Abstract
Green economic development is a worldwide concern. This paper not only contributes to the advancement of studies pertaining to green development but also offers policy recommendations for China to achieve a green and low-carbon economic transformation from the perspective of outward foreign direct investment (OFDI) and industrial structure. A mechanism for the effects of OFDI and industrial structure upgrading on green total factor productivity (GTFP) is proposed in this study. Based on measurement and analysis of the evolution characteristics of GTFP and industrial structure level of 30 provinces (municipalities and autonomous regions) in China from 2004 to 2019, the spatial Durbin model is applied to test their spatial effects. The findings demonstrate that (1) the overall trend of China’s GTFP and industrial structure level is upward, with obvious regional non-equilibrium and spatial dependence; (2) both OFDI and industrial structure upgrading can promote green development independently, with the spatial spillover effect of Industrial structure advancement being more evident; (3) the synergistic effect between OFDI and industrial structure advancement is greater than that between OFDI and industrial structure rationalization, and the spatial spillover effect on regions with comparable economic development is greater than that of surrounding regions; (4) in view of the different levels of openness between regions, the independent and synergistic effects in coastal regions and non-coastal regions are heterogeneous. Therefore, China should optimize OFDI, promote the efficiency of resource allocation, maximize the technology spillover, and strengthen interregional cooperation in order to transform towards a green economy.
1. Introduction
As global problems such as resource depletion and environmental deterioration become more severe, the majority of developing countries are managing to actively explore the way of economic green transformation. Green development, as a mode of development that achieves a harmonious balance between economy, society, and ecology, is centered on recycling, low-carbon emissions, and sustainability, and the key to it is increasing the efficiency of green development [1,2]. In addition, China’s 14th Five-Year Plan clearly states that “we should focus on high-quality development, coordinate development with green and low-carbon transformation as the main theme, accelerate the optimization and upgrading of industrial structure, and support the timely achievement of the goal of achieving peak carbon and carbon neutrality.” Nowadays, outward foreign direct investment (OFDI) is one of the many influential factors that cannot be ignored for green development. As a significant source of international capital flow, it has a substantial impact on China’s economic development and has emerged as a new force for sustainable economic growth in the new era [3]. According to the data of the Ministry of Commerce, China’s industry-wide OFDI increased 109-fold from 2003 to 2021, reaching USD 145.19 billion, with a 9.2% increase annually. Undoubtedly, China has become one of the world’s leading powers of OFDI, with both flows and stocks consistently placing in the top three worldwide.
The essence of green development is to form a green economic growth mode, whose structural dividend is manifested primarily in the continuous optimization of the industrial structure towards low energy consumption and low pollution [4]. According to the concept of green development, promoting industrial structure modernization and achieving a balance between economic and environmental sustainability are prerequisites for green development. Historical evidence demonstrates that industrial structure upgrading is primarily dependent on the cross-border flow of resources and the operation of global industrial transfer in addition to relying on the mechanism of technological advancement in a country, and OFDI is just essentially a global transfer of capital, technology, management experience, and human capital [5]. As a significant channel for acquiring advanced foreign technology, OFDI is also a considerable incentive for the ongoing industrial structure upgrading. Such being the case, promoting industrial structure upgrading through OFDI is likely to become a crucial means of achieving sustainable, high-quality economic development.
The relationship between OFDI and economic transformation, as well as the relationship between industrial structure and green economic development, have been covered in many studies. As one of the important paths to improve production efficiency and high-quality economic development, OFDI is conducive to promoting the mobility of resources, and the diffusion of experience and knowledge, and may gradually influence the adjustment process of industrial structure through marginal industrial transfer and technological progress. Moreover, a high degree of optimization of industrial structure in a country or region is also an essential requirement for economic transformation as well as an important manifestation of a green and low-carbon economy. Although it is believed that OFDI, industrial structure, and green economy are closely related to each other, few studies comprise all of them in one research framework. Therefore, it will be of great significance to explore a comprehensive interaction mechanism and test the effects.
Based on the above theoretical and practical background, this paper seeks to: i. propose the mechanism underlying the effects of OFDI and industrial structure upgrading on green development; ii. measure the level of industrial structure upgrading and green total factor productivity (GTFP) of China and analyze their spatial and temporal evolution trajectories; iii. consider fully the spatial correlation of variables and develop a spatial econometric model to test the spatial spillover effects; iv. examine the heterogeneity of their effects while taking into account China’s regional imbalance of economic development and openness. Further, the remainder of the paper is divided into several parts. Section 2 presents a literature review and effect mechanisms. Section 3 measures the levels and describes the evolutionary characteristics of both GTFP and industrial structural upgrading. Section 4 introduces empirical models and variables selection. Section 5 demonstrates and explains all empirical results. Finally, Section 6 discusses research conclusions and recommendations.
2. Literature Review and Effect Mechanisms
Energy and environment are not only endogenous variables for economic development but also impose severe limitations on the scale and rate of development. As an improvement of total factor productivity (TFP), GTFP covers energy and the environment in the system for analyzing economic growth and can be used to determine whether a country or region is capable of achieving comprehensive and coordinated development [6,7], so this paper adopts GTFP as a key indicator for green development. Additionally, through reviewing relative studies on OFDI, industrial structure upgrading, and GTFP, this part will propose effect mechanisms as well.
