Improved Fracture Surface Analysis of Anticline Rocky Slopes Using a Modified AGA Approach: Feasibility and Effectiveness Evaluation
Abstract
1. Introduction
2. Materials and Methods
2.1. Modified AGA
2.2. Mechanical Analysis
2.3. Introduction of Non-Uniformity
3. Results and Discussion
3.1. Verification of the Validity of the AGA Algorithm
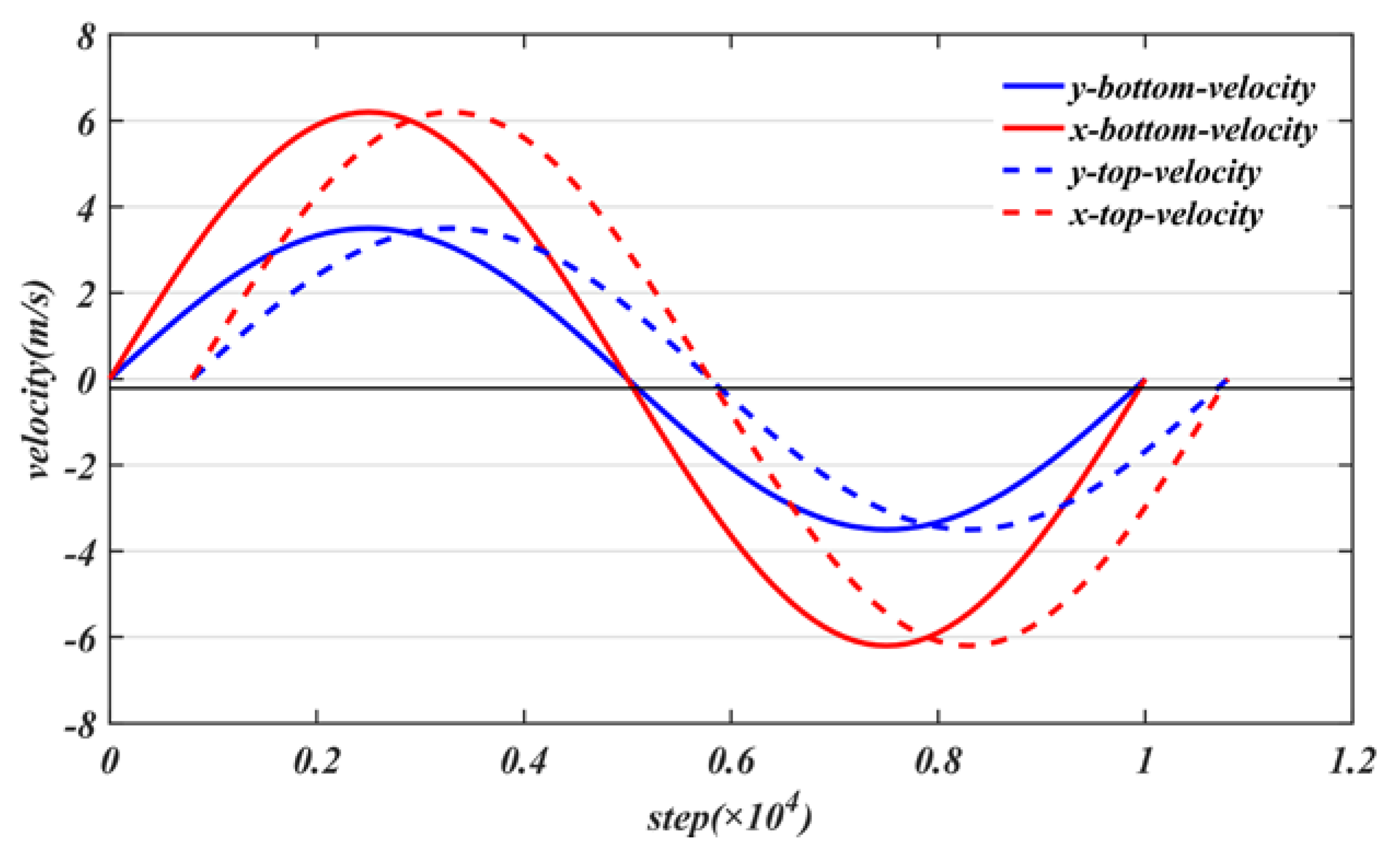
3.2. Multi-Dimensional Comparison of AGA and UDEC
4. Conclusions
- The modified AGA-based scheme proposed in this study contributes to sustainability in geological engineering by providing a more reliable and accurate method of predicting fracture surface feature points of rocky slopes, which can lead to more effective and sustainable slope management and maintenance practices.
- Through a simple case study, the modified AGA approach with UDEC simulation was found to be 6.68 times more reliable than traditional GA methods, demonstrating the reliability of the calculation results and the feasibility of the modified AGA-based scheme, which can contribute to sustainable geological engineering practices.
