The Bioclimatic Change of the Agricultural and Natural Areas of the Adriatic Coastal Countries
Abstract
1. Introduction
2. Materials and Methods
2.1. Study Area
2.2. Data and Methods
Atmospheric data and Analysis
- P: is the annual average precipitation (mm);
- T: is the annual average air temperature (°C); and
- 10: is the coefficient employed to acquire positive values
3. Results and Discussion
3.1. The De Martonne Index’s Spatial Distribution
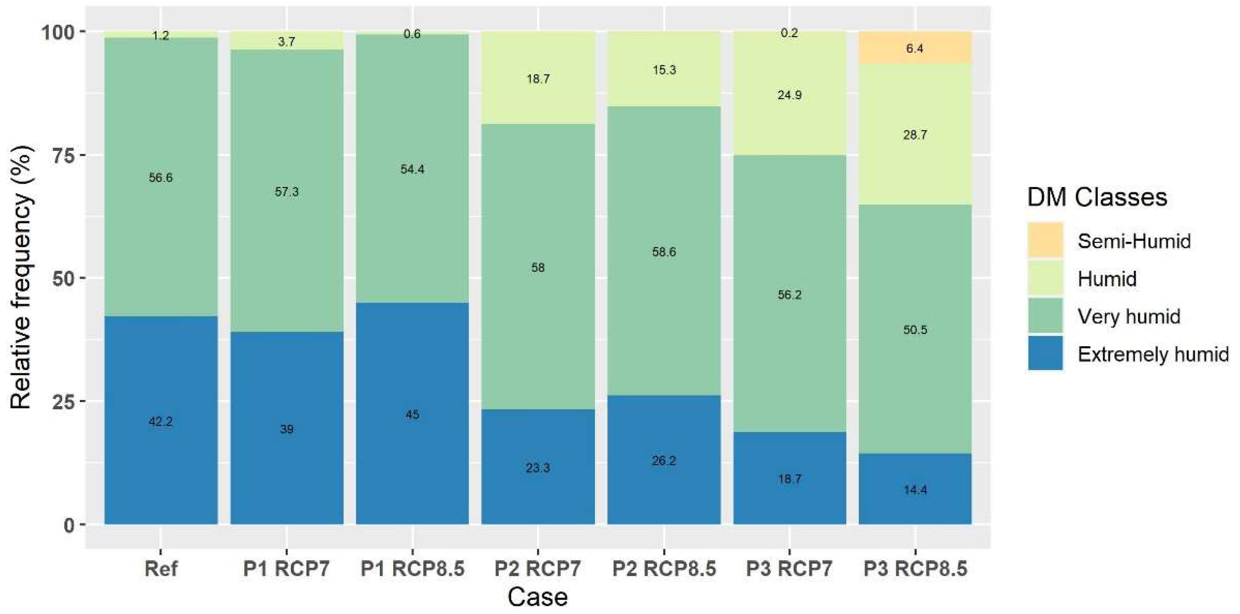
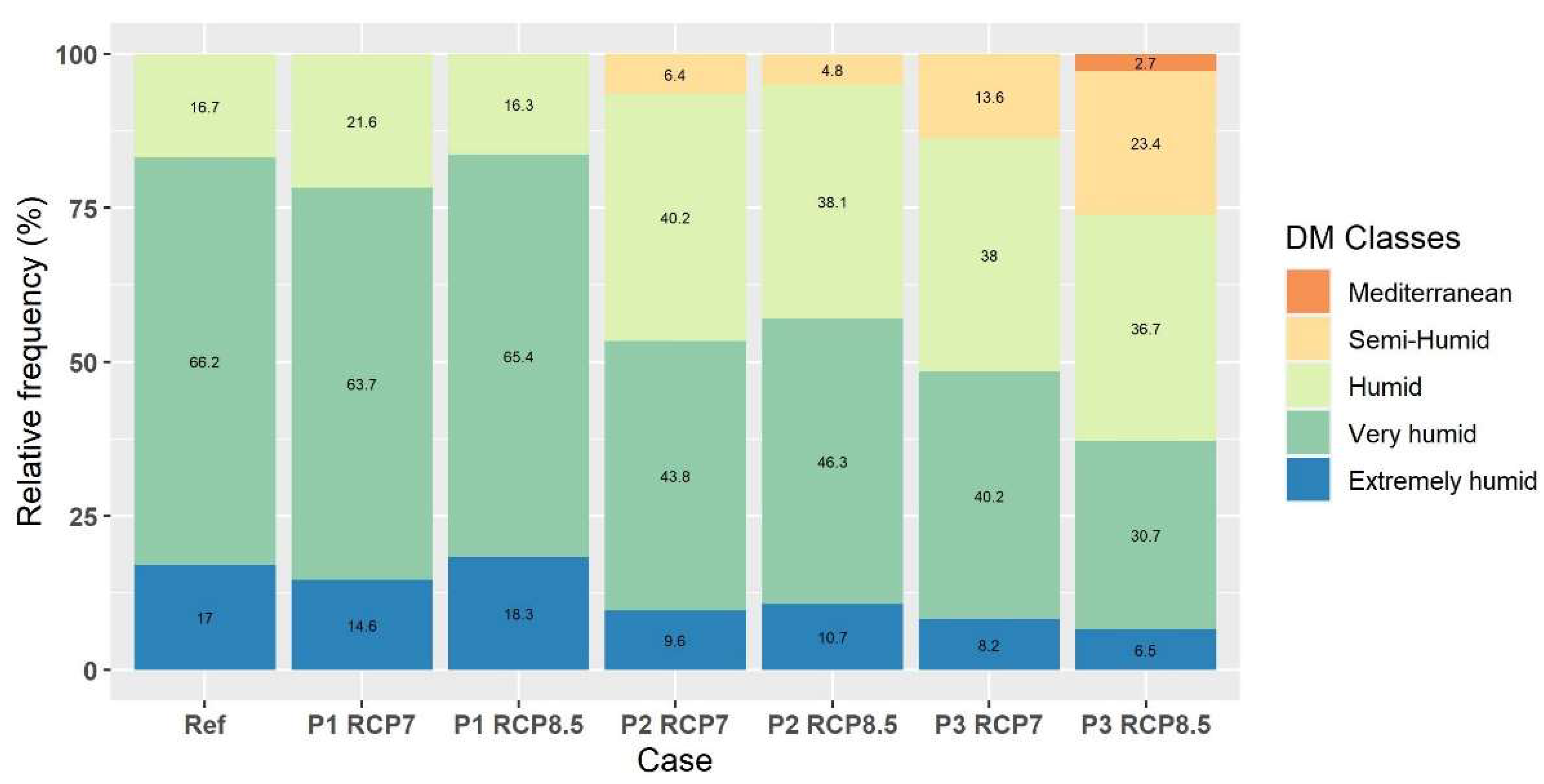
3.2. The De Martonne Classes’ Spatial Frequency per Country
3.2.1. Albania (AL)
3.2.2. Bosnia and Herzegovina (BA)
3.2.3. Croatia (HR)
3.2.4. Italy (IT)
3.2.5. Montenegro (ME)
3.2.6. Slovenia (SI)
4. Conclusions
Supplementary Materials
Author Contributions
Funding
Institutional Review Board Statement
Informed Consent Statement
Data Availability Statement
Conflicts of Interest
References
- Pörtner, H.-O.; Roberts, D.C.; Adams, H.; Adler, C.; Aldunce, P.; Ali, E.; Begum, R.A.; Betts, R.; Kerr, R.B.; Biesbroek, R. Climate Change 2022: Impacts, Adaptation and Vulnerability; Cambridge University Press: Cambridge, UK; New York, NY, USA, 2022. [Google Scholar]
- Intergovernmental Panel on Climate Change Climate Change 2013—The Physical Science Basis: Working Group I Contribution to the Fifth Assessment Report of the Intergovernmental Panel on Climate Change; Cambridge University Press: Cambridge, UK, 2014; ISBN 978-1-107-05799-9.
