Abstract
Rice straw (RS) is among the agricultural waste products with the highest methane production potential in the world, but the refractory complex structure and high carbon-to-nitrogen ratio of RS cause low methane conversion efficiency and limit its widespread application in anaerobic digestion. In this study, Solar/Fe (II)/persulfate (PS) pretreatment of RS was investigated to improve microbial accessibility, and anaerobic co-digestion combined pretreated RS and swine wastewater (SW) were evaluated to improve the efficiency of anaerobic digestion. The results showed that the Solar/Fe (II)/PS pretreatment could disrupt the structure of RS and promote the reduction of sugar content, increasing microbial accessibility to RS. When all the components of the pretreated RS (including the use of the solution remaining from the pretreatment) were anaerobically co-digested with SW, the cumulative biogas production and cumulative methane production reached 252.10 mL/g·VS and 163.71 mL/g·VS, 19.18% and 36.97% higher than the anaerobic co-digestion of untreated RS and SW, respectively. The anaerobic co-digestion of the Solar/Fe (II)/PS-pretreated RS with SW is a promising approach to achieving the utilization of RS components and maximizing methane yields, providing a cost-effective and pollution-free method for the production of high-quality bioenergy from agricultural waste.
1. Introduction
Rice straw (RS) is one of the most abundant agricultural biomass resources in the world, and its annual output in China exceeds 200 million tons [1]. The direct incineration of RS in an open environment causes environmental pollution and affects human health [2]. The anaerobic digestion (AD) of RS to produce clean energy can not only solve the environmental pollution problem, but also alleviate the ongoing and increasingly severe energy shortage crisis. RS is abundant in cellulose, hemicellulose, and lignin; these three components account for more than 80% of the total mass of the plant’s raw materials [3,4], among which cellulose is composed of cellobiose linked by pyran-D-glucose through β-1,4 glycosidic bonds [5]. Hemicellulose is the second most abundant polymer in lignocellulose after cellulose, and it is comprised of two or more monosaccharides [6]. The monosaccharides that constitute the main chain of hemicellulose mainly include pentoses and hexoses [6,7]. Lignin is an amorphous phenolic polymer containing guaiacyl, erucoyl, and p-hydroxyphenyl groups linked by ether and carbon bonds [7]. However, the cellulose, hemicellulose, and lignin in rice straw are cross-linked and intertwined to form a complex and dense structure, which makes it difficult to biodegrade. Therefore, the hydrolysis and acidification of RS are the rate-limiting steps of AD [8]. Several pretreatments are currently used to disrupt the structure of RS, such as alkali [9,10], acid [11], steam explosion [12], and microwave-assisted hydrothermolysis pretreatments [13]. However, these pretreatment methods are not suitable for large-scale commercial applications due to their high energy consumption and the release of environmental pollutants. Hence, an energy-saving and environmentally friendly pretreatment method is needed to improve the efficiency of the AD of RS.
Inspired by the biological process whereby fungi such as white rot fungi and termites can degrade lignocellulose under natural conditions, researchers found that the mechanism of lignocellulose degradation is oxidation and hydrolysis [14]. The free radicals can disrupt the biomass structure in an oxidative manner [15]. Hence, in recent years, there has been a growing interest in the Fenton-like reactions that generate free radicals, such as hydroxyl radicals (OH·) or sulfate radicals (SO4−·). As an inexpensive and simple way to store material, activated persulfate (PS), can be activated to generate SO4−· using a variety of methods such as heat, alkalis, transition metals, and ultraviolet (UV) light [16,17,18,19]. Davaritouchaee pretreated wheat straw with alkali-activated PS [14]. The lignin content of the wheat straw decreased, and the sugar yield was the highest when 0.55 mol/L of PS and 0.375 mol/L of NaOH were used. Li pretreated corn straw with heat-activated PS [20], which resulted in decreased lignin and increased the production of reducing sugars and volatile fatty acids (VFAs) compared to the untreated group. Nevertheless, the activation of PS by exposure to alkaline conditions has the potential to cause environmental harm, while heat-activated PS may increase the consumption of energy. As a cheap transition metal, Fe2+ can activate PS, but the Fe3+ generated during activation cannot activate PS, resulting in low reaction efficiency [21]. The addition of UV irradiation can effectively solve this problem [21,22], but UV irradiation and artificial light sources also entail energy costs. Solar energy is a free and clean renewable energy source for the cost-effective and environmentally friendly activation of PS; there is no need to add an acid or alkali, producing waste liquid that will pollute the environment, and there is no need for heat. Thus, in this study, the pretreatment of RS with Solar/Fe (II)/PS was clean and eco-friendly with no extra energy consumption.
The carbon-to-nitrogen (C/N) ratio of a feedstock is the key factor to ensure the smooth progress of anaerobic digestion [23,24]. Studies have shown that, when the C/N ratio is too high (C/N > 35) [25], acid-producing bacteria produce large quantities of organic acids, resulting in the acidification of the AD system and limiting methanogenic activities [26]. On the other hand, when the C/N ratio is too low (C/N < 15) [27], the large accumulation of ammonia nitrogen inhibits the growth of methanogens [28]. The high C/N ratios characteristic of RS makes it susceptible to undergo acid inhibition during co-AD. China produces 460 million tons of swine wastewater (SW) per year [29], and SW is rich in nitrogen. If it is discharged directly, it pollutes the environment [30]. Anaerobic digestion has been recognized as an established technology for the treatment of SW [30], because its AD not only produces renewable energy biogas, but also reduces odors and greenhouse gas emissions. However, SW has a comparatively low C/N ratio, which is susceptible to ammonia nitrogen inhibition [31]. It was reported that the optimum C/N ratio ranged from 20 to 30 in the AD process [26]. The co-AD of RS with SW has the ability not only to solve the constraints of mono-AD but also to balance the C/N ratio for improved methane generation.
Moreover, in most previous studies on the biodegradation of pretreated RS, the pretreatment solution (PrS) of chemically treated RS (acid, alkali) [9,10,11] was often discarded, which not only wasted raw materials, but also produced secondary pollution. Currently, few investigations have focused on the biodegradation of pretreated RS (including PrS). The purpose of this study was to develop a novel pretreatment method using Solar/Fe (II)/PS-pretreated RS under mild conditions. The effects of this pretreatment method on the composition, structure, and reducing sugar of RS were investigated in order to improve the accessibility of microorganisms to RS with minimal reducing sugar loss. On this basis, a co-AD system with pretreated RS and SW as substrates was constructed. Two reactors (pretreated RS and pretreated RS containing PrS) were compared to research the promotion effect of the Solar/Fe (II)/PS-pretreated solution on methane production in order to realize the utilization of all components of RS, providing a sustainable option for the resource utilization of agricultural waste.
