Study on the Creep Characteristics and Fractional Order Model of Granite Tunnel Excavation Unloading in a High Seepage Pressure Environment
Abstract
1. Introduction
2. Creep Sample Preparation and Testing Scheme
- (1)
- Triaxial compression test: The hydrostatic pressure is loaded to 20 MPa in stages, the confining pressure is maintained at a constant value, and the axial pressure is loaded at a rate of 2 MPa/min until the specimen is damaged to obtain the triaxial peak compressive strength of the specimen under the surrounding pressure of 20 MPa.
- (2)
- Triaxial unloading test: The hydrostatic pressure of the specimen is loaded to 20 MPa in stages, the confining pressure is maintained at a constant value, and the axial pressure is loaded at 2 MPa/min to 70% of its triaxial peak compressive strength ; the axial pressure is maintained at a constant value and the confining pressure is unloaded at 1 MPa/min until the specimen is damaged in order to obtain the unloading failure confining pressure under a 20 MPa confining pressure.
- (3)
- Triaxial creep test: A description of the creep test, which is performed in three stages based on the test stress path, is given below.
- (a)
- First stage (initial stress field stage): The stress state of the deep rock is simulated and the axial pressure and circumferential pressure are simultaneously loaded to 20 MPa according to the hydrostatic pressure loading mode.
- (b)
- Second stage (unloading test piece preparation stage): The constant confining pressure and axial pressure are increased to 70% of the triaxial compressive strength , and the unloading test piece is finished by reducing the pressure to 50% of the unloading failure confining pressure after reaching the target value.
- (c)
- Third stage (creep stage): The axial pressure and circumferential pressure of the unloading specimen are simultaneously loaded to a magnitude of 50% of the unloading confining pressure and then reduced to 20–0.5 MPa, the seepage pressure is loaded to 2 MPa, and the axial pressure is increased to 50% of the compressive strength while maintaining the confining pressure. The stress path is shown in Figure 1a. After this process, 24 h is taken as the time period and the axial compression is increased to 5% of the triaxial compressive strength and loaded in a graded manner until the sample is destroyed. The graded loading of axial compression is shown in Figure 1b.
3. Test Results
3.1. Creep Failure Curves
3.2. Graded Strain Curve Analysis
3.3. Instantaneous Strain and Creep Characteristics
3.4. Long-Term Strength
3.5. Creep Rate
4. Establishment of the Creep Damage Model
4.1. Fractional Calculus Theory
4.2. Establishment of the Fractional Damage Model
