Azolla Biofertilizer Is an Effective Replacement for Urea Fertilizer in Vegetable Crops
Abstract
1. Introduction
2. Materials and Methods
2.1. Laboratory Incubation
2.2. Greenhouse Evaluation
2.3. Field Testing
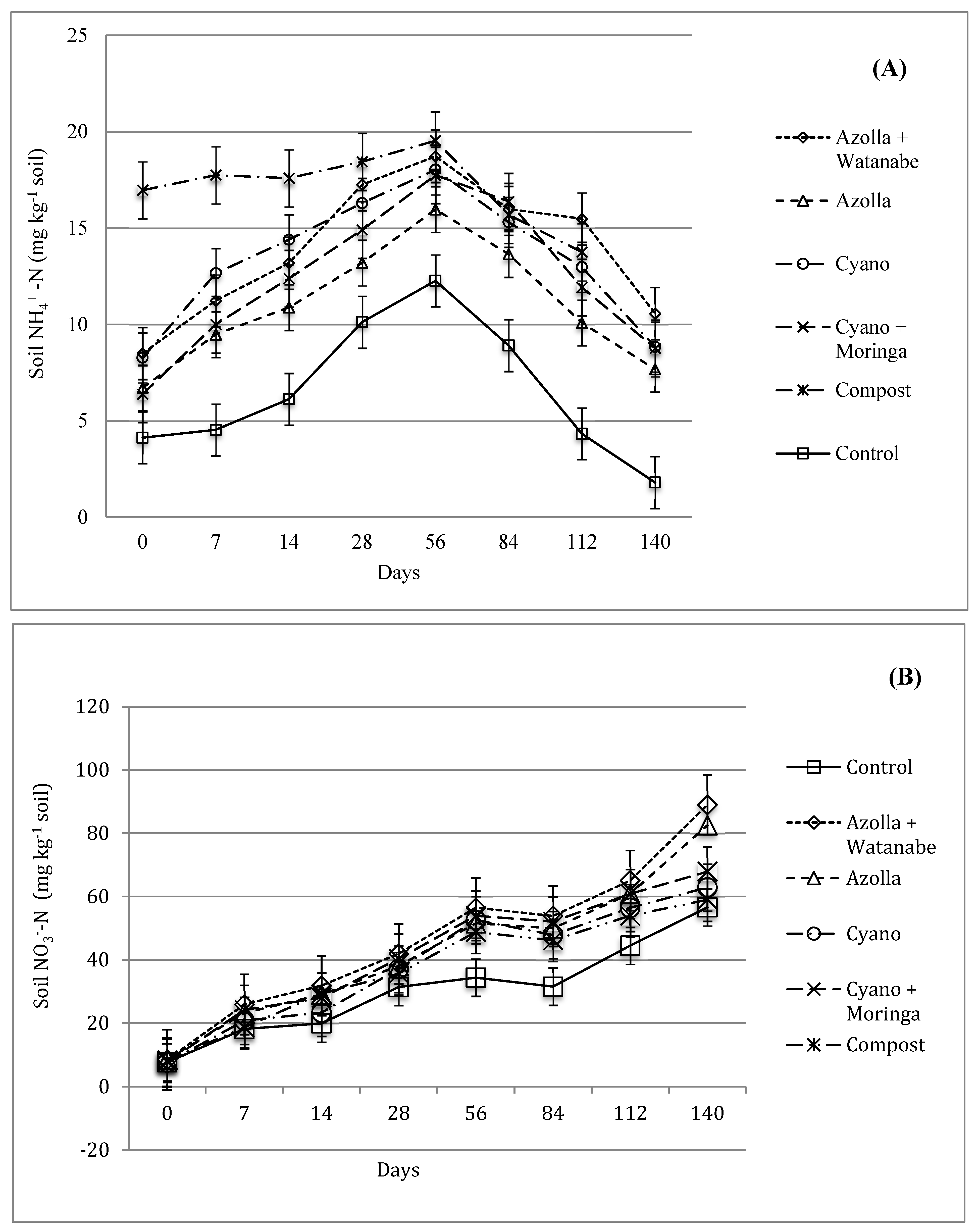
3. Results
3.1. Laboratory Incubation
3.2. Greenhouse Evaluation
3.3. Field Testing
4. Discussion
4.1. Laboratory Incubation
4.2. Greenhouse Evaluation
4.3. Field Testing
5. Conclusions and Future Recommendations
| Alluvial | Peat | |
|---|---|---|
| pH-H2O 1 | 4.70 | 5.27 |
| pH-KCl 1 | 3.89 | 4.65 |
| Organic C 2 (%) | 2.15 | 50.3 |
| NH4+-N 3 (mg kg−1) | 6.6 | 0.8 |
| NO3–-N 3 (mg kg−1) | 54.1 | 198.1 |
| Total N 4 (%) | 0.25 | 2.29 |
| C/N ratio | 8.60 | 22.0 |
| P 5 (mg kg−1) | 359 | 236 |
| Exchangeable cations 6: | ||
| - K (cmol(+) kg−1) | 0.76 | 0.62 |
| - Na (cmol(+) kg−1) | 0.60 | 0.29 |
| - Ca (cmol(+) kg−1) | 1.80 | 58.36 |
| - Mg (cmol(+) kg−1) | 0.61 | 9.19 |
| Cation exchange capacity 6 (cmol(+) kg−1) | 10.4 | 108.8 |
| Base saturation (%) | 36.4 | 63.0 |
| Exchangeable H 7 (cmol(+) kg−1) | 0.15 | 0.13 |
| Exchangeable Al 7 (cmol(+) kg−1) | 0.16 | 0.27 |
| Fe 8 (mg kg−1) | 727 | 528 |
| Cu 8 (mg kg−1) | 68.8 | 30.9 |
| Zn 8 (mg kg−1) | 43.3 | 79.0 |
| B (mg kg−1) | 193.6 | 32.3 |
| Texture 9: | Clay | NA |
| Sand (%) | 5.3 | NA |
| Silt (%) | 41.5 | NA |
| Clay (%) | 53.2 | NA |
| Plant Ash 1 | Chicken Manure 2 | Azolla 3 | ||
|---|---|---|---|---|
| Alluvial | Peat | |||
| pH-H2O | 9.13 | 6.88 | 6.75 | 7.15 |
| Organic C (%) | - | 32.2 | 45.1 | 48.1 |
| NH4+-N (%) | - | 0.33 | 0.25 | 0.25 |
| NO3–-N (%) | - | 0.20 | 0.20 | 0.20 |
| Total N (%) | - | 3.19 | 2.76 | 2.99 |
| C/N ratio | - | 10.1 | 16.4 | 16.1 |
| P (%) | 1.28 | 0.74 | 0.23 | 0.31 |
| K (%) | 5.49 | 5.08 | 3.91 | 4.10 |
| Ca (%) | 5.51 | 3.27 | - | - |
| Mg (%) | 0.59 | 0.22 | - | - |
| Fe (mg kg−1) | 13,000 | 18.9 | 992 | 897 |
| Zn (mg kg−1) | 31.1 | 7.45 | 108 | 132 |
| Moisture (%) | 6.1 | 32.1 | 20.2 | 19.7 |
| CaCO3 equivalent (%) | 38.5 | - | - | - |
Author Contributions
Funding
Institutional Review Board Statement
Data Availability Statement
Conflicts of Interest
References
- Food and Agriculture Organization of the United Nations. Emissions Due to Agriculture: Global, Regional and Country Trends 2000–2018; FAOSTAT Analytical Brief 18; Food and Agriculture Organization of the United Nations: Rome, Italy, 2020; Available online: https://www.fao.org/3/cb3808en/cb3808en.pdf (accessed on 10 March 2023).
- Singh, P.K. Nitrogen economy of rice soils in relation to nitrogen-fixation by blue green algae and Azolla. In National Symposium on Increasing Rice Yield in Kharif; Central Rice Research Institute: Cuttack, India, 1978. [Google Scholar]
- Yadav, R.K.; Abraham, G.; Singh, Y.V.; Singh, P.K. Advancement in the utilization of Azolla-Anabaena system in relation to sustainable agricultural practices. Proc. Indian Natl. Sci. Acad. 2014, 80, 301–316. [Google Scholar] [CrossRef]
- Peters, G.A.; Meeks, J.C. The Azolla-Anabaena symbiosis: Basic biology. Annu. Rev. Plant Physiol. Plant Mol. Biol. 1989, 40, 193–210. [Google Scholar] [CrossRef]
- Watanabe, I.; Espinas, C.R.; Berja, N.S.; Alimagno, B.V. Utilization of Azolla–Anabaena Complex as a Nitrogen Fertilizer for Rice; IRRI Research Paper Series; no. 11; International Rice Research Institute: Manila, Philippines, 1977; pp. 1–15. [Google Scholar]