2.1. Literature Review
Regarding whether OFDI can contribute to GTFP, existing studies produce contentious results. One perspective is promotion. Such as technologically lagging countries can achieve technological advancement by investing in technologically advanced countries and utilizing technology diffusion to boost national development [8,9], which was also supported by Potterie and Lichtenberg (2001) [10]. Immediately thereafter, a large group of scholars began to conduct empirical studies utilizing empirical data from China. Zhu et al. (2019) asserted empirically that OFDI increases GTFP in surrounding regions through a spatial spillover mechanism and there is regional heterogeneity in this effect, with significant positive effects on eastern and central regions, but negligible spillover effects on less developed western regions [11]. Liu et al. (2022) discovered that OFDI significantly increases GTFP and that threshold effects exist for environmental regulation, financial development, and human capital [12]. However, the other perspective is inhibition, which argues that OFDI has no significant effect on GTFP and even has a negative effect. Bitzer and Kerekes (2008), for instance, contended empirically that the reverse technology spillover effect of OFDI plays no significant role [13]. Chen and He (2020) also argued that green investment in provinces and cities along the Belt and Road corridor is inefficient [14].
Numerous studies have also confirmed the strong relationship between industrial structure upgrading and GTFP. Comparing empirical data from China and India, Bosworth and Collins (2008) found that industrial upgrading can significantly contribute to an increase in TFP [15]. Yu et al. (2016) noted that industrial structure upgrading enhances GTFP through the routes of production factor substitution and specialized division of labor [16]. Liu et al. (2018) discovered that industrial structure upgrading, energy efficiency, and their synergistic effects can affect GTFP positively [17]. As industrial structure upgrading is a dynamic evolutionary process, a growing number of researchers furtherly separated it into industrial structure advancement and industrial structure rationalization for study. Jiang et al. (2019) revealed that both the advancement and rationalization of industrial structure play a facilitative role [18]. Zhu and Liu (2020) noticed that the impact of industrial structure rationalization is not yet readily apparent [19]. Li (2021) demonstrated that both industrial structure advancement and rationalization have positive spatial spillover effects, with threshold effects of varying degrees [20].
Concerning OFDI and industrial structure upgrading, empirical evidence demonstrated that OFDI motivated by the pursuit of technology has the most pronounced effect on industrial structure upgrading, followed by OFDI motivated by the pursuit of markets and resources [21,22,23]. Meanwhile, OFDI encouraged domestic industrial structure upgrading through mechanisms such as the innovation demonstration effect, enterprise agglomeration effect, industrial competition effect, industrial synergy effect, marginal industrial transfer, and key resource supplementation [24,25,26,27].
In view of the above, there are rich discussions and many results in the existing literature concerning how OFDI or industrial structural upgrading affects GTFP, respectively. However, spatial characteristics are usually neglected in most studies, and there is no direct research integrating all of the three into a systematic framework to discuss both independent effects and synergistic effects, which provides the opportunity for our study to make some improvements.
2.2. Effect Mechanisms
2.2.1. OFDI and GTFP
Existing studies indicate that the impact of OFDI on GTFP has two sides. On one hand, OFDI can produce reverse technology spillover to foster GTFP. Chinese enterprises engage in OFDI through cross-border mergers and acquisitions in order to acquire advanced technology and management expertise. Consequently, they are able to understand the development of cutting-edge technology which would cause them to imitate or increase innovation investment to improve their own innovation capability, thus maintaining their competitive advantage in host countries [28]. The demonstration effect, imitation effect, and competition effect can drive the technological advancement of other regions. Moreover, since the economic system is interconnected, the productivity gains in one industry will spill over to related industries upstream and downstream [29], thereby increasing the overall GTFP. If scarce domestic resources are insufficient to satisfy the economic development needs of multinational enterprises, OFDI by multinational enterprises may induce the flow of research and development (R&D) funds and talents, creating a talent training and mobility effect, and formulating a positive spatial spillover effect.
On the other hand, OFDI may also result in negative scale effects, increase environmental pollution, and impede the growth of GTFP. Although OFDI can shift the industries with greater pollution and energy consumption to more backward regions and achieve low pollutant emissions via the marginal industry transfer effect [30], it can also prompt enterprises to expand in scale, resulting in increased pollution [31], thereby triggering a scale effect that reduces the GTFP of the region and surrounding regions. Moreover, the expansion of OFDI may also result in the reallocation of factor resources in the domestic production sector, thereby squeezing domestic R&D investment and diminishing innovation capacity. Thus, an “R&D crowding-out effect” is generated on domestic firms, inhibiting their ability to increase their GTFP [32]. Given the uncertainty of its impact, this paper proposes the first hypothesis.
Hypothesis 1a.
OFDI can positively boost GTFP in the region and surrounding regions.
Hypothesis 1b.
OFDI can negatively inhibit GTFP in the region and surrounding regions.
2.2.2. Industrial Structure Upgrading and GTFP
Based on historical evidence, industrial structure advancement is conducive to energy conservation and pollution reduction. The gradual transition from primary and secondary industries to tertiary industries is reflective of the industrial structure advancement. The high-tech industry exemplified by the information technology (IT) industry generates externalities and affects the core competitiveness of basic industries and manufacturing industries, stimulates industrial upgrading, and facilitates the transition from a crude to an intensive mode of economic development [33]. Thus, surrounding businesses are enticed to cooperate and learn, prompting them to improve technology and enhance economic development quality, which would benefit the GTFP of the region and the surrounding regions.
