Mapping Forest Fire Risk Zones Using Machine Learning Algorithms in Hunan Province, China
Abstract
1. Introduction
2. Materials and Methods
2.1. Study Area
2.2. Forest Fire Data
2.3. Forest Fire Impact Factor Data
2.3.1. Meteorological Data
2.3.2. Topographic Data
2.3.3. Vegetation Data
2.3.4. Social and Humanistic Data
2.4. Data Processing
2.4.1. Normalization
2.4.2. Multiple Collinearity Test
2.5. Methods
2.5.1. Random Forest
2.5.2. Support Vector Machine
2.5.3. Gradient Boosting Decision Tree
2.5.4. Model Performance Evaluation
3. Results
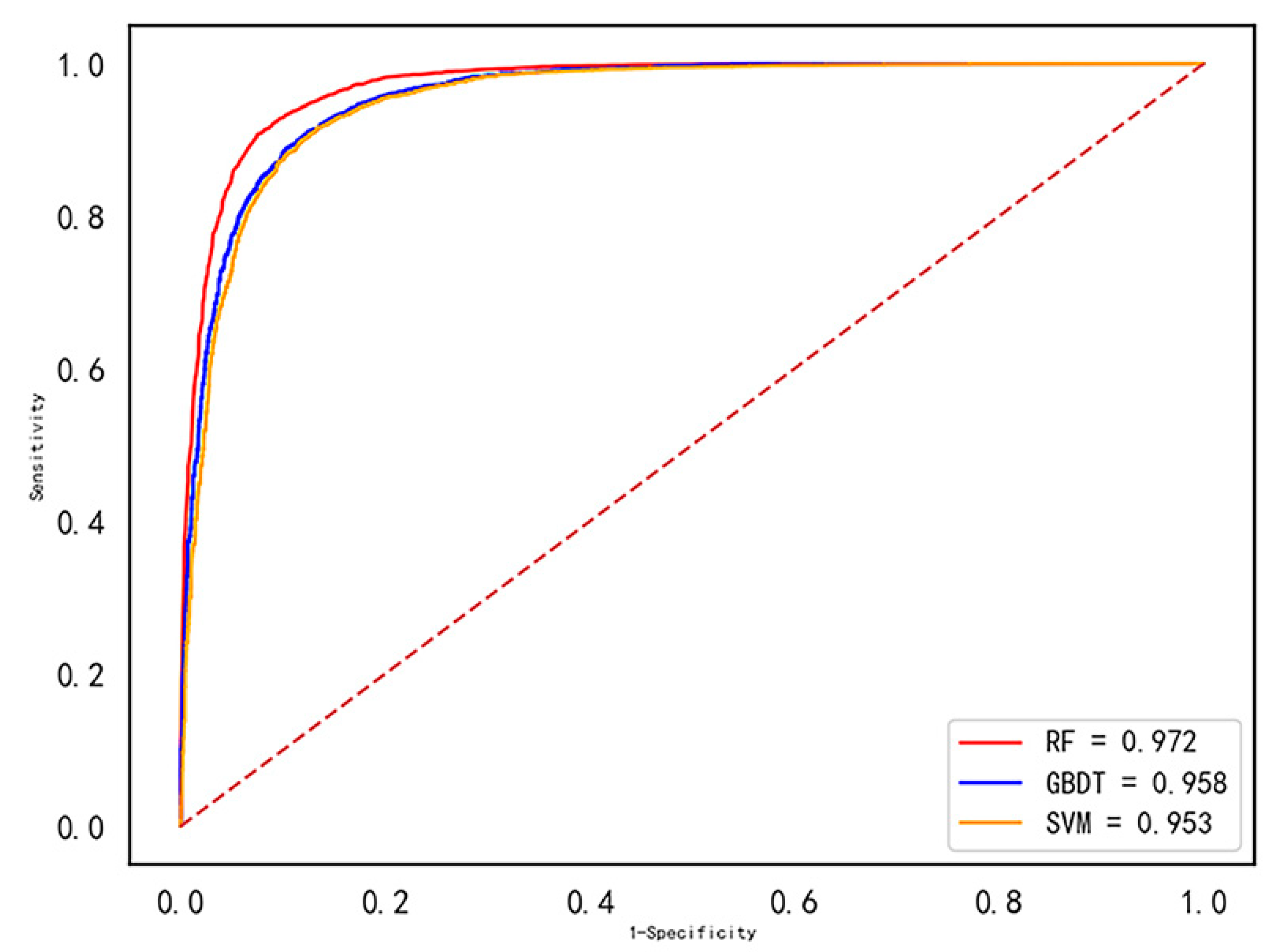
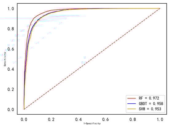
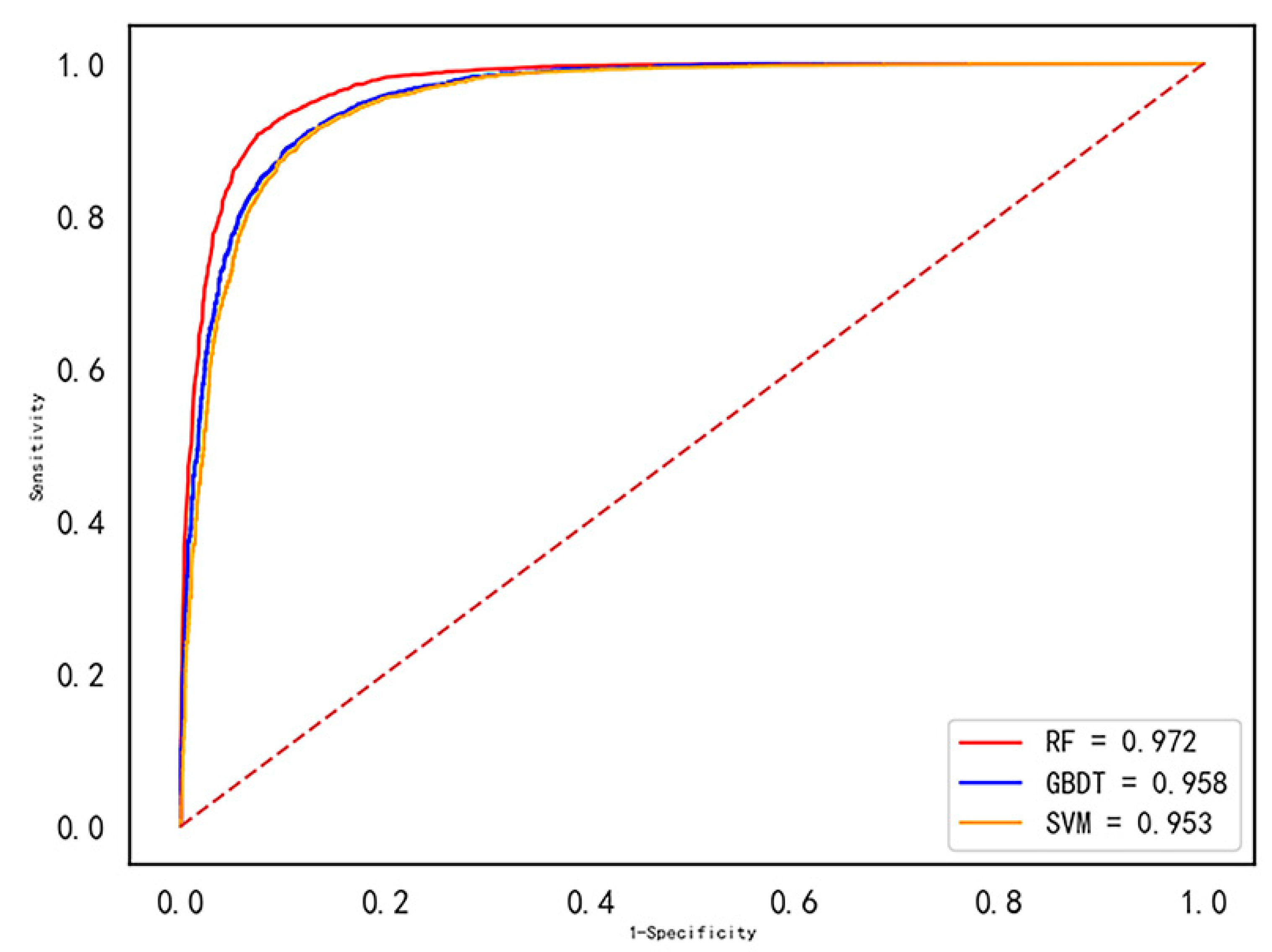
3.1. Comparison and Validation of the Three Models
3.2. Importance of Feature Factors
3.3. Seasonal Fire Zoning Map of Hunan Province
4. Discussion
5. Conclusions
Author Contributions
Funding
Institutional Review Board Statement
Informed Consent Statement
Data Availability Statement
Acknowledgments
Conflicts of Interest
References
- Feng, J.G.; Ding, L.B.; Wang, J.S.; Yao, P.P.; Yao, S.C.; Wang, Z.K. Case-based evaluation of forest ecosystem service function in China. Chin. J. Appl. Ecol. 2016, 5, 1375–1382. [Google Scholar]
- Milanović, S.; Marković, N.; Pamučar, D.; Gigović, L.; Kostić, P.; Milanović, S.D. Forest Fire Probability Mapping in Eastern Serbia: Logistic Regression versus Random Forest Method. Forests 2021, 12, 5. [Google Scholar] [CrossRef]
- Hering, A.S.; Bell, C.L.; Genton, M.G. Modeling spatio-temporal wildfire ignition point patterns. Environ. Ecol. Stat. 2009, 16, 225–250. [Google Scholar] [CrossRef]
- Modugno, S.; Balzter, H.; Cole, B.; Borrelli, P. Mapping regional patterns of large forest fires in Wildland–Urban Interface areas in Europe. J. Environ. Manag. 2016, 172, 112–126. [Google Scholar] [CrossRef]
- Deng, O.; Li, Y.Q.; Feng, Z.K.; Dong, Z.Y. Model and zoning of forest fire risk in Heilongjiang province based on spatial Logistic. Trans. Chin. Soc. Agric. Eng. 2012, 28, 200–205. [Google Scholar]
- Argañaraz, J.P.; Radeloff, V.C.; Bar-Massada, A.; Gavier-Pizarro, G.I.; Scavuzzo, C.M.; Bellis, L.M. Assessing wildfire exposure in the Wildland-Urban Interface area of the mountains of central Argentina. J. Environ. Manag. 2017, 196, 499–510. [Google Scholar] [CrossRef]
- Zhang, G.L.; Wang, M.; Liu, K. Forest Fire Susceptibility Modeling Using a Convolutional Neural Network for Yunnan Province of China. Int. J. Disast. Risk Sc. 2019, 10, 386–403. [Google Scholar] [CrossRef]
