Constantly Tracking and Investigating People’s Physical, Psychological, and Thermal Responses in Relation to Park Strolling in a Severe Cold Region of China—A Case Study of Stalin Waterfront Park
Abstract
1. Introduction
2. Methodology
2.1. Study Area and Assessment Sites
2.2. Measurement and Instruments
2.3. Experimental Procedure
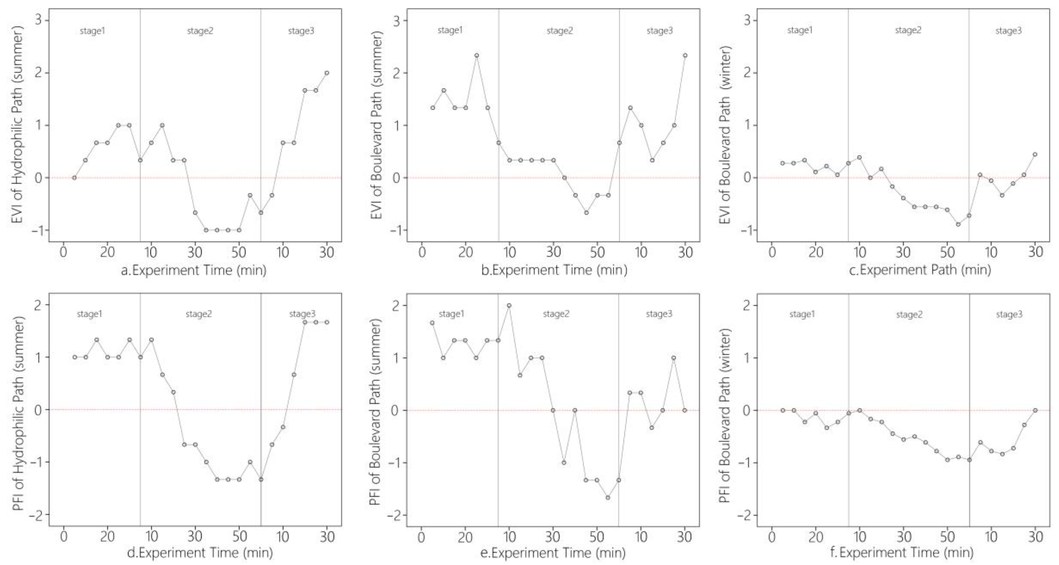
3. Results
3.1. Thermal Environment
3.2. Local Skin Temperature (Tlocal)
3.2.1. Hydrophilic Path (Summer)
3.2.2. Boulevard Path (Summer)
3.2.3. Boulevard Path (Winter)
3.3. Thermal Responses
3.3.1. Thermal Sensation (TS)
3.3.2. Thermal Comfort (TC)
3.3.3. Thermal Acceptance (TA)
3.4. Psychological Responses
3.4.1. Emotional Valence (EV)
3.4.2. Physical Fitness (PF)
4. Discussion
4.1. Psychological Responses
4.1.1. Thermal Sensation and Local Skin Temperature
4.1.2. Mean Skin Temperature and Overall Thermal Sensation
4.2. Thermal Sensation and Thermal Comfort
4.2.1. Thermal Acceptance and Thermal Comfort
4.2.2. Thermal Sensation and Thermal Comfort
4.3. Psychological and Thermal Comfort
4.3.1. Emotional Valence and Thermal Comfort
4.3.2. Physical Fitness and Thermal Comfort
5. Conclusions
6. Recommendation
Author Contributions
Funding
Institutional Review Board Statement
Informed Consent Statement
Acknowledgments
Conflicts of Interest
References
- United Nations Human Settlements Programme (UN-Habitat). Urbanization and Development: Emerging Futures. World Cities Report 2016. Available online: http://wcr.unhabitat.org/main-report (accessed on 1 January 2016).