Industrial structure rationalization, on the other hand, increases resource utilization and optimizes resource allocation. The different sectors of the market are interlinked in terms of coordination and resource allocation, and it is necessary to adapt the industrial structure to consumer demand and facilitate the flow of factors from inefficient to efficient sectors at a certain stage of economic development [34]. Consequently, it would promote the efficient allocation of resources between industries, strengthen the exchange of knowledge and technology between regions, and facilitate the flow of resource endowments across regions, thereby improving the dynamic equilibrium of the industrial structure, which will enhance the quality of industry and GTFP. Thus, here comes the second hypothesis of this paper.
Hypothesis 2a.
Industrial structure advancement can positively boost the GTFP of the region and surrounding regions.
Hypothesis 2b.
Industrial structure rationalization can positively contribute to GTFP in the region and surrounding regions.
2.2.3. OFDI, Industrial Structure Upgrading and GTFP
As shown in Figure 1, this paper argues that OFDI affects GTFP not only directly, but also in conjunction with industrial structure upgrading. On the one hand, businesses seek new overseas markets for their products or develop new industries through OFDI to increase their competitive advantage [35]. It would serve to transfer the competitive effects of foreign markets to the domestic markets, weed out inefficient enterprises through the “elimination of winners and losers,” and improve the technical level by further learning and utilizing the advanced technology and management experience of upstream and downstream firms in the same production chain. In addition, the emergence of strategic new industries will stimulate national demand for high-technology products, drive the industrial structure advancement to a higher level with effective domestic demand, and attract more senior talents and capital to China, which improve the region and the surrounding regions of GTFP. On the other hand, multinational corporations transfer their marginal industries overseas through OFDI, thereby reducing the environmental pollution in surrounding regions and maximizing local resources and inexpensive labor to intensify production [36]. In addition, they would be able to climb up to high value-added links such as R&D and design, save resources for domestic enterprises to develop, balance the demand and supply structures of enterprises, improve the efficiency of resource use in the region, drive the industrial structure to become rationalized, and ultimately raise China’s GTFP level. This leads to the third hypothesis of this paper.
Figure 1.
Effect mechanism.(Note: OFDI is an abbreviation for outward foreign direct investment and GTFP is an abbreviation for green total factor productivity.)
Hypothesis 3.
OFDI and industrial structure upgrading can synergistically promote GTFP in the region and surrounding regions.
3. Measurement and Evolutionary of GTFP and Industrial Structural Upgrading
3.1. Measurement and Evolutionary of GTFP
3.1.1. Measurement Method
This paper utilizes the Malmquist–Luenberger (ML) index of the slacks-based measure (SBM) model for measurement, which overcomes estimation errors precipitated by excessive inputs or insufficient outputs. The model takes into account both positive outputs (economic development) and negative outputs (environmental pollution), reflecting the essence of green development, and then drawing on the cumulative multiplication concept of Yuan and Xie (2015) [37] to calculate the final GTFP. The specific model is as follows.
Assuming that (, ) and (, ) are input–output quantities in periods and , respectively, the productivity index can be expressed as follows:
The ML index can be decomposed into green efficiency change (EC) and green technical change (TC), with a value greater or less than 1, indicating improvement or regression in the three indicators, respectively.
The input–output descriptions of GTFP are shown in Table 1. Input factors primarily consist of capital, labor, and energy. Capital input is capital stock calculated by using the perpetual inventory method, based on the capital depreciation rate of 10.96% established by Shan (2008) [38], with 2004 serving as the base year, and deflated with the fixed asset investment price index for each calendar year region. Labor input is the total number of employed individuals in each region at the end of the year. Standard coal converted from coal, coke, crude oil, gasoline, paraffin, diesel, fuel, and natural gas is selected as the energy input. The output elements consist of both desirable and undesirable output. Gross domestic product (GDP) is regarded as the desired output by provinces, municipalities, and autonomous regions, deflated by the GDP deflator for 2004. Industrial sulfur dioxide (SO2) and carbon dioxide (CO2) emissions are added as undesirable outputs to provide a comprehensive measure of the economic and social impacts of production activities.
Table 1.
Input–output table for GTFP. (Note: GDP is an abbreviation for gross domestic product, SO2 is an abbreviation for industrial sulfur dioxide and CO2 is an abbreviation for carbon dioxide.)
3.1.2. Evolutionary Characteristics of GTFP
After measuring the ML index by the MAXDEA ULTRA 8 software, determining the GTFP for each region in 2004 to be 1, we calculate the GTFP of each region over the years through cumulative multiplication.