- Lumpkin, T.A.; Plucknett, D.L. Azolla: Botany, physiology and use as a green manure. Econ. Bot. 1980, 34, 111–153. [Google Scholar] [CrossRef]
- Singh, P.K. Biofertilization of rice crop. In Biofertizers: Potential and Problems; Sen, S.P., Palit, P., Eds.; Plant Physiology Forum: Calcutta, India, 1988; pp. 109–114. [Google Scholar]
- Watanabe, I.; Ventura, W.; Mascarina, G.; Eskew, D.L. Fate of Azolla spp. and urea nitrogen applied to wetland rice (Oryza sativa L.). Biol. Fertil. Soils 1989, 8, 102–110. [Google Scholar] [CrossRef]
- Kannaiyan, S. Azolla and rice. In Multiplication and Use of Azolla Biofertilizer for Rice Production; Tamil Nadu Agricultural University: Coimbatore, India, 1982; pp. 1–56. [Google Scholar]
- Moore, A.W. Azolla: Biology and agronomic significance. Bot. Rev. 1969, 35, 17–34. [Google Scholar] [CrossRef]
- Brotonegoro, S.; Sudjadi, M.; Partharjono, S.; Sukiman, H.; Prihatini, T.; Hendrik, V. Some experiments on the use of Azolla for rice production in Indonesia. In Biological Nitrogen Fixation Technology for Tropical Agriculture; Graham, P.H., Harris, S.C., Eds.; Centro Internacional de Agricultura Tropical: Cali, Colombia, 1982; pp. 567–573. [Google Scholar]
- Singh, P.K. Use of Azolla in rice production in India. In Nitrogen and Rice; International Rice Research Institute: Los Banos, Philippines, 1979; pp. 407–418. [Google Scholar]
- Lumpkin, T.A. Chinese technology for the cultivation of Azolla. In Biological Nitrogen Fixation Technology for Tropical Agriculture; Graham, P.H., Harris, S.C., Eds.; Centro Internacional de Agricultura Tropical: Cali, Colombia, 1982; pp. 117–135. [Google Scholar]
- Tuan, D.T.; Thuyet, T.Q. Use of Azolla in rice production in Vietnam. In Nitrogen and Rice; International Rice Research Institute: Los Banos, Philippines, 1979; pp. 395–405. [Google Scholar]
- Lee, C.C.; Lin, C.J. The possibility of using Azolla as a source of nitrogen for rice in Taiwan. In Soils and Fertilizers in Taiwan; Society of Soil Scientists and Fertilizer Technologists of Taiwan: Taipei, Taiwan, 1981; pp. 35–41. [Google Scholar]
- Fiore, M.D.F.; Ruschel, A.P. The Azolla–Anabaena azollae association: I. Biology and significance in agriculture. Cien. Cult. 1982, 34, 792–811. [Google Scholar]
- Espinosa-Abarca, S.A.; Myozga, S.P.; Ortego, M.M. A study on the growth of Azolla filiculoides in culture media and in rice field soil of Morelos State of Mexico. Rev. Latino-Amer. Microbiol. 1985, 27, 61–67. [Google Scholar]
- Ferrera-Cerrato, R.; Romero, A.M. Propagation of an Azolla sp. and its application as green manure for corn in Mexico. In Biological Nitrogen Fixation Technology for Tropical Agriculture; Graham, P.H., Harris, S.C., Eds.; Centro Internacional de Agricultura Tropical: Cali, Colombia, 1982; pp. 561–564. [Google Scholar]
- Reynaud, P.A. The use of Azolla in West Africa. In Biological Nitrogen Fixation Technology for Tropical Agriculture; Graham, P.H., Harris, S.C., Eds.; Centro Internacional de Agricultura Tropical: Cali, Colombia, 1982; pp. 565–566. [Google Scholar]