- Lai, D.; Chen, B.; Liu, K. Quantification of the influence of thermal comfort and life patterns on outdoor space activities. Build. Simul. 2020, 13, 113–125. [Google Scholar] [CrossRef]
- Zhou, P.; Sue, C.G.; Chen, G. How the built environment affects change in older people’s physical activity: A mixed methods approach using longitudinal health survey data in urban China. Soc. Sci. Med. 2017, 192, 74–84. [Google Scholar] [CrossRef] [PubMed]
- Shi, Y. Explore children’s outdoor play spaces of community areas in high density cities in China: Wuhan as an example. Procedia Eng. 2017, 198, 654–682. [Google Scholar] [CrossRef]
- Zhang, P.F. The Safety of Outdoor Game Activity Space for Children. Packag. Eng. 2015, 36, 117–120. [Google Scholar]
- Ye, X.J. Analysis on the Social Nature of Children’s Space. Community Des. 2013, 5, 24–29. [Google Scholar]
- Arnfield, A.J. Two decades of urban climate research: A review of turbulence, exchanges of energy and water, and the urban heat island. Int. J. Climatol. 2003, 23, 1–26. [Google Scholar] [CrossRef]
- Gallo, K.P.; Easterling, D.R.; Peterson, T.C. The influence of land use/land cover on climatological values of the diurnal temperature range. J. Clim. 1996, 9, 2941–2944. [Google Scholar] [CrossRef]
- Kalnay, E.; Cai, M. Impact of urbanization and land-use change on climate. Nature 2003, 423, 528–531. [Google Scholar] [CrossRef]
- Yang, Y.; Zhou, D.; Wan, Y.; Ma, D.; Chen, W.; Xu, D.; Zhu, Z. Economical and outdoor thermal comfort analysis of greening in multistory residential areas in Xian. Sustain. Cities Soc. 2019, 51, 101730. [Google Scholar] [CrossRef]
- Busato, F.; Lazzarin, R.M.; Noro, M. Three years of study of the Urban Heat Island in Padua: Experimental results. Sustain. Cities Soc. 2014, 10, 251–258. [Google Scholar] [CrossRef]
- Kumar, P.; Sharma, A. Study on importance, procedure, and scope of outdoor thermal comfort—A review. Sustain. Cities Soc. 2020, 61, 102297. [Google Scholar] [CrossRef]
- Marialena, N.; Nick, B. Thermal comfort in outdoor urban spaces: Understanding the human parameter. Sol. Energy 2001, 70, 227–235. [Google Scholar]
- Baruch, G.; Mikiko, N.; Hadas, S.; Pochter, O.; Yaacow, Y.; Feller, N.; Becher, S. Outdoor comfort research issues. Energy Build. 2003, 35, 77–86. [Google Scholar]
- Jennifer, S.; Richard, D. A field study of thermal comfort in outdoor and semi-outdoor environments in subtropical Sydney Australia. Build. Environ. 2003, 38, 721–738. [Google Scholar]
- Knez, I.; Thorsson, S. Influences of culture and environmental attitude on thermal, emotional and perceptual evaluations of a public square. Int. J. Biometeorol. 2006, 50, 258–268. [Google Scholar] [CrossRef]
- Marialena, N.; Spyros, L. Thermal comfort in outdoor urban spaces: Analysis across different European countries. Build. Environ. 2006, 41, 1455–1470. [Google Scholar]
- Xue, F.; Gou, Z.; Lau, S.S.Y. Green open space in high-dense Asian cities: Site configurations, microclimates and users’ perceptions. Sustain. Cities Soc. 2017, 34, 114–125. [Google Scholar] [CrossRef]
- Yang, S.-R.; Lin, T.-P. An integrated outdoor spaces design procedure to relieve heat stress in hot and humid regions. Build. Environ. 2016, 99, 149–160. [Google Scholar] [CrossRef]
- Chen, L.; Wen, Y.; Zhang, L.; Xiang, W.-N. Studies of thermal comfort and space use in an urban park square in cool and cold seasons in Shanghai. Build. Environ. 2015, 94, 644–653. [Google Scholar] [CrossRef]
- Hirashima, S.Q.S.; Assis, E.S. Nikolopoulou. Daytime thermal comfort in urban spaces: A field study in Brazil. Build. Environ. 2016, 107, 245–253. [Google Scholar] [CrossRef]
- Martinelli, L.; Lin, T.-P.; Matzarakis, A. Assessment of the influence of daily shadings pattern on human thermal comfort and attendance in Rome during summer period. Build. Environ. 2015, 92, 30–38. [Google Scholar] [CrossRef]
- Algeciras, J.A.R.; Consuegra, L.G.; Matzarakis, A. Spatial-temporal study on the effects of urban street configurations on human thermal comfort in the world heritage city of Camagüey-Cuba. Build. Environ. 2016, 101, 85–101. [Google Scholar] [CrossRef]
- Asha, A.; Swh, A.; Mn, B. The impact of outdoor shading strategies on student thermal comfort in open spaces between education building. Sustain. Cities Soc. 2020, 58, 102124. [Google Scholar]
- Huang, Z.; Cheng, B.; Gou, Z.; Zhang, F. Outdoor thermal comfort and adaptive behaviors in a university campus in China’s hot summer-cold winter climate region. Build. Environ. 2019, 165, 106414. [Google Scholar] [CrossRef]
- Lau, S.S.Y.; Gou, Z.; Liu, Y. Healthy campus by open space design: Approaches and guidelines. Front. Archit. Res. 2014, 3, 452–467. [Google Scholar] [CrossRef]