- Droulia, F.; Charalampopoulos, I. Future Climate Change Impacts on European Viticulture: A Review on Recent Scientific Advances. Atmosphere 2021, 12, 495. [Google Scholar] [CrossRef]
- Bosnjakovic, B.; Haber, I.M. Climate Changes and Adaption Policies in the Baltic and the Adriatic Regions. UTMS J. Econ. 2015, 6, 21–39. [Google Scholar]
- Županić, F.Ž.; Radić, D.; Podbregar, I. Climate Change and Agriculture Management: Western Balkan Region Analysis. Energy Sustain. Soc. 2021, 11, 51. [Google Scholar] [CrossRef]
- Knez, S.; Štrbac, S.; Podbregar, I. Climate Change in the Western Balkans and EU Green Deal: Status, Mitigation and Challenges. Energy Sustain. Soc. 2022, 12, 1. [Google Scholar] [CrossRef]
- Vitale, D.; Rana, G.; Soldo, P. Trends and Extremes Analysis of Daily Weather Data from a Site in the Capitanata Plain (Southern Italy). Ital. J. Agron. 2010, 5, 133–144. [Google Scholar] [CrossRef]
- Brunetti, M.; Buffoni, L.; Mangianti, F.; Maugeri, M.; Nanni, T. Temperature, Precipitation and Extreme Events during the Last Century in Italy. Glob. Planet. Chang. 2004, 40, 141–149. [Google Scholar] [CrossRef]
- Spinoni, J.; Vogt, J.V.; Naumann, G.; Barbosa, P.; Dosio, A. Will Drought Events Become More Frequent and Severe in Europe? Int. J. Climatol. 2018, 38, 1718–1736. [Google Scholar] [CrossRef]
- D’Aprile, F.; Tapper, N.; Marchetti, M. Forestry under Climate Change. Is Time a Tool for Sustainable Forest Management? Open J. For. 2015, 5, 329–336. [Google Scholar] [CrossRef]
- Trbic, G.; Bajic, D.; Djudjdevic, V.; Crnogorac, C.; Popov, T.; Dekic, R.; Petrasevic, A.; Rajcevic, V. The Impact of Climate Change on the Modification of Bioclimatic Conditions in Bosnia and Herzegovina. Int. J. Educ. Learn. Syst. 2016, 1, 176–182. [Google Scholar]
- Charalampopoulos, I.; Droulia, F. Frost Conditions Due to Climate Change in South-Eastern Europe via a High-Spatiotemporal-Resolution Dataset. Atmosphere 2022, 13, 1407. [Google Scholar] [CrossRef]
- Senapati, N.; Halford, N.; Semenov, M. Vulnerability of European Wheat to Extreme Heat and Drought around Flowering under Future Climate. Environ. Res. Lett. 2021, 16, 024052. [Google Scholar] [CrossRef]
- Gao, X.; Giorgi, F. Increased Aridity in the Mediterranean Region under Greenhouse Gas Forcing Estimated from High Resolution Simulations with a Regional Climate Model. Glob. Planet. Chang. 2008, 62, 195–209. [Google Scholar] [CrossRef]
- Colantoni, A.; Ferrara, C.; Perini, L.; Salvati, L. Assessing Trends in Climate Aridity and Vulnerability to Soil Degradation in Italy. Ecol. Indic. 2015, 48, 599–604. [Google Scholar] [CrossRef]
- Martinez del Castillo, E.; Zang, C.S.; Buras, A.; Hacket-Pain, A.; Esper, J.; Serrano-Notivoli, R.; Hartl, C.; Weigel, R.; Klesse, S.; Resco de Dios, V.; et al. Climate-Change-Driven Growth Decline of European Beech Forests. Commun. Biol. 2022, 5, 163. [Google Scholar] [CrossRef]