- Naderpour, M.; Rizeei, H.M.; Ramezani, F. Forest Fire Risk Prediction: A Spatial Deep Neural Network-Based Framework. Remote Sens. 2021, 13, 2513. [Google Scholar] [CrossRef]
- Naderpour, M.; Rizeei, H.M.; Khakzad, N.; Pradhan, I. Forest Fire Induced Natech Risk Assessment: A Survey of Geospatial Technologies. Reliab. Eng. Syst. Safe 2019, 191, 106558. [Google Scholar] [CrossRef]
- Mohajane, M.; Costache, R.; Karimi, F.; Bao Pham, Q.; Essahlaoui, A.; Nguyen, H.; Laneve, G.; Oudija, F. Application of remote sensing and machine learning algorithms for forest fire mapping in a Mediterranean area. Ecol. Indic. 2021, 129, 1–17. [Google Scholar] [CrossRef]
- Guo, F.T.; Wang, G.Y.; Su, Z.W.; Liang, H.L.; Wang, W.H.; Lin, F.F.; Liu, A.Q. What drives forest fire in Fujian, China? Evidence from logistic regression and Random Forests. Int. J. Wildland Fire 2016, 25, 505. [Google Scholar] [CrossRef]
- Ganteaume, A.; Camia, A.; Jappiot, M.; San-Miguel-Ayanz, J.; Long-Fournel, M.; Lampin, C. A Review of the Main Driving Factors of Forest Fire Ignition Over Europe. Environ. Manag. 2013, 51, 651–662. [Google Scholar] [CrossRef]
- Guo, F.T.; Su, Z.W.; Wang, G.Y.; Sun, L.; Tigabu, M.; Yang, X.J.; Hu, H.Q. Understanding fire drivers and relative impacts in different Chinese forest ecosystems. Sci. Total Environ. 2017, 605–606, 411–425. [Google Scholar] [CrossRef]
- Su, Z.W.; Zheng, L.J.; Luo, S.S.; Tigabu, M.; Guo, F.T. Modeling wildfire drivers in Chinese tropical forest ecosystems using global logistic regression and geographically weighted logistic regression. Nat. Hazards 2021, 108, 1317–1345. [Google Scholar] [CrossRef]
- Sevinc, V.; Kucuk, O.; Goltas, M. A Bayesian network model for prediction and analysis of possible forest fire causes. For. Ecol. Manag. 2020, 457, 117723. [Google Scholar] [CrossRef]
- Li, S.; Wu, Z.W.; Liang, Y.; He, H.S. A Review of Fire Controlling Factors and Their Dynamics in Boreal Forests. World For. Res. 2017, 30, 41–45. [Google Scholar]
- Wu, Z.C.; Li, M.Z.; Wang, B.; Quan, Y.; Liu, J.Y. Using Artificial Intelligence to Estimate the Probability of Forest Fires in Heilongjiang, Northeast China. Remote Sens. 2021, 13, 1813. [Google Scholar] [CrossRef]
- Maingi, J.K.; Henry, M.C. Factors influencing wildfire occurrence and distribution in eastern Kentucky, USA. Int. J. Wildland Fire 2007, 16, 23. [Google Scholar] [CrossRef]
- Ma, W.Y.; Feng, Z.K.; Cheng, Z.X.; Chen, S.L.; Wang, F.G. Identifying Forest Fire Driving Factors and Related Impacts in China Using Random Forest Algorithm. Forests 2020, 11, 507. [Google Scholar] [CrossRef]