- Simarmata, T.; Prayoga, M.K.; Setiawati, M.R.; Adinata, K.; Stöber, S. Improving the climate resilience of rice farming in flood-prone areas through Azolla biofertilizer and saline-tolerant varieties. Sustainability 2021, 13, 12308. [Google Scholar] [CrossRef]
- Roslan, M.N.A.M.; Estim, A.; Maran, B.A.V.; Mustafa, S. Effects of aquatic plants on nutrient concentration in water and growth performance of fantail goldfish in an aquaculture system. Sustainability 2021, 13, 11236. [Google Scholar] [CrossRef]
- Sundararaman, S.; Kumar, P.S.; Deivasigamani, P.; Jagadeesan, A.K.; Devaerakkam, M.; Al-Hashimi, A.; Choi, D. Assessing the plant phytoremediation efficacy for Azolla filiculoides in the treatment of textile effluent and redemption of Congo red dye onto Azolla biomass. Sustainability 2021, 13, 9588. [Google Scholar] [CrossRef]
- Kolhe, S.S.; Mittra, B.N. Azolla as an organic source of nitrogen in a rice-wheat cropping system. Trop. Agric. 1990, 67, 267–269. [Google Scholar] [CrossRef]
- Nain, L.; Rana, A.; Joshi, M.; Jadhav, S.D.; Kumar, D.; Shivay, Y.S.; Paul, S.; Prasanna, R. Evaluation of synergistic effects of bacterial and cyanobacterial strains as biofertilizers for wheat. Plant Soil 2010, 331, 217–230. [Google Scholar] [CrossRef]
- Ram, H.; Raja, P.K.; Naidu, M.V.S. Effect of Azolla on soil properties and yield of mungbean (Vigna radiata L.). J. Indian Soc. Soil Sci. 1994, 42, 385–387. [Google Scholar]
- Wagner, G.M. Azolla: A review of its biology and utilization. Bot. Rev. 1997, 63, 1–26. [Google Scholar] [CrossRef]
- Teckle-Haimanot, E.V.D. Comparison of Azolla mexicana and N and P fertilization on paddy taro (Colocasia esculenta) yield. Trop. Agric. 1995, 72, 70–72. [Google Scholar]
- Van Hove, C. Azolla and its Multiple Uses with Emphasis on Africa; Food and Agriculture Organization of the United Nations: Rome, Italy, 1989. [Google Scholar]
- Wang, D.-X.; Miao-Zheng, Z.; Fu, C.-D. Studies of the mineralization rate and nutrient releasing dynamics. In Azolla Utilization: Proceedings of Workshop on Azolla Use; International Rice Research Institute: Los Banos, Philippines, 1987; p. 275. [Google Scholar]
- Ito, O.; Watanabe, I. Availability to rice plants of nitrogen fixed by Azolla. Soil Sci. Plant Nut. 1985, 34, 91–104. [Google Scholar] [CrossRef]
- Sisworo, E.L.; Eskew, D.L.; Sisworo, W.H.; Rasjid, H.; Kadarusman, H.; Solahuddin, S.; Soepardi, G. Studies on the availability of Azolla N and urea N for rice growth using 15N. Plant Soil 1990, 128, 209–220. [Google Scholar] [CrossRef]
- Eskew, D.L. Use of 15N in N2 fixation and N cycling studies of Azolla. In Azolla Utilization: Proceedings of Workshop on Azolla Use; International Rice Research Institute: Los Banos, Philippines, 1987; pp. 233–239. [Google Scholar]
- Asuming-Brempong, S.; Amon, N.K.; Adusei-Okrah, V. Improving the nitrogen mineralization of dried Azolla pinnata as a bio-fertilizer for increased rice production in the vertisol. West Afr. J. Appl. Ecol. 2008, 13, 144–149. [Google Scholar] [CrossRef]
- Bhuvaneshwari, K.; Kumar, A. Agronomic potential of the association Azolla–Anabaena. Sci. Res. Repot. 2013, 3, 78–82. [Google Scholar]
- United States Department of Agriculture–Natural Resources Conservation Service. Soil Survey of Larimer County Area, Colorado. 1980. Available online: http://soils.usda.gov/survey/online_surveys/colorado/larimer/TextPart%201.pdf (accessed on 11 November 2016).
