Construction of Green Concrete Incorporating Fabricated Plastic Aggregate from Waste Processing
Abstract
1. Introduction
2. Materials Used and Experimental Details
3. Study Results
3.1. Fresh and Mechanical Properties
3.2. Mechanical Properties and Time
3.2.1. Compressive Strength at Different Curing Periods
3.2.2. Flexural Strength at Different Curing Periods
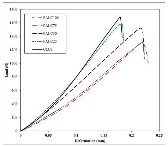
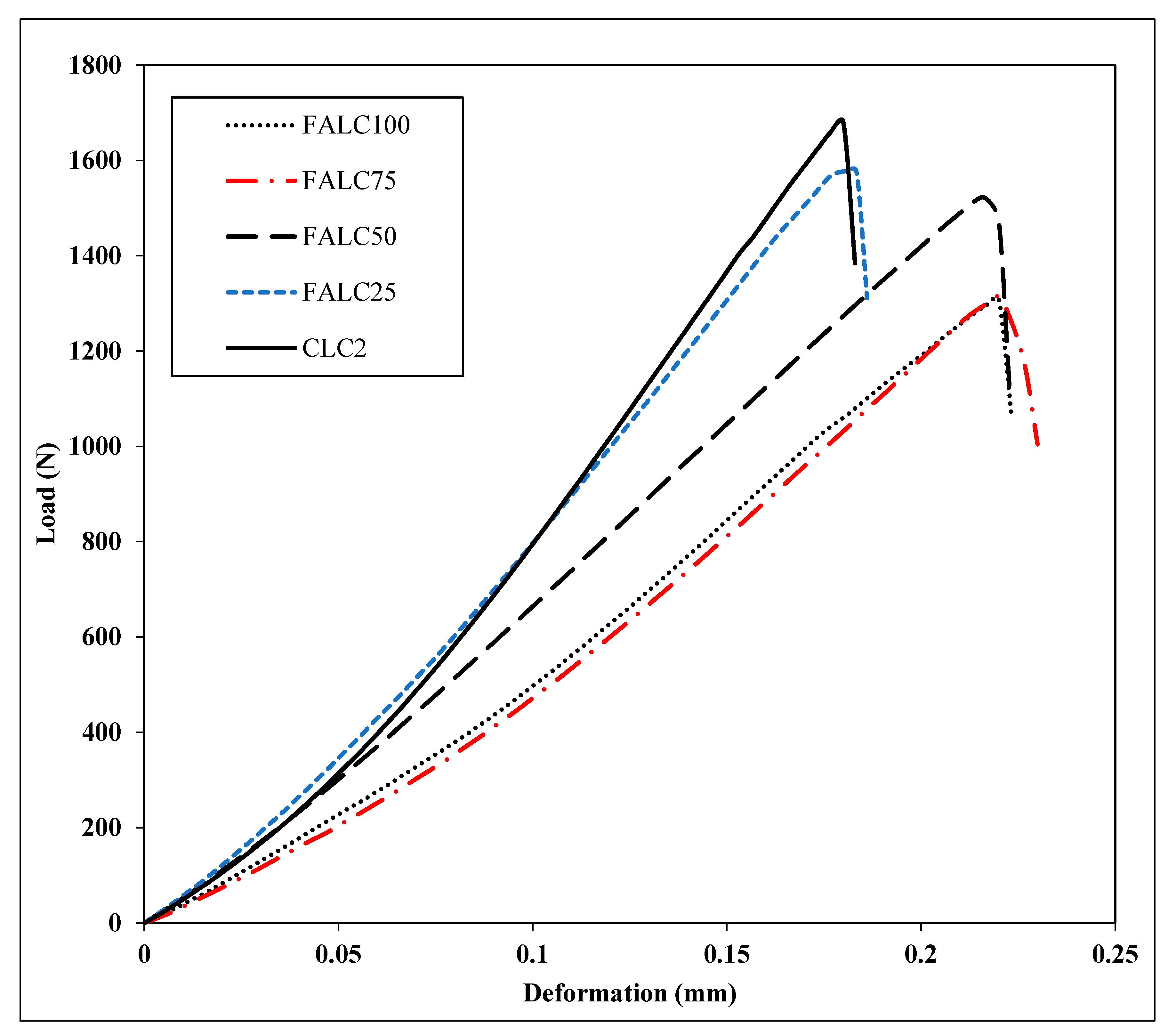
3.2.3. Flexural Deformation
3.3. Durability Related Properties
3.3.1. Water Absorption
3.3.2. Chloride Permeability
3.3.3. Drying Shrinkage
4. Discussion
4.1. Correlation between Dry Density and Compressive Strength
4.2. Correlation between Chloride Permeability and Compressive Strength
5. Conclusions
- Except slump, the fresh as well as the mechanical parameters including dry density, compressive strength, splitting tensile strength and modulus of elasticity have shown a reduction with the addition of fabricated plastic aggregates as compared to typical concrete. The slump increased due to the fluidity created in the mix because of the presence of plastic; concurrently, the decrease in the mechanical properties is mainly related to the weakening of the interfacial bond between the fabricated aggregates and the cement paste, as compared to normal coarse aggregates. The percentage of plastic increases this effect.
- The compressive strength improvement from 28 to 90 days was noted as 21, 16, 12 and 13% at the 25, 50, 75 and 100% replacement of normal coarse aggregates with fabricated plastic aggregates, respectively. During the same curing period, a slight improvement varying between 3 and 11% was observed for flexural strength. In addition, it was also evident from the flexural deformation test that the increase of the replacement percentage of fabricated plastic aggregates extended the failure, showing the more ductile behavior of the resulting concrete.