- Niu, J.; Liu, J.; Lee, T.-C.; Lin, Z.; Mak, C.; Tse, K.-T.; Tang, B.; Kwok, K.C.S. A new method to assess spatial variations of outdoor thermal comfort: Onsite monitoring results and implications for precinct planning. Build. Environ. 2015, 91, 263–270. [Google Scholar] [CrossRef]
- Zhang, A.; Bokel, R.; van den Dobbelsteen, A.; Sun, Y.; Huang, Q.; Zhang, Q. An integrated school and schoolyard design method for summer thermal comfort and energy efficiency in Northern China. Build. Environ. 2017, 124, 369–387. [Google Scholar] [CrossRef]
- Ghaffarianhoseini, A.; Berardi, U.; Ghaffarianhoseini, A.; Karam, A.-O. Analyzing the thermal comfort conditions of outdoor spaces in a university campus in Kuala Lumpur, Malaysia. Sci. Total Environ. 2019, 666, 1327–1345. [Google Scholar] [CrossRef]
- Deng, J.Y.; Wong, N.H. Impact of urban canyon geometries on outdoor thermal comfort in central business districts. Sustain. Cities Soc. 2019, 53, 101966. [Google Scholar] [CrossRef]
- Lai, D.; Zhou, C.; Huang, J.; Jiang, Y.; Long, Z.; Chen, Q. Outdoor space quality: A field study in an urban residential community in central China. Energy Build. 2014, 68, 713–720. [Google Scholar] [CrossRef]
- Jin, H.; Liu, S.; Kang, J. Thermal comfort range and influence factor of urban pedestrian streets in severe cold regions. Energy Build. 2019, 198, 197–206. [Google Scholar] [CrossRef]
- Li, K.; Zhang, Y.; Zhao, L. Outdoor thermal comfort and activities in the urban residential community in a humid subtropical area of China. Energy Build. 2016, 133, 498–511. [Google Scholar] [CrossRef]
- Liu, J.; Zhang, X.; Niu, J.; Tse, K.T. Pedestrian-level wind and gust around buildings with a ‘lift-up’ design: Assessment of influence from surrounding buildings by adopting LES. Build. Simul. 2019, 12, 1107–1118. [Google Scholar] [CrossRef]
- Djekic, J.; Djukic, A.; Vukmirovic, M.; Djekic, P.; Brankovic, M.D. Thermal comfort of pedestrian spaces and the influence of pavement materials on warming up during summer. Energy Build. 2018, 159, 474–485. [Google Scholar] [CrossRef]
- Alchapar, N.L.; Correa, E.N. The use of reflective materials as a strategy for urban cooling in an arid “OASIS” city. Sustain. Cities Soc. 2016, 27, 1–14. [Google Scholar] [CrossRef]
- Lottrup, L.; Grahn, P.; Stigsdotter, U.K. Workplace greenery and perceived level of stress: Benefits of access to a green outdoor environment at the workplace. Landsc. Urban Plan. 2013, 110, 5–11. [Google Scholar] [CrossRef]
- Korpela, K.M.; Klemettilä, T.; Hietanen, J.K. Evidence for Rapid Affective Evaluation of Environmental Scenes. Environ. Behav. 2002, 34, 634–650. [Google Scholar] [CrossRef]
- Hipp, J.A.; Gulwadi, G.B.; Alves, S.; Sequeira, S. The Relationship Between Perceived Greenness and Perceived Restorativeness of University Campuses and Student-Reported Quality of Life. Environ. Behav. 2016, 48, 1292–1308. [Google Scholar] [CrossRef]
- Nordh, H.; Alalouch, C.; Hartig, T. Assessing restorative components of small urban parks using conjoint methodology. Urban For. Urban Green. 2011, 10, 95–103. [Google Scholar] [CrossRef]
- Triguero-Mas, M.; Dadvand, P.; Cirach, M.; Martínez, D.; Medina, A.; Mompart, A.; Basagaña, X.; Gražulevičiene, R.; Nieuwenhuijsen, M.J. Natural outdoor environments and mental and physical health: Relationships and mechanisms. Environ. Int. 2015, 77, 35–41. [Google Scholar] [CrossRef]
- Akbari, H.; Cartalis, C.; Kolokotsa, D.; Muscio, A.; Pisello, A.L.; Rossi, F.; Santamouris, M.; Synnefa, A.; Wong, N.H.; Zinzi, M. Local climate change and urban heat island mitigation techniques–the state of the art. J. Civ. Eng. Manag. 2016, 22, 1–16. [Google Scholar] [CrossRef]
- Shashua-Bar, L.; Tsiros, I.X.; Hoffman, M.E. A modeling study for evaluating passive cooling scenarios in urban streets with trees. Case study: Athens, Greece. Build. Environ. 2010, 45, 2798–2807. [Google Scholar] [CrossRef]
- Gunawardena, K.R.; Wells, M.J.; Kershaw, T. Utilising green and bluespace to mitigate urban heat island intensity. Sci. Total Environ. 2017, 584, 1040–1055. [Google Scholar] [CrossRef]
- Cohen, P.; Potchter, O.; Schnell, I. The impact of an urban park on air pollution and noise levels in the Mediterranean city of Tel-Aviv, Israel. Environ. Pollut. 2014, 195, 73–83. [Google Scholar] [CrossRef]
- Van Renterghem, T.; Botteldooren, D.; Verheyen, K. Road traffic noise shielding by vegetation belts of limited depth. J. Sound Vib. 2012, 331, 2404–2425. [Google Scholar] [CrossRef]
- Chan, S.Y.; Chau, C.K.; Leung, T.M. On the study of thermal comfort and perceptions of environmental features in urban parks: A structural equation modeling approach. Build. Environ. 2017, 122, 171–183. [Google Scholar] [CrossRef]
