Effects of the Comprehensive and Technical Models of Sports Teaching in Secondary School Students
Abstract
1. Introduction
2. Materials and Methods
2.1. Participants and Inclusion Criteria
2.2. Experimental Design
2.3. Experimental Protocol
2.4. Statistical Analysis
3. Results
3.1. Physical Fitness Results
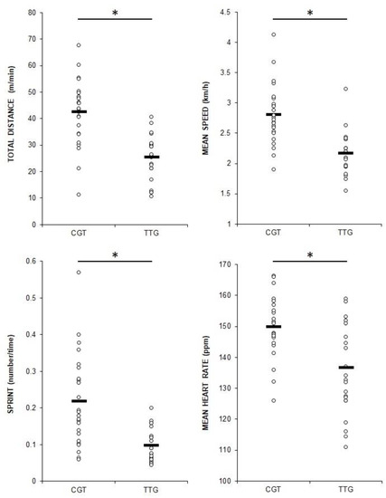
3.2. Physical Demands Results
3.3. Technical-Tactical Results
4. Discussion
Practical Applications
5. Conclusions
Author Contributions
Funding
Institutional Review Board Statement
Informed Consent Statement
Data Availability Statement
Conflicts of Interest
References
- Harrison, J.M.; Preece, L.A.; Blakemore, C.L.; Richards, R.P.; Wilkinson, C.; Fellingham, G.W. Effects of Two Instructional Models-Skill Teaching and Mastery Learning-on Skill Development, Knowledge, Self-Efficacy, and Game Play in Volleyball. J. Teach. Phys. Educ. 1999, 19, 34. [Google Scholar] [CrossRef]
- Garcia-Ceberino, J.M.; Antunez, A.; Feu, S.; Ibanez, S.J. Quantification of Internal and External Load in School Football According to Gender and Teaching Methodology. Int. J. Environ. Res. Public Health 2020, 17, 344. [Google Scholar] [CrossRef] [PubMed]
- Metzler, M. Instructional Models in Physical Education, 3rd ed.; Routledge: New York, NY, USA, 2017. [Google Scholar] [CrossRef]
- Mitchell, S.A.; Oslin, J.L.; Griffin, L.L. Teaching Sport Concepts and Skills: A Tactical Games Approach, 2nd ed.; Human Kinetics: Champaign, IL, USA, 2006. [Google Scholar]
- Bunker, B.; Thorpe, R. A model for the teaching of games in the secondary schools. Bull. Phys. Educ. 1982, 10, 9–16. [Google Scholar]
- Gréhaigne, J.F.; Wallian, N.; Godbout, P. Tactical-decision learning model and students’ practices. Phys. Educ. Sport Pedagog. 2005, 10, 255–269. [Google Scholar] [CrossRef]
- Wright, S.; McNeill, M.; Fry, J.M. The tactical approach to teaching games from teaching, learning and mentoring perspectives. Sport Educ. Soc. 2009, 14, 223–244. [Google Scholar] [CrossRef]
- Miller, A. Games Centered Approaches in Teaching Children & Adolescents: Systematic Review of Associated Student Outcomes. J. Teach. Phys. Educ. 2015, 34, 36–58. [Google Scholar] [CrossRef]
- Launder, A.; Piltz, W. Play Practice: The Games Approach to Teaching and Coaching Sports, 2nd ed.; Human Kinetics: Leeds, UK, 2013. [Google Scholar]
- Roberts, S.; Fairclough, S. Observational analysis of student activity modes, lesson contexts and teacher interactions during games classes in high school (11–16 years) physical education. Eur. Phys. Educ. Rev. 2011, 17, 255–268. [Google Scholar] [CrossRef]
- Larsson, H.; Karlefors, I. Physical education cultures in Sweden: Fitness, sports, dancing … learning? Sport Educ. Soc. 2015, 20, 573–587. [Google Scholar] [CrossRef]
- Arufe-Giraldez, V.; Sanmiguel-Rodriguez, A.; Ramos-Alvarez, O.; Navarro-Paton, R. News of the Pedagogical Models in Physical Education-A Quick Review. Int. J. Environ. Res. Public Health 2023, 20, 2586. [Google Scholar] [CrossRef]
