Reducing the Erodibility of Sandy Soils Engineered by Cyanobacteria Inoculation: A Laboratory Investigation
Abstract
1. Introduction
- To examine the efficacy of cyanobacteria inoculation by using single native cyanobacteria strains of Nostoc sp. or Calothrix sp. for reducing the erodibility of loosely deposited fine and medium gradation sands tested under severe runoff conditions.
- Establish the nature of the cyanobacteria-developed microstructures for the different gradation sands.
- Explain the relative improvements in hydraulic erosion resistance in terms of the nature of cyanobacteria-developed microstructures formed depending on sand type (gradation) and cyanobacterium strain employed.
2. Experimental
2.1. Materials
2.1.1. Sand Source and Physical Characteristics
2.1.2. Cyanobacterial Solution Formation
2.2. Experimental Program
2.2.1. Preparation of Sand Specimens
2.2.2. Specimen Inoculation and Incubation Procedures
2.2.3. Investigated Specimen Groups
2.2.4. Microstructure Assessment of Treated Sand Specimens
2.2.5. EFA Testing Program and Calculations
3. Results and Analysis
3.1. Visual Appearance of Treated Specimens and SEM Observations
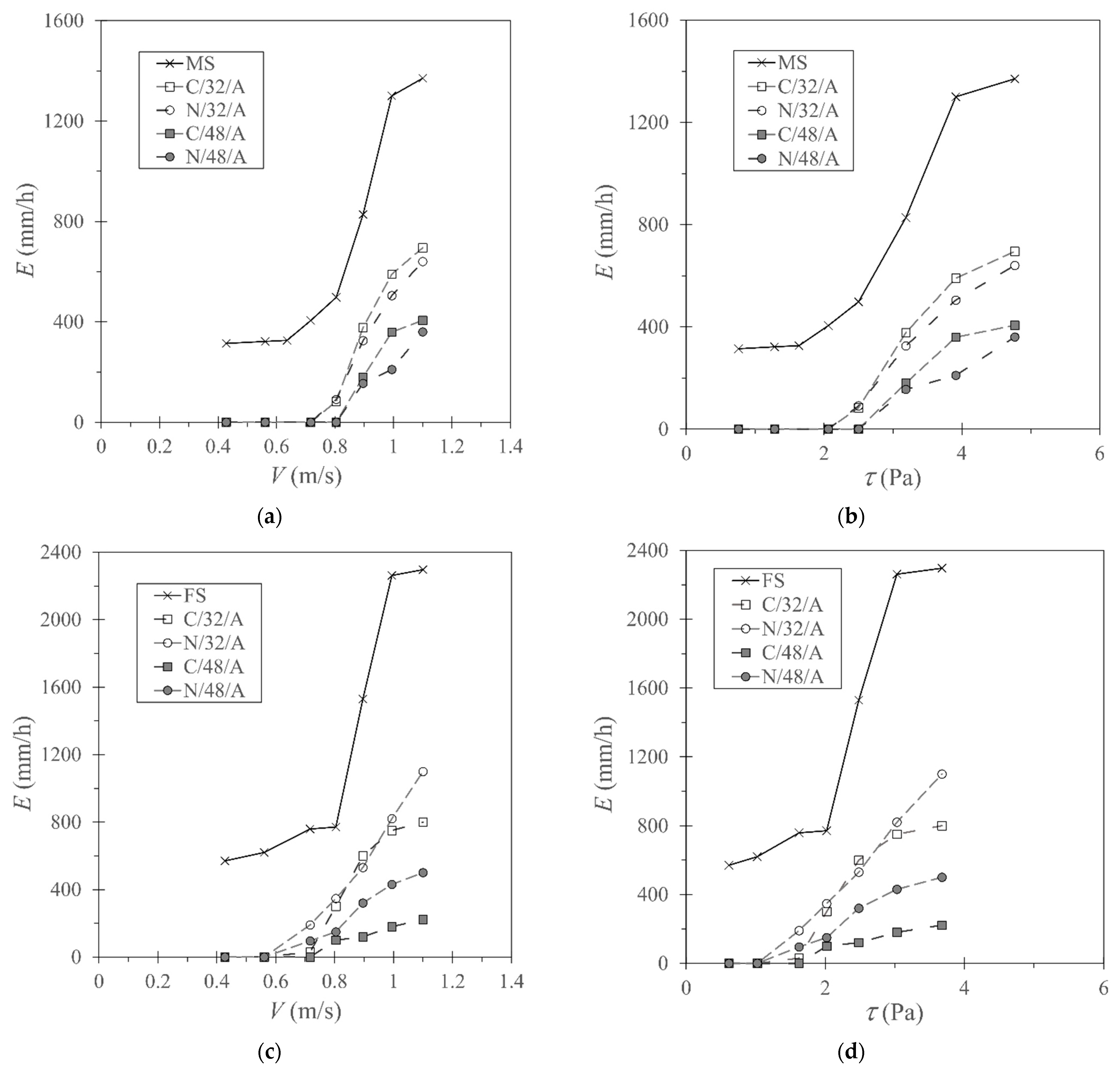
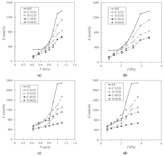
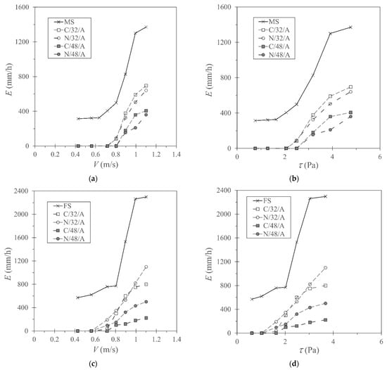
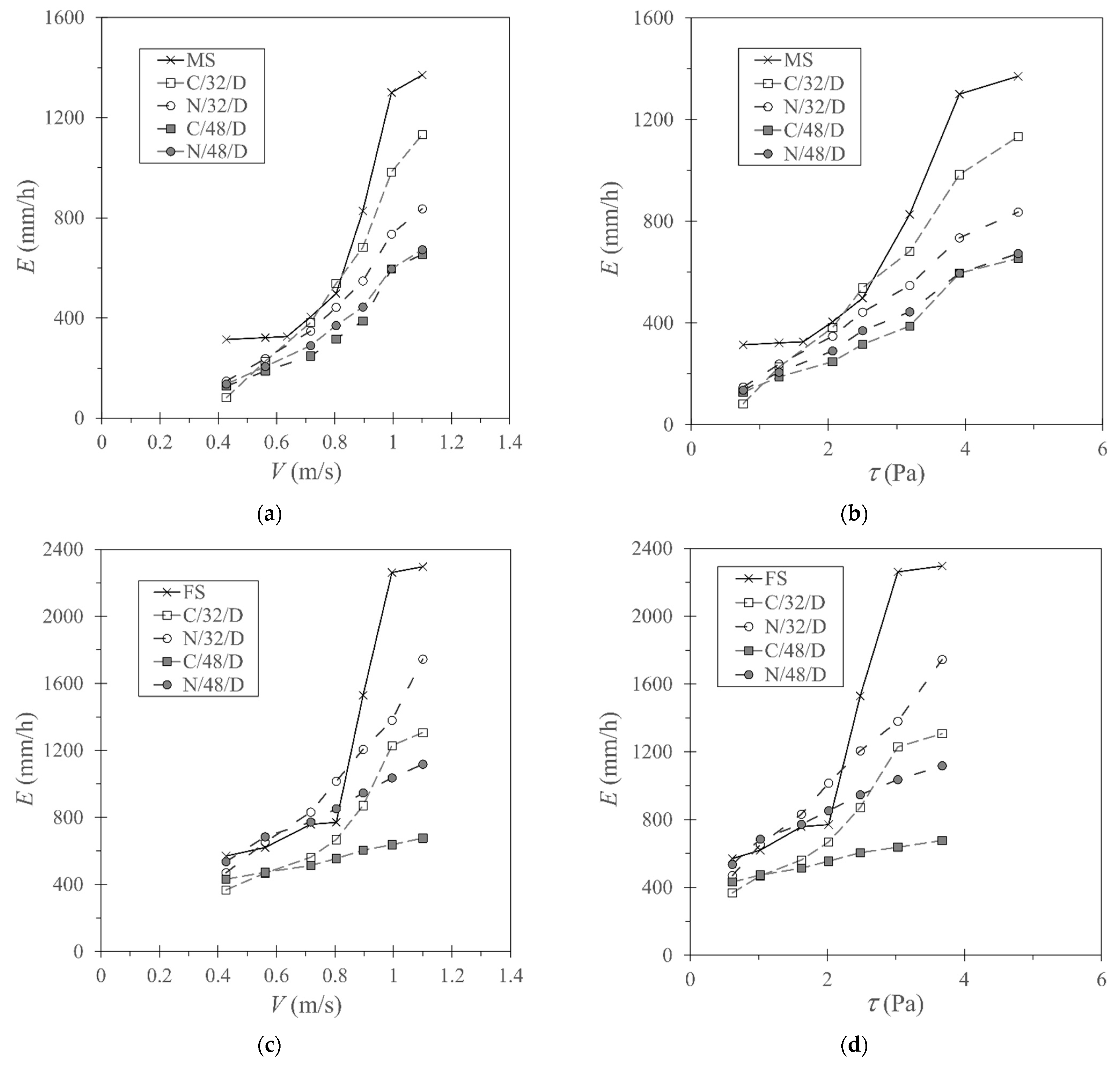
3.2. EFA Test Results
4. Analysis of EFA Test Results
5. Discussion and Recommendations for Future Research
6. Summary and Conclusions
Author Contributions
Funding
Data Availability Statement
Conflicts of Interest
Abbreviations
| BC | bio-crust |
| EC | erosion category |
| EFA | erosion function apparatus |
| EPS | exopolysaccharide |
| FS | fine sand |
| MS | medium sand |
| SEM | scanning electron microscope |
| SP | poorly graded |
| USCS | Unified Soil Classification System |
| Notations | |
| As | specimen cross-sectional area |
| de | mean erosion depth |
| CC | coefficient of curvature |
| CU | coefficient of uniformity |
| D | hydraulic diameter (of EFA conduit) |
| D10 | effective grain size |
| D30 | particle size corresponding to 30 wt% passing |
| D50 | mean particle size |
| D60 | particle size corresponding to 60 wt% passing |
| E | erosion rate |
| f | friction factor |
| KV | erodibility coefficient obtained from E–V erosion function chart |
| Kτ | erodibility coefficient obtained from E–τ erosion function chart |