- When , , only the damaged elastic element and the fractional damaged viscoplastic element participate in the deformation in the model, and the nonlinear creep equation is obtained as follows:
- When , , the disturbance element in the model functions correctly, and the equation is as follows:
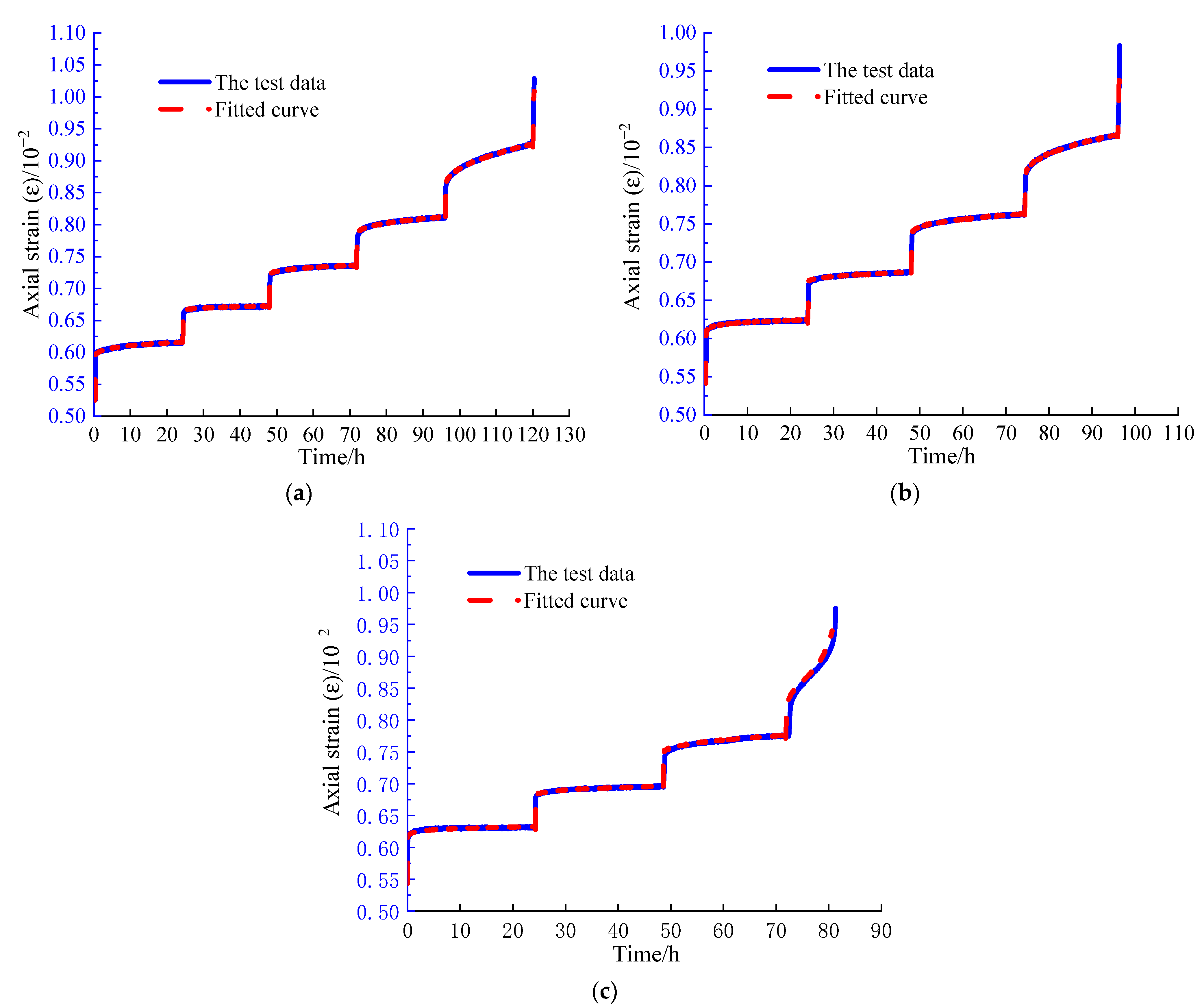
4.3. Model Verification and Parameter Identification
- The viscosity variable first increases and then decreases with the decay creep, steady creep and accelerated creep of the rock mass, which shows that the viscosity variable exhibits damage and deterioration effects.
- The larger the seepage pressure is, the larger the initial damage factor , which indicates that the seepage pressure causes damage to the excavation unloading; the larger the seepage pressure is, the greater the rock damage.
- With increasing deviatoric stress, the damage factor values of the elastic elements and viscoplastic elements tend to increase. The increases in the damage factors indicate that the damage to the rock increases with time and deviatoric stress.
5. Discussion
6. Conclusions
- With the increase in each axial compression level, the axial strain and circumferential strain of the specimen show an increasing trend; with the increase in the axial compression loading level, the circumferential strain gradually exceeds the axial strain, which indicates that the circumferential expansion of granite is more obvious than the axial expansion.
- With the increase in the seepage pressure, the instantaneous strain of each stage of the specimen changes minimally while the creep deformation shows an increasing trend. This finding indicates that the instantaneous deformation of the specimen is minimally affected by the seepage pressure, but that the seepage pressure affects the rock creep deformation for a long time. The creep failure process of the specimen under high seepage pressures is obviously faster than that under low seepage pressures.
- The long-term strengths of granite under 0, 2 and 4 MPa seepage pressures are 193.7 MPa, 177.5 MPa and 162.1 MPa, respectively. The long-term strengths of specimens under 2 MPa and 4 MPa seepage pressure decreases are 8.4% and 16.3% smaller than that under 0 MPa seepage pressure, respectively, indicating that rocks are more prone to yield failure under a high seepage pressure. Furthermore, the long-term strength attenuation effect should be considered in engineering design.
- The analysis of the creep constitutive model shows that the larger the seepage pressure is, the larger the initial damage factor , which indicates that the seepage pressure damages the rock before it undergoes excavation unloading; the larger the seepage pressure is, the greater the rock damage. With increasing deviatoric stress, the damage factor increases, which indicates that the damage to rock increases with time and deviatoric stress.
