The Spatio-Temporal Evolution Characteristics of the Vegetation NDVI in the Northern Slope of the Tianshan Mountains at Different Spatial Scales
Abstract
1. Introduction
2. Materials and Methods
2.1. The Study Area
2.2. Data Sources and Preprocessing
2.3. Methodology
2.3.1. Data Processing
2.3.2. Maximum Value Composite (MVC) Method
2.3.3. Resampling—Cubic Convolution Interpolation Method
2.3.4. Mann-Kendall Trend Test
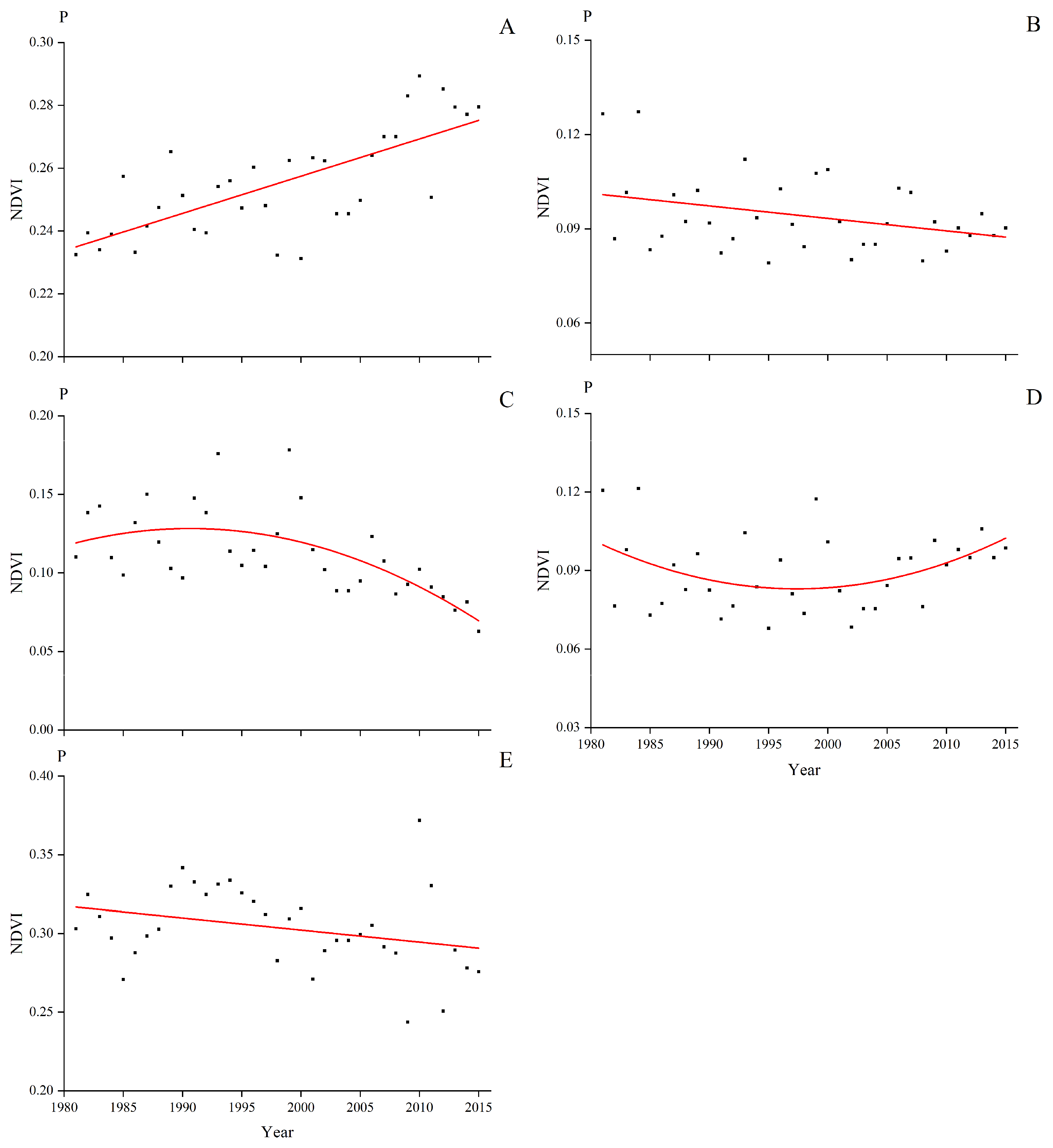
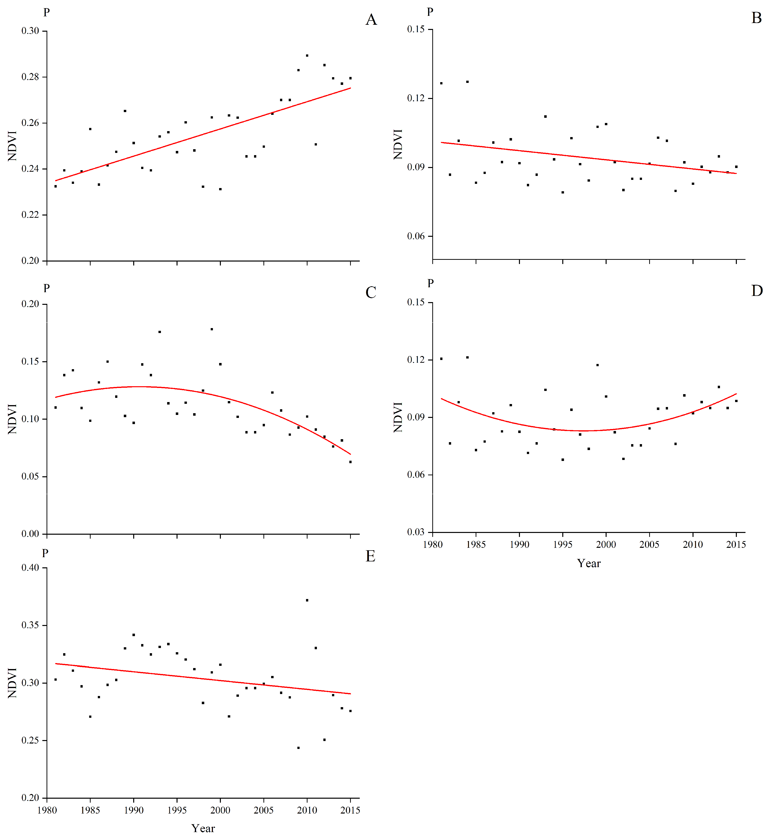
2.3.5. Optimal Fitting Model Selection
3. Results
3.1. Analysis of the NDVI Interannual Variation Trend at Different Spatial Scales
3.1.1. Spatial Analysis
3.1.2. Proportion Analysis
3.2. Comparative Analysis of the Similarities and Differences in the Interannual Trends of NDVI at Different Spatial Scales
3.2.1. Comparative Analysis of the Interannual Trends in NDVI between Regions at Different Spatial Scales
3.2.2. Comparison of the Differences in Interannual NDVI Trends among Vegetation Types at Different Spatial Scales
4. Discussion
5. Conclusions
Author Contributions
Funding
Institutional Review Board Statement
Informed Consent Statement
Data Availability Statement
Acknowledgments
Conflicts of Interest
References
- Peng, J.; Liu, Z.; Liu, Y.; Wu, J.; Han, Y. Trend analysis of vegetation dynamics in Qinghai–Tibet plateau using hurst exponent. Ecol. Indic. 2012, 14, 28–39. [Google Scholar] [CrossRef]
- Piao, S.; Wang, X.; Ciais, P.; Zhu, B.; Wang, T.; Liu, J. Changes in satellite-derived vegetation growth trend in temperate and boreal Eurasia from 1982 to 2006. Glob. Chang. Biol. 2011, 17, 3228–3239. [Google Scholar] [CrossRef]
- Chen, T.; Xia, J.; Zou, L.; Hong, S. Quantifying the Influences of Natural Factors and Human Activities on NDVI Changes in the Hanjiang River Basin, China. Remote. Sens. 2020, 12, 3780. [Google Scholar] [CrossRef]
- Shen, M.; Zhang, G.; Cong, N.; Wang, S.; Kong, W.; Piao, S. Increasing altitudinal gradient of spring vegetation phenology during the last decade on the Qinghai-Tibetan Plateau. Agric. For. Meteorol. 2014, 189–190, 71–80. [Google Scholar] [CrossRef]
- Van Leeuwen, W.J.D.; Orr, B.J.; Marsh, S.E.; Herrmann, S.M. Multi-sensor NDVI data continuity: Uncertainties and implications for vegetation monitoring applications. Remote Sens. Environ. 2006, 100, 67–81. [Google Scholar] [CrossRef]