- Bc, A.; Zg, B.; Fan, Z.B.; Feng, Q.; Huang, Z. Thermal comfort in urban mountain parks in the hot summer and cold winter climate. Sustain. Cities Soc. 2019, 51, 101756. [Google Scholar]
- Lin, T.P.; Tsai, K.T.; Hwang, R.L.; Matzarakis, A. Quantification of the effect of thermal indices and sky view factor on park attendance. Landsc. Urban Plan. 2012, 107, 137–146. [Google Scholar] [CrossRef]
- Xu, M.; Hong, B.; Mi, J.; Yan, S. Outdoor thermal comfort in an urban park during winter in cold regions of China. Sustain. Cities Soc. 2018, 43, 208–220. [Google Scholar] [CrossRef]
- Xu, X.; Sun, S.; Liu, W.; García, E.H.; He, L.; Cai, Q.; Xu, S.; Wang, J.; Zhu, J. The cooling and energy saving effect of landscape design parameters of urban park in summer: A case of Beijing, China. Energy Build. 2017, 149, 91–100. [Google Scholar] [CrossRef]
- El-Bardisy, W.M.; Fahmy, M.; El-Gohary, G.F. Climatic sensitive landscape design: Towards a better microclimate through plantation in public schools, Cairo, Egypt. Procedia-Soc. Behav. Sci. 2015, 216, 206–216. [Google Scholar] [CrossRef]
- Atwa, S.; Ibrahim, M.G.; Murata, R. Evaluation of Plantation Design Methodology to Improve the Human Thermal Comfort in Hot-Arid Climatic Responsive Open Spaces. Sustain. Cities Soc. 2020, 59, 102198. [Google Scholar] [CrossRef]
- Teshnehdel, S.; Akbari, H.; Giuseppe, E.D.; Brown, R.D. Effect of tree cover and tree species on microclimate and pedestrian comfort in a residential district in Iran. Build. Environ. 2020, 178, 106899. [Google Scholar] [CrossRef]
- Colter, K.R.; Middel, A.C.; Martin, C.A. Effects of natural and artificial shade on human thermal comfort in residential neighborhood parks of Phoenix, Arizona, USA. Urban For. Urban Green. 2019, 44, 126429. [Google Scholar] [CrossRef]
- Wang, H.; Liu, L. Experimental investigation about effect of emotion state on people’s thermal comfort. Energy Build. 2020, 211, 109789. [Google Scholar] [CrossRef]
- Hendel, M.; Azos-Diaz, K.; Tremeac, B. Behavioral adaptation to heat-related health risks in cities. Energy Build. 2017, 152, 823–829. [Google Scholar] [CrossRef]
- Patz, J.A.; Campbelllendrum, D.; Holloway, T.; Folet, J.A. Impact of regional climate change on human health. Nature 2005, 438, 310–317. [Google Scholar] [CrossRef]
- Tan, J.; Zheng, Y.; Song, G.; Kalkstein, A.J.; Tang, X. Heat wave impacts on mortality in Shanghai, 1998 and 2003. Int. J. Biometeorol. 2007, 51, 193–200. [Google Scholar] [CrossRef]
- Ma, W.; Chen, R.; Kan, H. Temperature-related mortality in 17 large Chinese cities: How heat and cold affect mortality in China. Environ. Res. 2014, 134, 127–133. [Google Scholar] [CrossRef]
- Yang, J.; Yin, P.; Sun, J.; Wang, B.; Zhou, M.; Li, M.; Tong, S.; Meng, B.; Guo, Y.; Liu, Q. Heatwave and mortality in 31 major Chinese cities: Definition, vulnerability and implications. Sci. Total Environ. 2019, 649, 695–702. [Google Scholar] [CrossRef]
- Chen, X.; Xue, P.; Gao, L.; Du, J.; Liu, J. Physiological and thermal response to real-life transient conditions during winter in severe cold areas. Build. Environ. 2019, 157, 284–296. [Google Scholar] [CrossRef]
- Cheung, P.K.; Jim, C.Y. Improved assessment of outdoor thermal comfort: 1-hour acceptable temperature range. Build. Environ. 2019, 151, 303–317. [Google Scholar] [CrossRef]
- Givoni, B. Urban design for hot humid regions. Renew. Energy 1994, 5, 1047–1053. [Google Scholar] [CrossRef]
- Jamei, E.; Rajagopalan, P.; Seyedmahmoudian, M.; Jamei, Y. Review on the impact of urban geometry and pedestrian level greening on outdoor thermal comfort. Renew. Sustain. Energy Rev. 2016, 54, 1002–1017. [Google Scholar] [CrossRef]
- Herrmann, J.; Matzarakis, A. Mean radiant temperature in idealised urban canyons–examples from Freiburg, Germany. Int. J. Biometeorol. 2012, 56, 199–203. [Google Scholar] [CrossRef]
- Ketterer, C.; Matzarakis, A. Human-biometeorological assessment of heat stress reduction by replanning measures in Stuttgart, Germany. Landsc. Urban Plan. 2014, 122, 78–88. [Google Scholar] [CrossRef]
- Xie, L.; Yang, Z.; Cai, J.; Cheng, Z.; Wen, T.; Song, T. Harbin: A rust belt city revival from its strategic position. Cities 2016, 58, 26–38. [Google Scholar] [CrossRef]
- Song, S. Research on the development strategy of Harbin International Ice and Snow Festival. North Econ. Trade 2023, 1, 1–4. (In Chinese) [Google Scholar]
- Huang, C. Study on Harbin’s European style cultural heritage. Heilongjiang Soc. Sci. 2020, 3, 20–21+29. [Google Scholar]
- GB 50176-1993; Thermal Design Code for Civil Buildings. Ministry of Housing and Urban-Rural Development of the People’s Republic of China: Beijing, China, 1993.