2. Materials and Methods
2.1. Experimental Materials
RS was collected from the Rice Research Institute of the Southwest University’s experimental field (Chongqing, China). The RS was cut into 1–2 cm pieces, dried for 6 h at 105 °C, and bagged for further use. The volatile solid (VS) concentration of the RS was 76.43%, and the C/N ratio was 57.31.
SW was obtained from the solid–liquid separation liquid of swine farms in Chongqing. The soluble chemical oxygen demand (sCOD) concentration of the SW was 8.92 × 103 mg/L. The total ammonia nitrogen (TAN) concentration was 1.24 × 103 mg/L, and the VS concentration was 0.94%; the pH value was 7.62, and the C/N ratio was 10.21.
2.2. Experimental Methods
2.2.1. Solar/Fe (II)/PS RS Pretreatment
The Solar/Fe (II)/PS pretreatment was performed in a 250 mL Erlenmeyer flask, where RS (10 g) was mixed with 2 mmol/L potassium persulfate and 1 mmol/L ferrous sulfate (pH 7) for a total of 200 mL; it was then pretreated under sunlight for 120 min with the solar irradiance intensity ranging from 5.30–8.60 × 104 Lux (Solar/Fe (II)/PS) (Testo540, Black Forest, Germany). After the pretreatment was complete, the solution was filtered through a 0.22 µm microfiltration membrane to quantify the reducing sugar contents. The pretreated solids were then rinsed using deionized water, dried for 8 h at 105 °C, and labelled as pretreated RS. The characteristics of the PrS are shown in Table 1.
Table 1.
Characteristics of PrS and digested biogas slurry.
2.2.2. Anaerobic Digestion Design
The co-AD of 20 g of pretreated RS with 1.3 L of SW was carried out in 2.5 L of AD reactors. Among them, the co-AD reaction of pretreated RS (without PrS) was labeled as R1, that of pretreated RS (including 0.4 L of PrS) was designated as R2, and the co-ADs of untreated RS and SW were used as controls (CK). All the reactors were inoculated with 10% (v/v) of digested biogas slurry and then maintained at 35 ± 1 °C in a water bath. The characteristics of the digested biogas slurry are shown in Table 1.
2.3. Analytical Methods
sCOD was measured by potassium dichromate colorimetry. The TAN concentration was quantified using Nessler’s reagent spectrophotometry. The concentration of iron ions was measured using o-phenanthroline spectrophotography [32]. The reducing sugar contents of the RS were analyzed based on the dinitrosalicylic acid (DNS) method [20]. The pH of the samples was measured with a pH-meter (PB-1, Sartorius, Gottingen, Germany). RS degradation was calculated using a gravimetric method [20]. The cellulose, hemicellulose, and lignin contents were measured using an automatic cellulose analyzer (2000i, ANKOM, Macedon, NY, USA). The biogas production was collected using the drainage method. VFAs analysis was carried out using a gas chromatography (GC-2030, Shimadzu, Kyoto, Japan) equipped with a hydrogen flame ionization detector (FID) and an SH-Stabilwax-DA (30 × 0.25 mm) capillary column. The methane content was measured using a Shimadzu gas chromatography GC-2030 equipped with a TCD detector and a CBP1-S25-050 (25 m × 0.32 mm × 0.5 μm) chromatographic column.
2.4. Chemical and Physical Analysis
A scanning electron microscope (SEM, SU8020, HITACHI, Tokyo, Japan) was used to analyze the surface morphology of the RS samples. The specific steps were as follows: first, an appropriate amount of untreated or pretreated RS was stuck onto the conductive adhesive and sprayed gold; the sample was then placed in the sample chamber and observed at 3.0 kV.
RS functional groups were detected using Nicolet IS 10 Fourier transform infrared spectroscopy (FT-IR) (Thermo Nicolet Corporation, Madison, WI, USA). About 2 mg of the sample and 100 mg of potassium bromide were evenly ground, pressed together to 20 MPa, and pressed into tablets; then, infrared testing was directly conducted. The wavenumber range was 400–4000 cm−1 and the resolution of the spectrometer was 4 cm−1; the signal-to-noise ratio was 50,000:1, and the scan was set to 32 times.
3. Results and Discussion
3.1. The Effect of Solar/Fe (II)/PS Pretreatment on the RS’s Structure and Reducing Sugar Contents
3.1.1. Effects of Solar/Fe (II)/PS Pretreatment on the RS’s Components and Reducing Sugar Contents
The purpose of the rice straw pretreatment is to increase the microbial accessibility of its biomass and to minimize polysaccharide loss in an energy-efficient and environmentally friendly manner. The effects of the Solar/Fe (II)/PS pretreatment on the RS degradation rate, RS components, and reducing sugar contents are shown in Figure 1. The untreated RS was directly soaked in water for 120 mins, and a small amount of reducing sugar (47.24 mg/L) was produced, which was mainly due to the gradual release of soluble components in RS. With the Solar/Fe (II)/PS pretreatment of RS for 120 min, the RS degradation rate, cellulose content, and reducing sugar concentration reached 16.50%, 52.39%, and 254.40 mg/L, which increased by 266.67%, 33.10%, and 438.53%, respectively, compared with the untreated RS. Meanwhile, the hemicellulose and lignin contents were 8.05% and 36.83% lower than the untreated RS, respectively. Because Solar/Fe (II)-activated PS can generate OH· and SO4−·, these two free radicals can oxidize glycosidic bonds in lignocellulose, thereby breaking the structure of the biomass and releasing reducing sugars [33,34]. Davaritouchaee et al. pretreated wheat straw with sodium hydroxide and sodium persulfate for 130 min, and the lignin removal rate was 27.65% [14], slightly lower than the 36.83% achieved in this study. This may be because, under sunlight irradiation, Fe3+ can be reduced to Fe2+, which improves the utilization rate of PS and then enhances the ability of Solar/Fe (II)/PS to oxidize RS. Li et al. pretreated corn straw with sodium persulfate at 50 °C for 16 h, and the lignin removal rate reached 77.18% [20], which was much higher than that achieved in this study. This is because OH· can oxidize β-O-4 bonds accounting for 35–50% of the weight of lignin [35], and a long heat-activated PS time prolongs the oxidation time of free radicals to lignin and increases the removal rate of lignin. Li et al. found that the heat-activated PS pretreatment of corn straw allowed it to retain most of the hemicellulose and cellulose and increased the content of reducing sugar [20]; this finding is similar to the results of this study, but there is no energy consumed for the Solar/Fe (II)/PS pretreatment of RS. This indicates that Solar/Fe (II)/PS can pretreat RS in an energy-saving and environmentally friendly manner to reduce lignin content and increase cellulose and the reducing sugar contents.