- Du, J.; Shu, J.; Wang, Y.; Li, Y.; Zhang, L.; Guo, Y. Comparison of GIMMS and MODIS normalized vegetation index composite data for Qinghai-Tibet Plateau. J. Appl. Ecol. 2014, 25, 533–544. [Google Scholar]
- Bian, L.; Walsh, S.J. Scale Dependencies of Vegetation and Topography in a Mountainous Environment of Montana. Prof. Geogr. 1993, 45, 1–11. [Google Scholar] [CrossRef]
- Aman, A.; Randriamanantena, H.P. Upscale Integration of Normalized Difference Vegetation Index: The Problem of Spatial Heterogeneity. IEEE Trans. Geosci. Remote Sens. 1992, 30, 326–338. [Google Scholar] [CrossRef]
- Piao, S.; Fang, J.; Zhou, L.; Guo, Q.; Henderson, M.; Ji, W.; Li, Y.; Tao, S. Interannual variations of monthly and seasonal normalized difference vegetation index (NDVI) in China from 1982 to 1999. J. Geophys. Res. Atmos. 2003, 108. [Google Scholar] [CrossRef]
- Fang, J.; Piao, S.; He, J.; Ma, W. Increasing Terrestrial Vegetation Activity in China, 1982–1999. Sci. China Ser. C Life Sci. 2004, 47, 229–240. [Google Scholar]
- Liu, Y.; Liu, X.; Hu, Y.; Li, S.; Peng, J.; Wang, Y. Analyzing nonlinear variations in terrestrial vegetation in China during 1982–2012. Environ. Monit. Assess. 2015, 187, 1–14. [Google Scholar] [CrossRef] [PubMed]
- Kai, J.; Wang, F.; Han, J.; Shi, S.; Ding, W. Effects of climate change and human activities on vegetation ndvi changes in China from 1982 to 2015. Acta Geogr. Sin. 2020, 75, 961–974. [Google Scholar]
- Du, J.; Shu, J.; Zhao, C.; Fang, S.; Yin, J.; He, P. Dynamic changes and driving factors of monthly NDVI in Xinjiang in recent 30 years. Agric. Eng. 2016, 32, 172–181. [Google Scholar]
- Li, C.; Luo, D.; Li, X.; Liu, L.; Chen, F. Comprehensive Evaluation of Vegetation Ecological Quality in Tianshan Mountains from 2000 to 2018. J. Lanzhou Univ. 2021, 57, 528–536. [Google Scholar]
- Zhang, R.; Liang, T.; Guo, J.; Xie, H.; Feng, Q.; Aimaiti, Y. Grassland Dynamics in Response to Climate Change and Human Activities in Xinjiang from 2000 to 2014. Sci. Rep. 2018, 8, 2888. [Google Scholar] [CrossRef]
- Chen, C.; Li, Y.; Peng, J. Spatio-temporal analysis of NPP in Xinjiang natural grassland in recent 20 years. Geogr. Arid. Area 2022, 45, 522–534. [Google Scholar]
- Gu, Y.; Wylie, B.K. Downscaling 250-m MODIS Growing Season NDVI Based on Multiple-Date Landsat Images and Data Mining Approaches. Remote Sens. 2015, 7, 3489–3506. [Google Scholar] [CrossRef]