| Re | Reynold’s number |
| V | mean flow velocity |
| Vc | threshold flow velocity |
| Ve | eroded sand volume |
| Vv | volume of pore voids |
| Δt | time interval (EFA test duration) |
| relative roughness | |
| ν | kinematic viscosity |
| ρw | density of water |
| τ | hydraulic shear stress acting at soil–water interface |
| τc | critical shear stress |
References
- Maier, S.; Schmidt, T.S.B.; Zheng, L.; Peer, T.; Wagner, V.; Grube, M. Specific enrichment of bacterial communities in lichens forming biological soil crusts. Biodivers. Conserv. 2014, 23, 1735–1755. [Google Scholar] [CrossRef]
- Khalilimoghadam, B.; Jabarifar, M.; Bagheri, M.; Shahbazi, E. Effects of land use change on soil splash erosion in the semi-arid region of Iran. Geoderma 2015, 241–242, 210–220. [Google Scholar] [CrossRef]
- Emadodin, I.; Bork, H.R. Degradation of soils as a result of long-term human-induced transformation of the environment in Iran: An overview. J. Land Use Sci. 2012, 7, 203–219. [Google Scholar] [CrossRef]
- Bahrami, A.; Emadodin, I.; Ranjbar Atashi, M.; Bork, H.R. Land-use change and soil degradation: A case study, North of Iran. Agric. Biol. J. N. Am. 2010, 4, 600–605. [Google Scholar]
- Mohammadi, S.; Karimzade, H.R.; Alizadeh, M. Spatial estimation of soil erosion in Iran using RUSLE model. Iran. J. Ecohydrol. 2018, 5, 551–562. [Google Scholar] [CrossRef]
- Mosavi, A.H.; Sajedi-Hosseini, F.; Choubin, B.; Taromideh, F.; Rahi, G.; Dineva, A.A. Susceptibility mapping of soil water erosion using machine learning models. Water 2020, 12, 1995. [Google Scholar] [CrossRef]
- Chen, L.; Xie, Z.; Hu, C.; Li, D.; Wang, G.; Liu, Y. Man-made desert algal crusts as affected by environmental factors in Inner Mongolia, China. J. Arid. Environ. 2006, 67, 521–527. [Google Scholar] [CrossRef]
- Parhizkar, M.; Shabanpour, M.; Lucas-Borja, M.E.; Zema, D.A.; Li, S.; Tanaka, N.; Cerdà, A. Effects of length and application rate of rice straw mulch on surface runoff and soil loss under laboratory simulated rainfall. Int. J. Sediment Res. 2021, 36, 468–478. [Google Scholar] [CrossRef]
- Shahrokhi-Shahraki, R.; Zomorodian, S.M.A.; Niazi, A.; O’Kelly, B.C. Improving sand with microbial-induced carbonate precipitation. Proc. Inst. Civ. Eng.-Ground Improv. 2015, 168, 217–230. [Google Scholar] [CrossRef]