- Randall, L. Implementing TGfU in the Field. Phys. Health Educ. J. 2008, 74, 16–20. [Google Scholar]
- Casey, A.; MacPhail, A. Adopting a models-based approach to teaching physical education. Phys. Educ. Sport Pedagog. 2018, 23, 294–310. [Google Scholar] [CrossRef]
- Almond, L. Reflecting on themes: A games classification. In Rethinking Games Teaching; Thorpe, R., Almond, L., Bunker, D., Eds.; University of Technology: Loughborough, UK, 1986; pp. 71–72. [Google Scholar]
- Harvey, S.; Jarrett, K. A review of the game-centred approaches to teaching and coaching literature since 2006. Phys. Educ. Sport Pedagog. 2014, 19, 278–300. [Google Scholar] [CrossRef]
- Gil-Arias, A.; Harvey, S.; Cárceles, A.; Práxedes, A.; Del-Villar, F. Impact of a hybrid TGfU-Sport Education unit on student motivation in physical education. PLoS ONE 2017, 12, e0179876. [Google Scholar] [CrossRef] [PubMed]
- Hortigüela-Alcalá, D.; Hernando-Garijo, A. Teaching Games for Understanding: A Comprehensive Approach to Promote Student’s Motivation in Physical Education. J. Hum. Kinet. 2017, 59, 17–27. [Google Scholar] [CrossRef]
- Hollis, J.L.; Sutherland, R.; Williams, A.J.; Campbell, E.; Nathan, N.; Wolfenden, L.; Morgan, P.J.; Lubans, D.R.; Gillham, K.; Wiggers, J. A systematic review and meta-analysis of moderate-to-vigorous physical activity levels in secondary school physical education lessons. Int. J. Behav. Nutr. Phys. Act. 2017, 14, 52. [Google Scholar] [CrossRef]
- Tissera, K.M.; Naughton, G.A.; Gabbett, T.J.; Krause, L.M.; Moresi, M.P.; Benson, A.C. Sex Differences in Physical Fitness Characteristics and Match-Play Demands in Adolescent Netball: Should Male and Female Adolescents Co-compete in Netball? J. Strength Cond. Res. 2019, 33, 846–856. [Google Scholar] [CrossRef] [PubMed]
- González-Espinosa, S.; Antúnez, A.; Feu, S.; Ibáñez, S.J. Monitoring the External and Internal Load Under 2 Teaching Methodologies. J. Strength Cond. Res. 2020, 34, 2920–2928. [Google Scholar] [CrossRef]
- García, D.; Gutiérrez, L.M. Aprendiendo a Enseñar Deporte: Modelos de Enseñanza Comprensiva y Educación Deportiva; Inde: Barcelona, Spain, 2017. [Google Scholar]
- Butler, J. TGfU—Would you know it if you saw it? Benchmarks from the tacit knowledge of the founders. Eur. Phys. Educ. Rev. 2014, 20, 465–488. [Google Scholar] [CrossRef]
- Ruiz, J.R.; Castro-Pinero, J.; Espana-Romero, V.; Artero, E.G.; Ortega, F.B.; Cuenca, M.M.; Jimenez-Pavon, D.; Chillon, P.; Girela-Rejon, M.J.; Mora, J.; et al. Field-based fitness assessment in young people: The ALPHA health-related fitness test battery for children and adolescents. Br. J. Sport. Med. 2011, 45, 518–524. [Google Scholar] [CrossRef]
- Coutts, A.J.; Duffield, R. Validity and reliability of GPS devices for measuring movement demands of team sports. J. Sci. Med. Sport 2010, 13, 133–135. [Google Scholar] [CrossRef] [PubMed]
