Decision-Making in a Closed-Loop Supply Chain under Fairness Concerns and Optimal Subsidies
Abstract
1. Introduction
- (1)
- How does the fairness issue influence pricing decisions and optimal subsidy in CLSC?
- (2)
- What attitude will enterprises choose to treat fairness concerns in the government-led CLSC?
- (3)
- In light of government subsidy and the subordinate retailer’s fairness concerns, how can supply chain companies achieve coordination?
2. Literature Review
2.1. CLSC Management under Government Subsidy
2.2. Fairness Concerns and Coordination in the Supply Chain
2.3. Research Gap
- (1)
- Solving the firms’ pricing decisions and different attitudes towards fairness issues in the government-led CLSC;
- (2)
- A two-part tariff contract is designed to coordinate the three-echelon CLSC with fairness concerns;
- (3)
- Analyzing the impacts of waste pollution and fairness issues on economic benefits and social welfare.
3. Model Description and Assumptions
3.1. Problem Description
3.2. Notations
3.3. Assumptions
- Maximizing social welfare is the purpose of the remanufacturing subsidy, and we denote social welfare as the sum of the revenues of enterprises, consumer surplus , subsidy expenditure , and the environmental impact of products that have not been recycled [38]. The social welfare function is , where is the environmental damage per unit of used unrecycled product. represents the distinction between the price that consumers actually pay in the market and the highest price they are willing to pay for a specific number of products. The function is [20].
4. Model Development and Solution
4.1. Model N
4.2. Model RY
4.3. Model RN
4.4. Model C
4.5. Analysis of Equilibrium Results
- (1) , ; when , and , otherwise, and ; when , , otherwise, ; when , , otherwise, .
- (2) ; when , , otherwise, ; when , , otherwise, ; when , , otherwise, .
- (3) ; when , , otherwise, ; when , , otherwise, ; when , , otherwise, .
- Note: , ,
- , , , , , , .
5. Coordination Mechanism
- Note: , ,
- , .
- (1) The lower bounds of the fixed fees , are related positively with ; is related negatively with , increase with , when , otherwise, it decreases with .
- (2) The upper bounds of the fixed fees , are independent of , and decrease with .
- Note: .
6. Numerical Analysis
6.1. Comparing Models
6.2. The Impacts of Parameters on Firms’ Attitudes toward Fairness Concerns and Coordination
6.3. Analysis of the Coordination Process
6.4. The Impact of Corporate Coordination on Social Welfare
7. Discussion and Managerial Insights
8. Conclusions
- (1)
- The waste product pollution degree impacts government subsidies, while the amount of recycling is not affected by the retailer’s fairness concerns. The government engages in more subsidized expenditure to deal with the fairness concerns ignored by the manufacturer (cf. Conclusion 1).
- (2)
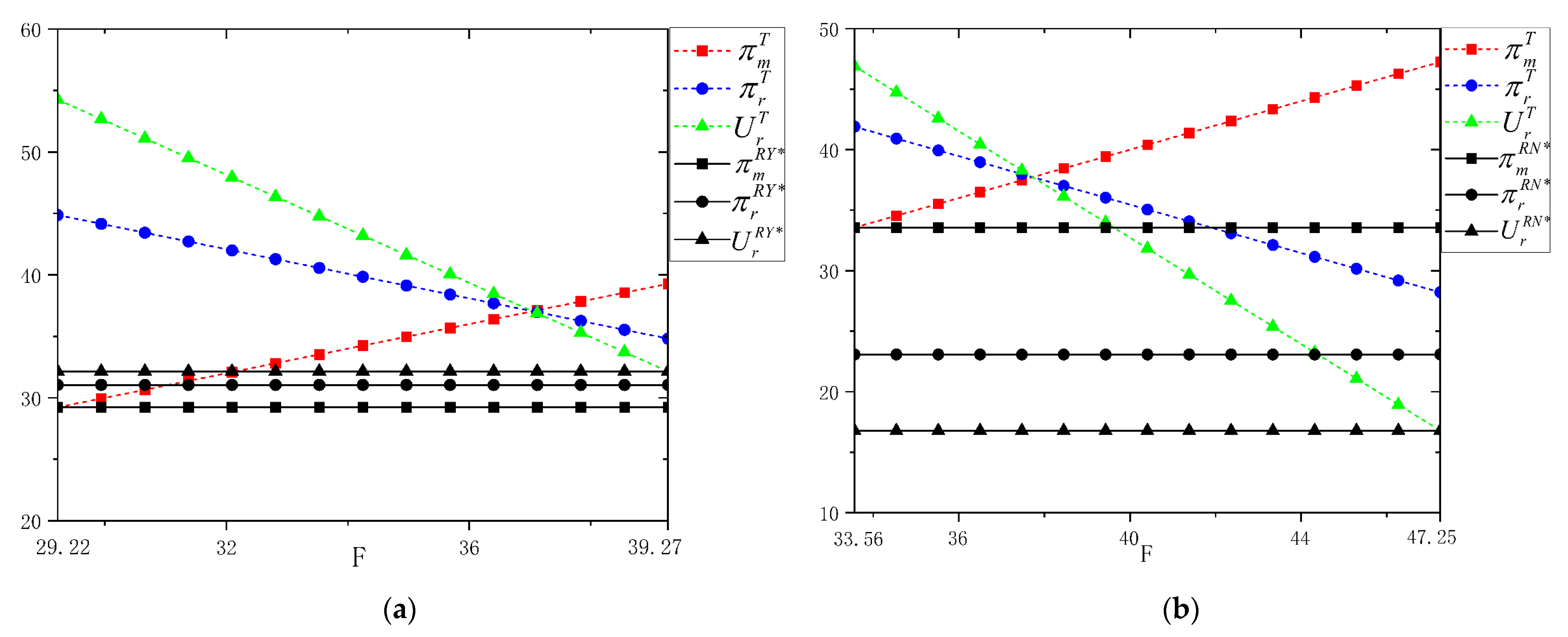
- In the decentralized models, when the unit waste pollution is low while the level of fairness concerns is significant, the manufacturer responds to the fairness concerns to mitigate the profit loss. With the rise in , the manufacturer will choose to ignore concerns, and the increase in the level of fairness concerns would provide more overall benefits to enterprises in this situation (cf. Figure 2 and Figure 3, and Conclusion 2).