- Ma, Z.; Dong, C.; Lin, K.; Yan, Y.; Luo, J.; Jiang, D.; Chen, X. A Global 250-m Downscaled NDVI Product from 1982 to 2018. Remote Sens. 2022, 14, 3639. [Google Scholar] [CrossRef]
- Nomura, R.; Oki, K. Downscaling of MODIS NDVI by Using a Convolutional Neural Network-Based Model with Higher Resolution SAR Data. Remote Sens. 2021, 13, 732. [Google Scholar] [CrossRef]
- Yang, J.; Zhou, X.; Xiong, J.; Zhikai, Z.; Wei, X. NDVI downscaling adaptability evaluation of Wujiang River Basin in Guizhou. Remote Sens. Inf. 2020, 35, 129–137. [Google Scholar]
- Yin, X.; Zhu, H.; Gerry, G.; Gao, J.; Guo, L.; Wang, J. The Impact of Climate Change and Human Activities on Net Primary Productivity Change on the Northern Slope of Tianshan Mountains. Agric. Eng. 2020, 36, 195–202. [Google Scholar]
- Meng, M.; Niu, Z.; Ma, C.; Tian, H.; Pei, J. The variation trend of NDVI in the Tibetan Plateau and its response to climate. Soil Water Conserv. Res. 2018, 25, 360–365, 372. [Google Scholar]
- Peng, S.S.; Chen, A.P.; Xu, L.; Cao, C.X.; Fang, J.Y.; Myneni, R.B.; Pinzon, J.E.; Tucker, C.J.; Piao, S.L. Recent change of vegetation growth trend in China. Environ. Res. Lett. 2011, 6, 044027. [Google Scholar] [CrossRef]
- Zhao, X.; Tan, K.; Fang, J.-Y. NDVI-based Interannual and Seasonal Variations of Vegetation Activity in Xinjiang during the Period of 1982-2006. Arid. Zone Res. 2011, 28, 10–16. [Google Scholar] [CrossRef]
- Dai, S.; Zhang, B.; Wang, H.; Wang, Y.; Guo, L.; Wang, X.; Li, D. Vegetation Cover Change and the Driving Factors over Northwest China. J. Arid. Land 2011, 3, 25–33. [Google Scholar]
- Burnham, K.P.; Anderson, D.R. Model Selection and Multimodel Inference: A Practical Information-Theoretic Approach. J. Wildl. Manag. 2003, 67, 655. [Google Scholar]
- Su, R.; Cheng, J.; Chen, D.; Bai, Y.; Jin, H.; Chao, L.; Wang, Z.; Li, J. Effects of grazing on spatiotemporal variations in community structure and ecosystem function on the grasslands of Inner Mongolia, China. Sci. Rep. 2017, 7, 40. [Google Scholar] [CrossRef]
- Qin, G.; Lu, Q.; Meng, Z.; Li, Z.; Chen, H.; Kong, J.; Li, Z.; Qin, A. 1982–2015 Spatiotemporal Dynamics of ndvi and Its Response to Climate Change in Grassland of Northern China. Soil Water Conserv. Res. 2021, 28, 101–108 + 17. [Google Scholar]