Author Contributions
Funding
Institutional Review Board Statement
Informed Consent Statement
Data Availability Statement
Conflicts of Interest
References
- Sun, J. Rheology of Geotechnical Materials and Its Engineering Application, 1st ed.; Construction Industry Press: Beijing, China, 1999; pp. 1–8. [Google Scholar]
- Brantut, N.; Heap, M.J.; Meredith, P.G.; Baud, P. Time-dependent cracking and brittle creep in crustal rocks: A review. J. Struct. Geol. 2013, 52, 17–43. [Google Scholar] [CrossRef]
- Urai, J.; Spiers, C.; Zwart, H.; Lister, G. Weakening of rock salt by water during long-term creep. Nature 1986, 324, 554–557. [Google Scholar] [CrossRef]
- Hoxha, D.; Homand, F.; Auvray, C. Deformation of natural gypsum rock: Mechanisms and questions. Eng. Geol. 2006, 86, 1–17. [Google Scholar] [CrossRef]
- Zhao, Y.; Wang, Y.; Wang, W.; Wan, W.; Tang, J. Modeling of non-linear rheological behavior of hard rock using triaxial rheological experiment. Int. J. Rock Mech. Min. Sci. 2017, 93, 66–75. [Google Scholar] [CrossRef]
- Tomanovic, Z. Rheological model of soft rock creep based on the tests on marl. Mech. Time-Depend. Mater. 2006, 10, 135–154. [Google Scholar] [CrossRef]
- Hou, Z. Mechanical and hydraulic behavior of rock salt in the excavation disturbed zone around underground facilities. Int. J. Rock Mech. Min. Sci. 2003, 40, 725–738. [Google Scholar] [CrossRef]
- Schimmel, M.T.W.; Hangx, S.J.T.; Spiers, C.J. Effect of pore fluid chemistry on uniaxial compaction creep of Bentheim sandstone and implications for reservoir injection operations. J. Struct. Geol. 2022, 29, 100272. [Google Scholar] [CrossRef]
- An, C.; Killough, J.; Xia, X. Investigating the effects of stress creep and effective stress coefficient on stress-dependent permeability measurements of shale rock. J. Pet. Sci. Eng. 2021, 198, 108155. [Google Scholar] [CrossRef]
- Yu, C.; Tang, S.; Tang, C.; Duan, D.; Zhang, Y.; Liang, Z.; Ma, K.; Ma, T. The effect of water on the creep behavior of red sandstone. Eng. Geol. 2019, 253, 64–74. [Google Scholar] [CrossRef]
- Deleruyelle, F.; Bui, T.A.; Wong, H.; Dufour, N.; Tran, D.K.; Zhang, X.S. Analytical study of the post-closure behaviour of a deep tunnel in a porous creeping rock mass. Comptes Rendus Mec. 2016, 344, 649–660. [Google Scholar] [CrossRef]
- Hou, R.; Zhang, K.; Tao, J.; Xue, X.; Chen, Y. A Nonlinear Creep Damage Coupled Model for Rock Considering the Effect of Initial Damage. Rock Mech. Rock Eng. 2019, 52, 1275–1285. [Google Scholar] [CrossRef]
- Zhao, N.; Jiang, H. Mathematical methods to unloading creep constitutive model of rock mass under high stress and hydraulic pressure. Alex. Eng. J. 2021, 60, 25–38. [Google Scholar] [CrossRef]
- Chen, C.; Xu, T.; Heap, M.J.; Baud, P. Influence of unloading and loading stress cycles on the creep behavior of Darley Dale Sandstone. Int. J. Rock Mech. Min. Sci. 2018, 112, 55–63. [Google Scholar] [CrossRef]
- Zhang, L.; Kan, Z.; Zhang, C.; Tang, J. Experimental study of coal flow characteristics under mining disturbance in China. Int. J. Coal Sci. Technol. 2022, 9, 66. [Google Scholar] [CrossRef]
- Ma, Y.; Yao, Q.; Wang, J.; Sun, S.; Qiu, Z. Time-Dependent Creep Constitutive Model of Roadway Surrounding Rock Based on Creep Parameters. Geofluids 2022, 2022, 7981192. [Google Scholar] [CrossRef]
- Liu, H.; Xie, H.; He, J.; Xiao, M.; Zhuo, L. Nonlinear creep damage constitutive model for soft rocks. Mech. Time-Depend. Mater. 2017, 21, 73–96. [Google Scholar] [CrossRef]
- Chen, L.; Wang, C.; Liu, J.; Liu, Y.; Liu, J.; Su, R.; Wang, J. A damage-mechanism-based creep model considering temperature effect in granite. Mech. Res. Commun. 2014, 56, 76–82. [Google Scholar] [CrossRef]