- Perez-Lopez, A.; Salinero, J.J.; Abian-Vicen, J.; Valades, D.; Lara, B.; Hernandez, C.; Areces, F.; Gonzalez, C.; Del Coso, J. Caffeinated energy drinks improve volleyball performance in elite female players. Med. Sci. Sport. Exerc. 2015, 47, 850–856. [Google Scholar] [CrossRef] [PubMed]
- Van-der-Mars, H. Observer reliability: Issues and procedures. In Analyzing Physical Education and Sport Instruction; Darst, P., Zakrajsek, D., Mancini, V., Eds.; Human Kinetics: Champaign, IL, USA, 1989. [Google Scholar]
- Oslin, J.L.; Mitchell, S.A.; Griffin, L.L. The Game Performance Assessment Instrument (GPAI): Development and Preliminary Validation. J. Teach. Phys. Educ. 1998, 17, 231–243. [Google Scholar] [CrossRef]
- Cohen, J. Statistical Power Analysis for the Behavioral Sciences; Taylor & Francis Inc.: New York, NY, USA, 1988. [Google Scholar]
- Harvey, S.; Garcia-López, L.M. Objectively Measured Physical Activity of Different Lesson Contexts. J. Phys. Educ. Sport 2017, 17, 833–838. [Google Scholar]
- Wang, M.; Wang, L. Teaching Games for Understanding Intervention to Promote Physical Activity among Secondary School Students. BioMed Res. Int. 2018, 2018, 3737595. [Google Scholar] [CrossRef] [PubMed]
- Bendiksen, M.; Williams, C.A.; Hornstrup, T.; Clausen, H.; Kloppenborg, J.; Shumikhin, D.; Brito, J.; Horton, J.; Barene, S.; Jackman, S.R.; et al. Heart rate response and fitness effects of various types of physical education for 8- to 9-year-old schoolchildren. Eur. J. Sport Sci. 2014, 14, 861–869. [Google Scholar] [CrossRef] [PubMed]
- Arias-Estero, J.L.; Jaquero, P.; Martínez-López, A.N.; Morales-Belando, M.T. Effects of Two TGfU Lessons Period on Game Performance, Knowledge and Psychosocial Variables in Elementary Physical Education. Int. J. Environ. Res. Public Health 2020, 17, 3378. [Google Scholar] [CrossRef] [PubMed]
- Morales-Belando, M.T.; Calderón, A.; Arias-Estero, J.L. Improvement in game performance and adherence after an aligned TGfU floorball unit in physical education. Phys. Educ. Sport Pedagog. 2018, 23, 657–671. [Google Scholar] [CrossRef]
- Gray, S.; Sproule, J. Developing pupils’ performance in team invasion games. Phys. Educ. Sport Pedagog. 2011, 16, 15–32. [Google Scholar] [CrossRef]
- Sierra-Ríos, J.V.; Clemente, F.M.; Rey, E.; González-Víllora, S. Effects of 6 Weeks Direct Instruction and Teaching Games for Understanding Programs on Physical Activity and Tactical Behaviour in U-12 Soccer Players. Int. J. Environ. Res. Public Health 2020, 17, 5008. [Google Scholar] [CrossRef]
- Ruiz, J.R.; Cavero-Redondo, I.; Ortega, F.B.; Welk, G.J.; Andersen, L.B.; Martinez-Vizcaino, V. Cardiorespiratory fitness cut points to avoid cardiovascular disease risk in children and adolescents; what level of fitness should raise a red flag? A systematic review and meta-analysis. Br. J. Sport. Med. 2016, 50, 1451–1458. [Google Scholar] [CrossRef]