- Nguyen, N.T.; Dang, B.N.; Pham, X.; Nguyen, H.; Bui, H.T.; Hoang, N.; Bui, D.T. Spatial pattern assessment of tropical forest fire danger at Thuan Chau area (Vietnam) using GIS-based advanced machine learning algorithms: A comparative study. Ecol. Inf. 2018, 46, 74–85. [Google Scholar]
- Akay, A.E.; Şahin, H. Forest Fire Risk Mapping by using GIS Techniques and AHP Method: A Case Study in Bodrum (Turkey). Eur. J. For. Eng. 2019, 5, 25–35. [Google Scholar] [CrossRef]
- Amatulli, G.; Peréz-Cabello, F.; de la Riva, J. Mapping lightning/human-caused wildfires occurrence under ignition point location uncertainty. Ecol. Model. 2007, 200, 321–333. [Google Scholar] [CrossRef]
- Oliveira, S.; Oehler, F.; San-Miguel-Ayanz, J.; Camia, A.; Pereira, J.M.C. Modeling spatial patterns of fire occurrence in Mediterranean Europe using Multiple Regression and Random Forest. For. Ecol. Manag. 2012, 275, 117–129. [Google Scholar] [CrossRef]
- Wotton, B.M.; Martell, D.L.; Logan, K.A. Climate Change and People-Caused Forest Fire Occurrence in Ontario. Clim. Chang. 2003, 60, 275–295. [Google Scholar] [CrossRef]
- Mohammadi, F.; Bavaghar, M.P.; Shabanian, N. Forest Fire Risk Zone Modeling Using Logistic Regression and GIS: An Iranian Case Study. Small-Scale 2014, 13, 117–125. [Google Scholar] [CrossRef]
- Pan, J.H.; Wang, W.G.; Li, J.F. Building probabilistic models of fire occurrence and fire risk zoning using logistic regression in Shanxi Province, China. Nat. Hazards 2016, 81, 1879–1899. [Google Scholar] [CrossRef]
- Chang, Y.; Zhu, Z.; Bu, R.; Chen, H.; Feng, Y.; Li, Y.; Hu, Y.; Wang, Z. Predicting fire occurrence patterns with logistic regression in Heilongjiang Province, China. Landsc. Ecol. 2013, 28, 1989–2004. [Google Scholar] [CrossRef]
- Tien Bui, D.; Bui, Q.; Nguyen, Q.; Pradhan, B.; Nampak, H.; Trinh, P.T. A hybrid artificial intelligence approach using GIS-based neural-fuzzy inference system and particle swarm optimization for forest fire susceptibility modeling at a tropical area. Agr. For. Meteorol. 2017, 233, 32–44. [Google Scholar] [CrossRef]
- Tien Bui, D.; Le, K.; Nguyen, V.; Le, H.; Revhaug, I. Tropical Forest Fire Susceptibility Mapping at the Cat Ba National Park Area, Hai Phong City, Vietnam, Using GIS-Based Kernel Logistic Regression. Remote Sens. 2016, 8, 347. [Google Scholar] [CrossRef]
- Ma, W.Y.; Feng, Z.K.; Cheng, Z.X.; Wang, F.G. Study on driving factors and distribution pattern of forest fires in Shanxi province. J. Cent. South Univ. For. Technol. 2020, 40, 57–69. [Google Scholar]