- Amin, M.; Zomorodian, S.M.A.; O’Kelly, B.C. Reducing the hydraulic erosion of sand using microbial-induced carbonate precipitation. Proc. Inst. Civ. Eng.-Ground Improv. 2017, 170, 112–122. [Google Scholar] [CrossRef]
- Zomorodian, S.M.A.; Ghaffari, H.; O’Kelly, B.C. Stabilisation of crustal sand layer using biocementation technique for wind erosion control. Aeolian Res. 2019, 40, 34–41. [Google Scholar] [CrossRef]
- Khatami, H.R.; O’Kelly, B.C. Improving mechanical properties of sand using biopolymers. J. Geotech. Geoenviron. Eng. 2013, 139, 1402–1406. [Google Scholar] [CrossRef]
- Khatami, H.; O’Kelly, B.C. Using Ground Blast-Furnace Slag Grouts with Biopolymer Additives for Improving Sandy Soils. Proc. Inst. Civ. Eng.-Ground Improv. 2022; in press. [Google Scholar] [CrossRef]
- Sujatha, E.R.; O’Kelly, B.C. Biopolymer based soil treatment for geotechnical engineering applications. In Handbook of Biopolymers; Thomas, S., AR, A., Jose Chirayil, C., Thomas, B., Eds.; Springer: Singapore, 2023; 18p. [Google Scholar] [CrossRef]
- Rodríguez-Caballero, E.; Belnap, J.; Büdel, B.; Crutzen, P.J.; Andreae, M.O.; Pöschl, U.; Weber, B. Dryland photoautotrophic soil surface communities endangered by global change. Nat. Geosci. 2018, 11, 185–189. [Google Scholar] [CrossRef]
- Roncero-Ramos, B.; Muñoz-Martín, M.Á.; Chamizo, S.; Fernández-Valbuena, L.; Mendoza, D.; Perona, E.; Cantón, Y.; Mateo, P. Polyphasic evaluation of key cyanobacteria in biocrusts from the most arid region in Europe. PeerJ 2019, 7, e6169. [Google Scholar] [CrossRef] [PubMed]
- Becerra-Absalón, I.; Muñoz-Martín, M.Á.; Montejano, G.; Mateo, P. Differences in the cyanobacterial community composition of biocrusts from the drylands of central Mexico. Are there endemic species? Front. Microbiol. 2019, 10, 937. [Google Scholar] [CrossRef] [PubMed]
- Lorentz, J.F.; Calijuri, M.L.; Assemany, P.P.; Alves, W.S.; Pereira, O.G. Microalgal biomass as a biofertilizer for pasture cultivation: Plant productivity and chemical composition. J. Clean. Prod. 2020, 276, 124130. [Google Scholar] [CrossRef]
- Belnap, J.; Eldridge, D. Disturbance and recovery of biological soil crusts. In Biological Soil Crusts: Structure, Function, and Management; Belnap, J., Lange, O.L., Eds.; Springer: Berlin/Heidelberg, Germany, 2001; pp. 363–383. [Google Scholar] [CrossRef]