- Cocca, A.; Carbajal Baca, J.E.; Hernández Cruz, G.; Cocca, M. Does A Multiple-Sport Intervention Based on the TGfU Pedagogical Model for Physical Education Increase Physical Fitness in Primary School Children? Int. J. Environ. Res. Public Health 2020, 17, 5532. [Google Scholar] [CrossRef] [PubMed]



| Group Effect | Time Effect | Time × Group Interaction | ||||||
|---|---|---|---|---|---|---|---|---|
| PRE | POST | F | p-Value | F | p-Value | F | p-Value | |
| 20-m SRT (stages) | ||||||||
| CTG | 6.94 ± 2.82 | 7.44 ±2.64 | 2.41 | 0.127 | 4.03 | 0.051 | 3.36 | 0.074 |
| TTG | 6.05 ± 2.28 | 6.07 ± 2.30 | ||||||
| Standing broad jump test (m) | ||||||||
| CTG | 1.79 ± 0.38 | 1.73 ± 0.41 | 0.84 | 0.365 | 0.26 | 0.615 | 3.74 | 0.060 |
| TTG | 1.65 ± 0.28 | 1.68 ± 0.29 | ||||||
| 4 × 10-m SRT test (s) | ||||||||
| CTG | 10.95 ± 1.27 | 10.96 ± 1.22 | 0.36 | 0.555 | 2.50 | 0.122 | 2.80 | 0.102 |
| TTG | 11.31 ± 1.33 | 11.05 ± 1.19 | ||||||
| Right hand grip strength (kg) | ||||||||
| CTG | 31.92 ± 7.22 | 31.45 ± 7.78 | 0.04 | 0.840 | 0.19 | 0.663 | 1.40 | 0.243 |
| TTG | 31.64 ± 8.45 | 32.68 ± 10.01 | ||||||
| Left hand grip strength (kg) | ||||||||
| CTG | 28.96 ± 8.60 | 29.16 ± 9.20 | 0.51 | 0.477 | 2.78 | 0.103 | 1.77 | 0.191 |
| TTG | 29.91 ± 7.44 | 31.68 ± 8.67 | ||||||
| Group Effect | Time Effect | Time × Group Interaction | ||||||
|---|---|---|---|---|---|---|---|---|
| PRE | POST | F | p-Value | F | p-Value | F | p-Value | |
| Total accelerations | ||||||||
| CTG | 66.89 ± 22.49 | 68.22 ± 24.43 | 1.64 | 0.211 | 1.43 | 0.241 | 0.56 | 0.461 |
| TTG | 53.61 ± 23.62 | 59.38 ± 30.35 | ||||||
| Total decelerations | ||||||||
| CTG | 103.61 ± 36.77 | 96.89 ± 36.95 | 3.04 | 0.092 | 0.14 | 0.708 | 3.45 | 0.073 |
| TTG | 72.31 ± 35.84 # | 82.46 ± 43.62 | ||||||
| Maximum Heart rate (ppm) | ||||||||
| CTG | 194.75 ± 11.55 | 198.38 ± 12.68 | 1.81 | 0.197 | 0.003 | 0.954 | 6.07 | 0.025 |
| TTG | 192.00 ± 7.64 | 188.20 ± 10.63 | ||||||
| Mean Heart rate (ppm) | ||||||||
| CTG | 181.88 ± 13.76 | 181.88 ± 9.96 | 2.20 | 0.158 | 0.34 | 0.566 | 0.34 | 0.566 |
| TTG | 174.60 ± 11.93 | 172.10 ± 15.10 | ||||||
| Total distance covered (m) | ||||||||
| CTG | 1697.95 ± 190.28 | 1744.23 ± 225.29 | 5.33 | 0.027 | 3.76 | 0.061 | 0.42 | 0.521 |
| TTG | 1505.54 ± 282.13 # | 1598.31 ± 266.49 | ||||||
| Group Effect | Time Effect | Time × Group | ||||||
|---|---|---|---|---|---|---|---|---|
| PRE | POST | F | p-Value | F | p-Value | F | p-Value | |
| Good passes | ||||||||
| CTG | 7.20 ± 4.71 | 12.20 ± 4.68 * | 0.256 | 0.617 | 11.65 | 0.002 | 3.63 | 0.068 |
| TTG | 8.25 ± 4.31 | 9.67 ± 4.14 | ||||||
| Bad passes | ||||||||
| CTG | 5.67 ± 2.99 | 2.60 ± 1.76 * | 0.09 | 0.769 | 7.32 | 0.012 | 6.57 | 0.017 |
| TTG | 3.92 ± 2.87 | 3.83 ± 3.10 | ||||||
| Good catches | ||||||||
| CTG | 6.47 ± 4.10 | 10.67 ± 4.62 * | 0.065 | 0.801 | 12.36 | 0.002 | 3.04 | 0.094 |
| TTG | 7.50 ± 3.42 | 8.92 ± 4.32 | ||||||
| Bad catches | ||||||||
| CTG | 1.53 ± 0.74 | 1.33 ± 1.23 | 0.28 | 0.601 | 6.56 | 0.017 | 3.84 | 0.061 |
