Long-Term Conservation Agriculture Influences Weed Diversity, Water Productivity, Grain Yield, and Energy Budgeting of Wheat in North-Western Indo-Gangetic Plains
Abstract
1. Introduction
2. Material and Methods
2.1. Experimental Site and Weather Conditions
2.2. Soil Characteristics
2.3. Treatments/Experiment Details
2.4. Agronomic Management
2.5. Biometric Observations Recorded
2.5.1. Weed Counts and Biomass
2.5.2. Diversity Analysis of Weeds
2.5.3. Wheat Yield and Net Returns
2.5.4. Water Productivity/Use Efficiency
2.5.5. Energy Auditing
2.5.6. Partial Factor Productivity (PFP) of Major Nutrients
2.6. Statistical Analysis
3. Results
3.1. Weed Diversity and Interference
3.1.1. Weed Density and Dry Weight
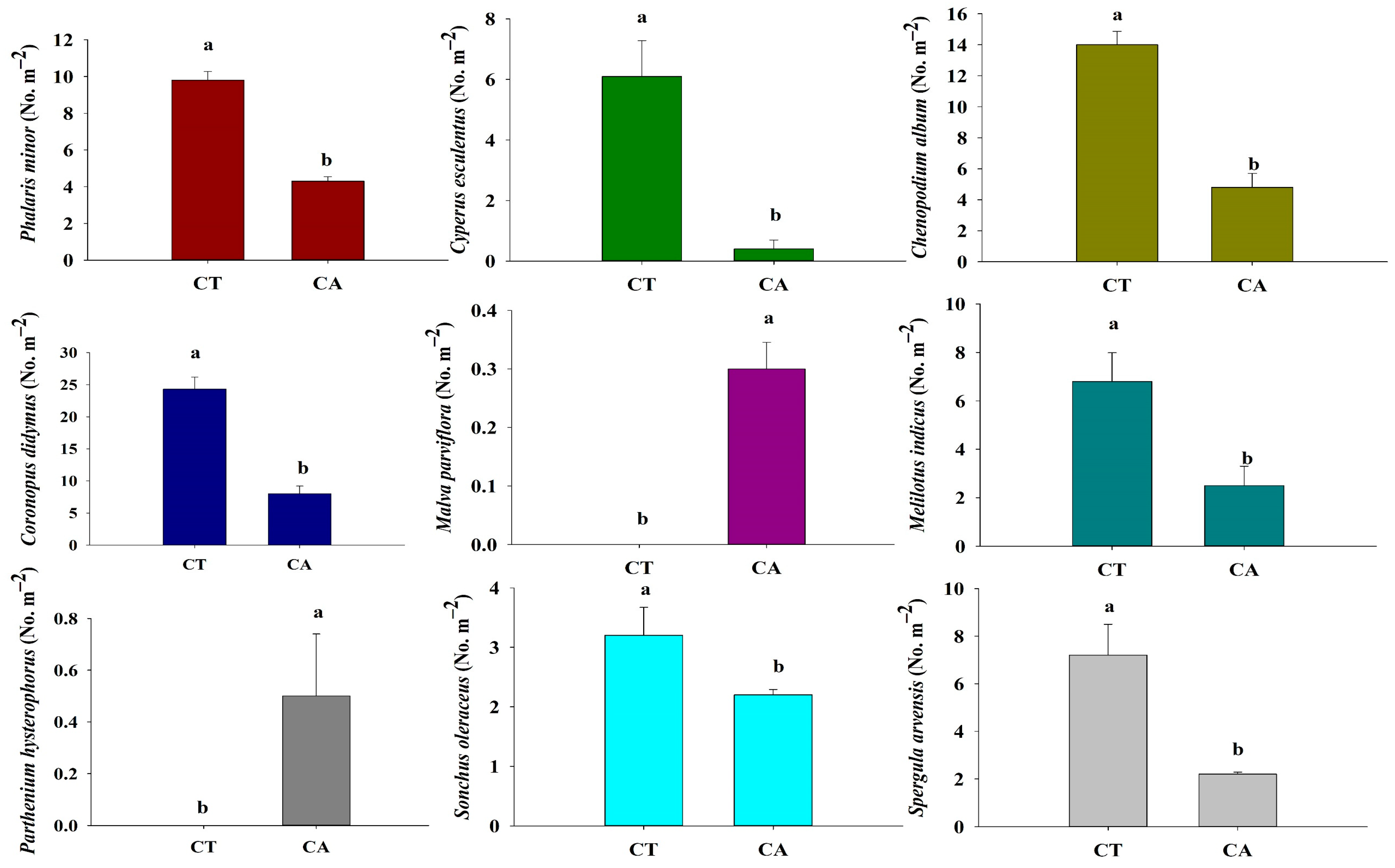
3.1.2. Weed Species Diversity
3.2. Wheat Productivity and Profitability
3.3. Resource-Use Efficiency
3.3.1. Water Productivity/Use Efficiency
3.3.2. Energy Productivity/Use Efficiency
3.3.3. Partial Factor Productivity of Nutrients
4. Discussion
4.1. Effect on Weed Interference
4.2. Effect on Wheat Productivity and Profitability
4.3. Effect on Water, Energy, and Nutrient-Use Efficiency
5. Conclusions
Author Contributions
Funding
Institutional Review Board Statement
Informed Consent Statement
Data Availability Statement
Acknowledgments
Conflicts of Interest
References
- Jat, M.L.; Dagar, J.C.; Sapkota, T.B.; Yadvinder-Singh; Govaerts, B.; Ridaura, S.L.; Saharawat, Y.S.; Sharma, R.K.; Tetarwal, J.P.; Jat, R.K.; et al. Climate Change and Agriculture: Adaptation Strategies and Mitigation Opportunities for Food Security in South Asia and Latin America. Adv. Agron. 2016, 137, 127–235. [Google Scholar] [CrossRef]
- Das, T.K.; Bandyopadhyay, K.K.; Bhattacharyya, R.; Sudhishri, S.; Sharma, A.R.; Behera, U.K.; Saharawat, Y.S.; Sahoo, P.K.; Pathak, H.; Vyas, A.K.; et al. Effects of conservation agriculture on crop productivity and water-use efficiency under an irrigated pigeonpea–wheat cropping system in the western Indo-Gangetic Plains. J. Agric. Sci. 2016, 154, 1327–1342. [Google Scholar] [CrossRef]
- Dwivedi, B.S.; Shukla, A.K.; Singh, V.K.; Yadav, R.L. Results of participatory diagnosis of constraints and opportunities (PDCO) based trials from the state of Uttar Pradesh. In Development of Farmers’ Resource Based Integrated Plant Nutrient Supply Systems: Experience of a FAO–ICAR–IFFCO Collaborative Project and AICRP on Soil Test Crop Response Correlation; Rao, A.S., Srivastava, S., Eds.; IISS: Bhopal, India, 2001; pp. 50–75. [Google Scholar]
- Gathala, M.K.; Kumar, V.; Sharma, P.C.; Saharawat, Y.S.; Jat, M.S.; Singh, M.; Kumar, A.; Jat, M.L.; Humphreys, E.; Sharma, D.K.; et al. Optimizing intensive cereal-based cropping systems addressing current and future drivers of agricultural change in the northwestern Indo-Gangetic plains of India. Agric. Ecosyst. Environ. 2013, 177, 85–97. [Google Scholar] [CrossRef]
- Das, T.K.; Bhattacharyya, R.; Sudhishri, S.; Sharma, A.R.; Saharawat, Y.S.; Bandyopadhyay, K.K.; Sepat, S.; Bana, R.S.; Aggarwal, P.; Sharma, R.K.; et al. Conservation agriculture in an irrigated cotton–wheat system of the western Indo-Gangetic Plains: Crop and water productivity and economic profitability. Field Crops Res. 2014, 158, 24–33. [Google Scholar] [CrossRef]