- Büdel, B.; Dulić, T.; Darienko, T.; Rybalka, N.; Friedl, T. Cyanobacteria and algae of biological soil crusts. In Biological Soil Crusts: An Organizing Principle in Drylands; Weber, B., Büdel, B., Belnap, J., Eds.; Springer: Cham, Switzerland, 2016; pp. 55–80. [Google Scholar] [CrossRef]
- Malam Issa, O.; Le Bissonnais, Y.; Défarge, C.; Trichet, J. Role of a cyanobacterial cover on structural stability of sandy soils in the Sahelian part of western Niger. Geoderma 2001, 101, 15–30. [Google Scholar] [CrossRef]
- Mager, D.M.; Thomas, A.D. Extracellular polysaccharides from cyanobacterial soil crusts: A review of their role in dryland soil processes. J. Arid. Environ. 2011, 75, 91–97. [Google Scholar] [CrossRef]
- Tiwari, O.N.; Bhunia, B.; Mondal, A.; Gopikrishna, K.; Indrama, T. System metabolic engineering of exopolysaccharide-producing cyanobacteria in soil rehabilitation by inducing the formation of biological soil crusts: A review. J. Clean. Prod. 2019, 211, 70–82. [Google Scholar] [CrossRef]
- Rabiei, A.; Zomorodian, S.M.A.; O’Kelly, B.C. Reducing hydraulic erosion of surficial sand layer by inoculation of cyanobacteria. Proc. Inst. Civ. Eng.-Ground Improv. 2022, 175, 209–221. [Google Scholar] [CrossRef]
- Moghtaderi, A.; Taghavi, M.; Rezaei, R. Cyanobacteria in biological soil crust of Chadormalu area, Bafq region in central Iran. Pak. J. Nutr. 2009, 8, 1083–1092. [Google Scholar] [CrossRef]
- Hu, C.; Zhang, D.; Huang, Z.; Liu, Y. The vertical microdistribution of cyanobacteria and green algae within desert crusts and the development of the algal crusts. Plant Soil 2003, 257, 97–111. [Google Scholar] [CrossRef]
- Lynch, J.M.; Bragg, E. Microorganisms and soil aggregate stability. In Advances in Soil Science; Stewart, B.A., Ed.; Springer: New York, NY, USA, 1985; Volume 2, pp. 133–171. [Google Scholar] [CrossRef]
- Malam Issa, O.; Défarge, C.; Le Bissonnais, Y.; Marin, B.; Duval, O.; Bruand, A.; D’Acqui, L.P.; Nordenberg, S.; Annerman, M. Effects of the inoculation of cyanobacteria on the microstructure and the structural stability of a tropical soil. Plant Soil 2007, 290, 209–219. [Google Scholar] [CrossRef]
- Campbell, S.E. Soil stabilization by prokaryotic desert crust: Implications for Precambrian land biota. Orig. Life 1979, 9, 335–348. [Google Scholar] [CrossRef] [PubMed]