Figure 1.
The effect of pretreatment on RS components and reducing sugar contents.
3.1.2. The Effect of pH on the Effectiveness of the Pretreatments
Figure 2 shows that, for RS pretreated with Solar/Fe (II)/PS for 120 min, the degradation rate of RS showed little difference in the pH range of 5 to 9. The concentration of reducing sugars ranged from 197.9 mg/L to 279.8 mg/L for all samples except for the pH 9 sample, which had a lower concentration of reducing sugar. This demonstrates that Solar/Fe (II)/PS has a wide pH range. Reducing sugar is an easy-to-use substrate for methanogenesis, and a high concentration of reducing sugar is conducive to producing methane in the subsequent AD [36,37]. Therefore, pH 7 was selected as the suitable value for the Solar/Fe (II)/PS pretreatment based on an economical consideration.
Figure 2.
Changes in the reducing sugar and degradation rate of RS under different pH values.
3.1.3. The Effect of Pretreatment on RS Structure
The morphology and surface structure of the RS observed by SEM showed that the surface structure of the untreated RS was smooth; after pretreatment with Solar/Fe (II)/PS, the surface of the RS peeled off and formed some irregular fragments (Figure 3). This indicated that, after the Solar/Fe (II)/PS pretreatment, the dense surface structure of the RS was destroyed, which facilitated the entry of microorganisms into the interior of the RS for biodegradation.
Figure 3.
SEM of RS ((a): untreated RS; (b): pretreated RS).
A large number of functional groups existed in the cellulose, hemicellulose, and lignin structures of the RS. The FT-IR spectrum is often used to analyze the structures and chemical bonding of lignocellulose. Our FT-IR analysis indicated that the absorption peaks of the pretreated RS at 2840 cm−1, 2920 cm−1, and 1030 cm−1 were all reduced (Figure 4). The peaks observed at 2840 cm−1 and at 2920 cm−1 correspond to the symmetrical or anti-symmetrical stretching vibrations of -CH3, -CH2, and -CH [38]. The peak near 1030 cm−1 was attributed to the vibration of the C-O bonds of cellulose and hemicellulose [38]. This demonstrates that Solar/Fe (II)/PS pretreatment can disrupt the glycosidic bonds of cellulose and hemicellulose and release more reducing sugars, which is consistent with the aforementioned results.
Figure 4.
FT-IR spectra of the untreated RS and pretreated RS.
3.2. Effect of Solar/Fe (II)/PS Pretreatment of RS on Co-AD with SW
3.2.1. Effect of the Solar/Fe (II)/PS Pretreatment of RS on sCOD and TAN
The hydrolysis and acidification of RS were the rate-limiting steps of the AD process. sCOD and TAN can intuitively reflect the hydrolysis of the co-AD process of pretreated RS and SW. From the sCOD and TAN values shown in Figure 5, it can be determined that the initial sCOD concentration of R2 was 11,925.50 mg/L, which was 10.47% higher than that of the other two groups. This is because the soluble organic matter such as the reducing sugar and acetic acid produced by the hydrolysis of RS by the Solar/Fe (II)/PS pretreatment contained in the PrS increased the concentration of sCOD [7,39,40,41,42,43]. This was because the Solar/Fe (II)/PS pretreatment disrupted the surface structure of the RS and increased the accessibility of microorganisms, resulting in the rapid increase in the sCOD concentration of R1 and R2 six days before AD. On the 6th day, the sCOD of R1 and R2 reached the maximum values of 12,024.57 mg/L and 13,027.52 mg/L, respectively, increasing by 6.14% and 16.59% compared with CK. As AD progressed, the methanogens of the AD reactor increased gradually. Methanogens utilize the small molecular organic matter, such as acetic acid, to produce methane, and the sCOD concentrations begin to gradually decrease. After 36 days of AD, the sCOD concentrations of R1 and R2 were 7420.66 mg/L and 7620.89 mg/L, which were 14.16% and 11.85% lower than CK, respectively. This indicates that the pretreatment of RS with Solar/Fe (II)/PS is beneficial for the subsequent treatment of AD effluent.
Figure 5.
Changes of sCOD and TAN during anaerobic digestion.
Ammonia nitrogen provides a nitrogen source for the growth and reproduction of microorganisms, but high concentrations of ammonia nitrogen (TAN concentration > 3000 mg/L) can inhibit methanogens [44]. The main sources of ammonia nitrogen in this study were proteins and urea in SW and trace nitrogen-containing substances in RS. Figure 5 showed that the TAN concentrations of R1 and R2 were slightly lower than that of CK, and the TAN concentrations of all reactions fluctuated between 996.82 mg/L and 1228.08 mg/L. This indicates that ammonia nitrogen would not inhibit the co-AD of pretreated RS with SW.
3.2.2. Effect of the Solar/Fe (II)/PS Pretreatment of RS on VFAs and pH
VFAs are important intermediate metabolites during AD. In the first six days of AD, the VFA contents of all reactors gradually increased, where the VFA contents of R1 and R2 were higher than that of CK (Figure 6). This is due to the short growth cycle of hydrolytic bacteria and acidogenic bacteria, and the pretreatment of RS increased the accessibility of microorganisms, which enabled these two types of bacteria to enter the interior of the RS to degrade cellulose and hemicellulose into VFAs. In particular, the production of VFAs in R2 reached the highest level on the sixth day, because the PrS contained reducing sugars in addition to acetic acid produced by the rice straw pretreatment; this is because the reducing sugar in the PrS is an easy-to-use substrate for acidogenic bacteria, which is conducive to the production of VFAs. In addition, Fe3+ in the PrS was the preferred electron acceptor for microorganisms in the anaerobic system. When microorganisms used Fe3+ to reduce to Fe2+, the macromolecular organic matter in the RS and SW was degraded into VFAs [45]. Moreover, iron ions can also promote the activity of hydrolytic acidification bacteria, thereby promoting the hydrolysis process of AD [46,47]. Therefore, on the 6th day, the VFA contents of R2 increased by 11.36% and 32.06% compared to R1 and CK, respectively.