- The increased water absorption and decreased chloride ion-based permeability was observed with the increase in the addition of fabricated plastic aggregates in the normal concrete. The increased water absorption may be linked to the decrease in the mechanical properties because of the weakened bonding between the plastic aggregates and the cement. Concurrently, the decrease in the chloride ion permeability might be related to the presence of plastic particles, which can form hurdles for the flow of the ions.
- The relations between the dry density, permeability and compressive strength were also examined and equations were proposed for green plastic aggregate concrete. The current study showed an efficient method to utilize plastic waste in large quantities; however, the industrial non-structural applications should be subjected to detailed durability and economic investigations.
Author Contributions
Funding
Institutional Review Board Statement
Informed Consent Statement
Data Availability Statement
Acknowledgments
Conflicts of Interest
References
- Global Waste Statistics—2022—Cheapa Waste Skips. Available online: https://cheapawasteskips.com.au/global-waste-statistics-2022/ (accessed on 19 November 2022).
- Plastic Pollution is Growing Relentlessly as Waste Management and Recycling Fall Short, Says OECD. Available online: https://www.oecd.org/environment/plastic-pollution-is-growing-relentlessly-as-waste-management-and-recycling-fall-short.htm (accessed on 19 November 2022).
- World Recycling Facts for 2022: Plastic, Paper and More|World Economic Forum. Available online: weforum.org (accessed on 19 November 2022).
- EPA. Municipal Solid Waste Generation, Recycling, and Disposal in the United States Detailed Tables and Figures for 2012; US Environmental Protection Agency: Washington, DC, USA, 2014.