- Gentilesca, T.; Camarero, J.J.; Colangelo, M.; Nolè, A.; Ripullone, F. Drought-Induced Oak Decline in the Western Mediterranean Region: An Overview on Current Evidences, Mechanisms and Management Options to Improve Forest Resilience. Iforest-Biogeosciences For. 2017, 10, 796. [Google Scholar] [CrossRef]
- Allen, C.D.; Macalady, A.K.; Chenchouni, H.; Bachelet, D.; McDowell, N.; Vennetier, M.; Kitzberger, T.; Rigling, A.; Breshears, D.D.; Hogg, E.H.; et al. A Global Overview of Drought and Heat-Induced Tree Mortality Reveals Emerging Climate Change Risks for Forests. For. Ecol. Manag. 2010, 259, 660–684. [Google Scholar] [CrossRef]
- Turco, M.; von Hardenberg, J.; AghaKouchak, A.; Llasat, M.C.; Provenzale, A.; Trigo, R.M. On the Key Role of Droughts in the Dynamics of Summer Fires in Mediterranean Europe. Sci. Rep. 2017, 7, 81. [Google Scholar] [CrossRef] [PubMed]
- Newbold, T.; Oppenheimer, P.; Etard, A.; Williams, J.J. Tropical and Mediterranean Biodiversity Is Disproportionately Sensitive to Land-Use and Climate Change. Nat. Ecol. Evol. 2020, 4, 1630–1638. [Google Scholar] [CrossRef]
- Cao Pinna, L.; Axmanová, I.; Chytrý, M.; Malavasi, M.; Acosta, A.T.R.; Giulio, S.; Attorre, F.; Bergmeier, E.; Biurrun, I.; Campos, J.A.; et al. The Biogeography of Alien Plant Invasions in the Mediterranean Basin. J. Veg. Sci. 2021, 32, e12980. [Google Scholar] [CrossRef]
- Olesen, J.E.; Trnka, M.; Kersebaum, K.C.; Skjelvåg, A.O.; Seguin, B.; Peltonen-Sainio, P.; Rossi, F.; Kozyra, J.; Micale, F. Impacts and Adaptation of European Crop Production Systems to Climate Change. Eur. J. Agron. 2011, 34, 96–112. [Google Scholar] [CrossRef]
- Olesen, J.E.; Bindi, M. Consequences of Climate Change for European Agricultural Productivity, Land Use and Policy. Eur. J. Agron. 2002, 16, 239–262. [Google Scholar] [CrossRef]
- Nistor, M.M. Spatial Distribution of Climate Indices in the Emilia-Romagna Region. Meteorol. Appl. 2016, 23, 304–313. [Google Scholar] [CrossRef]
- Charalampopoulos, I. Agrometeorological Conditions and Agroclimatic Trends for the Maize and Wheat Crops in the Balkan Region. Atmosphere 2021, 12, 671. [Google Scholar] [CrossRef]
- Fontana, G.; Toreti, A.; Ceglar, A.; De Sanctis, G. Early Heat Waves over Italy and Their Impacts on Durum Wheat Yields. Nat. Hazards Earth Syst. Sci. 2015, 15, 1631–1637. [Google Scholar] [CrossRef]
- Droulia, F.; Charalampopoulos, I. A Review on the Observed Climate Change in Europe and Its Impacts on Viticulture. Atmosphere 2022, 13, 837. [Google Scholar] [CrossRef]
- Maracchi, G.; Sirotenko, O.; Bindi, M. Impacts of Present and Future Climate Variability on Agriculture and Forestry in the Temperate Regions: Europe. Clim. Chang. 2005, 70, 117–135. [Google Scholar] [CrossRef]
- Eccel, E.; Zollo, A.L.; Mercogliano, P.; Zorer, R. Simulations of Quantitative Shift in Bio-Climatic Indices in the Viticultural Areas of Trentino (Italian Alps) by an Open Source R Package. Comput. Electron. Agric. 2016, 127, 92–100. [Google Scholar] [CrossRef]