- Through our study, we found that natural environmental factors such as weathering play a critical role in shaping the behavior of rocky slopes. Our findings provide valuable insights for understanding the behavior of rocky slopes that are significant in promoting sustainable land use practices and ensuring the safety of both human lives and infrastructure projects.
- We propose that the higher accuracy and reliability of the modified AGA approach can be widely applied to more complex rock structures, further advancing sustainable engineering practices. Future studies could explore the applicability of this approach to other types of rock structures and investigate its potential use in practical engineering scenarios, contributing further to sustainability in geological engineering.
- In conclusion, the study’s findings and approach contribute significantly to promoting sustainability in geological engineering by enhancing our understanding of the behavior of rocky slopes and providing a reliable and accurate method of predicting fracture surface feature points. The application of this approach will play an essential role in designing sustainable and stable infrastructure projects, protecting human lives and properties, and preserving the environment for future generations.
Author Contributions
Funding
Institutional Review Board Statement
Informed Consent Statement
Data Availability Statement
Conflicts of Interest
Nomenclature
| Table of Letter Symbols used in the paper | |||
| The custom right resultant force on rock failure (kN) | Shear force perpendicular to the fracture surface on both sides of the rock column (kN) | ||
| Initial solution vector of genetic algorithm | Shear force in the direction parallel to the rupture surface (kN) | ||
| Vertical profile area of the rock column ( | The thickness of the rock pillars (m) | ||
| Parameters for the variation in bulk density of rocks with depth | Individuals without prior genetic manipulation | ||
| Unit direction vector | An individual after genetic manipulation | ||
| Vector azimuth from the current solution to the optimal solution | The gravity of the rock column (kN) | ||
| The average population adaptability | The inherited genes carried by an individual | ||
| The maximum population adaptability | Greek letters | ||
| Height of rock column above the fracture surface (m) | A random number between 0 and 1 | ||
| Rock pillars numbered | The angle of slope of rock column | ||
| Denotes the inertia modulus of the layer () | The cohesion of the rock mass (kPa) | ||
| Distance from the fracture face of the point of combined action of the left and right sides of the rock pillars (m) | The maximum tensile stress of rock (MPa) | ||
| A random number used to control the variation in the solution vector | The tensile strength of the intact rock (MPa) | ||
| The torque provided by the support | The normal acting on the base of the layer (MPa) | ||
| The support provides a vertical bearing reaction | The shear stresses acting on the base of the layer (MPa) | ||
| Crossover probability | Friction Angle of rock | ||
| The minimum crossover probability | Coordinate systems | ||
| The maximum crossover probability | The two-dimensional coordinate representation of the current optimal solution | ||
| Variation probability | XOY | The global coordinate system in the outer ring center | |
| The minimum variation probability | Abbreviations | ||
| The maximum variation probability | GA | Genetic algorithm | |
| Combined forces on the left and right sides of the rock column (kN) | AGA | Adaptive genetic algorithm | |
| The combined force acting on the right side of a rock formation when it bends and overturns (kN) | UDEC | Universal Distinct Element Code | |
| The resultant force acting on the right side of the rock layer when a shear failure occurs (kN) | |||
| Bolded letter symbols within the table signify vector quantities | |||
References
- Adhikary, D.P.; Dyskin, A.V.; Jewell, R.J.; Stewart, D.P. A study of the mechanism of flexural toppling failure of rock slopes. Rock Mech. Rock Eng. 1997, 30, 75–93. [Google Scholar] [CrossRef]
- Hoek, E.; Bray, J.D. Rock Slope Engineering, 3rd ed.; CRC Press: Boca Raton, FL, USA, 1981; ISBN 978-1-4822-6709-9. [Google Scholar]