- Das, T.K.; Saharawat, Y.S.; Bhattacharyya, R.; Sudhishri, S.; Bandyopadhyay, K.K.; Sharma, A.R.; Jat, M.L. Conservation agriculture effects on crop and water productivity, profitability and soil organic carbon accumulation under a maize-wheat cropping system in the North-western Indo-Gangetic Plains. Field Crops Res. 2018, 215, 222–231. [Google Scholar] [CrossRef]
- Dahiya, S.S.; Chauhan, Y.S.; Johansen, C.; Waldia, R.S.; Sekhon, H.S.; Nandal, J.K. Extra-short duration pigeonpea for diversifying wheat based cropping systems in the sub-tropics. Exp. Agric. 2002, 38, 1–11. [Google Scholar] [CrossRef]
- Ghosh, P.K.; Bandyopadhyay, K.K.; Wanjari, R.H.; Manna, M.C.; Misra, A.K.; Mohanty, M.; Subba Rao, A. Legume effect for enhancing productivity and nutrient use efficiency in major cropping systems—An Indian perspective: A review. J. Sustain. Agric. 2007, 30, 59–86. [Google Scholar] [CrossRef]
- Thierfelder, C.; Cheesman, S.; Rusinamhodzi, L. A comparative analysis of conservation agriculture systems: Benefits and challenges of rotations and intercropping in Zimbabwe. Field Crops Res. 2012, 137, 237–250. [Google Scholar] [CrossRef]
- Singh, V.K.; Dwivedi, B.S.; Shukla, A.K.; Chauhan, Y.S.; Yadav, R.L. Diversification of rice with pigeonpea in a rice–wheat cropping system on a Typic Ustochrept: Effect on soil fertility, yield and nutrient use efficiency. Field Crops Res. 2005, 92, 85–105. [Google Scholar] [CrossRef]
- Zheng, C.; Jiang, Y.; Chen, C.; Sun, Y.; Feng, J.; Deng, A.; Song, Z.; Zhang, W. The impact of conservation agriculture on crop yield in China depends on specific practices, crops and cropping regions. Crop J. 2014, 2, 289–296. [Google Scholar] [CrossRef]
- Kassam, A.; Friedrich, T.; Derpsch, R. Successful experiences and lessons from conservation agriculture worldwide. Agronomy 2022, 12, 769. [Google Scholar] [CrossRef]
- Chauhan, B.S.; Singh, R.; Mahajan, G. Ecology and management of weeds under conservation agriculture: A review. Crop Prot. 2012, 38, 57–65. [Google Scholar] [CrossRef]
- Chauhan, B.S.; Gill, G.S.; Preston, C. Effect of seeding systems and dinitroaniline herbicides on emergence and control of rigid ryegrass (Lolium rigidum) in wheat. Weed Technol. 2007, 21, 53–58. [Google Scholar] [CrossRef]
- Govindasamy, P.; Sarangi, D.; Provin, T.; Hons, F.; Bagavathiannan, M. Thirty-six years of no-tillage regime altered weed population dynamics in soybean. Agron. J. 2021, 113, 2926–2937. [Google Scholar] [CrossRef]
- Buhler, D.; Stoltenberg, D.; Becker, R.; Gunsolus, J. Perennial Weed Populations After 14 Years of Variable Tillage and Cropping Practices. Weed Sci. 1994, 42, 205–209. [Google Scholar] [CrossRef]
- Govindasamy, P.; Sarangi, D.; Provin, T.; Hons, F.; Bagavathiannan, M. No-tillage altered weed species dynamics in a long-term (36-year) grain sorghum experiment in southeast Texas. Weed Sci. 2020, 68, 476–484. [Google Scholar] [CrossRef]
- Roper, M.; Ward, P.; Keulen, A.; Hill, J. Under no-tillage and stubble retention, soil water content and crop growth are poorly related to soil water repellency. Soil Tillage Res. 2013, 126, 143–150. [Google Scholar] [CrossRef]