Time Evolution of GTFP
Considering the regional unevenness of China’s economic development and openness, sample regions have been divided into coastal and non-coastal areas. Due to the lack of data from Tibet and the different statistical methods of Hong Kong, Macao, and Taiwan, 30 provinces (municipalities and autonomous regions) in China are finally selected as the study samples. Moreover, by the statistical methods of the National Bureau of Statistics of China, there are 11 provinces (municipalities and autonomous regions) in the coastal region, including Tianjin, Hebei, Liaoning, Shanghai, Jiangsu, Zhejiang, Fujian, Shandong, Guangdong, Guangxi, and Hainan, and 19 provinces (municipalities and autonomous regions) in the non-coastal region, including Beijing, Shanxi, Inner Mongolia, Jilin, Heilongjiang, Anhui, Jiangxi, Henan, Hubei, Hunan, Chongqing, Sichuan, Guizhou, Yunnan, Shaanxi, Gansu, Qinghai, Ningxia, and Xinjiang, and the results are in Figure 2. During the study period, China’s GTFP has exhibited a general upward trend, with small fluctuations in individual years, indicating that the quality of China’s economy is gradually improving after accounting for energy consumption. Since 2007, the GTFP of coastal regions has been considerably higher than that of the entire country, which is presumably due to the fact that coastal regions have historically taken the lead in adopting advanced technology and management practices, thus it is possible to achieve a “win-win” situation in terms of economic development and environmental quality. After 2016, GTFP in non-coastal regions also began to surpass national levels, which is probably due to the fact that 2016 marked the beginning of the 13th Five-Year Plan, the central theme of which is exactly green development. As non-coastal regions gradually received more consideration, their GTFP rose.
Figure 2.
National and regional GTFP trends.
Spatial Evolution Characteristics of GTFP
In this paper, the top ten coastal and non-coastal regions in terms of GTFP in 2019 are designated for a spatial comparison between the first and last years (according to the measurement results, the average value of GTFP in coastal regions in 2019 is ranked by Jiangsu, Zhejiang, Tianjin, Fujian, Guangdong, Shandong, Shanghai, Liaoning, Guangxi, Hainan, and Hebei, while the average value of GTFP in non-coastal regions in 2019 is ranked by Beijing, Chongqing, Jilin, Inner Mongolia, Henan, Jiangxi, Sichuan, Shaanxi, Hunan, Hubei, Gansu, Anhui, Shanxi, Guizhou, Ningxia, Qinghai, Xinjiang, and Heilongjiang) and the results are depicted in Figure 3.
Figure 3.
GTFP development trends of selected regions in 2005 and 2019.
The level of GTFP in all regions in 2005 is close to 1, with no discernible difference. The GTFP for most regions is below 1, with the exception of Zhejiang, Tianjin, Hainan, and Beijing, which indicates that China’s green development as a whole is low in 2005. In 2019, the disparity between coastal and non-coastal regions widened, with most coastal regions exhibiting leapfrog growth, such as Jiangsu, which reached 14.587. While their GTFP levels are already above 1, non-coastal regions, such as Hubei, which reached 1.098, are still far below the average level of coastal regions. The cross-sectional comparison reveals the highly uneven nature of green development in regions with varying degrees of openness.
3.2. Measurement and Evolutionary of Industrial Structure Upgrading
3.2.1. Measurement Method
Industrial structure upgrading is measured from two perspectives: industrial structure advancement (ISA) and industrial structure rationalization (ISR). The ISA refers to the concept of Fu (2010) [39], which forms a three-dimensional vector of the proportion of output value of three industries to GDP: ), measuring the angle θ between and the vector , , of the industry display from a low level to a high level, whose equation is given by the formula below:
The formula for the ISA is then:
In respect of ISR, this paper draws from Gan et al. (2011) and Peng et al. (2020) by introducing the weights of each industry into the Thayer index and taking its inverse [40,41], which is given in the following formula:
where denotes the output value, reflects the number of people employed, represents a specific industry, and n indicates the number of industry sectors.
3.2.2. Evolutionary Characteristics of Industrial Structure Upgrading
Time Evolution of Industrial Structure Upgrading
Figure 4 demonstrates that China’s ISA has generally been on the rise, with the exception of 2008 and 2010, and the decline might result from the financial crisis. The index of ISA exceeded the mean value after 2014, which indicates that the “Belt and Road” Initiative has gradually affected China’s development focus from the secondary industry to the tertiary industry, achieving the dual promotion of economic growth and environmental protection; therefore, the characteristics of ISA have become increasingly significant over time.
Figure 4.
Trends in industrial structure upgrading.
The ISR exhibits a fluctuating upward trend according to Figure 4. The finding indicates that the flow of factors and resource allocation of different industries and the development of different provinces in China are continuously integrating, thereby promoting the ongoing upgrading of industrial structure. In particular, the ISR experienced a decline of 4.35% from 2004 to 2006. The ISA index is above average after 2013, which is likely attributable to the 2013 promotion of China’s comprehensive deepening reform and the rise of the Internet financial platform. These acts promoted the optimal allocation of factors and resources, resulting in the rationalization of China’s industrial structure.
Spatial Evolution Characteristics of Industrial Structure Upgrading
Figure 5 further illustrates the level of ISA and ISR for each region in 2019. Beijing has a higher level of both ISA and ISR, which suggests that Beijing has realized gradual optimization of the industrial structure by allocating resources such as economic development and education rationally. The ISA indexes of Zhejiang, Tianjin, Shanghai, Guangdong, and Beijing are all above 7. The finding indicates that the industrial structure of all Chinese regions is gradually shifting from primary and secondary industries to tertiary industries, and the industrial structure of the majority of regions still requires optimization. Regarding ISR, there is a glaring disparity between different regions. Coastal regions such as Jiangsu, Zhejiang, Tianjin, and Shanghai have a higher level of development and intensive economic growth. Non-coastal areas, however, have a lower level of rationalization, with Shaanxi having the lowest level at 1.973.
Figure 5.
Level of industrial structure in selected regions in 2019.