- Hocking, G. A method for distinguishing between single and double plane sliding of tetrahedral wedges. Int. J. Rock Mech. Min. Sci. Géoméch. Abstr. 1976, 13, 225–226. [Google Scholar] [CrossRef]
- Huang, Y.H. Stability Analysis of Earth Slopes; Springer Science & Business Media: Berlin/Heidelberg, Germany, 2012; ISBN 978-1-4684-6602-7. [Google Scholar]
- Liu, Y.-C.; Chen, C.-S. A new approach for application of rock mass classification on rock slope stability assessment. Eng. Geol. 2007, 89, 129–143. [Google Scholar] [CrossRef]
- Ahmadi, M.; Eslami, M. A new approach to plane failure of rock slope stability based on water flow velocity in discontinuities for the Latian dam reservoir landslide. J. Mt. Sci. 2011, 8, 124–130. [Google Scholar] [CrossRef]
- Hamza, T.; Raghuvanshi, T.K. GIS based landslide hazard evaluation and zonation—A case from Jeldu District, Central Ethiopia. J. King Saud Univ. -Sci. 2017, 29, 151–165. [Google Scholar] [CrossRef]
- Janicak, P.G.; Marder, S.R.; Pavuluri, M.N. Principles and Practice of Psychopharmacotherapy; Lippincott Williams & Wilkins: Philadelphia, PA, USA, 2010; ISBN 978-1-60547-565-3. [Google Scholar]
- Tang, H.; Yong, R.; Eldin, M.A.M.E. Stability analysis of stratified rock slopes with spatially variable strength parameters: The case of Qianjiangping landslide. Bull. Eng. Geol. Environ. 2017, 76, 839–853. [Google Scholar] [CrossRef]
- Yang, X.-L.; Zou, J.-F. Stability factors for rock slopes subjected to pore water pressure based on the Hoek-Brown failure criterion. Int. J. Rock Mech. Min. Sci. 2006, 43, 1146–1152. [Google Scholar] [CrossRef]
- Chowdhury, R.; Flentje, P.; Bhattacharya, G. Geotechnical Slope Analysis; CRC Press: Boca Raton, FL, USA, 2009; ISBN 978-1-135-19210-5. [Google Scholar]
- Liu, M.; Zou, X.; Chen, Y.; Wu, Z. Performance Assessment of DMOEA-DD with CEC 2009 MOEA Competition Test Instances. In Proceedings of the 2009 IEEE Congress on Evolutionary Computation, Trondheim, Norway, 18–21 May 2009; pp. 2913–2918. [Google Scholar]
- Zhang, H.; Tian, Z. Failure analysis of corroded high-strength pipeline subject to hydrogen damage based on FEM and GA-BP neural network. Int. J. Hydrogen Energy 2021, 47, 4741–4758. [Google Scholar] [CrossRef]
- Shahrokhabadi, S.; Khoshfahm, V.; Rafsanjani, H.N. Hybrid of Natural Element Method (NEM) with Genetic Algorithm (GA) to find critical slip surface. Alex. Eng. J. 2014, 53, 373–383. [Google Scholar] [CrossRef]
- Bansal, M.; Goyal, A.; Choudhary, A. A comparative analysis of K-Nearest Neighbor, Genetic, Support Vector Machine, Decision Tree, and Long Short Term Memory algorithms in machine learning. Decis. Anal. J. 2022, 3, 100071. [Google Scholar] [CrossRef]
- Nikbakt, S.; Kamarian, S.; Shakeri, M. A review on optimization of composite structures Part I: Laminated composites. Compos. Struct. 2018, 195, 158–185. [Google Scholar] [CrossRef]
- Pandey, H.M.; Dixit, A.; Mehrotra, D. Genetic Algorithms: Concepts, Issues and a Case Study of Grammar Induction. In Proceedings of the CUBE International Information Technology Conference; Association for Computing Machinery, New York, NY, USA, 3 September 2012; pp. 263–271. [Google Scholar]
- Pandey, H.M.; Chaudhary, A.; Mehrotra, D. A comparative review of approaches to prevent premature convergence in GA. Appl. Soft Comput. 2014, 24, 1047–1077. [Google Scholar] [CrossRef]
- Holland, J.H. Adaptation in Natural and Artificial Systems: An Introductory Analysis with Applications to Biology, Control, and Artificial Intelligence; MIT Press: Cambridge, MA, USA, 1992; ISBN 978-0-262-58111-0. [Google Scholar]
- Forrest, S. Proceedings of the Fifth International Conference on Genetic Algorithms, Urbana-Champaign, IL, USA, 17–21 July 1993; Morgan Kaufmann Publishers: Burlington, MA, USA, 1993. [Google Scholar]
- Horn, J.; Markov, F. Chain Analysis of Genetic Algorithms with Niching. In Proceedings of the 5th International Conference on Genetic Algorithms, San Francisco, CA, USA, 1 June 1993; Morgan Kaufmann Publishers Inc.: San Francisco, CA, USA, 1993; pp. 110–117. [Google Scholar]
- Coelho, L.D.S. A quantum particle swarm optimizer with chaotic mutation operator. Chaos Solitons Fractals 2008, 37, 1409–1418. [Google Scholar] [CrossRef]
