Distribution Characteristics and Influence Factors of Carbon in Coal Mining Subsidence Wetland
Abstract
1. Introduction
2. Materials and Methods
2.1. Overview of the Study Area
2.2. Sample Collection and Analysis
2.3. Data Processing
3. Results and Discussion
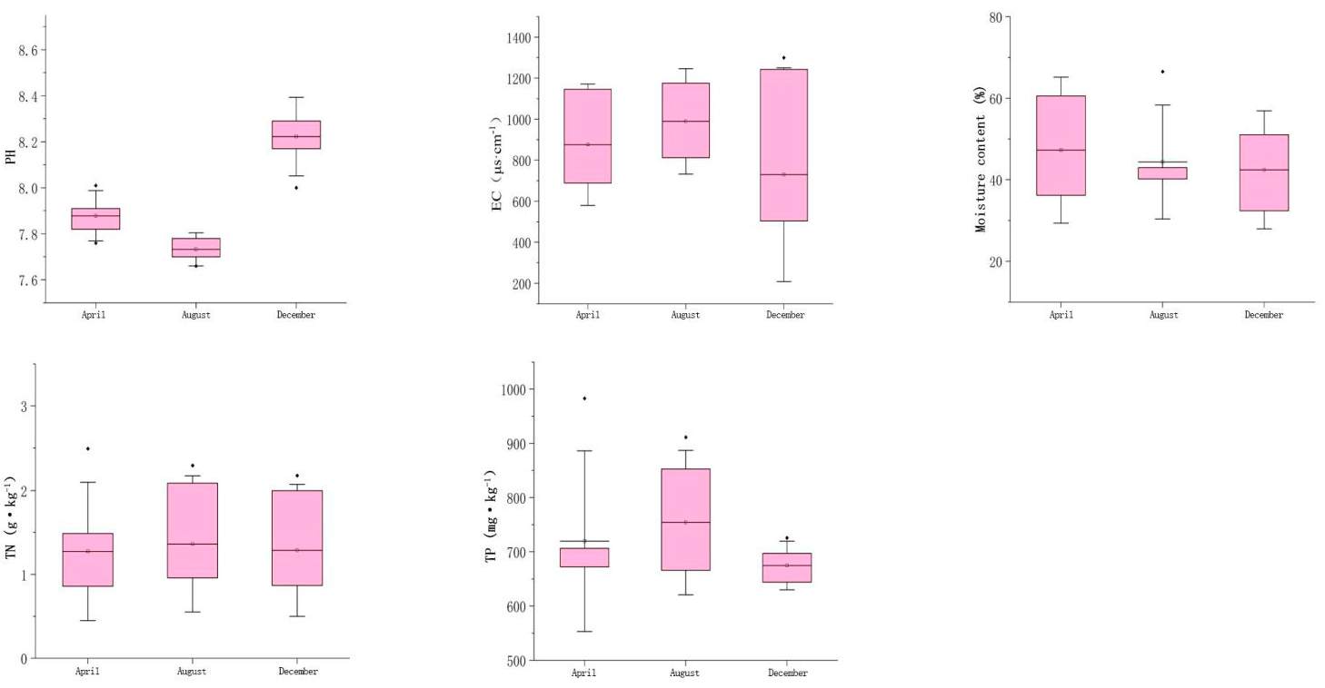
3.1. Main Physicochemical Indexes of Water and Sediment
3.2. Seasonal Variation Characteristics of Carbon Spatial Distribution in Overlying Water
3.3. Temporal Variation of Sediment Carbon
3.4. Spatial Distribution Characteristics of Sediment Carbon
3.5. Influencing Factors of Dissolved Carbon in Water
3.6. Analysis of Influencing Factors of Carbon Forms in Sediments
4. Conclusions
- (1)
- At different timescales, the physical and chemical parameters of Jiuli Lake’s overlying water showed fluctuations and significant differences in water quality. The sediment moisture content was high and had distinct seasonal variations;
- (2)
- The temporal variation of WDOC and WDIC showed opposite trends. WDTC is the sum of WDOC and WDIC, is jointly controlled by both, and is the main dissolved carbon in the water. The spatial distribution of WDOC and WDIC in the overlying water changes significantly with the seasons due to the influence of phytoplankton and hydraulic action in the lake area. The temporal variation of SOC and SDOC was similar, with higher concentrations in December, followed by April and August. Their spatial distribution was greatly affected by algae growth activities. SIC and SDIC exhibited consistent temporal variations, with higher concentrations in August and lower concentrations in December. The concentrations of SIC and SDIC complemented each other in their spatial distribution;
- (3)
- WDOC was strongly correlated with TN content. WDIC and WDTC had close correlations with other factors. WDIC was more susceptible to environmental factors. WDIC was positively correlated with SDOC and SDIC, indicating that dissolved carbon in the overlying water and sediment was interrelated and transformed. The correlation between carbon forms in sediments and the physical and chemical factors of overlying water was weak, and the effect of the physical and chemical factors of overlying water was limited.