4. Model Construction and Variables Selection
4.1. Model Construction
Spatial Econometric Model Setting
Considering the possible spatial correlation of GTFP between regions, the following spatial econometric models are constructed:
Models 1 and 2, respectively, are the effects of OFDI and industrial structure upgrading on GTFP. According to the preceding theoretical mechanism, the reverse technology spillover effect of OFDI is realized through industrial structure upgrading. In order to test its applicability, this paper continues to incorporate the interaction term between OFDI and industrial structure upgrading into the spatial Durbin model to generate Models 3 and 4. If the interaction term coefficient is significantly positive, this indicates that OFDI can increase GTFP by upgrading the industrial structure, thereby achieving green growth.
Where , , , denote GTFP, OFDI stock, industrial structure advancement, and industrial structure rationalization in year t of the region i, respectively, and denotes the control variables. denotes the random disturbance term. W is the factor of the spatial weight matrix of the explained and explanatory variables, which is measured using the adjacent matrix and the economic matrix in this study. Since the closer the geographical distance between two regions, the greater the opportunities for economic exchanges and cooperation, the reverse OFDI spillover caused by the cross-regional flow of resources will take a greater spatial spillover effect. The adjacent matrix (can be calculated using the following formula.
Normalize the adjacent matrix and ensure that the sum of items in each row equals 1 in order to simplify the model. If two regions are adjacent, they are spatially positively correlated, whereas the opposite is not. The proximity of Hainan Province to Guangdong Province is assumed to prevent the “island effect.” In addition, this paper also considers the economic matrix, which is attributable to the fact that regions with comparable levels of economic development tend to engage in more frequent economic and trade exchanges and factor exchanges that also result in a spatial spillover effect between regions. The study selects each region’s level of economic development and employs the absolute value of the difference between the average GDP per capita from 2004 to 2019 as the spatial correlation. The economic matrix () can be calculated using the following formula.
is the average real GDP per capita of region over the sample period. When = , the diagonal element is 0.
4.2. Variables Selection and Descriptive Statistics
4.2.1. Variables Selection
GTFP has been measured in the early part. Due to the variance in annual OFDI flows in each region, the OFDI stock in each region is selected and converted to the OFDI stock in CNY using the annual average USD to CNY exchange rate. Industrial structure upgrading is measured by ISA and ISR. Control variables include urbanization rate (UR), human capital (HUM), government intervention (GOV), R&D capital investment (RD), external openness (EXT), and financial development (FIN) according to previous research. Table 2 displays the specific measurement methods and data sources.
Table 2.
Measures of each variable and their sources.
4.2.2. Descriptive Statistics
Since the OFDI statistics of China began in 2003, the period chosen for this paper is 2004 to 2019. Furthermore, all variables are logarithmically processed. Table 3 lists the descriptive statistics of the relevant variables.
Table 3.
Descriptive statistics.
5. Empirical Analysis
5.1. Spatial Autocorrelation Tests
Spatial autocorrelation tests are separated into global spatial autocorrelation test, which measures the overall spatial synergy, and local spatial autocorrelation test, which typically measures the local synergy between surrounding areas.
5.1.1. Global Moran’s Index
The global Moran’s indexes for each variable are calculated. In Table 4, The GTFP, OFDI, ISA, and ISR are all significantly positive, with the exception of 2004 and 2005, indicating that a significant positive spatial correlation exists, and the provincial distribution in China is not random.
Table 4.
Global Moran’s indexes under the two matrices.
In addition, the spatial agglomeration characteristics under the economic matrix are stronger than those under the adjacent matrix. The four variables all exhibit positive spillover effects and significant spatial dependence. The regions with greater GTFP, OFDI, ISA, and ISR often show more spatial “advantage” agglomeration, whereas regions with lower GTFP, OFDI, ISA, and ISR are spatially “disadvantaged” with respect to agglomeration, which proves that a spatial econometric analysis is necessary.
5.1.2. Local Moran’s Index
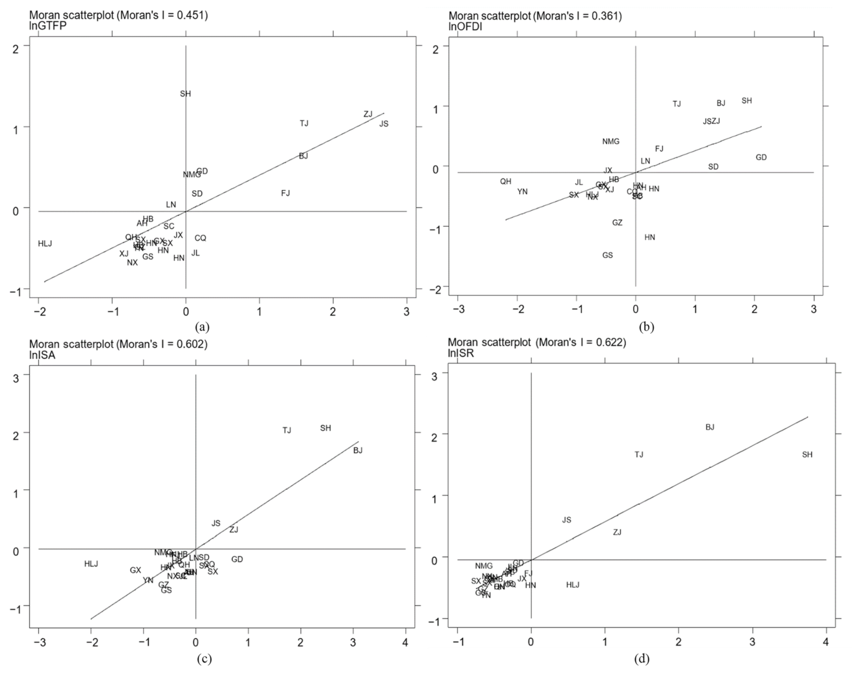
The local Moran scatterplots for each variable within the 2019 economic matrix are further plotted in order to examine the particular spatial characteristics of each variable.