| TTG | 2.33 ± 1.61 | 0.83 ± 0.72 * | ||||||
| Good unmarking | ||||||||
| CTG | 4.07± 1.67 | 4.67 ± 1.88 | 0.007 | 0.933 | 0.17 | 0.688 | 2.64 | 0.117 |
| TTG | 4.92 ± 2.07 | 3.92 ± 2.39 | ||||||
| Bad unmarking | ||||||||
| CTG | 1.60 ± 0.91 | 0.80 ± 0.86 * | 0.42 | 0.525 | 1.28 | 0.268 | 2.99 | 0.096 |
| TTG | 1.33 ± 0.65 | 1.50 ± 1.83 | ||||||
| Good decisions | ||||||||
| CTG | 9.93 ± 4.85 | 14.67 ± 5.08 * | 1.62 | 0.215 | 10.58 | 0.003 | 1.60 | 0.218 |
| TTG | 9.17 ± 5.39 | 11.25 ± 4.83 | ||||||
| Bad decisions | ||||||||
| CTG | 3.47 ± 1.92 | 1.27 ± 1.03 * | 0.35 | 0.561 | 11.46 | 0.002 | 1.94 | 0.176 |
| TTG | 3.17 ± 2.29 | 2.25 ± 2.30 | ||||||
| Good marking | ||||||||
| CTG | 6.67 ± 2.64 | 6.33 ± 2.19 | 13.91 | 0.001 | 0.006 | 0.939 | 0.29 | 0.595 |
| TTG | 3.75 ± 2.22 # | 4.00 ± 2.00 # | ||||||
| Bad marking | ||||||||
| CTG | 5.13 ± 1.73 | 2.87 ± 1.96 * | 1.96 | 0.174 | 1.36 | 0.255 | 13.22 | 0.001 |
| TTG | 2.58 ± 1.51 # | 3.75 ± 2.56 | ||||||
| Game involvement | ||||||||
| CTG | 51.73 ± 15.88 | 57.40 ± 16.09 | 1.26 | 0.272 | 1.89 | 0.182 | 0.18 | 0.676 |
| TTG | 46.92 ± 15.61 | 49.92 ± 17.75 | ||||||
| Game Performance | ||||||||
| CTG | 0.66 ± 0.09 | 0.84 ± 0.07 * | 0.39 | 0.541 | 35.79 | p < 0.001 | 7.49 | 0.011 |
| TTG | 0.70 ± 0.12 | 0.76 ± 0.08 *# | ||||||
Disclaimer/Publisher’s Note: The statements, opinions and data contained in all publications are solely those of the individual author(s) and contributor(s) and not of MDPI and/or the editor(s). MDPI and/or the editor(s) disclaim responsibility for any injury to people or property resulting from any ideas, methods, instructions or products referred to in the content. |
© 2023 by the authors. Licensee MDPI, Basel, Switzerland. This article is an open access article distributed under the terms and conditions of the Creative Commons Attribution (CC BY) license (https://creativecommons.org/licenses/by/4.0/).
Share and Cite
Portillo, J.; Abián, P.; Bravo-Sánchez, A.; Dorado-Suárez, A.; Abián-Vicén, J. Effects of the Comprehensive and Technical Models of Sports Teaching in Secondary School Students. Sustainability 2023, 15, 6752. https://doi.org/10.3390/su15086752
Portillo J, Abián P, Bravo-Sánchez A, Dorado-Suárez A, Abián-Vicén J. Effects of the Comprehensive and Technical Models of Sports Teaching in Secondary School Students. Sustainability. 2023; 15(8):6752. https://doi.org/10.3390/su15086752
Chicago/Turabian StylePortillo, Javier, Pablo Abián, Alfredo Bravo-Sánchez, Alberto Dorado-Suárez, and Javier Abián-Vicén. 2023. "Effects of the Comprehensive and Technical Models of Sports Teaching in Secondary School Students" Sustainability 15, no. 8: 6752. https://doi.org/10.3390/su15086752
APA StylePortillo, J., Abián, P., Bravo-Sánchez, A., Dorado-Suárez, A., & Abián-Vicén, J. (2023). Effects of the Comprehensive and Technical Models of Sports Teaching in Secondary School Students. Sustainability, 15(8), 6752. https://doi.org/10.3390/su15086752