Author Contributions
Institutional Review Board Statement
Informed Consent Statement
Data Availability Statement
Conflicts of Interest
References
- Liu, S.G.; Bliss, N.; Sundquist, E.; Huntington, T.G. Modeling carbon dynamics in vegetation and soil under the impact of soil erosion and deposition. Glob. Biogeochem. Cycles 2017, 17, 187–194. [Google Scholar] [CrossRef]
- Bernal, B.; Mitsch, W.J. Comparing carbon sequestration in temperate freshwater wetland communities. Glob. Chang. Biol. 2012, 18, 1636–1647. [Google Scholar] [CrossRef]
- Peng, S.; Ren, H.; Zhang, Q. Theories and techniques of degraded wetland ecosystem restoration. Chin. J. Appl. Ecol. 2003, 14, 2026–2030. (In Chinese) [Google Scholar]
- Bianchi, T.S.; Wysocki, L.A.; Stewart, M.; Filley, T.R.; McKee, B.A. Temporal variability in terrestrially-derived sources of particulate organic carbon in the lower Mississippi River and its upper tributaries. Geochim. Cosmochim. Acta 2007, 71, 4425–4437. [Google Scholar] [CrossRef]
- Qian, X.; Mao, S.; Jiang, Y.; Ye, C.; Lu, B.; Shan, N.; Yan, Y. Research progress of wetland carbon cycle in China based on bibliometrics. J. Environ. Eng. Technol. 2023, 13, 742–752. (In Chinese) [Google Scholar]
- Song, C.; Song, Y.; Wang, X.; Guo, Y.; Sun, L.; Zhang, X. Advance in Researches on Carbon and Nitrogen Cycles in Wetland Ecosystems under Climate Change. Wetl. Sci. 2018, 16, 424–431. (In Chinese) [Google Scholar]
- Liu, X.; Yan, Y.; Liu, W.; Huang, Z. System Construction and the Function Improvement of Ecological Carbon Sink in Coal Mining Areas Under the Carbon Neutral Strategy. Environ. Sci. 2022, 15, 102–109. (In Chinese) [Google Scholar]
- Tang, W.; Tao, Z.; Gao, Q.; Mao, H.; Jiang, J.; Jiao, S.; Zheng, X.; Zhang, Q.; Ma, Z. Biogeochemical Processes of the Major lons and Dissolved Inorganic Carbon in the Guiiang River. Environ. Sci. 2014, 35, 2099–2107. (In Chinese) [Google Scholar]
- Janzen, H.H. Carbon cycling in earth systems—A soil science perspective. Agric. Ecosyst. Environ. 2004, 104, 399–417. [Google Scholar] [CrossRef]
- Meng, T.T.; Liu, J.B. Distribution characteristics of surface soil organic carbon in different land types in the loess hilly region. IOP Conf. Series Earth Environ. Sci. 2021, 804, 102–109. [Google Scholar] [CrossRef]
- Trumbore, S.E. Comparison of carbon dynamics in tropical and temperate soils using radiocarbon measurements. Glob. Biogeochem. Cycles 1993, 72, 275–290. [Google Scholar] [CrossRef]
- Yu, Z.T.; Wang, X.J.; Zhao, C.Y.; Lan, H.Y. Carbon burial in Bosten Lake over the past century: Impacts of climate change and human activity. Chem. Geol. 2015, 419, 132–141. [Google Scholar] [CrossRef]
- Lan, J.H.; Xu, H.; Liu, B.; Sheng, E.G.; Zhao, J.T.; Yu, K.K. A large carbon pool in lake sediments over the arid semiarid region, NW China. Chin. J. Geochem. 2015, 34, 289–298. [Google Scholar] [CrossRef]
- Liu, J.; Han, G.; Yang, K.; Liu, M. Temporal and Spatial Variations of Dissolved Carbon in the Jiulongiang River Basin. Resour. Environ. Yangtze Basin 2018, 27, 2578–2587. (In Chinese) [Google Scholar]