- Pasricha, N.S. Conservation Agriculture Effects on Dynamics of Soil C and N under Climate Change Scenario. Adv. Agron. 2017, 145, 269–312. [Google Scholar] [CrossRef]
- Wang, H.; Wang, S.; Yu, Q.; Zhang, Y.; Wang, R.; Li, J.; Wang, X. No tillage increases soil organic carbon storage and decreases carbon dioxide emission in the crop residue-returned farming system. J. Environ. Manag. 2020, 261, 110261. [Google Scholar] [CrossRef]
- Jahangir, M.M.R.; Nitu, T.T.; Uddin, S.; Siddaka, A.; Sarker, P.; Khan, S.; Jahiruddin, M.; Müller, C. Carbon and nitrogen accumulation in soils under conservation agriculture practices decreases with nitrogen application rates. Appl. Soil Ecol. 2021, 168, 104178. [Google Scholar] [CrossRef]
- Govaerts, B.; Sayre, K.D.; Lichter, K.; Dendooven, L.; Deckers, J. Influence of permanent raised bed planting and residue management on physical and chemical soil quality in rain fed maize/wheat systems. Plant Soil 2007, 291, 39–54. [Google Scholar] [CrossRef]
- Lal, R. Conservation tillage for sustainable agriculture: Tropics versus temperate environments. Adv. Agron. 1989, 42, 85–197. [Google Scholar]
- Godwin, R.J. Agricultural Engineering in Development: Tillage for Crop Production in Areas of Low Rainfall; FAO: Rome, Italy, 1990; p. 124. [Google Scholar]
- Yadav, G.S.; Saha, P.; Babu, S.; Das, A.; Layek, J.; Debnath, C. Effect of No-Till and Raised-Bed Planting on Soil Moisture Conservation and Productivity of Summer Maize (Zea mays) in Eastern Himalayas. Agric. Res. 2018, 7, 300–310. [Google Scholar] [CrossRef]
- Singh, V.P.; Tripathi, N.; Kumar, A. Resource conservation technology in rice–wheat cropping system: An ecological and sustainable approach. Res. J. Chem. Environ. 2011, 15, 365–371. [Google Scholar]
- Bhushan, L.; Ladha, J.K.; Gupta, R.K.; Singh, S.; Tirol-Padre, A.; Saharawat, Y.S.; Gathala, M.; Pathak, H. Saving of water and labor in a rice–wheat system with no-tillage and direct seeding technologies. Agron. J. 2007, 99, 1288–1296. [Google Scholar] [CrossRef]
- Choudhary, K.M.; Jat, H.S.; Nandal, D.P.; Bishnoi, D.K.; Sutaliya, J.M.; Choudhary, M.; Jat, M.L. Evaluating alternatives to rice-wheat system in western Indo-Gangetic Plains: Crop yields, water productivity and economic profitability. Field Crops Res. 2018, 218, 1–10. [Google Scholar] [CrossRef]
- Tripathi, S.; Das, A. Bed planting for resource conservation, diversification and sustainability of wheat based cropping system. J. Wheat Res. 2017, 9, 1–11. [Google Scholar] [CrossRef]
- Friedrich, T.; Kassam, A. No-till Farming and the Environment: Do No-Till Systems Require More Chemicals? Outlooks Pest Manag. 2012, 23, 153–157. [Google Scholar] [CrossRef]
- Ghosh, S.; Das, T.K.; Rana, K.S.; Biswas, D.R.; Das, D.K.; Singh, G.; Bhattacharyya, R.; Datta, D.; Rathi, N.; Bhatia, A. Energy budgeting and carbon footprint of contrasting tillage and residue management scenarios in rice-wheat cropping system. Soil Tillage Res. 2022, 223, 105445. [Google Scholar] [CrossRef]