- Zhang, H.; Liu, F.; Zhou, Y.; Zhang, Z. A hybrid method integrating an elite genetic algorithm with tabu search for the quadratic assignment problem. Inf. Sci. 2020, 539, 347–374. [Google Scholar] [CrossRef]
- Alzo’ubi, A.; Martin, C.D.; Cruden, D. Influence of tensile strength on toppling failure in centrifuge tests. Int. J. Rock Mech. Min. Sci. 2010, 47, 974–982. [Google Scholar] [CrossRef]
- Kawamoto, T. The stability of slopes and underground openings against flexural toppling and their stabilisation. Rock Mech. Rock Eng. 1992, 25, 143–165. [Google Scholar] [CrossRef]
- Wyllie, D.C. Foundations on Rock: Engineering Practice, 2nd ed.; CRC Press: London, UK, 2014; ISBN 978-0-429-17841-2. [Google Scholar]
- Zheng, Y.; Chen, C.; Liu, T.; Zhang, H.; Xia, K.; Liu, F. Study on the mechanisms of flexural toppling failure in anti-inclined rock slopes using numerical and limit equilibrium models. Eng. Geol. 2018, 237, 116–128. [Google Scholar] [CrossRef]
- Zheng, Y.; Chen, C.; Meng, F.; Liu, T.; Xia, K. Assessing the stability of rock slopes with respect to flexural toppling failure using a limit equilibrium model and genetic algorithm. Comput. Geotech. 2020, 124, 103619. [Google Scholar] [CrossRef]
- Alamanis, N.; Dakoulas, P. Effects of spatial variability of soil properties and ground motion characteristics on permanent displacements of slopes. Soil Dyn. Earthq. Eng. 2022, 161, 107386. [Google Scholar] [CrossRef]
- Chen, L.; Zhang, W.; Chen, F.; Gu, D.; Wang, L.; Wang, Z. Probabilistic assessment of slope failure considering anisotropic spatial variability of soil properties. Geosci. Front. 2022, 13, 101371. [Google Scholar] [CrossRef]
- Dou, X.; Wang, R.; Li, C.; Zheng, C.; Zhou, X. Spatial distribution of soil water, plant roots, and water use pattern under different drip fertigation regimes in an apple-soybean intercropping system on the Loess Plateau, China. Agric. Water Manag. 2022, 269, 107718. [Google Scholar] [CrossRef]
- Jiang, S.-H.; Huang, J.; Huang, F.; Yang, J.; Yao, C.; Zhou, C.-B. Modelling of spatial variability of soil undrained shear strength by conditional random fields for slope reliability analysis. Appl. Math. Model. 2018, 63, 374–389. [Google Scholar] [CrossRef]
- Matérn, B. Spatial Variation; Springer Science & Business Media: Berlin/Heidelberg, Germany, 2013. [Google Scholar]
- De Maesschalck, R.; Jouan-Rimbaud, D.; Massart, D.L. The Mahalanobis distance. Chemom. Intell. Lab. Syst. 2000, 50, 1–18. [Google Scholar] [CrossRef]












| Parameters | Values |
|---|---|
| 300 | |
| 61 | |
| Angle between the normal to the joints and the horizontal direction | 10 |
| 10 | |
| 1.4 | |
| 37 | |
| 1.4 | |
| 2380 | |
| 0 | |
| 26 |
Disclaimer/Publisher’s Note: The statements, opinions and data contained in all publications are solely those of the individual author(s) and contributor(s) and not of MDPI and/or the editor(s). MDPI and/or the editor(s) disclaim responsibility for any injury to people or property resulting from any ideas, methods, instructions or products referred to in the content. |
© 2023 by the authors. Licensee MDPI, Basel, Switzerland. This article is an open access article distributed under the terms and conditions of the Creative Commons Attribution (CC BY) license (https://creativecommons.org/licenses/by/4.0/).
Share and Cite
Xiao, Y.; Li, D.; Huang, C.; Ding, B.; Wang, Y. Improved Fracture Surface Analysis of Anticline Rocky Slopes Using a Modified AGA Approach: Feasibility and Effectiveness Evaluation. Sustainability 2023, 15, 7455. https://doi.org/10.3390/su15097455
Xiao Y, Li D, Huang C, Ding B, Wang Y. Improved Fracture Surface Analysis of Anticline Rocky Slopes Using a Modified AGA Approach: Feasibility and Effectiveness Evaluation. Sustainability. 2023; 15(9):7455. https://doi.org/10.3390/su15097455
Chicago/Turabian StyleXiao, Yan, Dongchen Li, Can Huang, Bosong Ding, and You Wang. 2023. "Improved Fracture Surface Analysis of Anticline Rocky Slopes Using a Modified AGA Approach: Feasibility and Effectiveness Evaluation" Sustainability 15, no. 9: 7455. https://doi.org/10.3390/su15097455
APA StyleXiao, Y., Li, D., Huang, C., Ding, B., & Wang, Y. (2023). Improved Fracture Surface Analysis of Anticline Rocky Slopes Using a Modified AGA Approach: Feasibility and Effectiveness Evaluation. Sustainability, 15(9), 7455. https://doi.org/10.3390/su15097455