- Cao, W.; Chen, K.; Tan, X.; Chen, H. A novel damage-based creep model considering the complete creep process and multiple stress levels. Comput. Geotech. 2020, 124, 103599. [Google Scholar] [CrossRef]
- Kang, J.; Zhou, F.; Liu, C.; Liu, Y. A fractional non-linear creep model for coal considering damage effect and experimental validation. Int. J. Non-Linear Mech. 2015, 76, 20–28. [Google Scholar] [CrossRef]
- Chen, X.; Tang, C.; Yu, J.; Zhou, J.-F.; Cai, Y.-Y. Experimental investigation on deformation characteristics and permeability evolution of rock under confining pressure unloading conditions. J. Cent. South Univ. 2018, 25, 1987–2001. [Google Scholar] [CrossRef]
- Ma, D.; Duan, H.; Zhang, J.; Bai, H. A state-of-the-art review on rock seepage mechanism of water inrush disaster in coal mines. Int. J. Coal Sci. Technol. 2022, 9, 50. [Google Scholar] [CrossRef]
- Wang, K.; Zhang, G.; Wang, Y.; Zhang, X.; Li, K.; Guo, W.; Du, F. A numerical investigation of hydraulic fracturing on coal seam permeability based on PFC-COMSOL coupling method. Int. J. Coal Sci. Technol. 2022, 9, 10. [Google Scholar] [CrossRef]
- Tan, T.K.; Kang, W.F. Locked in stresses, creep and dilatancy of rocks, and constitutive equations. Rock Mech. 1980, 13, 5–22. [Google Scholar] [CrossRef]
- Zha, E.; Zhang, Z.; Zhang, R.; Wu, S.; Li, C.; Ren, L.; Gao, M.; Zhou, J. Long-term mechanical and acoustic emission characteristics of creep in deeply buried jinping marble considering excavation disturbance. Int. J. Rock Mech. Min. Sci. 2021, 139, 104603. [Google Scholar] [CrossRef]
- Lyu, C.; Liu, J.; Ren, Y.; Liang, C.; Liao, Y. Study on very long-term creep tests and nonlinear creep-damage constitutive model of salt rock. Int. J. Rock Mech. Min. Sci. 2021, 146, 104873. [Google Scholar] [CrossRef]
- Shen, W.; Liu, S.; Xu, W.; Shao, J. An elastoplastic damage constitutive model for rock-like materials with a fractional plastic flow rule. Int. J. Rock Mech. Min. Sci. 2022, 156, 105140. [Google Scholar] [CrossRef]
- Wu, F.; Liu, J.; Zou, Q.; Li, C.; Chen, J.; Gao, R. A triaxial creep model for salt rocks based on variable-order fractional derivative. Mech. Time-Depend. Mater. 2021, 25, 101–118. [Google Scholar]
- Heymans, N.; Bauwens, J.C. Fractal rheological models and fractional differential equations for viscoelastic behavior. Rheol. Acta 1994, 33, 210–219. [Google Scholar] [CrossRef]
- Sun, C.; Li, G.; Gomah, M.E.; Xu, J.; Rong, H. Experimental investigation on the nanoindentation viscoelastic constitutive model of quartz and kaolinite in mudstone. Int. J. Coal Sci. Technol. 2021, 8, 925–937. [Google Scholar] [CrossRef]
- Zhang, J.; Zhou, X.; Yin, P. Visco-plastic deformation analysis of rock tunnels based on fractional derivatives. Tunn. Undergr. Space Technol. 2019, 85, 209–219. [Google Scholar] [CrossRef]
- Zhang, L.; Yang, S. Unloading Rheological Test and Model Research of Hard Rock under Complex Conditions. Adv. Mater. Sci. Eng. 2020, 2020, 3576181. [Google Scholar] [CrossRef]










| Confining Pressure/MPa | Seepage/MPa | |||
|---|---|---|---|---|
| 0 | 2 | 4 | 6 | |
| 20 MPa | S-1 | S-2 | S-3 | S-4 |
| Confining Pressure | Seepage Pressure | Deviatoric Stress | Instantaneous Strain | Creep Strain | ||
|---|---|---|---|---|---|---|
| Axial | Circumferential | Axial | Circumferential | |||
| 20 MPa | 0 MPa | 144.45 | 0.581 | −0.264 | 0.036 | −0.060 |
| 162.33 | 0.040 | −0.028 | 0.016 | −0.070 | ||
| 178.22 | 0.044 | −0.038 | 0.018 | −0.101 | ||