- Xiao, Q.; Liao, Y.; Liu, Z.; Hu, Z. Characteristics of dissolved organic carbon in algal-dominated lake and its influence on methane emission. J. Nanjing Univ. Inf. Sci. Technol. 2022, 14, 21–31. (In Chinese) [Google Scholar]
- Li, N.; Wang, J. Dissolved inorganic and organic carbon in the North of East China Sea(ECS) coastal waters in Spring. Mar. Sci. 2011, 35, 5–10. (In Chinese) [Google Scholar]
- Del Vecchio, R.; Blough, N.V. Spatial and seasonal distribution of chromophoric dissolved organic matter and dissolved organic carbon in the Middle Atlantic Bight. Mar. Chem. 2014, 89, 169–187. [Google Scholar] [CrossRef]
- Zhang, J.; Bao, X.; Wang, W.; Ma, X.; Wang, X. Spatial-temporal Variations and Sources of Particulate and Dissolved Organic Carbon in Chaohu Lake. World Sci. Technol. Res. Dev. 2016, 38, 306–311+335. [Google Scholar]
- Li, Y.; Huang, X.; Zou, Y.; Xue, L.; Fan, W.; Wang, G. Isotopic composition of dissolved inorganic carbon and its source in the main stream of the Fenhe River during summer. China Environ. Sci. 2020, 40, 3871–3878. (In Chinese) [Google Scholar]
- Liu, L. Carbon and Nitrogen Sink Capability and the Ecological and Environmental Effect in Yangtze Estuarine Wetland. Ph.D. Thesis, East China Normal University, Shanghai, China, 20 April 2016. [Google Scholar]
- Cui, D.; Yan, J.; Liu, H.; Chen, C. Soil labile organic carbon fractions and the differences of their concentrations in different typesof wetlands in Yili valley. Chin. J. Ecol. 2019, 38, 2087–2093. [Google Scholar]
- Zhu, Y.; Wang, Y.; Guo, C.; Shang, Y.; Xue, D.; Li, J.; Wang, Z. Effects of long-term reclamation on soil organic and inorganic carbon contents of aggregates in a saline wetland in Tianjin. Chin. J. Ecol. 2020, 39, 206–216. [Google Scholar]
- Zhang, X.; Lv, G.; Gong, L.; Qin, L.; Li, C.; Sun, J.; Ren, M. Analysis on Soil Inorganic Carbon of Different Soil Types in the Ebinur Lake Wetland Nature Reserve in Xinjiang. J. Desert Res. 2013, 33, 1084–1090. (In Chinese) [Google Scholar]
- Song, W.; Zhang, J.; Guo, J. Characteristics of organic carbon and inorganic carbon distribution in the sediment of Hulunhu Lake. Environ. Dev. 2018, 30, 97–100+102. (In Chinese) [Google Scholar]
- Xi, P.; Dong, Q.; Zhang, Y.; Li, X.; Xia, W.; Xu, C.; Liu, M. Distribution characteristics of active components in soil organic carbon across typical plant communities in Yancheng coastal wetlands. Chin. J. Ecol. 2020, 39, 3623–3632. [Google Scholar]
- Xiao, Y.; Huang, Z.; Wu, H.; Lv, X. Compositions and contents of active organic carbon in different wetland soils in Sanjiang Plain, Northeast China. Acta Ecol. Sin. 2015, 35, 725–7633. (In Chinese) [Google Scholar]
- Yue, Y.; Zhang, X.; Gao, J.; Ding, Y.; Li, Q. Effect of Simulated Drying-Rewetting Cycles on Soil Respiration and Dissolved Organic Carbon and Nitrogen Stability in Zoige Alpine Wetlands. Res. Soil Water Conserv. 2020, 27, 81–87. (In Chinese) [Google Scholar]