- Walkley, A.; Black, I.A. An examination of the Degtjareff method for determining soil organic matter, and a proposed modification of the chromic acid filtration method. Soil Sci. 1934, 37, 29–38. [Google Scholar] [CrossRef]
- Pratibha, G.; Rao, K.V.; Srinivas, I.; Raju, B.M.K.; Shanker, A.K.; Madhavi, M.; Indoria, A.K.; Rao, M.S.; Murthy, K.; Reddy, K.S.; et al. Weed shift and community diversity in conservation and conventional agriculture systems in pigeonpea- castor systems under rainfed semi-arid tropics. Soil and Tillage Research 2021, 212, 105075. [Google Scholar] [CrossRef]
- Das, T.K.; Das, D.K. Using chemical seed dormancy breakers with herbicides for weed management in soyabean and wheat. Weed Res. 2018, 58, 188–199. [Google Scholar] [CrossRef]
- Krebs, C.J. Ecology: The Experimental Analysis of Distribution and Abundance, 3rd ed.; Harper and Row: New York, NY, USA, 1985. [Google Scholar]
- Southwood, T.R.E. Ecological Methods, 3rd ed.; Chapman and Hall: London, UK, 1978. [Google Scholar]
- Sørensen, T. A method of establishing groups of equal amplitude in plant sociology based on similarityof species and its application to analyses of the vegetation on Danish commons. Biol. Skr./K. Vidensk. Selsk. 1957, 5, 1–34. [Google Scholar]
- FAO. Irrigation Water Management: Irrigation Water Needs. In Irrigation Water Management Training Manual No. 3; FAO: Rome, Italy, 2010. [Google Scholar]
- Chaudhary, V.P.; Singh, K.K.; Pratibha, G.; Bhattacharyya, R.; Shamim, M.; Srinivas, I.; Patel, A. Energy conservation and greenhouse gas mitigation under different production systems in rice cultivation. Energy 2017, 130, 307–317. [Google Scholar] [CrossRef]
- Parihar, C.M.; Yadav, M.R.; Singh, A.K.; Kumar, B.; Pooniya, V.; Pradhan, S.; Verma, R.K.; Parihar, M.D.; Nayak, H.S.; Saharawat, Y.S. Long-term conservation agriculture and intensified cropping systems: Effects on growth, yield, water, and energy-use efficiency of maize in northwestern India. Pedosphere 2018, 28, 952–963. [Google Scholar] [CrossRef]
- Sheoran, O.P.; Tonk, D.S.; Kaushik, L.S.; Hasija, R.C.; Pannu, R.S. Statistical Software Package for Agricultural Research Workers. In Recent Advances in Information Theory, Statistics & Computer Applications; Hooda, D.S., Hasija, R.C., Eds.; Hasija Department of Mathematics Statistics, CCS HAU, Hisar.: Haryana, India, 1998; pp. 139–143. [Google Scholar]
- Das, T.K. Is transformation of weed data always necessary. Ann. Agric. Res. 1999, 20, 335–341. [Google Scholar]
- Baghel, J.K.; Das, T.K.; Mukherjee, I.; Nath, C.P.; Bhattacharyya, R.; Ghosh, S.; Raj, R. Impacts of conservation agriculture and herbicides on weeds, nematodes, herbicide residue and productivity in direct-seeded rice. Soil Tillage Res. 2020, 201, 104634. [Google Scholar] [CrossRef]
- Chhokar, R.S.; Sharma, R.K.; Jat, G.R.; Pundir, A.K.; Gathala, M.K. Effect of tillage and herbicides on weeds and productivity of wheat under rice-wheat growing system. Crop Prot. 2007, 26, 1689–1696. [Google Scholar] [CrossRef]
- Nath, C.P.; Das, T.K.; Rana, K.S.; Pathak, H.; Bhattacharyya, R.; Paul, S.; Singh, S.B.; Meena, M.C. Weed-management and wheat productivity in a conservation agriculture-based maize (Zea mays)-wheat (Triticum aestivum)-mungbean (Vigna radiata) system in north-western Indo-Gangetic plains of India. Indian J. Agron. 2015, 60, 554–563. [Google Scholar]