Figure 6.
Changes in VFAs and pH during anaerobic digestion. Note: experimental group (EG).
Figure 6 shows that the contents of acetic acid and butyric acid of all reactors accounted for more than 24.06% of the total acid in the AD process, which means that the co-AD of SW with RS mainly produces acetic acid and butyric acid. Acetic acid is the acid most easily utilized by methanogens during anaerobic digestion, and two-thirds of the methane comes from the conversion of acetic acid. During the AD process, butyric acid may reduce the partial pressure of hydrogen in the system by the interspecies hydrogen transfer of hydrogen-producing acetogenic bacteria and methanogenic bacteria, which is beneficial to the conversion of butyric acid into acetic acid. This means that the production of two VFAs, acetic acid and butyric acid, is beneficial to the formation of methane. On the 6th day, the concentrations of acetic acid in R1 and R2 reached their highest values, 756.68 mg/L and 865.60 mg/L, respectively, which were 49.37% and 70.87% higher than CK; this was because pretreatment removes a large amount of lignin, which is beneficial for microorganisms’ conversion of carbohydrates such as cellulose and hemicellulose into acetic acid. The content of acetic acid in R2 is 14.39% more than that in R1, because the pretreatment solution not only contains acetic acid produced by the hydrolysis of the RS pretreatment, but also contains iron ions, which can destroy the C-O-C and C-H bonds in the cellulose and increase the conversion rate of sugar [48]. After six days, the content of acetic acid and butyric acid in all reactors decreased rapidly due to the methanogenic bacteria using acetic acid and butyric acid to produce methane, which was consistent with the results of sCOD.
For the first six days of co-AD, the concentration of propionic acid in all reactors increased with the concentration of VFAs; however, after six days, the concentration of propionic acid did not start to decrease, as did that of acetic acid and butyric acid. Instead, the concentration remained almost constant. It was not until 21 days later that the concentration of propionic acid in all reactors began to gradually decrease. This is because propionic acid is an intermediate product that is not easily utilized by Methanogens in the process of co-AD. Compared with butyric acid, propionate has a high Gibbs free energy value and is thermodynamically difficult to degrade into acetic acid, which is easily utilized by Methanogens (Equations (1) and (2)) [49]. From the 12th day of AD, the propionic acid concentration (175.76 mg/L~57.19 mg/L) of R2 was always lower than that of R1 (198.31 mg/L~89.34 mg/L) and CK (178.17 mg/L~92.91 mg/L), because the presence of iron ions and sulfate in the PrS promotes the degradation of propionic acid [50,51]. Yang et al. used FeS/sulfite-pretreated sludge for AD; they found that, with propionic acid and butyric acid as substrates, the presence of sulfate and iron ions can increase the degradation rates of propionic acid and butyric acid by 23.4% and 8.9%, respectively [50]. Previous studies have shown that iron ions can promote the conversion of propionic acid into acetic acid [52]. This shows that applying the PrS of Solar/Fe (II)/PS-pretreated RS to AD can promote the conversion of propionic acid into acetic acid during AD, which is undoubtedly beneficial to improving the energy conversion efficiency of AD.
CH3CH2COO− + 3H2O → CH3COO− + HCO3− + H+ + 3H2 ΔG = +76.1 (kJ/mol)
CH3CH2CH2COO− + 2H2O → 2CH3COO− + H+ + 2H2 ΔG = +48.1 (kJ/mol)
The pH value is one of the most important indicators to measure the smooth operation of AD. During the entire AD process, the pH values of all reactors ranged between 7.50 and 7.80, indicating that all reactors were kept in a satisfactory anaerobic fermentation condition.
3.2.3. Effect of the Solar/Fe (II)/PS Pretreatment of RS on Biogas Production and Methane Yields
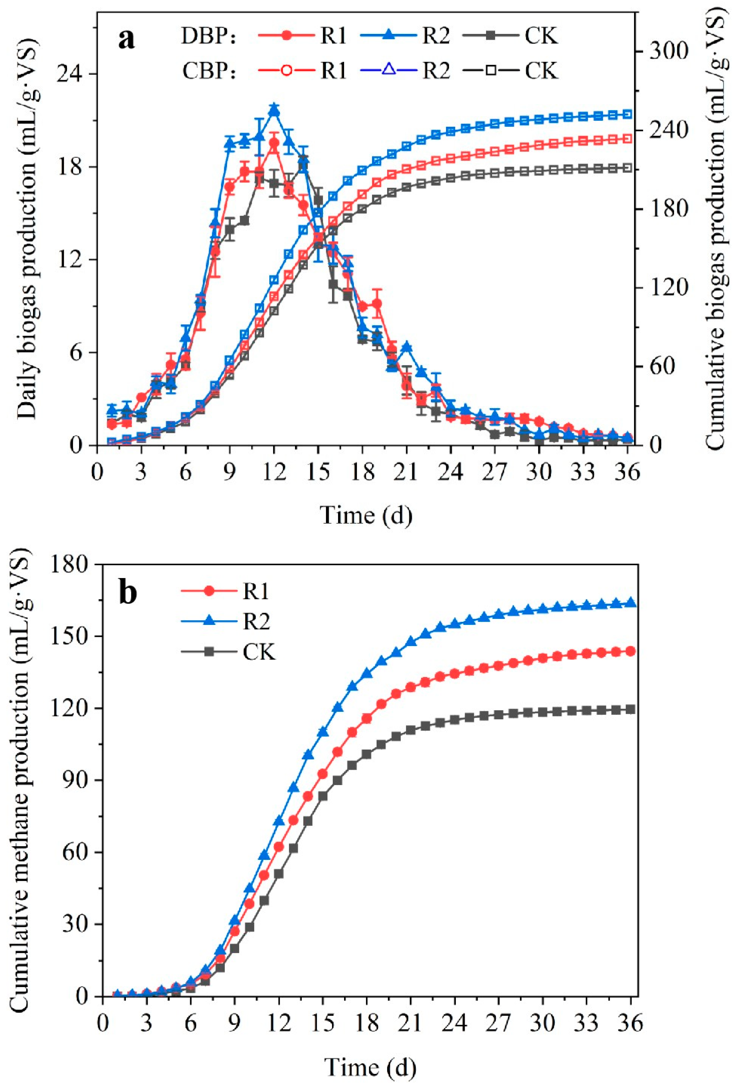
Figure 7a shows that the daily biogas production (DBP) of R1 and R2 reached peak levels (19.55 mL/g·VS and 21.66 mL/g·VS) on the 12th day, 2 days earlier than CK (18.16 mL/g·VS). The cumulative biogas production (CBP) of R2 and R1 was 252.10 mL/g·VS mL and 233.54 mL/g·VS, respectively, 19.18% and 10.41% higher than that of CK. This is due to the surface structure of RS being disrupted after pretreatment, which is beneficial to the degradation of microorganisms. Moreover, the decreased proportion of lignin and increased proportion of cellulose in the pretreated RS also increased the accessibility of microorganisms to RS. Sabeeh et al. used sodium hydroxide and titanium dioxide to photocatalytically pretreat RS, which also removed lignin, retained a large amount of cellulose and hemicellulose, and increased the gas production after AD [35]; these researchers obtained similar results to those found in this study. Therefore, R1 and R2 may shorten AD durations, and the biogas production is also higher than that of CK. In addition, because the PrS of R2 contains soluble reducing sugar and acetic acid produced by hydrolysis in the pretreatment stage, which can easily be utilized by microorganisms, and because the Fe ions in the PrS also promote the conversion of propionic acid to acetic acid, the CBP of R2 is also 7.95% higher than that of R1.