- Du, J.; Sun, C.; Xiao, Q.; Chen, X.; Liu, J. Field assessment of winter outdoor 3-D radiant environment and its impact on thermal comfort in a severely cold region. Sci. Total Environ. 2020, 709, 136175. [Google Scholar] [CrossRef]
- ISO 7726; Ergonomics of the Thermal Environment—Instruments for Measuring Physical Quantities. International Standardization Organization: Geneva, Switzerland, 1998.
- ISO 9886; Ergonomics-Evaluation of Thermal Strain by Physiological Measurements. 2nd ed. ISO: Geneva, Switzerland, 2004.
- Hui, Z.; Arens, E.; Huizenga, C.; Han, T. Thermal sensation and comfort models for non-uniform and transient environments, part III: Whole-body sensation and comfort. Build. Environ. 2010, 45, 399–410. [Google Scholar]
- He, Y.; Li, N.; Zhang, W.; Peng, J. Overall and local thermal sensation & comfort in air-conditioned dormitory with hot-humid climate. Build. Environ. 2016, 101, 102–109. [Google Scholar]
- Mayumi, N.; Tamae, Y.; Larry, I.C.; Momoko, K.; Yuki, U.; Ken, T.; Kei, N.; Kazuyuki, K. Relative importance of different surface regions for thermal comfort in humans. Eur. J. Appl. Physiol. 2013, 113, 63–76. [Google Scholar]
- Yeom, D.; Choi, J.H.; Kang, S.H. Investigation of the physiological differences in the immersive virtual reality environment and real indoor environment: Focused on skin temperature and thermal sensation. Build. Environ. 2019, 154, 44–54. [Google Scholar] [CrossRef]
- Choi, J.H.; Yeom, D. Study of data-driven thermal sensation prediction model as a function of local body skin temperatures in a built environment. Build. Environ. 2017, 121, 130–147. [Google Scholar] [CrossRef]
- Dai, C.; Zhang, H.; Arens, E.; Lian, Z. Machine learning approaches to predict thermal demands using skin temperatures: Steady-state conditions. Build. Environ. 2017, 114, 1–10. [Google Scholar] [CrossRef]
- Xiong, J.; Zhou, X.; Lian, Z.; You, J.; Lin, Y. Thermal perception and skin temperature in different transient thermal environments in summer. Energy Build. 2016, 128, 155–163. [Google Scholar] [CrossRef]
- Salehi, B.; Ghanbaran, A.H.; Maerefat, M. Intelligent models to predict the indoor thermal sensation and thermal demand in steady state based on occupants’ skin temperature. Build. Environ. 2020, 169, 106579. [Google Scholar] [CrossRef]
- Zhang, Y.; Chen, H.; Meng, Q. Thermal comfort in buildings with split air-conditioners in hot-humid area of China. Build. Environ. 2013, 64, 213–224. [Google Scholar] [CrossRef]
- Liu, W.; Zhang, Y.; Deng, Q. The effects of urban microclimate on outdoor thermal sensation and neutral temperature in hot-summer and cold-winter climate. Energy Build. 2016, 128, 190–197. [Google Scholar] [CrossRef]
- Cohen, P.; Potchter, O.; Matzarakis, A. Human thermal perception of Coastal Mediterranean outdoor urban environments. Appl. Geogr. 2013, 37, 1–10. [Google Scholar] [CrossRef]
- Xi, T.; Wang, Q.; Qin, H.; Jin, H. Influence of outdoor thermal environment on clothing and activity of tourists and local people in a severely cold climate city. Build. Environ. 2020, 4, 173. [Google Scholar] [CrossRef]
- Chen, X.; Xue, P.; Liu, L.; Gao, L.; Liu, J. Outdoor thermal comfort and adaptation in severe cold area: A longitudinal survey in Harbin, China. Build. Environ. 2018, 143, 548–560. [Google Scholar] [CrossRef]
- Ghahramani, A.; Castro, G.; Becerik-Gerber, B.; Yu, X. Infrared thermography of human face for monitoring thermoregulation performance and estimating personal thermal comfort. Build. Environ. 2016, 109, 1–11. [Google Scholar] [CrossRef]