- Li, Y.D.; Feng, Z.K.; Chen, S.L.; Zhao, Z.Y.; Wang, F.G. Application of the Artificial Neural Network and Support Vector Machines in Forest Fire Prediction in the Guangxi Autonomous Region, China. Discret. Dyn. Nat. Soc. 2020, 2020, 1–14. [Google Scholar] [CrossRef]
- Hong, H.Y.; Tsangaratos, P.; Ilia, I.; Liu, J.Z.; Zhu, A.; Xu, C. Applying genetic algorithms to set the optimal combination of forest fire related variables and model forest fire susceptibility based on data mining models. The case of Dayu County, China. Sci. Total Environ. 2018, 630, 1044–1056. [Google Scholar] [CrossRef] [PubMed]
- Ghorbanzadeh, O.; Blaschke, T.; Gholamnia, K.; Aryal, J. Forest Fire Susceptibility and Risk Mapping Using Social/Infrastructural Vulnerability and Environmental Variables. Fire 2019, 2, 50. [Google Scholar] [CrossRef]
- Satir, O.; Berberoglu, S.; Donmez, C. Mapping regional forest fire probability using artificial neural network model in a Mediterranean forest ecosystem. Geomat. Nat. Hazards Risk 2016, 7, 1645–1658. [Google Scholar] [CrossRef]
- Wang, D.D.; Rong, H.J.; Liu, W.; Meng, Q.L.; Tian, P.F. The Prediction of the Forest Fire Based on the Artificial Neural Network. J. Northwest For. Univ. 2010, 25, 143–146. [Google Scholar]
- Bisquert, M.; Caselles, E.; Sánchez, J.M.; Caselles, V. Application of artificial neural networks and logistic regression to the prediction of forest fire danger in Galicia using MODIS data. Int. J. Wildland Fire 2012, 21, 1025. [Google Scholar] [CrossRef]
- Razavi-Termeh, S.V.; Sadeghi-Niaraki, A.; Choi, S. Ubiquitous GIS-Based Forest Fire Susceptibility Mapping Using Artificial Intelligence Methods. Remote Sens. 2020, 12, 1689. [Google Scholar] [CrossRef]
- Mabdeh, A.N.; Al-Fugara, A.K.; Khedher, K.M.; Mabdeh, M.; Al-Shabeeb, A.R.; Al-Adamat, R. Forest Fire Susceptibility Assessment and Mapping Using Support Vector Regression and Adaptive Neuro-Fuzzy Inference System-Based Evolutionary Algorithms. Sustainability 2022, 14, 9446. [Google Scholar] [CrossRef]
- Moayedi, H.; Khasmakhi, M.A.S.A. Wildfire susceptibility mapping using two empowered machine learning algorithms. Stoch. Environ. Res. Risk A 2023, 37, 49–72. [Google Scholar] [CrossRef]
- Jaafari, A.; Razavi Termeh, S.V.; Bui, D.T. Genetic and firefly metaheuristic algorithms for an optimized neuro-fuzzy prediction modeling of wildfire probability. J. Environ. Manag. 2019, 243, 358–369. [Google Scholar] [CrossRef]
- Moayedi, H.; Mehrabi, M.; Bui, D.T.; Pradhan, B.; Foong, L.K. Fuzzy-metaheuristic ensembles for spatial assessment of forest fire susceptibility. J. Environ. Manag. 2020, 260, 109867. [Google Scholar] [CrossRef] [PubMed]