- Blume, L.J.; Schumacher, B.A.; Schaffer, P.W.; Cappo, K.A.; Papp, M.L.; Remortel, R.D.; Coffey, D.S.; Johnson, M.G.; Chaloud, D.J. Handbook of Methods for Acid Deposition Studies Laboratory Analyses for Soil Chemistry; U.S. Environmental Protection Agency Environmental Monitoring Systems Laboratory: Las Vegas, NV, USA, 1990.
- Sculthorpe, C.D. The Biology of Aquatic Vascular Plants; St. Martin’s Press: New York, NY, USA, 1967. [Google Scholar]
- Svenson, H.K. The New World species of Azolla. Amer. Fern J. 1944, 34, 69–85. [Google Scholar] [CrossRef]
- Yatazawa, M.; Tomomatsu, N.; Hosoda, N.; Nunomi, K. Nitrogen fixation in Azolla Anabaena symbiosis as affected by mineral nutrient status. Soil Sci. Plant Nutr. 1980, 26, 415–426. [Google Scholar] [CrossRef]
- Barminski, R.; Storteboom, H.; Davis, J.G. Development and evaluation of an organically-certifiable growth medium for cyanobacteria. J. Appl. Phycol. 2016, 28, 2623–2630. [Google Scholar] [CrossRef]
- Nishi, L.; Madrona, G.S.; Guilherme, A.L.F.; Vieira, A.M.S.; Araújo, A.A.; Ugri, M.C.B.A.; Bergamasco, R. Cyanobacteria removal by coagulation/flocculation with seeds of the natural coagulant Moringa oleifera Lam. Chem. Eng. Trans. 2011, 24, 1129–1134. [Google Scholar]
- Griffin, T.S.; Honeycutt, C.W.; He, Z. Effects of temperature, soil water status, and soil type on swine slurry nitrogen transformations. Biol. Fertil. Soils 2002, 36, 442–446. [Google Scholar]
- Keeney, D.R.; Nelson, D.W. Nitrogen-inorganic forms. In Methods of Soil Analysis: Chemical and Microbiological Properties; Miller, R.H., Ed.; American Society of Agronomy & Soil Science Society of America: Madison, WI, USA, 1982; Volume 2, pp. 643–698. [Google Scholar]
- Gessert, G. Measuring air space and water-holding capacity. Ornam. Northwest 1976, 3, 59–60. [Google Scholar]
- Hidayat, A.; Suparto, H. Reconnaissance Soil Map of West Kalimantan Province, 1:250.000 Scale, 1st ed.; Indonesian Agency for Agricultural Research and Development; Indonesian Center for Agricultural Land Resources Research and Development: Bogor, Indonesia, 2010. (In Indonesian) [Google Scholar]
- Rejekiningrum, P.; Sugianto, Y.; Pramudia, A.; Darmijati; Surmaini, E.; Pujilestari, N.; Hamdani, A.; Nuryadi, W.; Fahmiza, A.H. Atlas Climatological Resources for Agriculture in Indonesia Scale 1:1000.000; Indonesian Agency for Agricultural Research and Development; Hydrology Research Institute: Bogor, Indonesia, 2012. (In Indonesian) [Google Scholar]
- Guntarti, A.; Ruliyani, A. Total flavonoid determination antioxidant activity study of spinach (Amaranthus tricolor L.) Red Giti and Green Giti Variety. J. Farmasi Sains dan Praktis 2020, 6, 51–59. (In Indonesian) [Google Scholar]
- Kirani, V.W. Growth and Yields of Three Spinach Varieties (Amaranthus sp.) on Various Kinds of Hydroponic Planting Media. Bachelor’s Thesis, Faculty of Agriculture, Pembangunan Nasional “Veteran” University, Yogyakarta, Indonesia, 2011. (In Indonesian). [Google Scholar]
- Marcene, B. 11 Amazing Health Benefits of Daikon. Available online: https://www.naturalfoodseries.com/11-health-benefits-daikon/#:~text=11%20Amazing%20Health%20Benefits%20of%20Daikon.%201.%20The,the%20health%20of%20the%20respiratory%20tract%20and%20lungs (accessed on 12 March 2021).