- Takada, S.; Matsumoto, S.; Matsushita, T. Prediction of whole-body thermal sensation in the non-steady state based on skin temperature. Build. Environ. 2013, 68, 123–133. [Google Scholar] [CrossRef]
- Lau, Y.Y. Dynamic response of pedestrian thermal comfort under outdoor transient conditions. Int. J. Biometeorol. 2019, 63, 979–989. [Google Scholar] [CrossRef]
- Sun, Y. Study on Usage Assessment and Strategy of Open Park in Harbin. Ph.D. Thesis, Northeast Forestry University, Harbin, China, 2015. [Google Scholar]
- Chow, T.T.; Fong, K.F.; Givoni, B.; Lin, Z.; Chan, A.L.S. Thermal sensation of Hong Kong people with increased air speed, temperature and humidity in air-conditioned environment. Build. Environ. 2010, 45, 2177–2183. [Google Scholar] [CrossRef]
- Lan, L.; Xia, L.; Tang, J.; Wyon, D.; Liu, H. Mean skin temperature estimated from 3 measuring points can predict sleeping thermal sensation. Build. Environ. 2019, 162, 106292. [Google Scholar] [CrossRef]
- Fang, Z.; Liu, H.; Tan, M.; Olaide, O.M. Experimental investigation on thermal comfort model between local thermal sensation and overall thermal sensation. Energy Build. 2018, 158, 1286–1295. [Google Scholar] [CrossRef]
- Wenjie, J.; Cao, B.; Geng, Y.; Zhu, Y.; Lin, B. Study on human skin temperature and thermal evaluation in step change conditions: From non-neutrality to neutrality. Energy Build. 2017, 156, 29–39. [Google Scholar]
- Peel, M.C.; Finlayson, B.; McMahon, T.A. Updated world map of the Koppen-Geiger Classification. Hydrol. Earth Syst. Sci. 2007, 11, 1633–1644. [Google Scholar] [CrossRef]
- Xin, Z.; Lian, Z.; Li, L. An individualized human thermoregulation model for Chinese adults. Build. Environ. 2013, 70, 257–265. [Google Scholar]
- Sim, S.; Koh, M.; Joo, K.; Noh, S.; Park, S.; Kim, Y.; Park, K. Estimation of thermal sensation based on wrist skin temperatures. Sensors 2016, 16, 420. [Google Scholar] [CrossRef] [PubMed]










| Type of Probe | Variable Measured | Range | Accuracy | 
|---|---|---|---|
| BES-02B air temperature sensor | Air temperature | −30~50 °C | ±0.01 °C | 
| BES-02B relative humidity sensor | Relative humidity | 0~100% | ±0.1% RH | 
| Kestrel5500 anemometer | Wind speed | 0.4~40 m/s | ±0.1 m/s | 
| BES-05 black globe thermometer | Globe temperature | −50~125 °C | ±0.5 °C | 
| DS1922L iButton | Skin temperature | −40~85 °C | ±0.5 °C | 
| Sex | Subjects | Age | Height | Weight | Skin Area | 
|---|---|---|---|---|---|
| female | 6 | 24.5 ± 1.5 | 1.645 ± 0.015 | 55 ± 4 | 1.590 ± 0.050 | 
| male | 9 | 25.0 ± 1.0 | 1.790 ± 0.040 | 75 ± 10 | 1.905 ± 0.125 | 
| Regions | Independent Variable (X) | Equation | R-Square | Sig. | 
|---|---|---|---|---|
| Forehead (FH) | Skin temperature of forehead: 32.73 ≤ X ≤ 34.48 | TSV = 0.16X − 4.09 | 0.007 | NS | 
| Hand(H) | Skin temperature of hand: 29.85 ≤ X ≤ 32.91 | TSV = 0.61X − 18.58 | 0.58 | 0.000 *** | 
| Thigh(T) | Skin temperature of thigh: 32.69 ≤ X ≤ 35.36 | TSV = 0.92X − 30.59 | 0.71 | 0.000 *** | 
| Upper arm (UA) | Skin temperature of upper arm: 32.22 ≤ X ≤ 34.11 | TSV = 1.06X − 34.87 | 0.74 | 0.000 *** | 
| Calf (CA) | Skin temperature of calf: 32.62 ≤ X ≤ 36.07 | TSV = 0.74X − 24.89 | 0.71 | 0.000 *** | 
| Back (B) | Skin temperature of back: 32.87 ≤ X ≤ 34.55 | TSV = 1.32X − 44.20 | 0.62 | 0.000 *** | 
| Forearm (FA) | Skin temperature of forearm: 31.63 ≤ X ≤ 33.23 | TSV = 0.92X − 29.34 | 0.27 | 0.010 ** | 