- Gu, L.; Ozbakkaloglu, T. Use of recycled plastics in concrete: A critical review. Waste Manag. 2016, 51, 19–42. [Google Scholar] [CrossRef] [PubMed]
- Zafar, I. Sustainable Alternatives for Green Mortar: Quarry Waste and Ultra high fly ash utilization. In IOP Conference Series: Earth and Environmental Science; IOP Publishing: Bristol, UK, 2022; Volume 1026, p. 012034. [Google Scholar]
- Albano, C.; Camacho, N.; Hernandez, M.; Matheus, A.; Gutierrez, A. Influence of content and particle size of waste pet bottles on concrete behavior at different w/c ratios. Waste Manag. 2009, 29, 2707–2716. [Google Scholar] [CrossRef] [PubMed]
- Rahmani, E.; Dehestani, M.; Beygi, M.H.A.; Allahyari, H.; Nikbin, I.M. On the mechanical properties of concrete containing waste PET particles. Constr. Build. Mater. 2013, 47, 1302–1308. [Google Scholar] [CrossRef]
- Juki, M.I.; Awang, M.; Annas, M.M.K.; Boon, K.H.; Othman, N.; Roslan, M.A.; Khalid, F.S. Relationship between compressive, splitting tensile and flexural strength of concrete containing granulated waste Polyethylene Terephthalate (PET) bottles as fine aggregate. In Advanced Materials Research; Trans Tech Publications: Zurich, Switzerland, 2013; Volume 795, pp. 356–359. [Google Scholar]
- Saikia, N.; de Brito, J. Mechanical properties and abrasion behaviour of concrete containing shredded PET bottle waste as a partial substitution of natural aggregate. Constr. Build. Mater. 2014, 52, 236–244. [Google Scholar] [CrossRef]
- Tang, W.C.; Lo, Y.; Nadeem, A.B.I.D. Mechanical and drying shrinkage properties of structural-graded polystyrene aggregate concrete. Cem. Concr. Compos. 2008, 30, 403–409. [Google Scholar] [CrossRef]
- Kou, S.C.; Lee, G.; Poon, C.S.; Lai, W.L. Properties of lightweight aggregate concrete prepared with PVC granules derived from scraped PVC pipes. Waste Manag. 2009, 29, 621–628. [Google Scholar] [CrossRef]
- Wang, R.; Meyer, C. Performance of cement mortar made with recycled high impact polystyrene. Cem. Concr. Compos. 2012, 34, 975–981. [Google Scholar] [CrossRef]
- Ismail, Z.Z.; Al-Hashmi, E.A. Use of waste plastic in concrete mixture as aggregate replacement. Waste Manag. 2008, 28, 2041–2047. [Google Scholar] [CrossRef]
- Rai, B.; Rushad, S.T.; Kr, B.; Duggal, S.K. Study of waste plastic mix concrete with plasticizer. ISRN Civ. Eng. 2012. [Google Scholar] [CrossRef]
- Ferreira, L.; de Brito, J.; Saikia, N. Influence of curing conditions on the mechanical performance of concrete containing recycled plastic aggregate. Constr. Build. Mater. 2012, 36, 196–204. [Google Scholar] [CrossRef]
- Babu, D.S.; Babu, K.G.; Tiong-Huan, W. Effect of polystyrene aggregate size on strength and moisture migration characteristics of lightweight concrete. Cem. Concr. Compos. 2006, 28, 520–527. [Google Scholar] [CrossRef]
- Islam, M.J.; Shahjalal, M. Effect of polypropylene plastic on concrete properties as a partial replacement of stone and brick aggregate. Case Stud. Constr. Mater. 2021, 15, e00627. [Google Scholar] [CrossRef]
- Abu-Saleem, M.; Zhuge, Y.; Hassanli, R.; Ellis, M.; Rahman, Z.; Levett, P. Evaluation of concrete performance with different types of recycled plastic waste for kerb application. Constr. Build. Materials. 2021, 293, 123477. [Google Scholar] [CrossRef]
- Bamigboye, G.O.; Tarverdi, K.; Umoren, A.; Bassey, D.E.; Okorie, U.; Adediran, J. Evaluation of eco-friendly concrete having waste PET as fine aggregates. Clean. Mater. 2021, 2, 100026. [Google Scholar] [CrossRef]