- Zhao, H.; Zhao, Y.; Zhou, Y.; Pei, T.; Xie, B.; Wang, X. Temporal and spatial variation of NDVI and its response to climatic factors in the growing season of vegetation in central and eastern Gansu. Geogr. Arid. Area 2019, 42, 1427–1435. [Google Scholar]
- Xiu, L.; Yan, C.; Qian, D.; Xing, Z. Spatio-temporal characteristics and driving forces of vegetation change in the Loess Plateau under the background of ecological engineering. Soil Water Conserv. Bull. 2019, 39, 214–221, 228. [Google Scholar]
- Rong, A.; Bi, Q.; Dong, Z. Vegetation change and its attribution in Xilinguole grassland based on MODIS/ NDVI. Resour. Sci. 2019, 41, 1374–1386. [Google Scholar]
- Gian-Reto, W.; Eric, P.; Peter, C.; Annette, M.; Camille, P.; Trevor, J.B.; Jean-Marc, F.; Ove, H.-G.; Franz, B. Ecological Responses to Recent Climate Change. Nature 2002, 416, 389–395. [Google Scholar]
- Zoungrana, B.J.-B.; Conrad, C.; Thiel, M.; Amekudzi, L.K.; Da, E.D. MODIS NDVI trends and fractional land cover change for improved assessments of vegetation degradation in Burkina Faso, West Africa. J. Arid. Environ. 2018, 153, 66–75. [Google Scholar] [CrossRef]
- Liang, S.; Peng, S.; Lin, X.; Cong, N. Spatio-temporal changes of grassland growth in China from 1982 to 2010. J. Peking Univ. 2013, 49, 311–320. [Google Scholar]
- Imir, N.; Shabitti, M.; Maimatti, Y. Temporal and spatial variation of vegetation NDVI on the northern slope of Tianshan Mountains and its relationship with climatic factors. Arid. Zone Study 2019, 36, 1250–1260. [Google Scholar]
- Dai, S.; Zhang, B.; Wang, H. Spatiotemporal Changes of Vegetation NDVI in Northwest China and Its Influencing Factors. Acta Geosci. Sin. 2010, 12, 315–321. [Google Scholar]
- Ming, D.; Wang, Q.; Yang, J. Spatial scale characteristics and optimal spatial resolution selection of remote sensing images. J. Remote Sens. 2008, 12, 529–537. [Google Scholar]
- Pinzon, J.; Tucker, C. A Non-Stationary 1981–2012 AVHRR NDVI 3g Time Series. Remote Sens. 2014, 6, 6929–6960. [Google Scholar] [CrossRef]
- Tucker, C.J.; Slayback, D.A.; Pinzon, J.E.; Los, S.O.; Myneni, R.B.; Taylor, M.G. Higher Northern Latitude Normalized Difference Vegetation Index Andgrowing Season Trends from 1982 to 1999. Int. J. Biometeorol. J. Int. Soc. Biometeorol. 2001, 45, 184–190. [Google Scholar] [CrossRef]