- Widiastuti, D.; Davis, J.G. Optimization of the nutrient growing solution and inoculation rate for Azolla mexicana production and use as fertilizer. J. Plant Nutr. 2020, 44, 1404–1419. [Google Scholar] [CrossRef]
- Motsara, M.R.; Roy, R.N. Guide to Laboratory Establishment for Plant Nutrient Analysis; FAO Fertilizer and Plant Nutrition Bulletin 19; Food and Agriculture Organization of the United Nations: Rome, Italy, 2008. [Google Scholar]
- Horneck, D.A.; Miller, R.O. Determination of total nitrogen in plant tissue. In Handbook of Reference Methods for Plant Analysis; Kalra, Y.P., Ed.; CRC Press: Boca Raton, FL, USA, 1998; pp. 75–84. [Google Scholar]
- Miller, R.O. High-temperature oxidation: Dry ashing. In Handbook of Reference Methods for Plant Analysis; Kalra, Y.P., Ed.; CRC Press: Boca Raton, FL, USA, 1998; pp. 53–56. [Google Scholar]
- Flavel, T.C.; Murphy, D. Carbon and nitrogen mineralization rates after application of organic amendments to soil. J. Environ. Qual. 2006, 35, 183–193. [Google Scholar] [CrossRef]
- Calderón, F.J.; McCarty, G.W.; Reeves, J.B., III. Analysis of manure and soil nitrogen mineralization during incubation. Biol. Fertil. Soils. 2005, 41, 328–336. [Google Scholar] [CrossRef]
- Mohanty, M.; Reddy, S.K.; Probert, M.E.; Dalal, R.C.; Rao, S.A.; Menzies, N.W. Modelling N mineralization from green manure and farmyard manure from a laboratory incubation study. Ecol. Model. 2011, 222, 719–726. [Google Scholar]
- Cordovil, C.M.d.S.; Coutinho, J.; Goss, M.; Cabral, F. Potentially mineralizable nitrogen from organic materials applied to a sandy soil: Fitting the one-pool exponential model. Soil Use Manag. 2005, 21, 65–72. [Google Scholar] [CrossRef]
- Seneviratne, G. Litter quality and nitrogen release in tropical agriculture: A synthesis. Biol. Fertil. Soils. 2000, 31, 60–64. [Google Scholar] [CrossRef]
- Sukor, A. Nitrogen Availability from Potential Mineralized Nitrogen of Cyanobacterial Fertilizers Compared to Commonly-Used Organic Fertilizers Applied to Different Soil Textures. Master’s Thesis, Colorado State University, Fort Collins, CO, USA, 2013. [Google Scholar]
- Abbasi, M.K.; Khaliq, A. Nitrogen mineralization of a loam soil supplemented with organic–inorganic amendments under laboratory incubation. Front. Plant Sci. 2016, 7, 1038. [Google Scholar] [CrossRef] [PubMed]
- He, Z.L.; Alva, A.K.; Yan, P.; Li, Y.C.; Calvert, D.V.; Stoffella, P.J.; Banks, D.J. Nitrogen mineralization and transformation from composts and biosolids during field incubation in a sandy soil. Soil. Sci. 2000, 165, 161–169. [Google Scholar] [CrossRef]
- Kannaiyan, S. Blue green algal biofertilizers. In Biotechnology of Biofertilizers for Rice Crop; Kannaiyan, S., Ed.; Tamil Nadu Agricultural University Publications: Coimbatore, India, 1990; p. 225. [Google Scholar]
- Yanni, Y.G. The effect of cyanobacteria and Azolla on the performance of rice under different levels of fertilizer-N. World J. Microbiol. Biotechnol. 1992, 8, 132–136. [Google Scholar] [CrossRef]
- O’Hara. Nutritional constraints on root nodule bacteria affecting symbiotic nitrogen fixation: A review. Aust. J. Exp. Agric. 2001, 41, 417–433. [Google Scholar] [CrossRef]
- Carithers, R.P.; Yoch, D.C.; Arnon, D.I. Two forms of nitrogenase from the photosynthetic bacterium Rhodospirillum rubrum. J. Bacteriol. 1979, 137, 779–789. [Google Scholar] [CrossRef]
- Cooke, G.W. Fertilizing for Maximum Yield, 3rd ed.; Granada: London, UK, 1982; 465p. [Google Scholar]
- Epstein, E. Mineral Nutrition of Plants: Principles and Perspectives; Wiley: London, UK, 1972; 412p. [Google Scholar]
- Volk, G.M.; Bell, C.E. Some Major Factors in the Leaching of Calcium, Potassium, Sulfur, and Nitrogen from Sandy Soils; Florida. Agricultural Experiment Station Bulletin 416; University of Florida: Gainesville, FL, USA, 1945. [Google Scholar]
- Bates, T.E.; Tisdale, S.L. The movement of nitrate-nitrogen through columns of coarse-textured soil materials. Soil Sci. Soc. Proc. 1957, 21, 525–528. [Google Scholar] [CrossRef]
- Rieke, P.E.; Ellis, B.G. Effects of nitrogen fertilization on nitrate movement under turfgrass. In Proceedings of the Second International Turfgrass Research Conference; Roberts, E.C., Ed.; Crop Science Society of America: Madison, WI, USA, 1974; pp. 120–130. [Google Scholar]