- Castillo, E.R.; Almesfer, N.; Saggi, O.; Ingham, J.M. Light-weight concrete with artificial aggregate manufactured from plastic waste. Constr. Build. Mater. 2020, 265, 120199. [Google Scholar] [CrossRef]
- Belmokaddem, M.; Mahi, A.; Senhadji, Y.; Pekmezci, B.Y. Mechanical and physical properties and morphology of concrete containing plastic waste as aggregate. Constr. Build. Mater. 2020, 257, 119559. [Google Scholar] [CrossRef]
- Tayeh, B.A.; Almeshal, I.; Magbool, H.M.; Alabduljabbar, H.; Alyousef, R. Performance of sustainable concrete containing different types of recycled plastic. J. Clean. Prod. 2021, 328, 129517. [Google Scholar] [CrossRef]
- Hannawi, K.; Kamali-Bernard, S.; Prince, W. Physical and mechanical properties of mortars containing PET and PC waste aggregates. Waste Manag. 2010, 30, 2312–2320. [Google Scholar] [CrossRef]
- Saikia, N.; Brito, J.D. Waste polyethylene terephthalate as an aggregate in concrete. Mater. Res. 2013, 16, 341–350. [Google Scholar] [CrossRef]
- Sabaa, B.; Ravindrarajah, R.S. Engineering properties of lightweight concrete containing crushed expanded polystyrene waste. In Proceedings of the Symposium MM: Advances in Materials for Cementitious Composites, Boston, MA, USA, 1–3 December 1997. [Google Scholar]
- Chen, B.; Liu, J. Properties of lightweight expanded polystyrene concrete reinforced with steel fiber. Cem. Concr. Res. 2004, 34, 1259–1263. [Google Scholar] [CrossRef]
- Fraj, A.B.; Kismi, M.; Mounanga, P. Valorization of coarse rigid polyurethane foam waste in lightweight aggregate concrete. Constr. Build. Mater. 2010, 24, 1069–1077. [Google Scholar] [CrossRef]
- Babu, K.G.; Babu, D.S. Behaviour of lightweight expanded polystyrene concrete containing silica fume. Cem. Concr. Res. 2003, 33, 755–762. [Google Scholar] [CrossRef]
- Togay, O.; Lei, G.; Aliakbar, G. Short-Term Mechanical Properties of Concrete Containing Recycled Polypropylene Coarse Aggregates under Ambient and Elevated Temperature. J. Mater. Civ. Eng. 2017, 29, 04017191. [Google Scholar]
- ASTM C33/C33M-16; Standard Specification for Concrete Aggregates. ASTM International: West Conshohocken, PA, USA, 2016.
- Alqahtani, F.K.; Khan, M.I.; Ghataora, G. Synthetic aggregate for use in concrete. U.S. Patent 8,921,463, 30 December 2014. [Google Scholar]
- ASTM C330/C330M-14; Standard Specification for Lightweight Aggregates for Structural Concrete. ASTM International: West Conshohocken, PA, USA, 2014.
- ASTM C143/C143M-15; Standard Test Method for Slump of Hydraulic-Cement Concrete. ASTM International: West Conshohocken, PA, USA, 2015.
- ASTM C138/C138M-16; Standard Test Method for Density (Unit Weight), Yield, and Air Content (Gravimetric) of Concrete. ASTM International: West Conshohocken, PA, USA, 2016.
- BS EN 12390-7:2009; Testing Hardened Concrete:Density of Hardened Concrete. British Standards Institution: London, UK, 2009.
- ASTM C39/C39M-16; Standard Test Method for Compressive Strength of Cylindrical Concrete Specimens. ASTM International: West Conshohocken, PA, USA, 2016.
- ASTM C496/C496M-11; Standard Test Method for Splitting Tensile Strength of Cylindrical Concrete Specimens. ASTM International: West Conshohocken, PA, USA, 2011.
- ASTM C469/C469M-14; Standard Test Method for Static Modulus of Elasticity and Poisson’s Ratio of Concrete in Compression. ASTM International: West Conshohocken, PA, USA, 2014.