- Zhao, H.; Gao, Y.; Zhao, Q.; Wang, J.; Huang, Y.; Shi, Y.; Pan, M. The distribution of soil dissolved organic carbon in wetlands under different hydrological conditions in the Yellow River Delta. J. Beijing Norm. Univ. 2021, 57, 51–58. (In Chinese) [Google Scholar]
- Aucour, A.M.; Sheppard, S.M.F.; Guyomar, O.; Wattelet, J. Use of C-13 to trace origin and cycling of inorganic carbon in the Rhone river system. Chem. Geol. 1999, 159, 87–105. [Google Scholar] [CrossRef]
- Wick, B.; Kuhne, R.F.; Vlek, P.L. Soil microbiological parameters as indicators of soil quality under improved fallow managements systems in south-western Nigeria. Plant Soil. 1998, 202, 97–107. [Google Scholar] [CrossRef]
- Li, Y.; Wang, Y.; Tang, L. The Effort to Re-Activate the Inorganic Carbon in Soil. Acta Pedol. Sin. 2016, 53, 845–849. (In Chinese) [Google Scholar]
- Wang, X.; Kong, F.; Xi, M.; Li, Y.; Sui, X. Distribution characteristics of dissolved inorganic carbon in soil of typical estuarine wetlands in Jiaozhou Bay, China. Chin. J. Appl. Ecol. 2018, 29, 2043–2050. (In Chinese) [Google Scholar]
- Liao, X.; He, D.; Wang, R.; Cai, J.; Su, S.; Zhang, Z.; Xiao, S.; Chen, Z.; Huang, P. Distribution Pattern of Soil Organic Carbon Contents in the Coastal Wetlands in Eastern Fujian. Wetl. Sci. 2013, 11, 192–197. (In Chinese) [Google Scholar]
- Wang, M.; Lai, J.; Hu, K.; Zhang, D. Compositions of stable organic carbon and nitrogen isotopes in wetland soil of Poyang Lake and its environmental implications. China Environ. Sci. 2016, 36, 500–505. (In Chinese) [Google Scholar]
- Tai, J.; Jin, Z.; Cui, L.; Pan, G. Changes in Soil Organic Carbon Fractions with Land Uses in Soils Reclaimed from Wetlands of Jianghan Plain, Hubei Province. J. Soil Water Conserv. 2011, 25, 124–128. (In Chinese) [Google Scholar]
- SWAT|Soil & Water Assessment Tool. Available online: https://swat.tamu.edu/data/ (accessed on 16 March 2023).
- Liu, Y. Study on Speciation Characteristics of Phosphorus in Overlaying Water and Sediment and Eutrophication of Jiuli Lake. Master’s Thesis, China University of Mining and Technology, Xuzhou, China, 1 May 2019. [Google Scholar]
- Su, X. Study on Appraisal of Ecosystem Services of Subsided by Coal Mining Wetland. Master’s Thesis, China University of Mining and Technology, Xuzhou, China, 1 June 2021. [Google Scholar]
- Wei, F. Methods for Monitoring and Analyzing Water and Wastewater, 4th ed.; China Environmental Science Press: Beijing, China, 2002. [Google Scholar]
- Zhang, Z.; Zhang, Y.; Huang, X.; Du, H.; Mo, J.; Qu, W.; Pi, T. Seasonal variations and influencing factors of dissolved organic carbon in pore water from the Daiiuhu peatland in Shennongjia. Bull. Geol. Sci. Technol. 2021, 40, 147–155. (In Chinese) [Google Scholar]
- Fu, Y. Soil Organic Carbon Properties of Subsidence Wetland in the Coal Mining Areas with High Ground Water Table. Ph.D. Thesis, China University of Mining and Technology (Beijing), Beijing, China, 22 March 2017. [Google Scholar]