- Smika, D.E.; Heermann, D.F.; Duke, H.R.; Bathchelder, A.R. Nitrate-nitrogen percolation through irrigated sandy soil as affected by water management. Agron. J. 1977, 69, 623–626. [Google Scholar] [CrossRef]
- Mitchell, W.H.; Morehart, A.L.; Cotnoir, L.J.; Hessekine, B.B.; Langston, D.N., III. Effect of soil mixtures and irrigation methods on leaching of N in golf greens. Agron. J. 1978, 70, 29–35. [Google Scholar] [CrossRef]
- Petrovic, A.M.; Hummel, N.W., Jr.; Carroll, M.J. Nitrogen source effects on nitrate leaching from late fall nitrogen applied to turfgrass. Agron. Abstr. 1986, 137. [Google Scholar]
- Arancon, N.Q.; Edwards, C.A.; Atiyeh, R.; Metzger, J.D. Effects of vermicomposts produced from food waste on the growth and yields of greenhouse peppers. Bioresour. Technol. 2004, 93, 139–144. [Google Scholar] [CrossRef]
- Ozores-Hampton, M.; Vavrina, C.S.; Obreza, T.A. Yard trimming–biosolids compost: Possible alternative to Sphagnum peat moss in tomato transplant production. Compost Sci. Util. 1999, 7, 42–49. [Google Scholar] [CrossRef]
- Raviv, M.; Oka, Y.; Katan, J.; Hadar, Y.; Yogev, A.; Medina, S.; Krasnovsky, A.; Ziadna, H. High-nitrogen compost as a medium for organic container-grown crops. Bioresour. Technol. 2005, 96, 419–427. [Google Scholar] [CrossRef]
- Reis, M.; Martinez, F.X.; Soliva, M.; Monteiro, A.A. Composted organic residues as a substrate component for tomato transplant production. Acta. Hort. 1998, 469, 263–273. [Google Scholar] [CrossRef]
- Clark, S.; Cavigelli, M. Suitability of composts as potting media for production of organic vegetable transplants. Compost Sci. Util. 2005, 13, 150–156. [Google Scholar] [CrossRef]
- Islam, M.M.; Karim, A.J.M.S.; Jahiruddin, M.; Majid, N.M.; Miah, M.G.; Ahmed, M.M.; Hakim, M.A. Effects of organic manure and chemical fertilizers on crops in the radish- stem amaranth-Indian spinach cropping pattern in homestead area. Aust. J. Crop Sci. 2011, 5, 1370–1378. [Google Scholar]
- Oyedeji, S.; Animasaun, D.A.; Bello, A.A.; Agboola, O.O. Effect of NPK and poultry manure on growth, yield, and proximate composition of three amaranths. J. Bot. 2014, 2014, 828750. [Google Scholar] [CrossRef]
- Rivaie, A.A.; Isnaini, S.; Maryati. Changes in soil N, P, K, rice growth and yield following the application of Azolla pinnata. J. Biol. Agric. Healthc. 2013, 3, 112–117. [Google Scholar]
- Bhuvaneshwari, K.; Singh, P.K. Response of nitrogen-fixing water fern Azolla biofertilization to rice crop. 3 Biotech 2015, 5, 523–529. [Google Scholar] [CrossRef]
- Andriesse, J.P. Nature and Management of Tropical Peat Soils; FAO Soils Bulletin 59; Food and Agriculture Organization of the United Nations: Rome, Italy, 1988. [Google Scholar]
- Nagarajah, S.; Neue, H.U.; Alberto, M.C.R. Effect of Sesbania, Azolla and rice straw incorporation on the kinetics of NH4, K, Fe, Mn, Zn, and P in some flooded rice soils. Plant Soil 1989, 116, 37–48. [Google Scholar] [CrossRef]
- Awodun, M.A. Effect of Azolla (Azolla species) on physiochemical properties of the soil. World J. Agric. Sci. 2008, 4, 157–160. [Google Scholar]
- Zeid, H.A.; Wafaa, H.M.; El Seoud, I.I.A.; Alhadad, W.A.A. Effect of organic materials and inorganic fertilizers on the growth, mineral composition and soil fertility of radish plants (Raphines sativus) grown in sandy soil. Middle East J. Agric. Res. 2015, 4, 77–87. [Google Scholar]
- Dawar, S.; Singh, P.K. Comparison of soil- and nutrient-based medium for maintenance of Azolla cultures. J. Plant Nutr. 2002, 25, 2719–2729. [Google Scholar] [CrossRef]
- Socolow, R.H. Nitrogen management and the future of food: Lessons from the management of energy and carbon. Proc. Natl. Acad. Sci. USA 1999, 96, 6001–6008. [Google Scholar] [CrossRef]
- Rosegrant, M.W.; Roumasset, J.A. Economic feasibility of green manure in rice-based cropping systems. In Sustainable Agriculture: Green Manure in Rice Farming; International Rice Research Institute: Los Banos, Philippines, 1987. [Google Scholar]
- Lumpkin, T.A.; Plucknett, D.L. Azolla, A Low Cost Aquatic Green Manure for Agricultural Crops: Background Papers for Innovative Biological Technologies for Lesser Developed Countries; U.S. Department of Agriculture: Washington, DC, USA, 1981.