- (3)
- As a subordinate enterprise, the retailer is always willing to maintain fairness concerns in response to the manufacturer’s two kinds of attitudes in different scenarios (cf. Figure 2 and Conclusion 2).
- (4)
Author Contributions
Funding
Institutional Review Board Statement
Informed Consent Statement
Data Availability Statement
Acknowledgments
Conflicts of Interest
Appendix A
- Solution procedure of model N:
- Solution procedure of model RY:
- Solution procedure of model RN:
- Solution procedure of model C
- (1), when , , otherwise ;When , , otherwise ;When , , otherwise ; , when , , otherwise .
- (2)when , , otherwise ; , when , , otherwise ; , when , , otherwise .
- (3)when , , otherwise ; , when , , otherwise ; , when , , otherwise .
- , we know that . This means that, whenwhen , ;
- when , ;
- when , . □
- (1)
- , ;
- ;
- , when , ,
- otherwise .
- (2)□
References
- Ma, C.M. Impacts of demand disruption and government subsidy on closed-loop supply chain management: A model based approach. Environ. Technol. Innov. 2022, 27, 102425. [Google Scholar] [CrossRef]
- Asghari, M.; Afshari, H.; Mirzapour Al-e-hashem, S.M.J.; Fathollahi-Fard, A.M.; Dulebenets, M.A. Pricing and advertising decisions in a direct-sales closed-loop supply chain. Comput. Ind. Eng. 2022, 171, 108439. [Google Scholar] [CrossRef]
- Reimann, M. Accurate response with refurbished consumer returns. Decis. Sci. 2016, 47, 31–59. [Google Scholar] [CrossRef]
- Savaskan, R.C.; Bhattacharya, S.; Van Wassenhove, L.N. Closed-loop supply chain models with product remanufacturing. Manag. Sci. 2004, 50, 239–252. [Google Scholar] [CrossRef]
- Sun, H.; Chen, W.; Liu, B.; Chen, X. Economic lot scheduling problem in a remanufacturing system with returns at different quality grades. J. Clean. Prod. 2018, 170, 559–569. [Google Scholar] [CrossRef]
- Ding, J.; Chen, W.; Wang, W. Production and carbon emission reduction decisions for remanufacturing firms under carbon tax and take-back legislation. Comput. Ind. Eng. 2020, 143, 106419. [Google Scholar] [CrossRef]
- Bhatia, M.S.; Srivastava, R.K.; Jakhar, S.K.; Kumar, S. What’s critical for closed-loop supply chain operations?-Findings from the Indian small and medium manufacturing enterprises. J. Clean. Prod. 2022, 372, 133791. [Google Scholar] [CrossRef]
- Malekinejad, P.; Ziaeian, M.; Bamakan, S.M.H. A communication model for reducing the bullwhip effect in closed-loop supply chain. Adv. Ind. Manuf. Eng. 2022, 5, 100086. [Google Scholar] [CrossRef]
- Wang, Z.; Huo, J.; Duan, Y. Impact of government subsidies on pricing strategies in reverse supply chains of waste electrical and electronic equipment. Waste Manag. 2019, 95, 440–449. [Google Scholar] [CrossRef]
- Zhang, Y.; Hong, Z.; Chen, Z.; Glock, C.H. Tax or subsidy? Design and selection of regulatory policies for remanufacturing. Eur. J. Oper. Res. 2020, 287, 885–900. [Google Scholar] [CrossRef]
- Feng, D.; Shen, C.; Pei, Z. Production decisions of a closed-loop supply chain considering remanufacturing and refurbishing under government subsidy. Sustain. Prod. Consump. 2021, 27, 2058–2074. [Google Scholar] [CrossRef]
- Liu, Z.; Li, K.W.; Tang, J.; Gong, B.; Huang, J. Optimal operations of a closed-loop supply chain under a dual regulation. Int. J. Prod. Econ. 2021, 233, 107991. [Google Scholar] [CrossRef]