- Jin, X.; Tu, Q. Standard for Investigation of Eutrophication in Lakes, 2nd ed.; China Environmental Science Press: Beijing, China, 1990. [Google Scholar]
- Fan, C.; Zhang, Y.; Wang, J. Influence Mechanism of Dissolved Organic Matter(DOM)from Straw Humification on Chemical Speciation of Lead in Loess Region. Spectrosc. Spect. Anal. 2015, 35, 3146–3150. [Google Scholar]
- Sun, H.; Zhang, Y.; Yu, J.; Hu, J.; Liu, Z.; Su, Y. Contribution of allochthonous dissolved organic carbon to the carbon source of planktonic crustaceans in Lake Fuxian. J. Lake Sci. 2017, 29, 887–895. (In Chinese) [Google Scholar]
- Liu, C. Photosynthetically Produced Dissolved Organic Carbon Released of Marine Phytoplankton in China Coastal Seas. Ph.D. Thesis, Ocean University of China, Shandong, China, 1 March 2012. [Google Scholar]
- Ding, B.; Jiang, D.; Li, X.; Xia, Y. Tempo-spatial distribution and its influencing factors of dissolved carbon in the Dagu River, Shandong Province. J. Agro-Environ. Sci. 2022, 41, 670–680. (In Chinese) [Google Scholar]
- Ying, M.; Quan, W.; Zhou, Q.; Xu, C.; Chen, S.; Zhang, C. Impact of Aquaculture of 2 Macroscopic Algae on DIC Content in Seawater. Chin. Agric. Sci. Bull. 2015, 31, 56–59. (In Chinese) [Google Scholar]
- Jing, Z.; Tao, F. On the Relationship between Chemical Weathering of Carbonate Rocks and the Missing Carbon Sinks: A Case Study on the Watershed of the Hongfeng Reservoir, Guizhou Province, Southwest China. Bull. Mineral. Petrol. Geochem. 2020, 39, 999–1013. (In Chinese) [Google Scholar]
- Yang, J.; Cai, G.; Zhou, J.; Lin, H.; Bao, H.; Ding, X.; Du, L.; Wang, M. Influence of Different Carbon Sources and Contents on Denitrification and Economic Analysis. Shandong Chem. Ind. 2021, 50, 243–245+249. (In Chinese) [Google Scholar]
- Zhang, C.; Xiao, Q. Study on dissolved inorganic carbon migration and aquatic photosynthesis sequestration in Lijiang River, Guilin. Carsologica Sin. 2021, 40, 555–564. (In Chinese) [Google Scholar]
- Raghu, R.M.; Suman, K.Y. Production of alkaline protease from Aspergillus oryzae isolated from seashore of Bay of Bengal. J. Appl. Nat. Sci. 2018, 10, 201–208. [Google Scholar]






| Time | Temperature | pH | DO | TN | TP | |
|---|---|---|---|---|---|---|
| Water on top | April | 22.29 ± 0.41 | 8.35 ± 0.63 | 9.0 ± 0.34 | 2.70 ± 0.19 | 0.1 ± 0.02 |
| August | 28.94 ± 1.31 | 8.15 ± 0.67 | 9.03 ± 0.47 | 1.24 ± 0.17 | 0.07 ± 0.02 | |
| December | 5.21 ± 0.21 | 8.92 ± 0.08 | 7.77 ± 1.66 | 1.14 ± 0.23 | 0.08 ± 0.01 | |
| Time | pH | EC | Content of Water | TN | TP | |
| Deposit of sediment | April | 7.88 ± 0.08 | 876.00 ± 211.35 | 44.27 ± 12.76 | 1.27 ± 0.59 | 719.80 ± 118.84 |
| August | 7.73 ± 0.05 | 989.57 ± 183.24 | 44.37 ± 9.97 | 1.36 ± 0.58 | 754.14 ± 94.96 | |
| December | 7.94 ± 0.12 | 729.43 ± 371.83 | 42.45 ± 10.33 | 1.29 ± 0.56 | 674.84 ± 31.92 |
| Project | T | pH-W | DO | TN-W | TP-W | WDOC | WDIC | WDTC | ||
|---|---|---|---|---|---|---|---|---|---|---|
| WDOC | 0.384 | 0.077 | 0.194 | 0.766 ** | 0.082 | 1.00 | / | / | ||