- Kikuchi, M.; Watanabe, L.I.; Haws, L.D. Economic evaluation of azolla use in rice production. In Organic Matter and Rice; International Rice Research Institute: Manila, Philippines, 1984; pp. 569–592. [Google Scholar]
- Thomas, G.W. Soil pH and soil acidity. In Methods of Soil Analysis: Part 3—Chemical Methods; Sparks, D.L., Page, A.L., Helmke, P.A., Loeppert, R.H., Eds.; Soil Science Society of America: Madison, Wisconsin, USA, 1996; pp. 475–490. [Google Scholar]
- United States Soil Survey Staff—Natural Resources Conservation Service. Use of Reaction (pH) in Soil Taxonomy; Soil Survey Technical Note 8; United States Department of Agriculture; Natural Resources Conservation Service: Washington, DC, USA, 2005; pp. 1–4. [Google Scholar]
- United States Soil Survey Staff—Natural Resources Conservation Service. Kellogg Soil survey Laboratory Methods Manual; Soil Survey Investigations Report 42, Version 5.0; Burt, R., Ed.; United States Department of Agriculture; Natural Resources Conservation Service: Washington, DC, USA, 2014; pp. 1–1001. [Google Scholar]
- Nelson, D.W.; Sommers, L.E. Total carbon, organic carbon, and organic matter. In Methods of Soil Analysis: Part 3--Chemical Methods; Sparks, D.L., Page, A.L., Helmke, P.A., Loeppert, R.H., Eds.; Soil Science Society of America: Madison, WI, USA, 1996; pp. 961–1010. [Google Scholar]
- Mulvaney, R.L. Nitrogen-inorganic forms. In Methods of Soil Analysis: Part 3–Chemical Methods; Sparks, D.L., Ed.; Soil Science Society of America: Madison, WI, USA, 1996; pp. 1123–1184. [Google Scholar]
- Bremmer, J.M. Nitrogen-total. In Methods of Soil Analysis: Part 3--Chemical Methods; Sparks, D.L., Page, A.L., Helmke, P.A., Loeppert, R.H., Eds.; Soil Science Society of America: Madison, WI, USA, 1996; pp. 1085–1121. [Google Scholar]
- Kuo, S. Phosphorus. In Methods of Soil Analysis: Part 3—Chemical Methods; Sparks, D.L., Page, A.L., Helmke, P.A., Loeppert, R.H., Eds.; Soil Science Society of America: Madison, WI, USA, 1996; pp. 869–919. [Google Scholar]
- Helmke, P.A.; Sparks, D.L. Alkali metal properties. In Methods of Soil Analysis: Part 3—Chemical Methods; Sparks, D.L., Page, A.L., Helmke, P.A., Loeppert, R.H., Eds.; Soil Science Society of America: Madison, WI, USA, 1996; pp. 551–601. [Google Scholar]
- Sims, J.T. Lime requirement. In Methods of Soil Analysis: Part 3—Chemical Methods; Sparks, D.L., Page, A.L., Helmke, P.A., Loeppert, R.H., Eds.; Soil Science Society of America: Madison, WI, USA, 1996; pp. 491–515. [Google Scholar]
- Loeppert, R.H.; Inskeep, W.P. Iron. In Methods of Soil Analysis: Part 3—Chemical Methods; Sparks, D.L., Page, A.L., Helmke, P.A., Loeppert, R.H., Eds.; Soil Science Society of America: Madison, WI, USA, 1996; pp. 639–664. [Google Scholar]
- Reed, S.T.; Martens, D.C. Copper and zinc. In Methods of Soil Analysis: Part 3—Chemical Methods; Sparks, D.L., Page, A.L., Helmke, P.A., Loeppert, R.H., Eds.; Soil Science Society of America: Madison, WI, USA, 1996; pp. 703–722. [Google Scholar]
- Olmstead, L.B.; Alexander, L.T.; Middleton, H.E. A Pipette Method of Mechanical Analysis of Soils Based on Improved Dispersion Procedure; Technical Bulletin 170; United States Department of Agriculture: Washington, DC, USA, 1930; pp. 1–23. [Google Scholar]
- Hoskins, B.; Wolf, A.; Wolf, N. Dry matter analysis. In Recommended Methods of Manure Analysis; Peters, J., Ed.; University of Wisconsin-Extension: Madison, WI, USA, 2003; pp. 14–17. [Google Scholar]