- Teasdale, J.R.; Mohler, C.L. Light transmittance, soil temperature, and soil moisture under residue of hairy vetch and rye. Agron. J. 1993, 85, 673–680. [Google Scholar] [CrossRef]
- Christoffoleti, P.J.; De Carvalho, S.J.P.; López-Ovejero, R.F.; Nicolai, M.; Hidalgo, E.; Da Silva, J.E. Conservation of natural resources in Brazilian agriculture: Implications on weed biology and management. Crop Protection 2007, 26, 383–389. [Google Scholar] [CrossRef]
- Mirsky, S.B.; Gallandt, E.R.; Mortensen, D.A.; Curran, W.S.; Shumway, D.L. Reducing the germinable weed seed bank with soil disturbance and cover crops. Weed Res. 2010, 50, 341–352. [Google Scholar]
- Crutchfield, D.A.; Wicks, G.A.; Burnside, O.C. Effect of winter wheat (Triticum aestivum) straw mulch level on weeds control. Weed Sci. 1986, 34, 110–111. [Google Scholar] [CrossRef]
- Nichols, V.; Verhulst, N.; Cox, R.; Govaerts, B. Weed dynamics and conservation agriculture principles: A review. Field Crops Res. 2015, 183, 56–68. [Google Scholar] [CrossRef]
- Ranaivoson, L.; Naudin, K.; Ripoche, A.; Rabeharisoa, L.; Corbeels, M. Is mulching an efficient way to control weeds? Effects of type and amount of crop residue in rainfed rice based cropping systems in Madagascar. Field Crops Res. 2018, 217, 20–31. [Google Scholar] [CrossRef]
- Schwartz, R.C.; Baumhardt, R.L.; Evett, S.R. Tillage effects on soil water redistribution and bare soil evaporation throughout a season. Soil Tillage Res. 2010, 110, 221–229. [Google Scholar] [CrossRef]
- Dhillon, S.S.; Prashar, A.; Thaman, S. Studies on bed planted wheat (Triticum aestivum L.) under different nitrogen levels and tillage methods. J. Curr. Sci. 2004, 5, 253–256. [Google Scholar]
- Tripathi, S.C.; Nagarajan, S.; Chauhan, D.S. Evaluation of zero tillage in wheat (Triticum aestivum) under different methods of rice (Oryza sativa) transplanting. Indian J. Agron. 1999, 44, 219–222. [Google Scholar]
- Bhattacharyya, R.; Bhatia, A.; Das, T.K.; Lata, S.; Kumar, A.; Tomer, R.; Singh, G.; Kumar, S.; Biswas, A.K. Aggregate-associated N and global warming potential of conservation agriculture-based cropping of maize-wheat system in the north-western Indo-Gangetic Plains. Soil Tillage Res. 2018, 182, 66–77. [Google Scholar] [CrossRef]
- Schoenau, J.J.; Campbell, C.A. Impact of crop residues on nutrient availability in conservation tillage systems. Can. J. Plant Sci. 1996, 76, 621–626. [Google Scholar] [CrossRef]
- Powlson, D.S.; Stirling, C.M.; Thierfelder, C.; White, R.P.; Jat, M.L. Does conservation agriculture deliver climate change mitigation through soil carbon sequestration in tropical agro-ecosystems? Agric. Ecosyst. Environ. 2016, 220, 164–174. [Google Scholar] [CrossRef]
- Choudhury, B.U.; Singh, A.K. Bed planted rice–wheat rotation at differential soil moisture regimes on soil hydro-physical properties, root growth, nitrogen uptake, and system productivity. Paddy Water Environ. 2013, 11, 265–275. [Google Scholar] [CrossRef]