As depicted in Figure 6, all variables are primarily located in the first and third quadrants, indicating that the regions in China are predominantly positively correlated with the development of their surrounding regions. According to the Moran scatterplot of GTFP, Beijing, Tianjin, Jiangsu, and Zhejiang are located in the first quadrant of the high–high (HH) aggregation region; Shanxi, Heilongjiang, Anhui, and Jiangxi are the regions that constitute the third quadrant of the low–low (LL) aggregation region. Overall, the spatial distribution of GTFP in China is composed of HH and LL clusters, and the LL region contains significantly more regions than the HH region. The majority of the regions in the HH region are coastal, whereas the majority of the regions in the LL region are inland. Higher levels of GTFP are typically accompanied by high levels of OFDI and industrial structure, and vice versa. Therefore, the spatial autocorrelation tests allow for a tentative conclusion that OFDI and industrial structure upgrading are conducive to promoting GTFP.
Figure 6.
Local Moran scatterplots for each variable under the 2019 Economic Matrix. (Note: (a–d) in the figure represents the local Moran scatterplots of GTFP, OFDI, ISA, and ISR, respectively; the abbreviations for each province, municipality, and autonomous region stand for scatters).
5.2. Spatial Econometric Models Selection
In order to ensure the robustness of the empirical results and the applicability of the spatial econometric model’s selection, the Hausman test is conducted utilizing Stata 16.0 software prior to the selection of the three spatial econometric models. The p-value for both matrices is 0.000, thus a fixed-effect model is selected. Next, the Lagrange multiplier (LM) test reveals that both the spatial lag model (SLM) and the spatial error model (SEM) are satisfactory, and thus the spatial Durbin model (SDM), which integrates the two, is selected as the most optimal. Subsequently, the Wald and likelihood ratio (LR) tests indicate that the SDM is superior and does not reduce to SLM or SEM (see Table 5 for results). Moreover, among the Fixed effects models, the fitted coefficients of the spatial fixed effects model are greater than those of the time-fixed effects and spatial–time double fixed effects models, and the significance levels of the explanatory variables and spatial lagged terms are greater. Finally, the spatial Durbin model with spatial fixed effects is ultimately designated to explain the effects of OFDI and industrial structure upgrading on GTFP in each region.
Table 5.
Statistical results of LM, Wald, and LR Tests.
5.3. Analysis of Regression Results
Table 6 displays the regression results for the spatial Durbin model with fixed effects. The correlation coefficient ρ of GTFP is positive and passes the 1% significance test from Model 1 to Model 4, indicating a significant spatial interaction of GTFP. The coefficients of OFDI, ISA, and ISR as well as their interaction terms are all significantly positive. In addition, there are also significantly positive spatial spillover effects, which means the OFDI and industrial structure upgrading not only significantly promote the region’s green development, but also impact surrounding regions.
Table 6.
Regression results of the spatial Durbin model under the two matrices.
Since each explanatory variable may affect the explained variable in both the region (direct effect) and the surrounding regions (indirect effect), therefore, the regression results of the spatial Durbin model are further decomposed into direct and indirect effects in this part, with the results shown in Table 7 and Table 8.
Table 7.
Decomposition results of independent effects under the two matrices.
Table 8.
Decomposition results of synergistic effects under the two matrices.
According to the independent effects results in Table 7, the indirect effect of OFDI is significantly positive under both spatial weight matrices, which means every 1% increase in local OFDI will enhance the GTFP of the surrounding area by 0.155% and the regions with similar economic development by 0.317%, so Hypothesis 1a is verified, indicating that OFDI can promote the growth of GTFP. However, this growth is only effective in surrounding regions, and the positive impact on the region fails the significance test. The underlying rationale may be that while OFDI achieves effective diffusion and increases GTFP in surrounding regions through interprovincial factor resource flows, the effects of various investment objectives on the region’s GTFP balance each other out. In accordance with the economic matrix, the coefficients of the direct and indirect effects of ISA and ISR are both positive, thus verifying Hypotheses 2a and 2b. The results are also in line with the studies of Li (2021) [20], as well as Chen and Wang (2021) [43]. Under both matrices, however, only the indirect effect of ISR passes the 1% significance test, that is to say, every 1% increase in local ISR will promote the maximum change in GTFP by 0.970%, indicating that ISR exhibits a significant positive spillover effect on surrounding regions’ GTFP.
With respect to the results of the synergistic effects in Table 8, the coefficients of the direct and indirect effects of the interaction terms are significantly positive according to the economic matrix, thus Hypothesis 3 is verified. Additionally, the coefficients of the economic matrix for the indirect effects are significantly greater than those of the adjacent matrix, indicating that the synergistic effects of OFDI and industrial structure upgrading have a greater positive spatial spillover effect on regions with comparable economic development, which is more conducive to promoting GTFP in the region and other regions with comparable economic growth.