- BS 1881-122:2011; Testing concrete: Method for Determination of Water Absorption. British Standards Institution: London, UK, 2011.
- ASTM C1202-12; Standard Test Method for Electrical Indication of Concrete’s Ability to Resist Chloride Ion Penetration. ASTM International: West Conshohocken, PA, USA, 2012.
- ASTM C157/C157M-14; Standard Test Method for Length Change of Hardened Hydraulic-Cement Mortar and Concrete. ASTM International: West Conshohocken, PA, USA, 2008.
- Wong, S. Use of recycled plastics in a pavement system. In Proceedings of the 35th Conference on Our World in Concrete and Structures, Singapore, 25–27 August 2010. [Google Scholar]
- Sojobi, A.O.; Awolusi, T.F.; Aina, G.B.; Oke, O.L.; Oladokun, M.; Oguntayo, D.O. Ternary and quaternary blends as partial replacement of cement to produce hollow sandcrete blocks. Heliyon 2021, 7, e07227. [Google Scholar] [CrossRef] [PubMed]
- Choi, Y.-W.; Moon, D.-J.; Chung, J.-S.; Cho, S.-K. Effects of waste PET bottles aggregate on the properties of concrete. Cem. Concr. Res. 2005, 35, 776–781. [Google Scholar] [CrossRef]
- Lima, P.R.L.; Leite, M.B.; Santiago, E.Q.R. Recycled lightweight concrete made from footwear industry waste and CDW. Waste Manag. 2010, 30, 1107–1113. [Google Scholar] [CrossRef]
- Slabaugh, S.; Swan, C.; Malloy, R. Development and properties of Foamed synthetic Lightweight Aggregates. In Proceedings of the World of Coal Ash (WOCA) Conference, Covington, KY, USA, 7–10 May 2007. [Google Scholar]
- Jansen, D.; Kiggins, M.; Swan, C.; Malloy, R.; Kashi, M.; Chan, R.; Javdekar, C.; Siegal, C.; Weingram, J. Lightweight fly ash-plastic aggregates in concrete. Transportation Research Record. J. Transp. Res. Board 2001, 44–52. [Google Scholar] [CrossRef]
- Ravindrarajah, R.S. Bearing strength of concrete containing polystyrene aggregate. In Proceedings of the RILEM 8th International Confrence: Durability of Building Materials and Components, Vancouver, BC, Canada, May 30–June 3 1999; pp. 505–514. [Google Scholar]
- Rahman, M.M.; Islam, M.A.; Ahmed, M. Recycling of waste polymeric materials as a partial replacement for aggregate in concrete. In Proceedings of the International Conference on Chemical, Environmental and Biological Sciences, Penang, Malaysia, 11–12 February 2012. [Google Scholar]
- Sojobi, A.O.; Owamah, H.I. Evaluation of the suitability of low-density polyethylene (LDPE) waste as fine aggregate in concrete. Niger. J. Technol. 2014, 33, 409–425. [Google Scholar] [CrossRef]
- Zafar, I.; Sugiyama, T. Laboratory investigation to study the corrosion initiation of rebars in fly ash concrete. Mag. Concr. Res. 2014, 66, 1051–1064. [Google Scholar] [CrossRef]
- Ltifi, M.; Zafar, I. Effect of total substitution of crushed limestone sand on concrete durability. Eur. J. Environ. Civ. Eng. 2022, 26, 121–143. [Google Scholar] [CrossRef]














| Concrete Series | Total Water | Free Water | Cement | Fine Aggregate | Coarse Aggregate | ||
|---|---|---|---|---|---|---|---|
| NCA | PFA | CPA | |||||
| kg/m3 | |||||||
