Res. Bus. Econ. 2012, 2012, 405721. [Google Scholar] [CrossRef]
- Choi, M. Employees’ attitudes toward organizational change: A literature review. Hum. Resour. Manage. 2011, 50, 479–500. [Google Scholar] [CrossRef]
- Bukhari, S.R.; Alam, N.A.; Batool, A.; Hussain, Y.; Asim, S.; Khatttak, N.; Tabassum, S. Perceived organizational support predicts emotional labor among nurses. Asian Soc. Sci. 2020, 16, 68. [Google Scholar] [CrossRef]
- Eisenberger, R.; Huntington, R.; Hutchison, S.; Sowa, D. Perceived organizational support. J. Appl. Psychol. 1986, 71, 500. [Google Scholar] [CrossRef]
- Sulistyo, A.R.; Suhartini, S. The role of work engagement in moderating the impact of job characteristics, perceived organizational support, and self-efficacy on job satisfaction. Integr. J. Bus. Econ. 2019, 3, 15–31. [Google Scholar] [CrossRef]
- Shore, L.M.; Wayne, S.J. Commitment and employee behavior: Comparison of affective commitment and continuance commitment with perceived organizational support. J. Appl. Psychol. 1993, 78, 774. [Google Scholar] [CrossRef] [PubMed]
- Mael, F.A.; Tetrick, L.E. Identifying organizational identification. Educ. Psychol. Meas. 1992, 52, 813–824. [Google Scholar] [CrossRef]
- Reed II, A.; Aquino, K.F. Moral identity and the expanding circle of moral regard toward out-groups. J. Personal. Soc. Psychol. 2003, 84, 1270. [Google Scholar] [CrossRef] [PubMed]
- Zhou, Y.; Zhou, L.; Fu, C.; Wang, Y.; Liu, Q.; Wu, H.; Zhang, R.; Zheng, L. Socio-economic factors related with the subjective well-being of the rural elderly people living independently in China. Int. J. Equity Health 2015, 14, 5. [Google Scholar] [CrossRef] [PubMed]
- Mayr, F.B.; Talisa, V.B.; Shaikh, O.; Yende, S.; Butt, A.A. Effectiveness of homologous or heterologous COVID-19 boosters in veterans. N. Engl. J. Med. 2022, 386, 1375–1377. [Google Scholar] [CrossRef] [PubMed]


| Variable | Operational Definition | Number | Source |
|---|---|---|---|
| PCSR | The degree to which corporate social responsibility is inherent in an organization | 4 | Turker (2009) [38], Glavas (2014) [17] |
| Organizational Identification | Perceived emotional attachment or sense of belonging to the organization | 3 | Mael (1992) [55] |
| Moral Identity | The degree of conformity with the morally recognized values of the organization | 3 | Reed (2003) [56] |
| Subjective Well-Being | Degree of happiness with job, company, and colleagues | 4 | Zheng (2015) [57] |
| Organizational Support | The degree to which the organization is interested in and supports my job and needs | 3 | Eisenberger (1986) [52] |
| Variable | Items | Factor Loading | AVE | Cronbach’s α |
|---|---|---|---|---|
| PCSR | Protect the natural environment and participate in improvement activities | 0.774 | 4 | 0.876 |
| The company attaches great importance to the needs of its employees | 0.772 | |||
| Company complies with laws and regulations | 0.808 | |||
| Company encourages employees to participate in volunteer activities | 0.817 | |||
| Organizational Identification | Company is interested in employees’ evaluation of the company | 0.798 | 3 | 0.871 |
| I often use “we” instead of “them” | 0.811 | |||
| The compliment I receive from the company feels like a compliment to myself | 0.806 | |||
| Moral Identity | I have the same values as the company | 0.781 | 3 | 0.799 |
| I recognize company’s moral social responsibility | 0.734 | |||
| I actively participate in moral behavior | 0.817 | |||
| Subjective Well-Being | My job is very fun | 0.759 | 4 | 0.841 |
| I am satisfied with the results I achieved | 0.779 | |||
| I am confident and confident in myself | 0.671 | |||
| I feel happy to help others | 0.697 | |||
| Organizational Support | The company is very proud of what I do | 0.841 | 3 | 0.859 |
| My company is interested in my goals and values | 0.576 | |||
| My company can always help me | 0.613 |
| Division | PCSR | Organizational Identification | Moral Identity | Subjective Well-Being |
|---|---|---|---|---|
| PCSR | 1 | |||
| Organizational Identification | 0.633 ** | 1 | ||
| Moral Identity | 0.595 ** | 0.589 ** | 1 | |
| Subjective Well-Being | 0.607 ** | 0.622 ** | 0.616 ** | 1 |
| Path | Estimate | S.E. | C.R. | P | Result |
|---|---|---|---|---|---|
| H1: PCSR → Subjective Well-Being | 0.321 | 0.043 | 6.351 | *** | support |
| H2: PCSR → Organizational Identification | 0.285 | 0.059 | 4.057 | *** | support |
| H3: Organizational Identification → Subjective Well-Being | 0.202 | 0.051 | 3.166 | *** | support |
| H4: PCSR → Moral Identity | 0.245 | 0.032 | 5.932 | *** | support |
| H5: Moral Identity → Subjective Well-Being | 0.216 | 0.048 | 3.504 | *** | support |
| Path | Effect | Boot LLCI | Boot ULCI | Result |
|---|---|---|---|---|
| H6: PCSR→ Organizational Identification → Subjective Well-Being | 0.046 | 0.002 | 0.068 | adopted |
| H7: PCSR → Moral Identity → Subjective Well-Being | 0.259 | 0.006 | 0.064 | adopted |
| Path | R | Standard Deviation | t | p | Result |
|---|---|---|---|---|---|
| H8: Moderating effect of organizational support (POS*PCSR) | 0.1383 * | 0.0787 | 1.7574 | 0.0498 | adopted |
Disclaimer/Publisher’s Note: The statements, opinions and data contained in all publications are solely those of the individual author(s) and contributor(s) and not of MDPI and/or the editor(s). MDPI and/or the editor(s) disclaim responsibility for any injury to people or property resulting from any ideas, methods, instructions or products referred to in the content. |
© 2023 by the authors. Licensee MDPI, Basel, Switzerland. This article is an open access article distributed under the terms and conditions of the Creative Commons Attribution (CC BY) license (https://creativecommons.org/licenses/by/4.0/).
Share and Cite
Liang, T.Y.; Yoon, S.J. The Effect of Perceived Corporate Social Responsibility (PCSR) on Subjective Well-Being. Sustainability 2023, 15, 7497. https://doi.org/10.3390/su15097497
Liang TY, Yoon SJ. The Effect of Perceived Corporate Social Responsibility (PCSR) on Subjective Well-Being. Sustainability. 2023; 15(9):7497. https://doi.org/10.3390/su15097497
Chicago/Turabian StyleLiang, Teng Yue, and Sung Joon Yoon. 2023. "The Effect of Perceived Corporate Social Responsibility (PCSR) on Subjective Well-Being" Sustainability 15, no. 9: 7497. https://doi.org/10.3390/su15097497
APA StyleLiang, T. Y., & Yoon, S. J. (2023). The Effect of Perceived Corporate Social Responsibility (PCSR) on Subjective Well-Being. Sustainability, 15(9), 7497. https://doi.org/10.3390/su15097497