Figure 7.
Changes in biogas production during anaerobic digestion ((a): DBP and CBP; (b): CMP).
In the Solar/Fe (II)/PS pretreatment of RS, the PrS not only contains the reducing sugar and other small molecular compounds produced by RS degradation, but also the remaining Fe2+, Fe3+, and sulfate of the photocatalyzed RS. Fe2+ and Fe3+ are the active centers of many enzymes and can increase enzyme activity in AD [53]. Accordingly, the presence of iron can increase the abundance and activity of hydrogen-producing acetogenic and methanogenic bacteria, as well as promoting the conversion of propionic acid to acetic acid and methane [49,53,54]. Therefore, after 36 days of AD, the cumulative methane production (CMP) of R2 was 163.71 mg/L·VS, which was increased by 13.77% and 36.97% compared with R1 and CK (Figure 7b), respectively. Because the PrS contains sulfate, and studies have shown that the presence of sulfate causes sulfate-reducing bacteria and Methanogens to compete for AD intermediates (acetic acid and hydrogen) [53], the inhibition of acetic acid-type methanogenesis or hydrogenotrophic methanogenesis growth, which reduces methane production, is contrary to the results of this experiment. This may be because the sulfate content in the pretreatment liquid is lower, and the sulfate-reducing bacteria did not become the dominant bacteria. A small number of sulfate-reducing bacteria can use the organic matter in the PrS to produce hydrogen. Methanogens can use the hydrogen produced by sulfate-reducing bacteria as an electron donor, increasing methane production by forming an interspecies hydrogen transfer with sulfate-reducing bacteria [55,56,57]. Yuan et al. used different ammonia concentrations to pretreat RS and sludge for co-AD. The maximum CMP of the experimental group was 28.55% higher than the control, which was lower than the 36.97% of this experiment. This may be because the pretreatment solution was discarded at the end of the pretreatment [58]. This indicates that pretreatment of RS with Solar/Fe (II)/PS not only realizes the full component utilization of RS, but also obtains the highest methane production in co-AD with SW. This provides a new basis for realizing the resource utilization of agricultural waste, such as RS and SW, and improving the biogas quality in AD.
4. Conclusions
Solar/Fe (II)/PS pretreatment can destroy the dense surface structure of RS, reduce lignin content, increase cellulose content, and improve the accessibility of microorganisms to RS. At the same time, by disrupting the glycosidic bonds of cellulose and hemicellulose in the RS, it increases the reducing sugar contents. In the co-AD of pretreated RS and SW, the Solar/Fe (II)/PS pretreatment was able to shorten the duration of the co-AD of RS and SW, reduce the sCOD concentration, and increase methane production. After 36 days of co-AD, the cumulative biogas production of R1 increased by 10.41% compared with CK. At the same time, the iron ions in the pretreatment solution were able to promote the conversion of propionic acid to acetic acid, and the cumulative biogas production and cumulative methane production of R2 increased by 7.95% and 13.77%, respectively, compared with R1. The co-AD of the Solar/Fe (II)/PS-pretreated RS and SW realized the utilization of all components of RS, which provides not only a clean and energy-saving basis for the resource utilization of agricultural waste, but also an alternative resource utilization method for other organic solid wastes, such as lignocellulose and sludge.
Author Contributions
P.L.: resources, formal analysis, data curation, investigation, methodology, writing—original draft. Y.P.: conceptualization, funding acquisition, supervision, project administration, resources, formal analysis, writing—original draft, writing—review and editing. All authors have read and agreed to the published version of the manuscript.
Funding
This work was supported by the National Natural Science Foundation of China (grant number 51306155) and the Fundamental Research Funds for the Central Universities (XDJK2017B059).
Institutional Review Board Statement
Not applicable.
Informed Consent Statement
Not applicable.
Data Availability Statement
Not applicable.
Conflicts of Interest
The authors declare that they have no known competing financial interests or personal relationships that could have appeared to influence the work reported in this paper.