- Miller, R.O. Determination of dry matter content of plant tissue: Gravimetric moisture. In Handbook of Reference Methods for Plant Analysis; Kalra, Y.P., Ed.; CRC Press: Boca Raton, FL, USA, 1998; pp. 51–52. [Google Scholar]
- Wolf, A.; Watson, M.; Wolf, N. Digestion and dissolution methods for P, K, Ca, Mg and trace elements. In Recommended Methods of Manure Analysis; Peters, J., Ed.; University of Wisconsin-Extension: Madison, WI, USA, 2003; pp. 30–38. [Google Scholar]
- Kovar, J. Methods of determination of P, K, Ca, Mg and trace elements. In Recommended Methods of Manure Analysis; Peters, J., Ed.; University of Wisconsin-Extension: Madison, WI, USA, 2003; pp. 39–47. [Google Scholar]
- Wolf, N. Determination of manure pH. In Recommended Methods of Manure Analysis; Peters, J., Ed.; University of Wisconsin-Extension: Madison, WI, USA, 2003; pp. 48–49. [Google Scholar]
- Watson, M.; Wolf, A.; Wolf, N. Total nitrogen. In Recommended Methods of Manure Analysis; Peters, J., Ed.; University of Wisconsin-Extension: Madison, WI, USA, 2003; pp. 18–24. [Google Scholar]
- Peters, J.; Wolf, A.; Wolf, N. Ammonium nitrogen. In Recommended Methods of Manure Analysis; Peters, J., Ed.; University of Wisconsin-Extension: Madison, WI, USA, 2003; pp. 25–29. [Google Scholar]
- Lowther, J.R. Use of a single sulphuric acid-hydrogen peroxide digest for the analysis of pinus radiata needles. Commun. Soil Sci. Plant Anal. 2008, 11, 175–188. [Google Scholar] [CrossRef]







| Treatment † | N | P | K | C | C/N Ratio ‡ |
|---|---|---|---|---|---|
| --%-- | --%-- | --%-- | --%-- | ||
| Compost | 1.53 | 0.63 | 0.52 | 20.06 | 13.1 |
| Cyano | 8.81 | 1.40 | 1.04 | 43.18 | 4.9 |
| Cyano + Moringa | 7.38 | 2.04 | 0.72 | 42.78 | 5.8 |
| Azolla | 3.27 | 0.35 | 0.96 | 45.44 | 13.9 |
| Azolla + Watanabe | 4.04 | 1.11 | 2.87 | 44.80 | 11.1 |
| Urea | 46 | 0 | 0 | - | - |
Disclaimer/Publisher’s Note: The statements, opinions and data contained in all publications are solely those of the individual author(s) and contributor(s) and not of MDPI and/or the editor(s). MDPI and/or the editor(s) disclaim responsibility for any injury to people or property resulting from any ideas, methods, instructions or products referred to in the content. |
© 2023 by the authors. Licensee MDPI, Basel, Switzerland. This article is an open access article distributed under the terms and conditions of the Creative Commons Attribution (CC BY) license (https://creativecommons.org/licenses/by/4.0/).
Share and Cite
Jama, A.; Widiastuti, D.P.; Gafur, S.; Davis, J.G. Azolla Biofertilizer Is an Effective Replacement for Urea Fertilizer in Vegetable Crops. Sustainability 2023, 15, 6045. https://doi.org/10.3390/su15076045
Jama A, Widiastuti DP, Gafur S, Davis JG. Azolla Biofertilizer Is an Effective Replacement for Urea Fertilizer in Vegetable Crops. Sustainability. 2023; 15(7):6045. https://doi.org/10.3390/su15076045
Chicago/Turabian StyleJama, Aisha, Dwi P. Widiastuti, Sutarman Gafur, and Jessica G. Davis. 2023. "Azolla Biofertilizer Is an Effective Replacement for Urea Fertilizer in Vegetable Crops" Sustainability 15, no. 7: 6045. https://doi.org/10.3390/su15076045
APA StyleJama, A., Widiastuti, D. P., Gafur, S., & Davis, J. G. (2023). Azolla Biofertilizer Is an Effective Replacement for Urea Fertilizer in Vegetable Crops. Sustainability, 15(7), 6045. https://doi.org/10.3390/su15076045