- Pham, B.T.; Jaafari, A.; Avand, M.; Al-Ansari, N.; Dinh Du, T.; Yen, H.P.H.; Phong, T.V.; Nguyen, D.H.; Le, H.V.; Mafi-Gholami, D.; et al. Performance Evaluation of Machine Learning Methods for Forest Fire Modeling and Prediction. Symmetry-Bp. 2020, 12, 1022. [Google Scholar] [CrossRef]
- Tuyen, T.T.; Jaafari, A.; Yen, H.P.H.; Nguyen-Thoi, T.; Phong, T.V.; Nguyen, H.D.; Van Le, H.; Phuong, T.T.M.; Nguyen, S.H.; Prakash, I.; et al. Mapping forest fire susceptibility using spatially explicit ensemble models based on the locally weighted learning algorithm. Ecol. Inform. 2021, 63, 101292. [Google Scholar] [CrossRef]
- Guo, H.F.; Yu, W. Study weather grade prediction model of forest-fire risk in Hunan province. J. Cent. South Univ. For. Technol. 2016, 36, 44–47. [Google Scholar]
- Wang, S.; Zhang, G.; Tan, S.Q.; Wang, P.; Wu, X. Assessment of forest fire risk in Hunan province based on spatial logistic model. J. Cent. South Univ. For. Technol. 2020, 40, 88–95. [Google Scholar]
- Guo, F.; Innes, J.L.; Wang, G.; Ma, X.; Sun, L.; Hu, H.; Su, Z. Historic distribution and driving factors of human-caused fires in the Chinese boreal forest between 1972 and 2005. J. Plant Ecol. 2015, 8, 480–490. [Google Scholar] [CrossRef]
- Su, Z.W.; Hu, H.Q.; Wang, G.Y.; Ma, Y.F.; Yang, X.J.; Guo, F.T. Using GIS and Random Forests to identify fire drivers in a forest city, Yichun, China. Geomat. Nat. Hazards Risk 2018, 9, 1207–1229. [Google Scholar] [CrossRef]
- Shao, Y.K.; Feng, Z.K.; Sun, L.H.; Yang, X.H.; Li, Y.D.; Xu, B.; Chen, Y. Mapping China’s Forest Fire Risks with Machine Learning. Forests 2022, 13, 856. [Google Scholar] [CrossRef]
- Su, Z.W.; Liu, A.Q.; Guo, F.T.; Liang, H.L.; Wang, W.H.; Lin, F.F. Driving factors and spatial distribution patteren of forest fire in Fujian Province. J. Nat. Disasters 2016, 25, 110–119. [Google Scholar]
- Bajocco, S.; Dragoz, E.; Gitas, I.; Smiraglia, D.; Salvati, L.; Ricotta, C. Mapping Forest Fuels through Vegetation Phenology: The Role of Coarse-Resolution Satellite Time-Series. PLoS ONE 2015, 10, e119811. [Google Scholar] [CrossRef]
- Kalantar, B.; Ueda, N.; Idrees, M.O.; Janizadeh, S.; Ahmadi, K.; Shabani, F. Forest Fire Susceptibility Prediction Based on Machine Learning Models with Resampling Algorithms on Remote Sensing Data. Remote Sens. 2020, 12, 3682. [Google Scholar] [CrossRef]
- Breiman, L. Random forests. Mach. Learn. 2001, 45, 5–23. [Google Scholar] [CrossRef]