- Charalampopoulos, I.; Polychroni, I.; Psomiadis, E.; Nastos, P. Spatiotemporal Estimation of the Olive and Vine Cultivations’ Growing Degree Days in the Balkans Region. Atmosphere 2021, 12, 148. [Google Scholar] [CrossRef]
- Baltas, E. Spatial distribution of climatic indices in northern Greece. Meteorol. Appl. 2007, 14, 69–78. [Google Scholar] [CrossRef]
- Passarella, G.; Bruno, D.; Lay-Ekuakille, A.; Maggi, S.; Masciale, R.; Zaccaria, D. Spatial and Temporal Classification of Coastal Regions Using Bioclimatic Indices in a Mediterranean Environment. Sci. Total Environ. 2020, 700, 134415. [Google Scholar] [CrossRef]
- Savo, V.; De Zuliani, E.; Salvati, L.; Perini, L.; Caneva, G. Long-Term Changes in Precipitation and Temperature Patterns and Their Possible Impacts on Vegetation (Tolfa–Cerite Area, Central Italy). Appl. Ecol. Environ. Res. 2012, 10, 243–266. [Google Scholar] [CrossRef]
- Caloiero, T.; Callegari, G.; Cantasano, N.; Coletta, V.; Pellicone, G.; Veltri, A. Bioclimatic Analysis in a Region of Southern Italy (Calabria). Plant Biosyst. -Int. J. Deal. All Asp. Plant Biol. 2016, 150, 1282–1295. [Google Scholar] [CrossRef]
- Cutini, M.; Flavio, M.; Giuliana, B.; Guido, R.; Jean-Paul, T. Bioclimatic Pattern in a Mediterranean Mountain Area: Assessment from a Classification Approach on a Regional Scale. Int. J. Biometeorol. 2021, 65, 1085–1097. [Google Scholar] [CrossRef] [PubMed]
- Ullah, S.; You, Q.; Sachindra, D.A.; Nowosad, M.; Ullah, W.; Bhatti, A.S.; Jin, Z.; Ali, A. Spatiotemporal Changes in Global Aridity in Terms of Multiple Aridity Indices: An Assessment Based on the CRU Data. Atmos. Res. 2022, 268, 105998. [Google Scholar] [CrossRef]
- Biasi, R.; Brunori, E.; Ferrara, C.; Salvati, L. Assessing Impacts of Climate Change on Phenology and Quality Traits of Vitis vinifera L.: The Contribution of Local Knowledge. Plants 2019, 8, 121. [Google Scholar] [CrossRef] [PubMed]
- Nistor, M.-M.; Mîndrescu, M. Climate Change Effect on Groundwater Resources in Emilia-Romagna Region: An Improved Assessment through NISTOR-CEGW Method. Quat. Int. 2019, 504, 214–228. [Google Scholar] [CrossRef]
- Cheval, S.; Dumitrescu, A.; Birsan, M.-V. Variability of the Aridity in the South-Eastern Europe over 1961–2050. CATENA 2017, 151, 74–86. [Google Scholar] [CrossRef]
- Pellicone, G.; Caloiero, T.; Guagliardi, I. The De Martonne Aridity Index in Calabria (Southern Italy). J. Maps 2019, 15, 788–796. [Google Scholar] [CrossRef]
- My, L.; Di Bacco, M.; Scorzini, A.R. On the Use of Gridded Data Products for Trend Assessment and Aridity Classification in a Mediterranean Context: The Case of the Apulia Region. Water 2022, 14, 2203. [Google Scholar] [CrossRef]
- Coscarelli, R.; Gaudio, R.; Caloiero, T. Climatic Trends: An Investigation for a Calabrian Basin (Southern Italy). Basis Civiliz. Water Sci. 2004, 286, 255. [Google Scholar]
- Lione, G.G.; Ebone, A.; Petrella, F.; Terzuolo, P.; Nicolotti, G.; Gonthier, P. Decline of Quercus Robur Forests in Northwestern Italy: Current Situation and Tentative Aetiology. IOBC/Wprs Bull. 2012, 76, 67–70. [Google Scholar]