Abbreviations
| RS | Rice straw |
| PS | Persulfate |
| OH | Hydroxyl radical |
| SO4−· | Sulfate radicals |
| PrS | Pretreatment solution |
| UV | Ultraviolet |
| VFAs | Volatile fatty acids |
| C/N | Carbon-to-nitrogen |
| SW | Swine wastewater |
| sCOD | Soluble chemical oxygen demand |
| TAN | Total ammonia nitrogen |
| VS | Volatile solid |
| SEM | Scanning electron microscope |
| FT-IR | Fourier transform infrared spectroscopy |
| EG | Experimental group |
| DBP | Daily biogas production |
| CBP | Cumulative biogas production |
| CMP | Cumulative methane production |
References
- Chen, X.; Yuan, H.; Zou, D.; Liu, Y.; Zhu, B.; Chufo, A.; Jaffar, M.; Li, X. Improving biomethane yield by controlling fermentation type of acidogenic phase in two-phase anaerobic co-digestion of food waste and rice straw. Chem. Eng. J. 2015, 273, 254–260. [Google Scholar] [CrossRef]
- Pan, Y.; Zheng, X.; Xiang, Y. Structure-function elucidation of a microbial consortium in degrading rice straw and producing acetic and butyric acids via metagenome combining 16S rDNA sequencing. Bioresour. Technol. 2021, 340, 125709. [Google Scholar] [CrossRef] [PubMed]
- Sankaran, R.; Markandan, K.; Khoo, K.S.; Cheng, C.K.; Ashokkumar, V.; Deepanraj, B.; Show, P.L. The Expansion of Lignocellulose Biomass Conversion Into Bioenergy via Nanobiotechnology. Front. Nanotechnol. 2021, 3, 793528. [Google Scholar] [CrossRef]
- Mirmohamadsadeghi, S.; Karimi, K.; Azarbaijani, R.; Yeganeh, L.P.; Angelidaki, I.; Nizami, A.S.; Bhat, R.; Dashora, K.; Vijay, V.K.; Aghbashlo, M.; et al. Pretreatment of lignocelluloses for enhanced biogas production: A review on influencing mechanisms and the importance of microbial diversity. Renew. Sustain. Energy Rev. 2021, 135, 110173. [Google Scholar] [CrossRef]
- Hu, B.; Zhang, B.; Xie, W.; Jiang, X.; Liu, J.; Lu, Q. Recent Progress in Quantum Chemistry Modeling on the Pyrolysis Mechanisms of Lignocellulosic Biomass. Energy Fuels 2020, 34, 10384–10440. [Google Scholar] [CrossRef]
- Kumar, V.; Yadav, S.K.; Kumar, J.; Ahluwalia, V. A critical review on current strategies and trends employed for removal of inhibitors and toxic materials generated during biomass pretreatment. Bioresour. Technol. 2020, 299, 122633. [Google Scholar] [CrossRef]
- Moodley, P.; Sewsynker-Sukai, Y.; Kana, E.B.G. Progress in the development of alkali and metal salt catalysed lignocellulosic pretreatment regimes: Potential for bioethanol production. Bioresour. Technol. 2020, 310, 123372. [Google Scholar] [CrossRef]
- Li, Y.; Chen, Y.; Wu, J. Enhancement of methane production in anaerobic digestion process: A review. Appl. Energy 2019, 240, 120–137. [Google Scholar] [CrossRef]
- Moradi, F.; Amiri, H.; Soleimanian-Zad, S.; Ehsani, M.R.; Karimi, K. Improvement of acetone, butanol and ethanol production from rice straw by acid and alkaline pretreatments. Fuel 2013, 112, 8–13. [Google Scholar] [CrossRef]
- Kaur, A.; Kuhad, R.C. Valorization of Rice Straw for Ethanol Production and Lignin Recovery Using Combined Acid-Alkali Pre-treatment. BioEnergy Res. 2019, 12, 570–582. [Google Scholar] [CrossRef]
- Hsu, T.; Guo, G.; Chen, W.; Hwang, W. Effect of dilute acid pretreatment of rice straw on structural properties and enzymatic hydrolysis. Bioresour. Technol. 2010, 101, 4907–4913. [Google Scholar] [CrossRef] [PubMed]
- Ranjan, A.; Moholkar, V.S. Comparative study of various pretreatment techniques for rice straw saccharification for the production of alcoholic biofuels. Fuel 2013, 112, 567–571. [Google Scholar] [CrossRef]
- Valles, A.; Álvarez-Hornos, F.J.; Martínez-Soria, V.; Marzal, P.; Gabaldón, C. Comparison of simultaneous saccharification and fermentation and separate hydrolysis and fermentation processes for butanol production from rice straw. Fuel 2020, 282, 118831. [Google Scholar] [CrossRef]
- Davaritouchaee, M.; Chen, S. Persulfate oxidizing system for biomass pretreatment and process optimization. Biomass Bioenergy 2018, 116, 249–258. [Google Scholar] [CrossRef]
- Ahmed, M.A.; Seo, Y.H.; Teran-Hilares, R.; Rehman, M.S.U.R.; Han, J.I. Persulfate based pretreatment to enhance the enzymatic digestibility of rice straw. Bioresour. Technol. 2016, 222, 523–526. [Google Scholar] [CrossRef] [PubMed]
- Xie, P.; Ma, J.; Liu, W.; Zou, J.; Yue, S.; Li, X.; Wiesner, M.R.; Fang, J. Removal of 2-MIB and geosmin using UV/persulfate: Contributions of hydroxyl and sulfate radicals. Water Res. 2015, 69, 223–233. [Google Scholar] [CrossRef]
- Fan, Y.; Ji, Y.; Kong, D.; Lu, J.; Zhou, Q. Kinetic and mechanistic investigations of the degradation of sulfamethazine in heat-activated persulfate oxidation process. J. Hazard. Mater. 2015, 300, 39–47. [Google Scholar] [CrossRef]
- Zhao, D.; Liao, X.; Yan, X.; Huling, S.G.; Chai, T.; Tao, H. Effect and mechanism of persulfate activated by different methods for PAHs removal in soil. J. Hazard. Mater. 2013, 254–255, 228–235. [Google Scholar] [CrossRef]
- Fang, G.; Wu, W.; Deng, Y.; Zhou, D. Homogenous activation of persulfate by different species of vanadium ions for PCBs degradation. Chem. Eng. J. 2017, 323, 84–95. [Google Scholar] [CrossRef]