| Neck (N) | Skin temperature of neck: 32.38 ≤ X ≤ 35.21 | TSV = 0.74X − 24.52 | 0.66 | 0.000 *** | 
| Chest (C) | Skin temperature of chest: 32.11 ≤ X ≤ 33.29 | TSV = 1.23X − 42.01 | 0.34 | 0.003 ** | 
| Feet (F) | Skin temperature of foot: 33.87 ≤ X ≤ 35.91 | TSV = 1.11X − 38.07 | 0.60 | 0.000 *** | 
| Regions | Independent Variable (X) | Equation | R-Square | Sig. | 
|---|---|---|---|---|
| Forehead (FH) | Skin temperature of forehead: 23.42 ≤ X ≤ 32.30 | TSV = 0.15X − 5.94 | 0.69 | 0.010 ** | 
| Hand (H) | Skin temperature of hand: 22.24 ≤ X ≤ 30.15 | TSV = 0.16X − 6.34 | 0.94 | 0.000 *** | 
| Thigh (T) | Skin temperature of thigh: 25.70 ≤ X ≤ 31.72 | TSV = 0.22X − 8.21 | 0.84 | 0.000 *** | 
| Upper arm (UA) | Skin temperature of upper arm: 31.34 ≤ X ≤ 34.27 | TSV = 0.44X − 16.59 | 0.89 | 0.000 *** | 
| Calf (CA) | Skin temperature of calf: 26.64 ≤ X ≤ 30.27 | TSV = 0.32X − 10.85 | 0.57 | 0.004 ** | 
| Back (B) | Skin temperature of back: 31.74 ≤ X ≤ 35.40 | TSV = 0.35X − 13.58 | 0.84 | 0.000 *** | 
| Forearm (FA) | Skin temperature of forearm: 31.54 ≤ X ≤ 34.34 | TSV = 0.46X − 17.21 | 0.89 | 0.000 *** | 
| Ear (E) | Skin temperature of ear: 19.46 ≤ X ≤ 24.92 | TSV = 0.25X − 7.58 | 0.89 | 0.000 *** | 
| Chest (C) | Skin temperature of chest: 33.61 ≤ X ≤ 35.66 | TSV = 0.63X − 23.62 | 0.83 | 0.000 *** | 
| Feet (F) | Skin temperature of foot: 23.41 ≤ X ≤ 28.59 | TSV = 0.27X − 8.93 | 0.86 | 0.000 *** | 
| Correlation | TSV | FH | H | T | UA | CA | B | FA | N | C | F | 
|---|---|---|---|---|---|---|---|---|---|---|---|
| TSV | 1 | ||||||||||
| FH | 0.085 | 1 | |||||||||
| H | 0.760 ** | 0.576 ** | 1 | ||||||||
| T | 0.844 ** | −0.061 | 0.607 ** | 1 | |||||||
| UA | 0.859 ** | 0.349 | 0.896 ** | 0.825 ** | 1 | ||||||
| CA | 0.840 ** | −0.121 | 0.639 ** | 0.959 ** | 0.844 ** | 1 | |||||
| B | 0.790 ** | 0.322 | 0.832 ** | 0.718 ** | 0.945 ** | 0.735 ** | 1 | ||||
| FA | 0.515 ** | 0.665 ** | 0.644 ** | 0.496 * | 0.606 ** | 0.334 | 0.495 * | 1 | |||
| N | 0.812 ** | 0.516 ** | 0.885 ** | 0.720 ** | 0.929 ** | 0.660 ** | 0.928 ** | 0.760 ** | 1 | ||
| C | 0.580 ** | 0.740 ** | 0.807 ** | 0.539 ** | 0.746 ** | 0.439 * | 0.627 ** | 0.946 ** | 0.833 ** | 1 | |
| F | 0.771 ** | −0.207 | 0.486 * | 0.955 ** | 0.681 ** | 0.934 ** | 0.525 ** | 0.383 | 0.531 ** | 0.411 * | 1 | 
| Sensitivity (S1 = R2) | Skin Surface Area (S2) | a = S1/∑S1 | b = S2/∑S2 | (a × b)/∑(a × b) | Weighting Factor | |
|---|---|---|---|---|---|---|
| Thigh | 0.844 | 0.163 | 0.336 | 0.629 | 0.627 | 0.62 | 
| Upper arm | 0.859 | 0.081 | 0.342 | 0.313 | 0.318 | 0.32 | 
| Neck | 0.812 | 0.015 | 0.323 | 0.058 | 0.056 | 0.06 | 
| Sum ∑ | 2.515 | 0.259 | —— | —— | —— | —— | 
| Correlation | TSV | FH | H | T | UA | L | B | FA | E | C | F | 
|---|---|---|---|---|---|---|---|---|---|---|---|
| TSV | 1 | ||||||||||
| Forehead | 0.833 ** | 1 | |||||||||
| Hand | 0.968 ** | 0.819 ** | 1 | ||||||||
| Thigh | 0.917 ** | 0.949 ** | 0.938 ** | 1 | |||||||
| Upper arm | 0.941 ** | 0.888 ** | 0.978 ** | 0.985 ** | 1 | ||||||
| leg | 0.755 ** | 0.987 ** | 0.749 ** | 0.925 ** | 0.848 ** | 1 | |||||
| back | 0.915 ** | 0.947 ** | 0.937 ** | 0.998 ** | 0.984 ** | 0.923 ** | 1 | ||||
| forearm | 0.941 ** | 0.901 ** | 0.973 ** | 0.989 ** | 0.999 ** | 0.863 ** | 0.989 ** | 1 | |||
| ear | 0.942 ** | 0.803 ** | 0.974 ** | 0.903 ** | 0.937 ** | 0.726 ** | 0.891 ** | 0.929 ** | 1 | ||
| chest | 0.910 ** | 0.935 ** | 0.938 ** | 0.998 ** | 0.988 ** | 0.913 ** | 0.996 ** | 0.992 ** | 0.899 ** | 1 | |