- Zhao, J.H.; Zeng, D.L.; Che, L.P.; Zhou, T.W.; Hu, J.Y. Research on the profit change of new energy vehicle closed-loop supply chain members based on government subsidies. Environ. Technol. Innov. 2020, 19, 100937. [Google Scholar] [CrossRef]
- Kaufmann, P.J.; Stern, L.W. Relational exchange norms, perceptions of unfairness, and retained hostility in commercial litigation. J. Confl. Resolut. 1988, 32, 534–552. [Google Scholar] [CrossRef]
- Modak, N.M.; Kazemi, N.; Cárdenas-Barrón, L.E. Investigating structure of a two-echelon closed-loop supply chain using social work donation as a Corporate Social Responsibility practice. Int. J. Prod. Econ. 2019, 207, 19–33. [Google Scholar] [CrossRef]
- Wang, Y.; Su, M.; Shen, L.; Tang, R. Decision-making of closed-loop supply chain under Corporate Social Responsibility and fairness concerns. J. Clean. Prod. 2021, 284, 125373. [Google Scholar] [CrossRef]
- Liu, J.; Zhang, R.; Duan, K. Who exhibits fairness concern is better for supply chain stability and the environment. J. Clean. Prod. 2023, 386, 135645. [Google Scholar] [CrossRef]
- Li, J.; Du, W.; Yang, F.; Hua, G. The carbon subsidy analysis in remanufacturing closed-loop supply chain. Sustainability 2014, 6, 3861–3877. [Google Scholar] [CrossRef]
- He, P.; He, Y.; Xu, H. Channel structure and pricing in a dual-channel closed-loop supply chain with government subsidy. Int. J. Prod. Econ. 2019, 213, 108–123. [Google Scholar] [CrossRef]
- Long, Q.; Tao, X.; Chen, Y.; Chen, Y.; Xu, L.; Zhang, S.; Zhang, J. Exploring combined effects of dominance structure, green sensitivity, and green preference on manufacturing closed-loop supply chains. Int. J. Prod. Econ. 2022, 251, 108537. [Google Scholar] [CrossRef]
- Liu, K.; Wang, C. Production and recycling of new energy vehicle power batteries under channel encroachment and government subsidy. Environ. Dev. Sustain. 2022, 1–27. [Google Scholar] [CrossRef]
- Shan, R.; Luo, L.; Shi, B. The choice of recycling strategies for decision-makers based on government subsidy and service budget. Environ. Dev. Sustain. 2023, 25, 1441–1472. [Google Scholar] [CrossRef]
- Jena, S.K.; Ghadge, A.; Sarmah, S.P. Managing channel profit and total surplus in a closed-loop supply chain network. J. Oper. Res. Soc. 2017, 69, 1345–1356. [Google Scholar] [CrossRef]
- Wan, N.; Hong, D. The impacts of subsidy policies and transfer pricing policies on the closed-loop supply chain with dual collection channels. J. Clean Prod. 2019, 224, 881–891. [Google Scholar] [CrossRef]
- Li, C.-F.; Guo, X.-Q.; Du, D.-L. Pricing Decisions in Dual-Channel Closed-Loop Supply Chain Under Retailer’s Risk Aversion and Fairness Concerns. J. Oper. Res. Soc. China 2020, 9, 641–657. [Google Scholar] [CrossRef]
- Shu, Y.; Dai, Y.; Ma, Z.-J. Pricing Decisions in Closed-Loop Supply Chains With Multiple Fairness-Concerned Collectors. IEEE Access 2020, 8, 151335–151349. [Google Scholar] [CrossRef]
- Mitra, S.; Webster, S. Competition in remanufacturing and the effects of government subsidies. Int. J. Prod. Econ. 2008, 111, 287–298. [Google Scholar] [CrossRef]
- Ma, W.; Zhao, Z.; Ke, H. Dual-channel closed-loop supply chain with government consumption-subsidy. Eur. J. Oper. Res. 2013, 226, 221–227. [Google Scholar] [CrossRef]