| CLC1 | 302.4 | 225 | 450 | 759 | - | - | 452 |
| CLC2 | 240.3 | 880 | 688 | - | - | ||
| FALC25 | 239 | 847 | 516 | 141 | - | ||
| FALC50 | 237.6 | 815 | 344 | 282 | - | ||
| FALC75 | 236.2 | 782 | 172 | 423 | - | ||
| FALC100 | 234.8 | 750 | - | 565 | - | ||
| Concrete Mixes | Slump (mm) | Fresh Density (kg/m3) | Dry Density (kg/m3) | Compressive Strength (MPa) | Splitting Tensile Strength (MPa) | Modulus of Elasticity (GPa) |
|---|---|---|---|---|---|---|
| CLC1 | 240 | 1876 | 1625 | 33.4 | 2.34 | 17.95 |
| CLC2 | 95 | 2327 | 2183 | 41.8 | 3.58 | 27.82 |
| FALC25 | 140 | 2213 | 2086 | 35.31 | 3.32 | 20.58 |
| FALC50 | 170 | 2139 | 1995 | 31.72 | 2.42 | 15.06 |
| FALC75 | 175 | 2016 | 1896 | 30.41 | 2.36 | 10.66 |
| FALC100 | 190 | 1938 | 1777 | 30.21 | 2.25 | 10.14 |
| Concrete Type | Experimental Results | Predicted Results (MPa) | Percentages Difference between Predicted and Experimental Results | |
|---|---|---|---|---|
| X (kg/m3) | Y (MPa) | Equation (1) | (%) | |
| FALC25 | 2086 | 35.3 | 40.3 | 14.2 |
| FALC50 | 1995 | 31.7 | 36.4 | 14.8 |
| FALC75 | 1896 | 30.4 | 32.1 | 6.6 |
| FALC100 | 1777 | 30.2 | 27 | −10.6 |
| Concrete Type | Experimental Results | Predicted Results | Percentage Difference between the Predicted and Experimental Results | |||
|---|---|---|---|---|---|---|
| x | y | Equation (2) | Equation (3) | Equation (2) | Equation (3) | |
| FALC25 | 35.3 | 4549 | 3975.2 | 5278.8 | –12.6 | 16.04 |
| FALC50 | 31.7 | 2725 | 2776.3 | 4875.8 | 1.9 | 78.9 |
| FALC75 | 30.4 | 1981 | 2343.4 | 4730.3 | 18.3 | 138.7 |
| FALC100 | 30.2 | 1904 | 2276.8 | 4707.9 | 19.6 | 147.3 |
Disclaimer/Publisher’s Note: The statements, opinions and data contained in all publications are solely those of the individual author(s) and contributor(s) and not of MDPI and/or the editor(s). MDPI and/or the editor(s) disclaim responsibility for any injury to people or property resulting from any ideas, methods, instructions or products referred to in the content. |
© 2023 by the authors. Licensee MDPI, Basel, Switzerland. This article is an open access article distributed under the terms and conditions of the Creative Commons Attribution (CC BY) license (https://creativecommons.org/licenses/by/4.0/).
Share and Cite
Alqahtani, F.K.; Zafar, I. Construction of Green Concrete Incorporating Fabricated Plastic Aggregate from Waste Processing. Sustainability 2023, 15, 4114. https://doi.org/10.3390/su15054114
Alqahtani FK, Zafar I. Construction of Green Concrete Incorporating Fabricated Plastic Aggregate from Waste Processing. Sustainability. 2023; 15(5):4114. https://doi.org/10.3390/su15054114
Chicago/Turabian StyleAlqahtani, Fahad K., and Idrees Zafar. 2023. "Construction of Green Concrete Incorporating Fabricated Plastic Aggregate from Waste Processing" Sustainability 15, no. 5: 4114. https://doi.org/10.3390/su15054114
APA StyleAlqahtani, F. K., & Zafar, I. (2023). Construction of Green Concrete Incorporating Fabricated Plastic Aggregate from Waste Processing. Sustainability, 15(5), 4114. https://doi.org/10.3390/su15054114