| feet | 0.926 ** | 0.935 ** | 0.954 ** | 0.994 ** | 0.988 ** | 0.901 ** | 0.988 ** | 0.990 ** | 0.934 ** | 0.993 ** | 1 | 
| Sensitivity (S1 = R2) | Skin Surface Area (S2) | a = S1/∑S1 | b = S2/∑S2 | (a × b)/∑(a × b) | Weighting Factor | |
|---|---|---|---|---|---|---|
| Thigh | 0.917 | 0.163 | 0.324 | 0.762 | 0.752 | 0.75 | 
| Hand | 0.968 | 0.049 | 0.342 | 0.229 | 0.239 | 0.24 | 
| Ear | 0.942 | 0.002 | 0.333 | 0.009 | 0.009 | 0.01 | 
| Sum ∑ | 2.827 | 0.214 | —— | —— | —— | —— | 
| MST Model | Formula | Relative Value | TSV Model | Reference | 
|---|---|---|---|---|
| 9 points | MST = 0.07Tfh + 0.05Th + 0.19Tt + 0.07Tua + 0.13Tl + 0.175Tb + 0.07Tfa + 0.175Tc + 0.07Tf | 0.92 (winter) | TSV(winter) = 0.31MST – 11.38 (R2 = 0.84) | [90] | 
| 0.88 (summer) | TSV(summer) = 1.4MST – 46.47 (R2 = 0.78) | |||
| 7 points | MST = 0.07Tfh + 0.05Th + 0.19Tt + 0.14Tua + 0.13Tl + 0.35Tc + 0.07Tf | 0.92 (winter) | TSV(winter) = 0.33MST – 12.13 (R2 = 0.84) | [62] | 
| 0.87 (summer) | TSV(summer) = 1.39MST – 45.72 (R2 = 0.76) | |||
| 3 points | MST = 0.40Tfh + 0.40Tc + 0.20Tf | 0.88 (winter) | TSV(winter) = 0.25MST – 9.5 (R2 = 0.77) | [98] | 
| 0.57 (summer) | TSV(summer) = 1.42MST – 46.85 (R2 = 0.33) | |||
| 3 points | MST(winter) = 0.74Tt + 0.24Th + 0.02Te MST(summer) = 0.62Tt + 0.32Tua + 0.06Tn | 0.95 (winter) | TSV(winter) = 0.21MST – 7.8 (R2 = 0.90) | This study | 
| 0.89 (summer) | TSV(summer) = 1.05MST – 34.64 (R2 = 0.80) | 
| Disclaimer/Publisher’s Note: The statements, opinions and data contained in all publications are solely those of the individual author(s) and contributor(s) and not of MDPI and/or the editor(s). MDPI and/or the editor(s) disclaim responsibility for any injury to people or property resulting from any ideas, methods, instructions or products referred to in the content. | 
© 2023 by the authors. Licensee MDPI, Basel, Switzerland. This article is an open access article distributed under the terms and conditions of the Creative Commons Attribution (CC BY) license (https://creativecommons.org/licenses/by/4.0/).
Share and Cite
Xi, T.; Qin, H.; Xu, W.; Yang, T.; Hu, C.; Zhao, C.; Wang, H. Constantly Tracking and Investigating People’s Physical, Psychological, and Thermal Responses in Relation to Park Strolling in a Severe Cold Region of China—A Case Study of Stalin Waterfront Park. Sustainability 2023, 15, 7043. https://doi.org/10.3390/su15097043
Xi T, Qin H, Xu W, Yang T, Hu C, Zhao C, Wang H. Constantly Tracking and Investigating People’s Physical, Psychological, and Thermal Responses in Relation to Park Strolling in a Severe Cold Region of China—A Case Study of Stalin Waterfront Park. Sustainability. 2023; 15(9):7043. https://doi.org/10.3390/su15097043
Chicago/Turabian StyleXi, Tianyu, Huan Qin, Weiqing Xu, Tong Yang, Chenxin Hu, Caiyi Zhao, and Haoshun Wang. 2023. "Constantly Tracking and Investigating People’s Physical, Psychological, and Thermal Responses in Relation to Park Strolling in a Severe Cold Region of China—A Case Study of Stalin Waterfront Park" Sustainability 15, no. 9: 7043. https://doi.org/10.3390/su15097043
APA StyleXi, T., Qin, H., Xu, W., Yang, T., Hu, C., Zhao, C., & Wang, H. (2023). Constantly Tracking and Investigating People’s Physical, Psychological, and Thermal Responses in Relation to Park Strolling in a Severe Cold Region of China—A Case Study of Stalin Waterfront Park. Sustainability, 15(9), 7043. https://doi.org/10.3390/su15097043
 
        


 
       