- De Caire, G.Z.; de Cano, M.S.; de Mulé, M.Z.; Palma, R.M.; Colombo, K. Exopolysaccharide of Nostoc muscorum (cyanobacteria) in the aggregation of soil particles. J. Appl. Phycol. 1997, 9, 249–253. [Google Scholar] [CrossRef]
- Belnap, J.; Büdel, B.; Lange, O.L. Biological soil crusts: Characteristics and distribution. In Biological Soil Crusts: Structure, Function, and Management; Belnap, J., Lange, O.L., Eds.; Springer: Berlin/Heidelberg, Germany, 2001; pp. 3–30. [Google Scholar] [CrossRef]
- Rossi, F.; Li, H.; Liu, Y.; De Philippis, R. Cyanobacterial inoculation (cyanobacterisation): Perspectives for the development of a standardized multifunctional technology for soil fertilization and desertification reversal. Earth-Sci. Rev. 2017, 171, 28–43. [Google Scholar] [CrossRef]
- Bailey, D.; Mazurak, A.P.; Rosowski, J.R. Aggregation of soil particles by algae. J. Phycol. 1973, 9, 99–101. [Google Scholar] [CrossRef]
- Rogers, S.L.; Burns, R.G. Changes in aggregate stability, nutrient status, indigenous microbial populations, and seedling emergence, following inoculation of soil with Nostoc muscorum. Biol. Fertil. Soils 1994, 18, 209–215. [Google Scholar] [CrossRef]
- Kheirfam, H.; Sadeghi, S.H.; Darki, B.Z.; Homaee, M. Controlling rainfall-induced soil loss from small experimental plots through inoculation of bacteria and cyanobacteria. Catena 2017, 152, 40–46. [Google Scholar] [CrossRef]
- McKenna Neuman, C.; Maxwell, C.D.; Boulton, J.W. Wind transport of sand surfaces crusted with photoautotrophic microorganisms. Catena 1996, 27, 229–247. [Google Scholar] [CrossRef]
- McKenna Neuman, C.; Maxwell, C. A wind tunnel study of the resilience of three fungal crusts to particle abrasion during aeolian sediment transport. Catena 1999, 38, 151–173. [Google Scholar] [CrossRef]
- Sadeghi, S.H.; Kheirfam, H.; Darki, B.Z. Controlling runoff generation and soil loss from field experimental plots through inoculating cyanobacteria. J. Hydrol. 2020, 585, 124814. [Google Scholar] [CrossRef]
- Chamizo, S.; Mugnai, G.; Rossi, F.; Certini, G.; De Philippis, R. Cyanobacteria inoculation improves soil stability and fertility on different textured soils: Gaining insights for applicability in soil restoration. Front. Environ. Sci. 2018, 6, 49. [Google Scholar] [CrossRef]
- ASTM D2487-17; Standard Practice for Classification of Soils for Engineering Purposes (Unified Soil Classification System). ASTM International: West Conshohocken, PA, USA, 2017.