- Hazra, K.K.; Venkatesh, M.S.; Ghosh, P.K.; Ganeshamurthy, A.N.; Kumar, N.; Nadarajan, N.; Singh, A.B. Long-term effect of pulse crops inclusion on soil–plant nutrient dynamics in puddled rice (Oryza sativa L.)-wheat (Triticum aestivum L.) cropping system on an Inceptisol of Indo-Gangetic plain zone of India. Nutr. Cycl. Agroecosys. 2014, 100, 95–110. [Google Scholar] [CrossRef]
- Erenstein, O. Smallholder conservation farming in the tropics and sub-tropics: A guide to the development and dissemination of mulching with crop residues and cover crops. Agric. Ecosyst. Environ. 2003, 100, 17–37. [Google Scholar] [CrossRef]
- Aquino, M.P. The Adoption of Bed Planting of Wheat in the Yaqui Valley, Sonora, Mexico; International Maize and Wheat Improvement Center (CIMMYT): Mexico City, Mexico, 1998. [Google Scholar]
- Erenstein, O.; Laxmi, V. Zero tillage impacts in India’s rice–wheat systems: A review. Soil Tillage Res. 2008, 100, 1–14. [Google Scholar] [CrossRef]
- Riley, H.; Borresen, T.; Ekeberg, E.; Rydberg, T. Trends in reduced tillage research and practice in Scandinavia. In Conservation Tillage in Temperate Agroecosystems; CRC Press: Boca Raton, FL, USA, 2017; pp. 23–45. [Google Scholar]
- Singh, Y.; Gupta, R.K.; Singh, G.; Singh, J.; Sidhu, H.S.; Singh, B. Nitrogen and residue management effects on agronomic productivity and nitrogen use efficiency in rice-wheat system in Indian Punjab. Nutr. Cycl. Agroecosys. 2009, 84, 141–154. [Google Scholar] [CrossRef]





| Particulars | Unit | Energy Equivalence (MJ/Unit) |
|---|---|---|
| Tractor 50HP/electric motor | kg | 68.4 a,c |
| Disc plough/disc harrow/seed drill | kg | 62.7 a,c |
| Pigeon pea residue | kg | 12.5 b |
| Diesel | litre | 56.31 a,c |
| Wheat seed | kg | 15.7 |
| Herbicide | kg | 120 a,c |
| N | kg | 60.6 a,c |
| P2O5 | kg | 11.1 a,c |
| K2O | kg | 6.7 a,c |
| Water | m3 | 1.03 b |
| Combine Harvesting | kg | 83.5 a,c |
| Electricity | kWh | 11.93 b,c |
| Labour (men) | hr | 1.96 a,c |
| Wheat grain | kg | 15.7 c |
| Wheat straw | kg | 12.5 c |
| Treatments | Weed Density at 30 DAS (Number/m2) | Weed Dry Weight at 30 DAS (g/m2) | ||||||
|---|---|---|---|---|---|---|---|---|
| Grassy | Broad-Leaved | Sedges | Total | Grassy | Broad-Leaved | Sedges | Total | |
| CT | 1.9 ‡ (3) ab† | 4.6 (20.7) a | 4.3 (18.3) a | 6.5 (42) a | 1.12 ‡ (0.7) b† | 1.23 (1.0) a | 0.83 (0.2) a | 1.57 (2.0) a |
| PNB | 2.4 (5.3) a | 3.4 (11.3) ab | 2.4 (5.7) bc | 4.8 (22.3) b | 1.49 (1.6) a | 1.04 (0.6) abc | 0.77 (0.1) a | 1.71 (2.4) a |
| PNBR75N | 1.7 (2.3) ab | 2.3 (4.6) bc | 1.9 (3) bcd | 3.2 (10) cde | 1.08 (0.7) b | 0.76 (0.1) c | 0.73 (0.1) b | 1.13 (0.8) b |
| PNBR100N | 1.5 (1.7) ab | 2.0 (3.6) c | 1.8 (3) cd | 3.0 (8.3) cde | 0.95 (0.4) b | 0.76 (0.1) c | 0.76 (0.1) a | 1.02 (0.5) b |
| PBB | 2.1 (4) ab | 2.8 (7.6) bc | 2.9 (8) b | 4.4 (19.7) bc | 1.12 (1.1) b | 0.89 (0.3) bc | 0.79 (0.1) a | 1.29 (1.2) ab |
| PBBR75N | 1.6 (2) ab | 2.1 (4) c | 1.2 (1) de | 2.9 (8) cde | 1.01 (0.5) b | 0.81 (0.1) b | 0.73 (0.1) b | 1.10 (0.7) b |
| PBBR100N | 1.6 (2) ab | 2.1 (4) c | 1.1 (0.7) de | 2.8 (7.7) de | 1.00 (0.5) b | 0.82 (0.2) c | 0.73 (0.1) b | 1.10 (0.7) b |