In regard to the control variables, UR and GOV are significantly negative in both matrices, indicating that the lower the GTFP, the higher the urbanization rate and the more government intervention. HUM is significantly negative according to the adjacent matrix, and EXT is significantly negative based on the economic matrix. Under both matrices, RD and FIN contribute significantly to GTFP.
5.4. Regional Heterogeneity Test
Concerning the regional unevenness of China’s economic development and degree of openness, regressions are conducted on coastal and non-coastal regions under the economic matrix to further examine the heterogeneity of the impact of OFDI and industrial structure upgrading on green development. The subsample regression results are presented in Table 9.
Table 9.
Results of the decomposition of spatial spillover effects in coastal and non-coastal areas.
The results of independent effects denote that the indirect effects of OFDI is positive, indicating that it has significant spatial spillover effects on surrounding regions, however, none of its direct effects are noteworthy. It is most likely a result of the fact that coastal regions only contribute to economic growth through crude scale expansion and do not form intensive development through technological innovation, while non-coastal regions have less OFDI and weaker capacity for absorption and transformation, they fail to promote local GTFP significantly. This regional heterogeneity caused by different levels of economic development has also been confirmed in the research of Ouyang (2020) [44]. The indirect effect of ISA is significant only in non-coastal regions, every 1% increase in local ISA will enhance the GTFP of the surrounding areas by 2.319%, that is, only ISA in non-coastal regions significantly contributes to the improvement of GTFP during the sample observation period. The direct and indirect effects of ISA are significantly positive in coastal areas, while the direct effect is significantly negative in non-coastal areas. This may be attributable to differences in geographical location and economic development levels, which leads to a disproportionate dispersion of resource-intensive industries to non-coastal regions and the absence of a balanced allocation between industries. Consequently, this circumstance creates a crowding effect and the “dividend” of economies of scale, causing a rise in environmental pressure.
In terms of the synergistic effects of OFDI and industrial structure upgrading, the coefficients of both direct and indirect effects in coastal areas are significantly positive, indicating that coastal areas contribute significantly to GTFP in the region and surrounding regions. In non-coastal regions, however, the direct effect of OFDI×ISR is significantly negative, and the coefficient is smaller than that of OFDI×ISA under the independent effect. The possible reason may be that, although non-coastal regions have shifted energy-intensive industries through OFDI, industrial development remains at a low level or even forms a path dependence on low-end locking, which suppresses the synergistic effect.
5.5. Robustness Tests
The following robustness tests are conducted for the economic matrix in this paper: firstly, substituting the explanatory variables, with the OFDI stock per capita as the OFDI core explanatory variable, i.e., the OFDI stock is converted to CNY as a proportion of the year-end population in each region; secondly, altering the time frame, as the Chinese government commenced to take certain restrictive measures on capital outflow and the United States government blocked out China’s acquisition of United States enterprises, etc., China’s OFDI dropped dramatically for the first time in 2017, so data after 2017 are omitted from the fitted regressions in order to discount the potential impact of particular years on GTFP. The robustness regression results in Table 10 have similar coefficients and explanatory variable significance levels when compared to Table 6, indicating that the empirical findings are robust.
Table 10.
Robustness regression results.
6. Conclusions and Recommendations
This paper combines OFDI, industrial structure upgrading, and their interaction terms into one single framework and proposes a mechanism for their effects on green development. The empirical testing of a spatial Durbin model with spatial fixed effects is based on panel data from 30 provinces (municipalities and autonomous regions) in China from 2004 to 2019. The findings of the study show that (1) the overall trend of China’s GTFP and industrial structure level is upward, with obvious regional non-equilibrium and spatial dependence; (2) both OFDI and industrial structure upgrading can promote green development independently, with the spatial spillover effect of ISA being more evident; (3) in terms of synergistic effects, the synergistic effect between OFDI and ISA is greater than that between OFDI and ISR, and its spatial spillover effects on regions with comparable economic development are greater than that of surrounding regions; (4) in view of the different levels of openness between regions, both the independent and synergistic effects of OFDI and industrial structure upgrading in coastal regions and non-coastal regions are heterogeneous.
The policy implications based on the empirical study findings are as follows.
Firstly, the government should optimize the country’s opening to the outside world and empower the development of high-quality OFDI. Given the significant spatial spillover effect of OFDI, China’s OFDI investment strategy should emphasize long-term sustainability. Differentiated OFDI policies should be formulated, in order to increase the proportion of technology-seeking OFDI, encourage capital investment in clean technology and high-tech content industries, introduce advanced technology, and facilitate the formation of a new pattern of OFDI development. Chinese and foreign enterprises should also be encouraged to collaborate on the construction of industrial parks and integrated markets abroad. Benefit-sharing and risk-sharing modes should be implemented through the joint development of new industrial bases and new international markets, as well as the innovation of a new mechanism for international investment with joint investment.
Secondly, Chinese authorities should further release the “Structural Dividend” and accelerate the industrial structure upgrading. The advancement and rationalization of industrial structures are verified to contribute significantly to promoting green development. On one hand, they can establish entry criteria for high-emission and high-polluting industries, encourage the transformation and upgrading of polluting industries, and actively foster the expansion of China’s new strategic industries and high-end service industries in order to advance the industrial structures. On the other hand, they can establish industrial mutual cooperation organizations, target the flow of factors, promote the recycling of resources, maximize the efficiency of resource allocation, and finally encourage the rationalization of the industrial structure.