- Deng, X.; Yao, J.; Liu, Z. Spatio-temporal changes of vegetation coverage in arid Central Asia based on GIMMS NDVI. Arid. Zone Study 2017, 34, 10–19. [Google Scholar]
- Zhao, X.; Tan, K.; Zhao, S.; Fang, J. Changing climate affects vegetation growth in the arid region of the northwestern China. J. Arid. Environ. 2011, 75, 946–952. [Google Scholar] [CrossRef]
- Chen, C.; Park, T.; Wang, X.; Piao, S.; Xu, B.; Chaturvedi, R.K.; Fuchs, R.; Brovkin, V.; Ciais, P.; Fensholt, R.; et al. China and India lead in greening of the world through land-use management. Nat. Sustain. 2019, 2, 122–129. [Google Scholar] [CrossRef] [PubMed]
- Parida, B.; Pandey, A.; Patel, N. Greening and Browning Trends of Vegetation in India and Their Responses to Climatic and Non-Climatic Drivers. Climate 2020, 8, 92. [Google Scholar] [CrossRef]
- Sarmah, S.; Jia, G.; Zhang, A. Satellite view of seasonal greenness trends and controls in South Asia. Environ. Res. Lett. 2018, 13, 034026. [Google Scholar] [CrossRef]
- Ren, J.; Liu, H.; Yin, Y.; He, S. Drivers of greening trend across vertically distributed biomes in temperate arid Asia. Geophys. Res. Lett. 2007, 34, L07707. [Google Scholar] [CrossRef]
- Zhou, X. Study on the vertical differentiation of climate in the middle section of the northern slope of Tianshan Mountains. Geogr. Arid. Area 1995, 2, 52–60. [Google Scholar]
- Chen, C.; Jing, C.; Xing, W.; Deng, X.; Fu, H.; Guo, W. Dynamic changes of desert grassland in Xinjiang in recent 20 years and its response to climate change. J. Prataculture 2021, 30, 1–14. [Google Scholar]
- Chen, J.M. Spatial Scaling of a Remotely Sensed Surface Parameter by Contexture. Remote Sens. Environ. 1999, 69, 30–42. [Google Scholar] [CrossRef]
- Zhang, X.; Yan, G.; Li, Q.; Li, Z.-L.; Wan, H.; Guo, Z. Evaluating the Fraction of Vegetation Cover Based on NDVI Spatial Scale Correction Model. Int. J. Remote Sens. 2007, 27, 5359–5372. [Google Scholar] [CrossRef]
- Tian, F.; Fensholt, R.; Verbesselt, J.; Grogan, K.; Horion, S.; Wang, Y.J. Evaluating temporal consistency of long-term global NDVI datasets for trend analysis. Remote Sens. Environ. 2015, 163, 326–340. [Google Scholar] [CrossRef]







| Trends | Urumqi | Karamay | Autonomous Region | Hami Prefecture | Changji Hui Autonomous Prefecture | Tarbagatay Prefecture | Bortala Mongol Autonomous Prefecture | Yili Kazakh Autonomous Prefecture | |