| PFB | 1.9 (3) ab | 3.5 (12) ab | 0.7 (0) e | 3.9 (15) bcd | 0.90 (0.3) b | 1.14 (0.8) ab | 0.71 (0) b | 1.27 (1.1) ab |
| PFBR75N | 1.2 (1) b | 1.9 (3.3) c | 0.7 (0) e | 2.2 (4.3) e | 0.83 (0.2) b | 0.85 (0.2) c | 0.71 (0) b | 0.95 (0.4) b |
| PFBR100N | 1.3 (1.3) b | 2.1 (4) c | 0.7 (0) e | 2.4 (5.3) de | 0.80 (0.1) b | 0.85 (0.2) bc | 0.71 (0) b | 0.93 (0.4) b |
| Tillage | Year | Weed Species | ||||||||
|---|---|---|---|---|---|---|---|---|---|---|
| PHMI3 | CYES | CHAL7 | CODI6 | MAPA5 | MEIN2 | PAHY | SOOL | SPAR | ||
| CT (3) | 2010–2011 | 3.6‡ (13) a† | 0.7 (0)c | 4.1 (16.5) a | 3.1 (9) c | 0.7 (0) b | 2.0 (3.5) c | 0.7 (0) b | 2.6 (6.5) a | 2.2 (4.5) b |
| 2015–2016 | 3.7 (13.5) a | 0.7 (0) c | 4.1 (16.5) a | 7.9 (62) a | 0.7 (0) b | 3.6 (12.5) a | 0.7 (0) b | 0.7 (0) c | 4.2 (17) a | |
| 2021–2022 | 1.8 (3) c | 4.3 (18.3) a | 3.0 (9) b | 1.6 (2) d | 0.7 (0) b | 2.1 (4.3) c | 0.7 (0) b | 1.9 (2.1) b | 0.7 (0) e | |
| CA (18) | 2010–2011 | 2.8 (7.7) b | 0.7 (0) c | 3.5 (11.9) ab | 2.7 (6.9) c | 0.7 (0) b | 2.8 (7.5) b | 0.7 (0) b | 2.5 (5.7) a | 2.4 (5.2) b |
| 2015–2016 | 2.0 (3.5) c | 0.7 (0) c | 1.7 (2.5) c | 4.2 (16.5) b | 0.7 (0) b | 0.7 (0) d | 0.7 (0) b | 0.7 (0) c | 1.3 (1.4) c | |
| 2021–2022 | 1.8 (3) c | 1.3 (1.3) b | 0.7 (0) d | 1.0 (0.6) e | 1.1 (0.8) a | 0.7 (0) d | 1.4 (1.4) a | 1.1 (0.8) c | 1.0 (0.4) d | |
| p value | 0.01 | <0.0001 | 0.0153 | <0.0001 | <0.0001 | 0.0004 | 0.0024 | 0.0617 | <0.0001 | |
| 2010–2011 | 2015–2016 | 2021–2022 | ||||
|---|---|---|---|---|---|---|
| CT | CA | CT | CA | CT | CA | |
| Simpson index | 0.79 | 0.82 | 0.68 | 0.48 | 0.71 | 0.83 |
| Shannon–Weiner index | 1.66 | 1.75 | 1.37 | 0.92 | 1.48 | 1.85 |
| Sørensen similarity index | 1.00 | 0.89 | 0.62 | |||
| Each CT value is a mean of 3 observations and each CA value is a mean of 18 observations. | ||||||
| Treatments | Grain Yield (t/ha) | Straw Yield (t/ha) | Cost of Cultivation (×103 INR/ha) | Net Returns (×103 INR/ha) |
|---|---|---|---|---|
| CT | 4.67 b | 7.14 b | 47.7 | 75.0 b |
| PNB | 5.05 ab | 7.34 ab | 40.2 | 90.9 a |
| PNBR75N | 5.21 ab | 7.56 ab | 45.7 | 89.5 ab |
| PNBR100N | 5.30 ab | 7.65 ab | 46.2 | 91.2 a |
| PBB | 5.09 ab | 7.43 ab | 40.2 | 92.0 a |
| PBBR75N | 5.26 ab | 7.60 ab | 45.7 | 90.7 a |
| PBBR100N | 5.33 a | 7.68 a | 46.2 | 92.0 a |
| PFB | 5.11 ab | 7.45 ab | 40.2 | 92.7 a |
| PFBR75N | 5.28 ab | 7.62 ab | 45.7 | 91.2 a |
| PFBR100N | 5.37 a | 7.71 a | 46.2 | 92.8 a |
| Contrast analysis | ||||
| CT vs. CA | 4.67 vs. 5.29 ** | 7.14 vs. 7.64 ** | - | - |
| ZT+R vs. ZT | 5.29 vs. 5.08 * | 7.64 vs. 7.40 * | - | - |
| CA75N vs. CA100N | 5.25 vs. 5.33 ns | 7.59 vs. 7.68 ns | - | - |
| Treatments | Energy Input (×103 MJ/ha) | Energy Output (×103 MJ/ha) | Energy Productivity (kg/MJ) | Energy Biomass Productivity (kg/MJ) | Energy Ratio |
|---|---|---|---|---|---|
| CT | 20.58 | 162.52 b | 0.23 b | 0.57 b | 7.90 b |
| PNB | 17.73 | 170.98 ab | 0.28 a | 0.70 a | 9.64 a |
| PNBR75N | 61.52 | 176.26 ab | 0.08 c | 0.21 cd | 2.87 cd |
| PNBR100N | 63.79 | 178.79 ab | 0.08 c | 0.20 cd | 2.80 cd |
| PBB | 17.51 | 172.69 ab | 0.29 a | 0.71 a | 9.86 a |
| PBBR75N | 59.20 | 177.57 ab | 0.09 c | 0.22 c | 3.00 c |