- Xu, Z.Q.; Su, X.Y.; Zhang, Y. Forest Fire Prediction Based on Support Vector Machine. Chin. Agric. Sci. Bull. 2012, 28, 126–131. [Google Scholar]
- Tian, Z.Y.; Xiao, J.L.; Feng, H.N.; Wei, Y.T. Credit Risk Assessment based on Gradient Boosting Decision Tree. Procedia Comput. Sci. 2020, 174, 150–160. [Google Scholar] [CrossRef]
- Ma, L.F.; Xiao, H.M.; Tao, J.W.; Su, Z.X. Intelligent lithology classification method based on GBDT algorithm. Pet. Geol. Recovery Effic. 2022, 29, 21–29. [Google Scholar]
- Rong, G.; Alu, S.; Li, K.; Su, Y.; Zhang, J.; Zhang, Y.; Li, T. Rainfall Induced Landslide Susceptibility Mapping Based on Bayesian Optimized Random Forest and Gradient Boosting Decision Tree Models—A Case Study of Shuicheng County, China. Water-Sui. 2020, 12, 3066. [Google Scholar] [CrossRef]
- Hu, J.; Min, J. Automated detection of driver fatigue based on EEG signals using gradient boosting decision tree model. Cogn. Neurodynamics 2018, 12, 431–440. [Google Scholar] [CrossRef]
- Abid, F. A Survey of Machine Learning Algorithms Based Forest Fires Prediction and Detection Systems. Fire Technol. 2021, 57, 559–590. [Google Scholar] [CrossRef]
- Xie, Y.; Peng, M. Forest fire forecasting using ensemble learning approaches. Neural Comput. Appl. 2019, 31, 4541–4550. [Google Scholar] [CrossRef]
- Yang, X.; Jin, X.; Zhou, Y. Wildfire Risk Assessment and Zoning by Integrating Maxent and GIS in Hunan Province, China. Forests 2021, 12, 1299. [Google Scholar] [CrossRef]
- Han, J.; Shen, Z.; Ying, L.; Li, G.; Chen, A. Early post-fire regeneration of a fire-prone subtropical mixed Yunnan pine forest in Southwest China: Effects of pre-fire vegetation, fire severity and topographic factors. Forest Ecol. Manag. 2015, 356, 31–40. [Google Scholar] [CrossRef]
- Abdollahi, M.; Dewan, A.; Hassan, Q. Applicability of Remote Sensing-Based Vegetation Water Content in Modeling Lightning-Caused Forest Fire Occurrences. Isprs Int. J. Geo.-Inf. 2019, 8, 143. [Google Scholar] [CrossRef]
- Syphard, A.D.; Radeloff, V.C.; Keeley, J.E.; Hawbaker, T.J.; Clayton, M.K.; Stewart, S.I.; Hammer, R.B. Human influence on California fire regimes. Ecol. Appl. 2007, 17, 1388–1402. [Google Scholar] [CrossRef] [PubMed]
- Pereira, M.G.; Malamud, B.D.; Trigo, R.M.; Alves, P.I. The history and characteristics of the 1980–2005 Portuguese rural fire database. Nat. Hazard Earth Sys. 2011, 11, 3343–3358. [Google Scholar] [CrossRef]
- Rollins, M.G.; Morgan, P.; Swetnam, T. Landscape-scale controls over 20th century fire occurrence in two large Rocky Mountain (USA) wilderness areas. Landsc. Ecol. 2002, 17, 539–557. [Google Scholar] [CrossRef]