|---|---|---|---|---|---|---|---|---|---|
| Significant positive change | 0.5 km | 33.49 | 14.13 | 47.05 | 5.74 | 40.66 | 40.80 | 15.21 | 26.15 |
| 1 km | 33.53 | 14.11 | 47.75 | 5.72 | 40.71 | 40.90 | 15.29 | 26.71 | |
| 8 km | 33.81 | 12.30 | 50.00 | 7.10 | 40.59 | 36.34 | 13.85 | 31.58 | |
| Significant negative change | 0.5 km | 3.33 | 16.92 | 0.00 | 23.29 | 7.61 | 1.96 | 10.72 | 0.00 |
| 1 km | 3.21 | 17.04 | 0.00 | 23.31 | 7.63 | 1.97 | 10.80 | 0.00 | |
| 8 km | 4.29 | 18.85 | 0.00 | 21.31 | 7.37 | 2.85 | 9.49 | 0.00 | |
| Single peak type change | 0.5 km | 20.18 | 12.60 | 34.67 | 26.23 | 11.45 | 5.55 | 6.47 | 0.34 |
| 1 km | 20.32 | 12.56 | 34.19 | 26.20 | 11.44 | 5.49 | 6.55 | 0.34 | |
| 8 km | 19.05 | 11.48 | 27.78 | 25.48 | 12.14 | 5.23 | 4.36 | 0.00 | |
| U-shaped curve | 0.5 km | 6.41 | 27.73 | 14.97 | 5.50 | 10.19 | 22.30 | 16.02 | 73.51 |
| 1 km | 6.32 | 27.75 | 14.64 | 5.48 | 10.18 | 22.23 | 16.00 | 72.95 | |
| 8 km | 6.19 | 25.41 | 16.67 | 5.41 | 10.23 | 21.62 | 18.46 | 68.42 | |
| No significant change | 0.5 km | 36.58 | 28.63 | 3.31 | 39.25 | 30.10 | 29.39 | 51.58 | 0.00 |
| 1 km | 36.62 | 28.55 | 3.41 | 39.28 | 30.04 | 29.41 | 51.37 | 0.00 | |
| 8 km | 36.67 | 31.97 | 5.56 | 40.70 | 29.66 | 33.97 | 53.85 | 0.00 | |
| Trends | Coniferous Forest | Broadleaf Forest | Scrub | Desert | Grassland | Meadow | Alpine Vegetation | Cultivated Vegetation | Other | |
|---|---|---|---|---|---|---|---|---|---|---|
| Significant positive change | 0.5 km | 21.69 | 67.95 | 31.16 | 22.99 | 17.85 | 32.29 | 36.34 | 56.35 | 12.49 |
| 1 km | 21.74 | 68.10 | 31.10 | 23.04 | 17.81 | 32.46 | 36.26 | 3.26 | 12.64 | |
| 8 km | 17.46 | 71.43 | 29.41 | 22.94 | 16.70 | 29.43 | 40.96 | 56.13 | 14.63 | |
| Significant negative change | 0.5 km | 6.71 | 0.00 | 1.56 | 15.88 | 7.26 | 5.02 | 3.56 | 0.48 | 21.48 |
| 1 km | 6.62 | 0.00 | 1.46 | 15.90 | 7.25 | 5.09 | 3.76 | 0.47 | 21.57 | |
| 8 km | 6.35 | 0.00 | 0.00 | 14.97 | 7.87 | 6.01 | 4.82 | 0.31 | 17.89 | |
| Single peak type change | 0.5 km | 4.75 | 16.77 | 5.96 | 20.57 | 3.88 | 6.12 | 4.58 | 9.23 | 26.19 |
| 1 km | 4.90 | 16.67 | 5.77 | 20.58 | 3.90 | 6.05 | 4.41 | 9.19 | 26.33 | |
| 8 km | 3.17 | 28.57 | 17.65 | 20.03 | 4.41 | 5.70 | 3.61 | 9.51 | 23.58 | |