- Zomorodian, S.M.A.; Soleymani, A.; O’Kelly, B.C. Briefing: Improving erosion resistance of sand using nano-silica additive. Proc. Inst. Civ. Eng.-Ground Improv. 2019, 172, 3–11. [Google Scholar] [CrossRef]
- Allen, M.M. Simple conditions for growth of unicellular blue-green algae on plates. J. Phycol. 1968, 4, 1–4. [Google Scholar] [CrossRef]
- Bullard, J.E.; Ockelford, A.; Strong, C.; Aubault, H. Effects of cyanobacterial soil crusts on surface roughness and splash erosion. J. Geophys. Res. Biogeosci. 2018, 123, 3697–3712. [Google Scholar] [CrossRef]
- Briaud, J.L.; Ting, F.C.K.; Chen, H.C.; Gudavalli, R.; Kwak, K.; Philogene, B.; Han, S.W.; Perugu, S.; Wei, G.; Nurtjahyo, P.; et al. SRICOS: Prediction of Scour Rate at Bridge Piers; Texas Transportation Institute, Texas A&M University: College Station, TX, USA, 1999; Report 2937-1. [Google Scholar]
- Moody, L.F. Friction factors for pipe flow. Trans. ASME 1944, 66, 671–684. [Google Scholar] [CrossRef]
- Briaud, J.L.; Govindasamy, A.V.; Shafii, I. Erosion charts for selected geomaterials. J. Geotech. Geoenviron. Eng. 2017, 143, 04017072. [Google Scholar] [CrossRef]
- Shafii, I.; Shidlovskaya, A.; Briaud, J.L. Investigation into the effect of enzymes on the erodibility of a low-plasticity silt and a silty sand by EFA testing. J. Geotech. Geoenviron. Eng. 2019, 145, 04019001. [Google Scholar] [CrossRef]
- Rippka, R.; Castenholz, R.W.; Herdman, M. Phylum BX. Cyanobacteria. In Bergey’s Manual of Systematic Bacteriology: Volume 1—The Archaea and the Deeply Branching and Phototrophic Bacteria; Boone, D.R., Castenholz, R.W., Garrity, G.M., Eds.; Springer: New York, NY, USA, 2001; Subsection IV; pp. 562–589. [Google Scholar]
- Maqubela, M.P.; Mnkeni, P.N.S.; Malam Issa, O.; Pardo, M.T.; D’Acqui, L.P. Nostoc cyanobacterial inoculation in South African agricultural soils enhances soil structure, fertility, and maize growth. Plant Soil 2009, 315, 79–92. [Google Scholar] [CrossRef]
- Aguilar, A.J.; Huber-Sannwald, E.; Belnap, J.; Smart, D.R.; Moreno, J.T.A. Biological soil crusts exhibit a dynamic response to seasonal rain and release from grazing with implications for soil stability. J. Arid. Environ. 2009, 73, 1158–1169. [Google Scholar] [CrossRef]









| KV (mm.s/m.h) | ↓KV (%) | Kτ (mm/h.Pa) | ↓Kτ (%) | Vc (m/s) | τc (Pa) | Erosion Category | |
|---|---|---|---|---|---|---|---|
| Control | 2024 | – | 323 | – | 0.32 | 0.49 | 2 |
| C/32/D | 1596 | 21.2 | 269 | 16.7 | 0.37 | 0.59 | 2 |
| C/48/D | 808 | 60.0 | 138 | 57.3 | 0.37 | 0.56 | 2 |
| N/32/D | 1048 | 48.2 | 177 | 45.2 | 0.35 | 0.50 | 2 |
| N/48/D | 818 | 59.6 | 138 | 57.3 | 0.37 | 0.50 | 2 |