- Zhang, X.M.; Li, Q.W.; Liu, Z.; Chang, C.T. Optimal pricing and remanufacturing mode in a closed-loop supply chain of WEEE under government fund policy. Comput. Ind. Eng. 2021, 151, 106951. [Google Scholar] [CrossRef]
- Huang, Y.; Liang, Y. Exploring the strategies of online and offline recycling channels in closed-loop supply chain under government subsidy. Environ. Sci. Pollut. Res. 2022, 29, 21591–21602. [Google Scholar] [CrossRef]
- Cui, T.H.; Raju, J.S.; Zhang, Z.J. Fairness and channel coordination. Manag. Sci. 2007, 53, 1303–1314. [Google Scholar] [CrossRef]
- Li, Q.-H.; Li, B. Dual-channel supply chain equilibrium problems regarding retail services and fairness concerns. Appl. Math. Model. 2016, 40, 7349–7367. [Google Scholar] [CrossRef]
- Jian, J.; Li, B.; Zhang, N.; Su, J. Decision-making and coordination of green closed-loop supply chain with fairness concern. J. Clean Prod. 2021, 298, 126779. [Google Scholar] [CrossRef]
- Wang, K.; Zeng, H.; Yuan, Y.; Zhang, C.; Liu, L. Green or non-green: A game to introduce decision making under fairness concerns. Technol. Forecast. Soc. Chang. 2022, 185, 122050. [Google Scholar] [CrossRef]
- Shi, W.; Hu, J.; Sun, S.; Meng, Q.; Zhang, X. Green supply chain decision-making considering retailer’s fairness concerns and government subsidy policy. Math. Probl. Eng. 2022, 2022, 6009764. [Google Scholar] [CrossRef]
- Han, Q.; Wang, Y.; Shen, L.; Dong, W. Decision and coordination of low-carbon e-commerce supply chain with government carbon subsidies and fairness concerns. Complexity 2020, 2020, 1974942. [Google Scholar] [CrossRef]
- Bakal, I.S.; Akcali, E. Effects of Random Yield in Remanufacturing with Price-Sensitive Supply and Demand. Prod. Oper. Manag. 2009, 15, 407–420. [Google Scholar] [CrossRef]
- Wu, C.-H. A dynamic perspective of government intervention in a competitive closed-loop supply chain. Eur. J. Oper. Res. 2021, 294, 122–137. [Google Scholar] [CrossRef]
- Chen, J.; Zhou, Y.-W.; Zhong, Y. A pricing/ordering model for a dyadic supply chain with buyback guarantee financing and fairness concerns. Int. J. Prod. Res. 2017, 55, 5287–5304. [Google Scholar] [CrossRef]
- Zhang, R.; Ma, W.; Si, H.; Liu, J.; Liao, L. Cooperative game analysis of coordination mechanisms under fairness concerns of a green retailer. J. Retail. Consum. Serv. 2021, 59, 102361. [Google Scholar] [CrossRef]
- Bai, Q.; Chen, M.; Xu, L. Revenue and promotional cost-sharing contract versus two-part tariff contract in coordinating sustainable supply chain systems with deteriorating items. Int. J. Prod. Econ. 2017, 187, 85–101. [Google Scholar] [CrossRef]







| Author(s) | Stages of Games | CLSC | Subsidy Set | SW | Treatment of FC | Coordination Contract |
|---|---|---|---|---|---|---|
| Mitra and Webster [27] | 2 | ✓ | EX | - | - | - |
| Long et al. [20] | 3 | ✓ | EX | ✓ | - | - |
| Feng et al. [11] | 2 | ✓ | EX | ✓ | - | - |
| Liu and Wang [21] | 3 | ✓ | EN | ✓ | - | - |
| Shan et al. [22] | 2 | ✓ | EX | ✓ | - | - |
| Ma et al. [28] | 2 | ✓ | EX | - | - | - |
| He et al. [19] | 2 | ✓ | EX | ✓ | - | - |
| Jena et al. [23] | 2 | ✓ | EX | - | - | - |
| Wan and Hong [24] | 2 | ✓ | EX | - | - | - |
| Zhao et al. [13] | 2 | ✓ | EX | - | - | - |
| Zhang et al. [29] | 2 | ✓ | EX | ✓ | - | - |
| Ma [1] | 2 | ✓ | EX | - | - | - |
| Huang and Liang [30] | 2 | ✓ | EX | - | - | - |