- Li, X.; Fang, G.; Chen, L.; Guo, R.; Zou, D.; Liu, Y. Optimization of thermally activated persulfate pretreatment of corn straw and its effect on anaerobic digestion performance and stability. Biomass Bioenergy 2021, 154, 106216. [Google Scholar] [CrossRef]
- Yang, Q.; Ma, Y.; Chen, F.; Yao, F.; Sun, J.; Wang, S.; Yi, K.; Hou, L.; Li, X.; Wang, D. Recent advances in photo-activated sulfate radical-advanced oxidation process (SR-AOP) for refractory organic pollutants removal in water. Chem. Eng. J. 2019, 378, 122149. [Google Scholar] [CrossRef]
- Benkelberg, H.J.; Warneck, P. Photodecomposition of Iron(III) Hydroxo and Sulfato Complexes in Aqueous Solution: Wavelength Dependence of OH and SO4− Quantum Yields. J. Phys. Chem. 1995, 99, 5214–5221. [Google Scholar] [CrossRef]
- Nkuna, R.; Roopnarain, A.; Rashama, C.; Adeleke, R. Insights into organic loading rates of anaerobic digestion for biogas production: A review. Crit. Rev. Biotechnol. 2021, 42, 487–507. [Google Scholar] [CrossRef]
- Samadi, M.T.; Leili, M.; Rahmani, A.; Moradi, S.; Godini, K. Anaerobic co-digestion using poultry slaughterhouse and vegetable wastes to enhance biogas yield: Effect of different C/N ratios. Biomass Convers. Biorefin. 2022. [Google Scholar] [CrossRef]
- Li, L.; Xu, L. Effects of C/N on anaerobic digestion process of duck feces at moderate temperature. Chin. J. Environ. Eng. 2010, 4, 1903–1906. [Google Scholar]
- Ning, J.; Zhou, M.; Pan, X.; Li, C.; Lv, N.; Wang, T.; Cai, G.; Wang, R.; Li, J.; Zhu, G. Simultaneous biogas and biogas slurry production from co-digestion of pig manure and corn straw: Performance optimization and microbial community shift. Bioresour. Technol. 2019, 282, 37–47. [Google Scholar] [CrossRef]
- Yan, Z.; Song, Z.; Li, D.; Yuan, Y.; Liu, X.; Zheng, T. The effects of initial substrate concentration, C/N ratio, and temperature on solid-state anaerobic digestion from composting rice straw. Bioresour. Technol. 2015, 177, 266–273. [Google Scholar] [CrossRef]
- Zheng, Z.; Cai, Y.; Zhang, Y.; Zhao, Y.; Gao, Y.; Cui, Z.; Hu, Y.; Wang, X. The effects of C/N (10-25) on the relationship of substrates, metabolites, and microorganisms in “inhibited steady-state” of anaerobic digestion. Water Res. 2021, 188, 116466. [Google Scholar] [CrossRef]
- Tang, T.; Liu, M.; Du, Y.; Chen, Y. Mechanism of action of single and mixed antibiotics during anaerobic digestion of swine wastewater: Microbial functional diversity and gene expression analysis. Environ. Res. 2023, 219, 115119. [Google Scholar] [CrossRef]
- Jiang, M.; Westerholm, M.; Qiao, W.; Wandera, S.M.; Dong, R. High rate anaerobic digestion of swine wastewater in an anaerobic membrane bioreactor. Energy 2020, 193, 116783. [Google Scholar] [CrossRef]
- Wijesinghe, D.T.N.; Dassanayake, K.B.; Scales, P.J.; Sommer, S.G.; Chen, D. Effect of Australian zeolite on methane production and ammonium removal during anaerobic digestion of swine manure. J. Environ. Chem. Eng. 2018, 6, 1233–1241. [Google Scholar] [CrossRef]
- Shi, C.; Wang, J.; Peng, S.; Hou, C.; Chen, T.; Yue, Z. Fe3+ enhanced anaerobic digestion of corn straw. Trans. Chin. Soc. Agric. Eng. 2013, 29, 218–225. [Google Scholar] [CrossRef]
- Lin, D.; Fu, Y.; Li, X.; Wang, L.; Hou, M.; Hu, D.; Li, Q.; Zhang, Z.; Xu, C.; Qiu, S.; et al. Application of persulfate-based oxidation processes to address diverse sustainability challenges: A critical review. J. Hazard. Mater. 2022, 440, 129722. [Google Scholar] [CrossRef]
- Cheng, Q.; Yuan, Y.; Tang, R.; Liu, Q.; Bao, L.; Wang, P.; Zhong, J.; Zhao, Z.; Yu, Z.; Zou, Z. Rapid Hydroxyl Radical Generation on (001)-Facet-Exposed Ultrathin Anatase TiO2 Nanosheets for Enhanced Photocatalytic Lignocellulose-to-H2 Conversion. ACS Catal 2022, 12, 2118–2125. [Google Scholar] [CrossRef]
- Sabeeh, M.; Zeshan; Liaquat, R.; Maryam, A. Effect of alkaline and alkaline-photocatalytic pretreatment on characteristics and biogas production of rice straw. Bioresour. Technol. 2020, 309, 123449. [Google Scholar] [CrossRef]
- Zhao, X.; Luo, K.; Zhang, Y.; Zheng, Z.; Cai, Y.; Wen, B.; Cui, Z.; Wang, X. Improving the methane yield of maize straw: Focus on the effects of pretreatment with fungi and their secreted enzymes combined with sodium hydroxide. Bioresour. Technol. 2018, 250, 204–213. [Google Scholar] [CrossRef]
- Wang, X.; Cheng, S.; Li, Z.; Men, Y.; Wu, J. Impacts of Cellulase and Amylase on Enzymatic Hydrolysis and Methane Production in the Anaerobic Digestion of Corn Straw. Sustainability 2020, 12, 5453. [Google Scholar] [CrossRef]
- Wang, C.; Zhang, J.; Hu, F.; Zhang, S.; Lu, J.; Liu, S. Bio-pretreatment promote hydrolysis and acidification of oilseed rape straw: Roles of fermentation broth and micro-oxygen. Bioresour. Technol. 2020, 308, 123272. [Google Scholar] [CrossRef]
- Luo, M.; Tian, D.; Shen, F.; Hu, J.; Zhang, Y.; Yang, G.; Zeng, Y.; Deng, S.; Hu, Y. A comparative investigation of H2O2-involved pretreatments on lignocellulosic biomass for enzymatic hydrolysis. Biomass Convers. Biorefin. 2018, 9, 321–331. [Google Scholar] [CrossRef]