- Majstorović, Ž.; Toromanović, A.; Gabela, L. Changes in Precipitation Regime in Sarajevo (1894–2003). Hrvat. Meteorološki Časopis 2005, 40, 667–668. [Google Scholar]
- Zulum, D.; Majstorović, Ž. The Impact of Climate Change on the Precipitation Regime in Bosnia and Herzegovina. In Global Environmental Change: Challenges to Science and Society in Southeastern Europe; Springer: Berlin/Heidelberg, Germany, 2010; pp. 91–96. [Google Scholar]
- Brđanin, E.; Sedlak, M. Analysis of the Spatial Distribution of the Drought in the Lim Valley and on the Upper Course of the River Ibar in Montenegro. Zb. Rad. -Geogr. Fak. Univ. U Beogr. 2021, 69, 101–117. [Google Scholar] [CrossRef]
- Nistor, M.-M. Climate Change Effect on Groundwater Resources in South East Europe during 21st Century. Quat. Int. 2019, 504, 171–180. [Google Scholar] [CrossRef]
- Gurney, K.R.; Kılkış, Ş.; Seto, K.C.; Lwasa, S.; Moran, D.; Riahi, K.; Keller, M.; Rayner, P.; Luqman, M. Greenhouse Gas Emissions from Global Cities under SSP/RCP Scenarios, 1990 to 2100. Glob. Environ. Chang. 2022, 73, 102478. [Google Scholar] [CrossRef]
- Tang, W.; Cui, L.; Zheng, S.; Hu, W. Multi-Scenario Simulation of Land Use Carbon Emissions from Energy Consumption in Shenzhen, China. Land 2022, 11, 1673. [Google Scholar] [CrossRef]
- Guo, F.; Lenoir, J.; Bonebrake, T.C. Land-Use Change Interacts with Climate to Determine Elevational Species Redistribution. Nat. Commun. 2018, 9, 1315. [Google Scholar] [CrossRef]
- Margalef-Marrase, J.; Pérez-Navarro, M.Á.; Lloret, F. Relationship between Heatwave-Induced Forest Die-off and Climatic Suitability in Multiple Tree Species. Glob. Chang. Biol. 2020, 26, 3134–3146. [Google Scholar] [CrossRef] [PubMed]
- Ocón, J.P.; Ibanez, T.; Franklin, J.; Pau, S.; Keppel, G.; Rivas-Torres, G.; Shin, M.E.; Gillespie, T.W. Global Tropical Dry Forest Extent and Cover: A Comparative Study of Bioclimatic Definitions Using Two Climatic Data Sets. PLoS ONE 2021, 16, e0252063. [Google Scholar] [CrossRef] [PubMed]
- Lembrechts, J.J.; Lenoir, J.; Roth, N.; Hattab, T.; Milbau, A.; Haider, S.; Pellissier, L.; Pauchard, A.; Ratier Backes, A.; Dimarco, R.D.; et al. Comparing Temperature Data Sources for Use in Species Distribution Models: From in-Situ Logging to Remote Sensing. Glob. Ecol. Biogeogr. 2019, 28, 1578–1596. [Google Scholar] [CrossRef]
- de Oliveira Aparecido, L.E.; Dutra, A.F.; de Lima, R.F.; de Alcântara Neto, F.; Botega Torsoni, G.; Renan Lima Leite, M. Climate Change Scenarios and the Dragon Fruit Climatic Zoning in Brazil. Theor. Appl. Climatol. 2022, 149, 897–913. [Google Scholar] [CrossRef]
- de Martonne, E. Regions of Interior-Basin Drainage. Geogr. Rev. 1927, 17, 397–414. [Google Scholar] [CrossRef]
- Evans, J.S.; Murphy, M.A.; Ram, K. SpatialEco: Spatial Analysis and Modelling Utilities. Available online: https://CRAN.R-project.org/package=spatialEco (accessed on 12 December 2022).