| Cui et al. [31] | 2 | - | - | - | R | wholesale price |
| Li and Li [32] | 2 | - | - | - | R | wholesale price |
| Shu et al. [26] | 2 | ✓ | - | - | R/D | two-part tariff |
| Li et al. [25] | 2 | ✓ | - | - | R/D | - |
| Liu et al. [17] | 2 | - | - | - | R | - |
| Jian et al. [33] | 2 | - | - | - | R | profit-sharing |
| Wang et al. [34] | 2 | - | - | - | R | - |
| Wang et al. [16] | 2 | - | EX | - | R | sharing of cost and subsidy |
| Shi et al. [35] | 2 | - | - | - | R | sharing of cost and profit |
| Han et al. [36] | 2 | - | - | - | R | sharing of cost and profit |
| This study | 3 | ✓ | EN | ✓ | R/D | two-part tariff |
| Notations | Definitions |
|---|---|
| Indices: | |
| , denotes the manufacturer, the retailer, and the supply chain | |
| , denotes the models N, RY, RN, and C, and the coordination scenario T | |
| Parameters: | |
| Initial market scale | |
| The price elasticity coefficient of a product | |
| Unit production cost of using new materials | |
| Unit production cost of using a waste product | |
| Unit saving through remanufacturing | |
| Consumer’s environmental awareness | |
| The consumer sensitivity of the recycling price | |
| Environmental burden of an unrecycled product | |
| The fairness concern coefficient | |
| Decision variables: | |
| The retail price | |
| The wholesale price | |
| Unit recycling price paid to consumers | |
| Unit transfer price paid to the retailer | |
| Unit remanufacturing subsidy | |
| Outcome variables: | |
| The market demand | |
| The production of products | |
| The recycling volume | |
| The profit function | |
| The fairness-concerned retailer’s utility | |
| The social welfare | |
| , | The negotiation bottom line and upper bound of enterprises |
| Parameters | Value |
|---|---|
| 200 | |
| 8 | |
| 19 | |
| 17 | |
| 2 | |
| 0.2 | |
| 1.4 |
Disclaimer/Publisher’s Note: The statements, opinions and data contained in all publications are solely those of the individual author(s) and contributor(s) and not of MDPI and/or the editor(s). MDPI and/or the editor(s) disclaim responsibility for any injury to people or property resulting from any ideas, methods, instructions or products referred to in the content. |
© 2023 by the authors. Licensee MDPI, Basel, Switzerland. This article is an open access article distributed under the terms and conditions of the Creative Commons Attribution (CC BY) license (https://creativecommons.org/licenses/by/4.0/).
Share and Cite
Deng, Z.; Shaharudin, M.R.; Tseng, M.-L. Decision-Making in a Closed-Loop Supply Chain under Fairness Concerns and Optimal Subsidies. Sustainability 2023, 15, 7380. https://doi.org/10.3390/su15097380
Deng Z, Shaharudin MR, Tseng M-L. Decision-Making in a Closed-Loop Supply Chain under Fairness Concerns and Optimal Subsidies. Sustainability. 2023; 15(9):7380. https://doi.org/10.3390/su15097380
Chicago/Turabian StyleDeng, Zichun, Mohd Rizaimy Shaharudin, and Ming-Lang Tseng. 2023. "Decision-Making in a Closed-Loop Supply Chain under Fairness Concerns and Optimal Subsidies" Sustainability 15, no. 9: 7380. https://doi.org/10.3390/su15097380
APA StyleDeng, Z., Shaharudin, M. R., & Tseng, M.-L. (2023). Decision-Making in a Closed-Loop Supply Chain under Fairness Concerns and Optimal Subsidies. Sustainability, 15(9), 7380. https://doi.org/10.3390/su15097380