- Wu, Z.C.; Li, M.Z.; Wang, B.; Tian, Y.P.; Quan, Y.; Liu, J.Y. Analysis of Factors Related to Forest Fires in Different Forest Ecosystems in China. Forests 2022, 13, 1021. [Google Scholar] [CrossRef]
- Forcellini, D. A Resilience-Based Methodology to Assess Soil Structure Interaction on a Benchmark Bridge. Infrastructures 2020, 5, 90. [Google Scholar] [CrossRef]
- Scott, B.M.; Stephanie, E.C. ResilUS: A Community Based Disaster Resilience Model. Cart. Geogr. Inf. Sc. 2011, 38, 36–51. [Google Scholar]
- Li, W.; Xu, Q.; Yi, J.; Liu, J. Predictive model of spatial scale of forest fire driving factors: A case study of Yunnan Province, China. Sci. Rep.-UK 2022, 12, 19029. [Google Scholar] [CrossRef]





| Influencing Factors | Independent Variable | Symbol | References |
|---|---|---|---|
| Location | Longitude (°) | Lon | [31] |
| Latitude (°) | Lat | ||
| Altitude (m) | Alt | [2,5,8,10] | |
| Slope (°) | Slo | ||
| Aspect | Asp | ||
| Infrastructure | Closest distance of fire point to residential area(m) | Set | [15,28,46] |
| Distance from the fire point to the highway (m) | Hig | ||
| Nearest distance of fire point to railway (m) | Ral | ||
| Social humanity | Special festival | Spe | [30,31] |
| Population | Pop | [18,47,48] | |
| GDP | GDP | ||
| Vegetation | NDVI | NDVI | [7,32,41] |
| Meteorology | Average surface temperature (℃) | Ast | [11,19,49] |
| Daily maximum surface temperature (℃) | Mast | ||
| Cumulative precipitation at 20–20 (mm) | Pre | ||
| Average station pressure (hPa) | Spr | ||
| Average relative humidity (%) | Arh | ||
| Minimum relative humidity (%) | Mrh | ||
| Average temperature (℃) | Ate | ||
| Daily maximum temperature (℃) | Mate | ||
| Average wind speed (m/s) | Aws | ||
| Hours of sunshine (h) | Suh |
| Aspect | Aspect Range (Degrees) | Classification Description |
|---|---|---|
| Gentle slope | −1 | 0 |
| North | 0∼22.5/337.5∼360 | 1 |
| Northeast | 22.5∼67.5 | 2 |
| East | 67.5∼112.5 | 3 |
| Southeast | 112.5∼157.5 | 4 |
| South | 157.5∼202.5 | 5 |
| Southwest | 202.5∼247.5 | 6 |
| West | 247.5∼292.5 | 7 |
| Northwest | 292.5∼337.5 | 8 |
| Independent Variable | VIF |
|---|---|
| Lon | 1.274 |
| Lat | 1.329 |
| Alt | 1.818 |
| Slo | 1.319 |
| Set | 1.135 |
| Hig | 1.248 |
| Ral | 1.095 |
| GDP | 3.807 |
| Pop | 4.137 |
| NDVI | 1.861 |
| Mast | 8.634 |
| Pre | 1.179 |
| Spr | 1.521 |
| Arh | 2.283 |
| Suh | 2.623 |
| Mate | 7.146 |
| Aws | 1.216 |