| WDIC | 0.513 * | 0.254 | 0.497 * | 0.38 | 0.455 ** | 0.465 ** | 1.00 | / | ||
| WDTC | 0.698 * | 0.308 | 0.487 * | 0.165 | 0.478 * | 0.18 | 0.955 ** | 1.00 | ||
| Project | STC | SOC | SIC | SDOC | SDIC | Content of Water | pH-S | EC-S | TN-S | TP-S |
| WDOC | 0.095 | 0.089 | 0.006 | 0.725 * | 0.282 | 0.096 | 0.418 | 0.137 | 0.106 | 0.242 |
| WDIC | 0.168 | 0.345 | 0.194 | 0.476 * | 0.585 ** | 0.008 | 0.469 * | 0.204 | 0.01 | 0.118 |
| WDTC | 0.154 | 0.354 | 0.217 | 0.598 ** | 0.555 ** | 0.042 | 0.661 * | 0.273 | 0.046 | 0.29 |
| Project | Content of Water | pH-S | EC-S | TN-S | TP-S | STC | SOC | SIC | SDOC | SDIC |
|---|---|---|---|---|---|---|---|---|---|---|
| STC | −0.095 | 0.063 | 0.436 * | 0.733 ** | 0.483 * | 1.00 | ||||
| SOC | 0.34 | 0.146 | 0.355 | 0.482 * | 0.641 * | 0.581 * | 1.00 | |||
| SIC | 0.267 | 0.09 | 0.089 | 0.275 | 0.458 * | 0.459 * | 0.457 * | 1.00 | ||
| SDOC | 0.039 | 0.611 ** | 0.179 | 0.212 | 0.521 * | 0.022 | 0.096 | 0.287 | 1.00 | |
| SDIC | 0.182 | 0.275 | 0.169 | 0.103 | 0.045 | 0.451 * | 0.490 * | 0.49 | 0.287 | 1.00 |
| Project | T | pH | DO | EC-W | ORP | TN-W | TP-W | |||
| STC | 0.265 | 0.268 | 0.377 | 0.158 | 0.036 | 0.239 | 0.127 | |||
| SOC | 0.316 | 0.323 | 0.214 | 0.413 | 0.041 | 0.126 | 0.294 | |||
| SIC | 0.055 | 0.059 | 0.645 ** | 0.278 | 0.084 | 0.124 | 0.460 * | |||
| SDOC | 0.561 ** | 0.028 | 0.348 | 0.563 ** | 0.168 | 0.151 | 0.198 | |||
| SDIC | 0.386 | 0.171 | 0.106 | 0.539 ** | 0.221 | 0.08 | 0.001 |
Disclaimer/Publisher’s Note: The statements, opinions and data contained in all publications are solely those of the individual author(s) and contributor(s) and not of MDPI and/or the editor(s). MDPI and/or the editor(s) disclaim responsibility for any injury to people or property resulting from any ideas, methods, instructions or products referred to in the content. |
© 2023 by the authors. Licensee MDPI, Basel, Switzerland. This article is an open access article distributed under the terms and conditions of the Creative Commons Attribution (CC BY) license (https://creativecommons.org/licenses/by/4.0/).
Share and Cite
Yuan, T.; Lu, P.; Liu, Y.; Ren, F.; Zhang, H. Distribution Characteristics and Influence Factors of Carbon in Coal Mining Subsidence Wetland. Sustainability 2023, 15, 7042. https://doi.org/10.3390/su15097042
Yuan T, Lu P, Liu Y, Ren F, Zhang H. Distribution Characteristics and Influence Factors of Carbon in Coal Mining Subsidence Wetland. Sustainability. 2023; 15(9):7042. https://doi.org/10.3390/su15097042
Chicago/Turabian StyleYuan, Tao, Ping Lu, Yijun Liu, Feng Ren, and Haoran Zhang. 2023. "Distribution Characteristics and Influence Factors of Carbon in Coal Mining Subsidence Wetland" Sustainability 15, no. 9: 7042. https://doi.org/10.3390/su15097042
APA StyleYuan, T., Lu, P., Liu, Y., Ren, F., & Zhang, H. (2023). Distribution Characteristics and Influence Factors of Carbon in Coal Mining Subsidence Wetland. Sustainability, 15(9), 7042. https://doi.org/10.3390/su15097042