| PBBR100N | 61.47 | 179.73 a | 0.09 c | 0.21 cd | 2.92 cd |
| PFB | 18.23 | 173.45 ab | 0.28 a | 0.69 a | 9.52 a |
| PFBR75N | 78.68 | 178.14 ab | 0.07 c | 0.16 d | 2.26 cd |
| PFBR100N | 80.95 | 180.67 a | 0.07 c | 0.16 d | 2.23 d |
| Contrast analysis | |||||
| CT (3) vs. CA (18) | - | - | 0.23 vs. 0.08 * | 0.57 vs. 0.19 * | 7.90 vs. 2.68 * |
| ZT+R (18) vs. ZT(9) | - | - | 0.08 vs. 0.29 * | 0.19 vs. 0.70 * | 2.68 vs. 9.67 * |
| CA75N (9) vs. CA100N (9) | - | - | 0.08 vs. 0.08 ns | 0.20 vs. 0.19 ns | 2.79 vs. 2.74 ns |
| Total Water Productivity | PFPN | PFPP | PFPK | PFPNPK | |
|---|---|---|---|---|---|
| CT (3) vs. CA (18) | 11.76 vs. 15.05 * | 31.13 vs. 41.10 ** | 178.31 vs. 202.01 ** | 140.65 vs. 159.33 ** | 22.30 vs. 28.00 ** |
| ZT+R (18) vs. ZT (9) | 15.05 vs. 14.10 * | 41.10 vs. 33.88 ** | 202.01 vs. 194.73 * | 159.33 vs. 153.06 * | 28.00 vs. 24.27 ** |
| CA75N (9) vs. CA100N (9) | 14.93 vs. 15.17 ns | 46.65 vs. 35.56 ** | 200.37 vs. 203.64 ns | 158.08 vs. 160.62 ns | 30.53 vs. 25.47 ** |
Disclaimer/Publisher’s Note: The statements, opinions and data contained in all publications are solely those of the individual author(s) and contributor(s) and not of MDPI and/or the editor(s). MDPI and/or the editor(s) disclaim responsibility for any injury to people or property resulting from any ideas, methods, instructions or products referred to in the content. |
© 2023 by the authors. Licensee MDPI, Basel, Switzerland. This article is an open access article distributed under the terms and conditions of the Creative Commons Attribution (CC BY) license (https://creativecommons.org/licenses/by/4.0/).
Share and Cite
Sharma, T.; Das, T.K.; Maity, P.P.; Biswas, S.; Sudhishri, S.; Govindasamy, P.; Raj, R.; Sen, S.; Singh, T.; Paul, A.K.; et al. Long-Term Conservation Agriculture Influences Weed Diversity, Water Productivity, Grain Yield, and Energy Budgeting of Wheat in North-Western Indo-Gangetic Plains. Sustainability 2023, 15, 7290. https://doi.org/10.3390/su15097290
Sharma T, Das TK, Maity PP, Biswas S, Sudhishri S, Govindasamy P, Raj R, Sen S, Singh T, Paul AK, et al. Long-Term Conservation Agriculture Influences Weed Diversity, Water Productivity, Grain Yield, and Energy Budgeting of Wheat in North-Western Indo-Gangetic Plains. Sustainability. 2023; 15(9):7290. https://doi.org/10.3390/su15097290
Chicago/Turabian StyleSharma, Tarun, Tapas Kumar Das, Pragati Pramanik Maity, Sunanda Biswas, Susama Sudhishri, Prabhu Govindasamy, Rishi Raj, Suman Sen, Teekam Singh, Amrit Kumar Paul, and et al. 2023. "Long-Term Conservation Agriculture Influences Weed Diversity, Water Productivity, Grain Yield, and Energy Budgeting of Wheat in North-Western Indo-Gangetic Plains" Sustainability 15, no. 9: 7290. https://doi.org/10.3390/su15097290
APA StyleSharma, T., Das, T. K., Maity, P. P., Biswas, S., Sudhishri, S., Govindasamy, P., Raj, R., Sen, S., Singh, T., Paul, A. K., Roy, A., Babu, S., & Rathi, N. (2023). Long-Term Conservation Agriculture Influences Weed Diversity, Water Productivity, Grain Yield, and Energy Budgeting of Wheat in North-Western Indo-Gangetic Plains. Sustainability, 15(9), 7290. https://doi.org/10.3390/su15097290