- Wickham, H. The Tidyverse. Available online: https://www.tidyverse.org/ (accessed on 22 November 2022).
- Hijmans, R.J.; Bivand, R.; Forner, K.; Ooms, J.; Pebesma, E.; Sumner, M.D. Terra: Spatial Data Analysis. Available online: https://CRAN.R-project.org/package=terra (accessed on 7 July 2022).
- Büttner, G. CORINE Land Cover and Land Cover Change Products. In Land Use and Land Cover Mapping in Europe; Manakos, I., Braun, M., Eds.; Remote Sensing and Digital Image Processing; Springer: Dordrecht, The Netherlands, 2014; pp. 55–74. ISBN 978-94-007-7968-6. [Google Scholar]
- QGIS Geographic Information System. Available online: https://qgis.org/en/site/ (accessed on 22 November 2022).
- Aramini, G.; Ciancio, O.; Iovino, F.; Menguzzato, G.; Nicolaci, A.; Nocentini, S.; Paone, R. The Ecology and Distribution of Aleppo Pine Forests in the Upper Ionian Coast in the Province of Cosenza (Calabria). In Proceedings of the International Workshop MEDPINE, Bari, Italy, 26–30 September 2005. [Google Scholar]





















| IDM Values | Types of Bioclimates | Description |
|---|---|---|
| IDM < 10 | Arid or Dry | Needs continuous irrigation |
| 10 ≤ IDM < 20 | Semi-dry or Semi-arid | Needs irrigation |
| 20 ≤ IDM < 24 | Mediterranean | Needs supplementary irrigation |
| 24 ≤ IDM < 28 | Semi-humid | Needs supplementary irrigation |
| 28 ≤ IDM < 35 | Humid | Needs occasional irrigation |
| 35 ≤ IDM ≤ 55 | Very humid | Needs infrequent irrigation |
| IDM > 55 | Extremely humid | Water self-sufficient |
Disclaimer/Publisher’s Note: The statements, opinions and data contained in all publications are solely those of the individual author(s) and contributor(s) and not of MDPI and/or the editor(s). MDPI and/or the editor(s) disclaim responsibility for any injury to people or property resulting from any ideas, methods, instructions or products referred to in the content. |
© 2023 by the authors. Licensee MDPI, Basel, Switzerland. This article is an open access article distributed under the terms and conditions of the Creative Commons Attribution (CC BY) license (https://creativecommons.org/licenses/by/4.0/).
Share and Cite
Charalampopoulos, I.; Droulia, F.; Evans, J. The Bioclimatic Change of the Agricultural and Natural Areas of the Adriatic Coastal Countries. Sustainability 2023, 15, 4867. https://doi.org/10.3390/su15064867
Charalampopoulos I, Droulia F, Evans J. The Bioclimatic Change of the Agricultural and Natural Areas of the Adriatic Coastal Countries. Sustainability. 2023; 15(6):4867. https://doi.org/10.3390/su15064867
Chicago/Turabian StyleCharalampopoulos, Ioannis, Fotoula Droulia, and Jeffrey Evans. 2023. "The Bioclimatic Change of the Agricultural and Natural Areas of the Adriatic Coastal Countries" Sustainability 15, no. 6: 4867. https://doi.org/10.3390/su15064867
APA StyleCharalampopoulos, I., Droulia, F., & Evans, J. (2023). The Bioclimatic Change of the Agricultural and Natural Areas of the Adriatic Coastal Countries. Sustainability, 15(6), 4867. https://doi.org/10.3390/su15064867