| Investigator | Method Description | Impact Factor | Precision |
|---|---|---|---|
| Guo et al. [44] | Combined with the principal component analysis method, a weighted forest fire risk weather index model was established to determine the forest fire risk weather level according to the weather index. | Meteorology (5 factors) | AUC = 74.2% |
| Wang et al. [45] | The logistic model was used to predict the probability of forest fire risk to classify the forest fire risk level in Hunan Province. | Meteorology, vegetation, topography, social/humanity (7 factors) | AUC = 77.9% |
| Yang et al. [60] | Construction of the Maxent wildfire risk assessment model using GIS to analyze the contribution, importance, and response of environmental variables to wildfire in Hunan Province. | Meteorology, vegetation, topography, social/humanity (12 factors) | AUC = 80.2% |
| This study | This study used random forest, support vector machine, and gradient boosting tree for forest fire prediction in Hunan Province and selected the optimal model to map the seasonal forest fire risk level in the region. | Meteorology, vegetation, topography, social/humanity (19 factors) | AUC = 97.2% |
Disclaimer/Publisher’s Note: The statements, opinions and data contained in all publications are solely those of the individual author(s) and contributor(s) and not of MDPI and/or the editor(s). MDPI and/or the editor(s) disclaim responsibility for any injury to people or property resulting from any ideas, methods, instructions or products referred to in the content. |
© 2023 by the authors. Licensee MDPI, Basel, Switzerland. This article is an open access article distributed under the terms and conditions of the Creative Commons Attribution (CC BY) license (https://creativecommons.org/licenses/by/4.0/).
Share and Cite
Tan, C.; Feng, Z. Mapping Forest Fire Risk Zones Using Machine Learning Algorithms in Hunan Province, China. Sustainability 2023, 15, 6292. https://doi.org/10.3390/su15076292
Tan C, Feng Z. Mapping Forest Fire Risk Zones Using Machine Learning Algorithms in Hunan Province, China. Sustainability. 2023; 15(7):6292. https://doi.org/10.3390/su15076292
Chicago/Turabian StyleTan, Chaoxue, and Zhongke Feng. 2023. "Mapping Forest Fire Risk Zones Using Machine Learning Algorithms in Hunan Province, China" Sustainability 15, no. 7: 6292. https://doi.org/10.3390/su15076292
APA StyleTan, C., & Feng, Z. (2023). Mapping Forest Fire Risk Zones Using Machine Learning Algorithms in Hunan Province, China. Sustainability, 15(7), 6292. https://doi.org/10.3390/su15076292