| U-shaped curve | 0.5 km | 3.22 | 5.76 | 7.21 | 10.38 | 6.76 | 14.81 | 9.79 | 27.80 | 15.95 |
| 1 km | 3.09 | 6.32 | 7.16 | 10.31 | 6.82 | 14.77 | 9.81 | 27.81 | 15.99 | |
| 8 km | 4.76 | 0.00 | 5.88 | 9.56 | 6.91 | 16.46 | 12.05 | 27.61 | 23.58 | |
| No significant change | 0.5 km | 63.63 | 8.81 | 54.11 | 30.17 | 64.24 | 41.75 | 45.73 | 6.14 | 23.88 |
| 1 km | 63.64 | 8.91 | 54.50 | 30.17 | 64.23 | 41.63 | 45.75 | 6.13 | 23.46 | |
| 8 km | 68.25 | 0.00 | 47.06 | 32.50 | 64.11 | 42.41 | 38.55 | 6.44 | 20.33 | |
Disclaimer/Publisher’s Note: The statements, opinions and data contained in all publications are solely those of the individual author(s) and contributor(s) and not of MDPI and/or the editor(s). MDPI and/or the editor(s) disclaim responsibility for any injury to people or property resulting from any ideas, methods, instructions or products referred to in the content. |
© 2023 by the authors. Licensee MDPI, Basel, Switzerland. This article is an open access article distributed under the terms and conditions of the Creative Commons Attribution (CC BY) license (https://creativecommons.org/licenses/by/4.0/).
Share and Cite
Fan, J.; Fan, Y.; Cheng, J.; Wu, H.; Yan, Y.; Zheng, K.; Shi, M.; Yang, Q. The Spatio-Temporal Evolution Characteristics of the Vegetation NDVI in the Northern Slope of the Tianshan Mountains at Different Spatial Scales. Sustainability 2023, 15, 6642. https://doi.org/10.3390/su15086642
Fan J, Fan Y, Cheng J, Wu H, Yan Y, Zheng K, Shi M, Yang Q. The Spatio-Temporal Evolution Characteristics of the Vegetation NDVI in the Northern Slope of the Tianshan Mountains at Different Spatial Scales. Sustainability. 2023; 15(8):6642. https://doi.org/10.3390/su15086642
Chicago/Turabian StyleFan, Jie, Yanmin Fan, Junhui Cheng, Hongqi Wu, Yang Yan, Kai Zheng, Mingjie Shi, and Qiangjun Yang. 2023. "The Spatio-Temporal Evolution Characteristics of the Vegetation NDVI in the Northern Slope of the Tianshan Mountains at Different Spatial Scales" Sustainability 15, no. 8: 6642. https://doi.org/10.3390/su15086642
APA StyleFan, J., Fan, Y., Cheng, J., Wu, H., Yan, Y., Zheng, K., Shi, M., & Yang, Q. (2023). The Spatio-Temporal Evolution Characteristics of the Vegetation NDVI in the Northern Slope of the Tianshan Mountains at Different Spatial Scales. Sustainability, 15(8), 6642. https://doi.org/10.3390/su15086642