| C/32/A | 1138 | 43.8 | 199 | 38.4 | 0.72 | 1.80 | 3 |
| C/48/A | 658 | 67.5 | 116 | 64.1 | 0.80 | 2.80 | 3 |
| N/32/A | 1017 | 49.7 | 178 | 44.9 | 0.72 | 1.90 | 3 |
| N/48/A | 515 | 74.6 | 92 | 71.5 | 0.80 | 2.50 | 3 |
| KV (mm.s/m.h) | ↓KV (%) | Kτ (mm/h.Pa) | ↓Kτ (%) | Vc (m/s) | τc (Pa) | Erosion Category | |
|---|---|---|---|---|---|---|---|
| Control | 2901 | – | 658 | – | 0.18 | 0.13 | 1 |
| C/32/D | 1479 | 49.0 | 331 | 49.7 | 0.22 | 0.24 | 2 |
| C/48/D | 374 | 87.1 | 82 | 87.6 | 0.19 | 0.25 | 2 |
| N/32/D | 1825 | 37.2 | 403 | 38.7 | 0.22 | 0.22 | 2 |
| N/48/D | 853 | 70.6 | 185 | 71.8 | 0.19 | 0.25 | 2 |
| C/32/A | 1412 | 51.3 | 315 | 52.1 | 0.69 | 1.50 | 3 |
| C/48/A | 362 | 87.5 | 81 | 87.6 | 0.80 | 2.00 | 3 |
| N/32/A | 1681 | 42.0 | 378 | 42.5 | 0.60 | 1.20 | 3 |
| N/48/A | 823 | 71.6 | 184 | 72.0 | 0.79 | 1.80 | 3 |
| EC | Erodibility Description | τc (Pa) | Vc (m/s) |
|---|---|---|---|
| 1 | Very high | 0.1 | 0.1 |
| 2 | High | 0.2 | 0.2 |
| 3 | Medium | 1.3 | 0.5 |
| 4 | Low | 9.3 | 1.35 |
| 5 | Very low | 62.0 | 3.5 |
| 6 | Non erosive | 500 | 10 |
Disclaimer/Publisher’s Note: The statements, opinions and data contained in all publications are solely those of the individual author(s) and contributor(s) and not of MDPI and/or the editor(s). MDPI and/or the editor(s) disclaim responsibility for any injury to people or property resulting from any ideas, methods, instructions or products referred to in the content. |
© 2023 by the authors. Licensee MDPI, Basel, Switzerland. This article is an open access article distributed under the terms and conditions of the Creative Commons Attribution (CC BY) license (https://creativecommons.org/licenses/by/4.0/).
Share and Cite
Rabiei, A.; Zomorodian, S.M.A.; O’Kelly, B.C. Reducing the Erodibility of Sandy Soils Engineered by Cyanobacteria Inoculation: A Laboratory Investigation. Sustainability 2023, 15, 3811. https://doi.org/10.3390/su15043811
Rabiei A, Zomorodian SMA, O’Kelly BC. Reducing the Erodibility of Sandy Soils Engineered by Cyanobacteria Inoculation: A Laboratory Investigation. Sustainability. 2023; 15(4):3811. https://doi.org/10.3390/su15043811
Chicago/Turabian StyleRabiei, Asma, Seyed Mohammad Ali Zomorodian, and Brendan C. O’Kelly. 2023. "Reducing the Erodibility of Sandy Soils Engineered by Cyanobacteria Inoculation: A Laboratory Investigation" Sustainability 15, no. 4: 3811. https://doi.org/10.3390/su15043811
APA StyleRabiei, A., Zomorodian, S. M. A., & O’Kelly, B. C. (2023). Reducing the Erodibility of Sandy Soils Engineered by Cyanobacteria Inoculation: A Laboratory Investigation. Sustainability, 15(4), 3811. https://doi.org/10.3390/su15043811