- Yu, H.; Chen, B.; Li, B.; Tseng, M.; Han, C.; Shyu, S. Efficient pretreatment of lignocellulosic biomass with high recovery of solid lignin and fermentable sugars using Fenton reaction in a mixed solvent. Biotechnol. Biofuels 2018, 11, 287. [Google Scholar] [CrossRef]
- Kumar, B.; Bhardwaj, N.; Agrawal, K.; Chaturvedi, V.; Verma, P. Current perspective on pretreatment technologies using lignocellulosic biomass: An emerging biorefinery concept. Fuel Process. Technol. 2020, 199, 106244. [Google Scholar] [CrossRef]
- Jeong, S.Y.; Lee, J.W. Catalytic effect of iron on sequential Fenton oxidation, hydrothermal treatment, and enzymatic hydrolysis to produce monosaccharide from lignocellulosic biomass. Ind. Crops Prod. 2020, 158, 112953. [Google Scholar] [CrossRef]
- Den, W.; Sharma, V.K.; Lee, M.; Nadadur, G.; Varma, R.S. Lignocellulosic Biomass Transformations via Greener Oxidative Pretreatment Processes: Access to Energy and Value-Added Chemicals. Front. Chem. 2018, 6, 141. [Google Scholar] [CrossRef] [PubMed]
- Guan, Z.; Ma, J.; Bi, L.; Sun, X. Acidification Characteristics of Two-phase Anaerobic Fermentation by Separated Liquids from Dairy Manure with Swine. J. Agric. Mech. Res. 2016, 38, 250–254+262. [Google Scholar] [CrossRef]
- Zhang, Y.; Feng, Y.; Yu, Q.; Xu, Z.; Quan, X. Enhanced high-solids anaerobic digestion of waste activated sludge by the addition of scrap iron. Bioresour. Technol. 2014, 159, 297–304. [Google Scholar] [CrossRef]
- Qin, Y.; Chen, L.; Wang, T.; Ren, J.; Cao, Y.; Zhou, S. Impacts of ferric chloride, ferrous chloride and solid retention time on the methane-producing and physicochemical characterization in high-solids sludge anaerobic digestion. Renew. Energy 2019, 139, 1290–1298. [Google Scholar] [CrossRef]
- Cheng, J.; Zhu, C.; Zhu, J.; Jing, X.; Kong, F.; Zhang, C. Effects of waste rusted iron shavings on enhancing anaerobic digestion of food wastes and municipal sludge. J. Clean. Prod. 2020, 242, 118195. [Google Scholar] [CrossRef]
- Du, H.; Deng, F.; Kommalapati, R.R.; Amarasekara, A.S. Iron based catalysts in biomass processing. Renew. Sustain. Energy Rev. 2020, 134, 110292. [Google Scholar] [CrossRef]
- Kong, X.; Yu, S.; Xu, S.; Fang, W.; Liu, J.; Li, H. Effect of FeO addition on volatile fatty acids evolution on anaerobic digestion at high organic loading rates. Waste Manag. 2018, 71, 719–727. [Google Scholar] [CrossRef]
- Yang, X.; Yang, J.; Liu, X.; Gong, S.; Ji, X.; Chang, J.; Li, C.; Pan, Q.; Wang, D. Activation of sulfite by FeS for anaerobic fermentation enhancement of waste activated sludge: Performance and mechanisms. Chem. Eng. J. 2023, 455, 140913. [Google Scholar] [CrossRef]
- Wang, J.; Li, M.; Guan, A.; Liu, R.; Qi, W.; Liu, H.; Qu, J. Can radicals-orientated chemical oxidation improve the reduction of antibiotic resistance genes (ARGs) by mesophilic anaerobic digestion of sludge? J. Hazard. Mater. 2022, 426, 128001. [Google Scholar] [CrossRef]
- Wang, L.; Lei, Z.; Zhang, Z.; Shimizu, K.; Yuan, T.; Li, S.; Liu, S. Insight into enhanced acetic acid production from food waste in anaerobic hydrolysis/acidification with Fe3O4 supplementation. Waste Manag. 2022, 150, 310–319. [Google Scholar] [CrossRef] [PubMed]
- Wei, J.; Hao, X.; van Loosdrecht, M.C.M.; Li, J. Feasibility analysis of anaerobic digestion of excess sludge enhanced by iron: A review. Renew. Sustain. Energy Rev. 2018, 89, 16–26. [Google Scholar] [CrossRef]
- Cheng, J.; Hua, J.; Kang, T.; Meng, B.; Yue, L.; Dong, H.; Li, H.; Zhou, J. Nanoscale zero-valent iron improved lactic acid degradation to produce methane through anaerobic digestion. Bioresour. Technol. 2020, 317, 124013. [Google Scholar] [CrossRef] [PubMed]
- Martins, M.; Pereira, I.A.C. Sulfate-reducing bacteria as new microorganisms for biological hydrogen production. Int. J. Hydrogen Energy 2013, 38, 12294–12301. [Google Scholar] [CrossRef]
- Zhang, Y.; Li, C.; Yuan, Z.; Wang, R.; Angelidaki, I.; Zhu, G. Syntrophy mechanism, microbial population, and process optimization for volatile fatty acids metabolism in anaerobic digestion. Chem. Eng. J. 2023, 452, 139137. [Google Scholar] [CrossRef]
- Shah, F.A.; Mahmood, Q.; Shah, M.M.; Pervez, A.; Asad, S.A. Microbial Ecology of Anaerobic Digesters: The Key Players of Anaerobiosis. Sci. World J. 2014, 2014, 183752. [Google Scholar] [CrossRef]
- Yuan, H.; Guan, R.; Wachemo, A.; Zhang, Y.; Zuo, X.; Li, X. Improving physicochemical characteristics and anaerobic digestion performance of rice straw via ammonia pretreatment at varying concentrations and moisture levels. Chin. J. Chem. Eng. 2020, 28, 541–547. [Google Scholar] [CrossRef]
Disclaimer/Publisher’s Note: The statements, opinions and data contained in all publications are solely those of the individual author(s) and contributor(s) and not of MDPI and/or the editor(s). MDPI and/or the editor(s) disclaim responsibility for any injury to people or property resulting from any ideas, methods, instructions or products referred to in the content. |
© 2023 by the authors. Licensee MDPI, Basel, Switzerland. This article is an open access article distributed under the terms and conditions of the Creative Commons Attribution (CC BY) license (https://creativecommons.org/licenses/by/4.0/).