| 194.00 | 0.044 | −0.057 | 0.034 | −0.172 | ||
| 210.12 | 0.051 | −0.092 | 0.053 | −0.263 | ||
| 225.73 | 0.056 | −0.140 | - | - | ||
| 2 MPa | 145.59 | 0.59 | −0.310 | 0.025 | −0.069 | |
| 162.00 | 0.043 | −0.035 | 0.020 | −0.091 | ||
| 178.03 | 0.045 | −0.043 | 0.032 | −0.167 | ||
| 194.11 | 0.048 | −0.079 | 0.058 | −0.374 | ||
| 210.10 | 0.068 | −0.159 | - | - | ||
| 4 MPa | 146.81 | 0.609 | −0.322 | 0.028 | −0.074 | |
| 162.77 | 0.047 | −0.036 | 0.018 | −0.102 | ||
| 178.55 | 0.041 | −0.050 | 0.034 | −0.199 | ||
| 194.24 | 0.046 | −0.075 | 0.154 | −1.251 | ||
| 6 MPa | 145.45 | 0.574 | −0.368 | 0.031 | −0.132 | |
| 162.40 | 0.045 | −0.044 | 0.018 | −0.158 | ||
| 178.10 | 0.045 | −0.058 | 0.074 | −0.533 | ||
| 193.72 | 0.125 | −0.808 | - | - | ||
| Seepage Pressure/MPa | ||||||||
|---|---|---|---|---|---|---|---|---|
| 0 | 146 | 26,274 | 5.63 × 105 | 0.1434 | 8.98 × 107 | 1.3990 | 0.0228 | 0.9832 |
| 162 | 25,688 | 7.44 × 106 | 0.3627 | 0.0482 | 0.9619 | |||
| 178 | 26,722 | 3.44 × 106 | 0.3265 | 0.0719 | 0.9759 | |||
| 194 | 26,998 | 2.30 × 106 | 0.3483 | 0.0796 | 0.9744 | |||
| 210 | 26,928 | 1.80 × 106 | 0.4832 | 0.0927 | 0.9853 | |||
| 226 | 26,009 | 3.6 × 105 | 0.9889 | 0.1134 | 0.8926 | |||
| 2 | 146 | 25,875 | 6.18 × 105 | 0.1010 | 9.11 × 107 | 4.1414 | 0.0370 | 0.9794 |
| 162 | 25,356 | 6.69 × 106 | 0.4662 | 0.0491 | 0.9753 | |||
| 178 | 26,452 | 2.77 × 106 | 0.3846 | 0.0830 | 0.9840 | |||
| 194 | 26,369 | 1.44 × 106 | 0.4125 | 0.0882 | 0.9930 | |||
| 210 | 27,654 | 4.11 × 106 | 0.9764 | 0.1517 | 0.8722 | |||
| 4 | 146 | 26,552 | 5.61 × 105 | 0.0878 | 9.02 × 106 | 0.7977 | 0.0681 | 0.9656 |
| 162 | 26,044 | 2.25 × 106 | 0.2506 | 0.0761 | 0.9588 | |||
| 178 | 26,495 | 3.10 × 106 | 0.4525 | 0.0964 | 0.9832 | |||
| 194 | 27,241 | 1.13 × 106 | 0.5317 | 0.1274 | 0.9855 |
Disclaimer/Publisher’s Note: The statements, opinions and data contained in all publications are solely those of the individual author(s) and contributor(s) and not of MDPI and/or the editor(s). MDPI and/or the editor(s) disclaim responsibility for any injury to people or property resulting from any ideas, methods, instructions or products referred to in the content. |
© 2023 by the authors. Licensee MDPI, Basel, Switzerland. This article is an open access article distributed under the terms and conditions of the Creative Commons Attribution (CC BY) license (https://creativecommons.org/licenses/by/4.0/).
Share and Cite
Chen, X.; Zhang, Q.; Ding, X.; Chen, L.; Du, W.; Jiang, H.; Gong, S. Study on the Creep Characteristics and Fractional Order Model of Granite Tunnel Excavation Unloading in a High Seepage Pressure Environment. Sustainability 2023, 15, 4558. https://doi.org/10.3390/su15054558
Chen X, Zhang Q, Ding X, Chen L, Du W, Jiang H, Gong S. Study on the Creep Characteristics and Fractional Order Model of Granite Tunnel Excavation Unloading in a High Seepage Pressure Environment. Sustainability. 2023; 15(5):4558. https://doi.org/10.3390/su15054558
Chicago/Turabian StyleChen, Xingzhou, Quan Zhang, Xinchao Ding, Lili Chen, Wei Du, Hai Jiang, and Sheng Gong. 2023. "Study on the Creep Characteristics and Fractional Order Model of Granite Tunnel Excavation Unloading in a High Seepage Pressure Environment" Sustainability 15, no. 5: 4558. https://doi.org/10.3390/su15054558
APA StyleChen, X., Zhang, Q., Ding, X., Chen, L., Du, W., Jiang, H., & Gong, S. (2023). Study on the Creep Characteristics and Fractional Order Model of Granite Tunnel Excavation Unloading in a High Seepage Pressure Environment. Sustainability, 15(5), 4558. https://doi.org/10.3390/su15054558