Thirdly, local governments should promote the technology spillover and maximize the synergy between OFDI and industrial structure upgrading. Technology spillover can significantly promote green development in the region and its environs, and that human capital also promotes the realization of green development. Accordingly, regions with high levels of industrial structure should be actively encouraged to engage in OFDI that considers both technology and sustainable development, realize the effective interaction between Chinese talent and technology, and break through the barrier of green technology. For regions with lower levels of industrial structure, it is necessary to continue promoting the international transfer of China’s excess production capacity, prioritize the development of higher education, understand the future direction of high-tech industries and emerging industries, and establish key industries that are compatible with OFDI.
Finally, strategic cooperation should be bolstered between coastal and non-coastal regions in China to achieve maximum spillover effects. According to the heterogeneity of the impact, coastal regions should enhance their policy flexibility, move toward higher levels and higher technology, and actively cultivate new industries to provide non-coastal areas with new development momentum. In contrast, the industrial structure advancement of China’s non-coastal regions has contributed significantly to regional growth, so they should continue to expedite the construction of an industrial upgrading and technological innovation system that is coordinated with the economic development and environmental constraints of the region. In addition, they need to adaptably implement the technological and management expertise gained from OFDI to the industries and actively ascent up the industrial chain to the middle and high end.
Author Contributions
S.X.: review and editing, funding acquisition; Y.Z.: data curation, writing original draft preparation. All authors have read and agreed to the published version of the manuscript.
Funding
This research was funded by The National Social Science Fund of China, grant number 17CJY046.
Institutional Review Board Statement
Not applicable.
Informed Consent Statement
Not applicable.
Data Availability Statement
Some or all data and models that support the findings of this study are available from the corresponding author upon reasonable request.
Conflicts of Interest
The authors declare no conflict of interest.
References
- Zhang, Y.L.; Wu, X.L. Urban green development level and spatio-temporal difference of cities in the National Key Ecological Function Zones and adjacent non-ecological function zones. Acta. Ecol. Sin. 2022, 42, 5761–5777. [Google Scholar]
- Che, L.; Bai, Y.P.; Zhou, L.; Wang, F.; Ji, X.P.; Qiao, F.W. Spatial Pattern and Spillover Effects of Green Development Efficiency in China. Sci. Geogr. Sin. 2018, 38, 1788–1798. [Google Scholar]
- An, M.; Zhang, C. Can Outward Foreign Direct Investment Promote the High-Quality Development of China’s Economy. J. Dalian. Univ. Tech. Soc. Sci. 2022, 43, 47–57. [Google Scholar]
- Hu, A.G.; Zhou, S.J. Green Development: Functional Definition, Mechanism Analysis and Development. Strategy. Chin. J. Popul. Sci. 2014, 24, 14–20. [Google Scholar]
- Jia, N.S.; Han, Y.H.; Zou, J.H. Effects of Two-way FDI on Industrial Restructuring in China: Influence Mechanism and Empirical Test. J. Int. Trade. 2014, 11, 109–120. [Google Scholar]
- Li, N.; Tao, F. Selection of Optimal Environmental Regulation Intensity for Chinese Manufacturing Industry——Based on the Green TFP Perspective. J. China’s Ind. Econ. 2012, 5, 70–82. [Google Scholar]
- Wang, B.; Liu, G.T. Energy Conservation and Emission Reduction and China’s Green Economic Growth——Based on a Total Factor Productivity Perspective. J. China’s Ind. Econ. 2015, 5, 57–69. [Google Scholar]
- Kogut, B.; Chang, S.Z. Technological Capabilities and Japanese Foreign Direct Investment in the United States. Rev. Econ. Stat. 1991, 73, 401–413. [Google Scholar] [CrossRef]
- Andrea, F.; Massimo, M. Multinationals without Advantages. Scand. J. Econ. 1999, 101, 617–630. [Google Scholar]
- Potterie, B.P.; Lichtenberg, F. Does Foreign Direct Investment Transfer Technology across Borders? Rev. Econ. Stat. 2001, 83, 490. [Google Scholar] [CrossRef]
- Zhu, W.T.; Lv, C.R.; Gu, N.H. Research on the influence of OFDI and reverse technology spillover on green total factor productivity. Chin. J. Popul. Sci. 2019, 29, 63–73. [Google Scholar]
- Liu, Q.; Zhong, C.B.; Huang, Y.Z. OFDI and the China’s Industrial Green Total Factor Productivity Based on the Perspective of Environmental Regulation and Absorptive Capacity. Ecol. Econ. 2022, 38, 79–85. [Google Scholar]
- Bitzer, J.; Kerekes, M. Does Foreign Direct Investment Transfer Technology Across Borders? New Evidence. Econ. Lett. 2008, 100, 355–358. [Google Scholar] [CrossRef]
- Chen, Z.H.; He, Z.Y. A Study on the Evaluation of Green Investment Efficiency in Provinces along “The Belt and Road”. J. Nanjing Audit. Univ. 2020, 17, 103–111. [Google Scholar]
- Bosworth, B.; Collins, S.M. Accounting for Growth: Comparing China and India. J. Econ. Perspect. 2008, 22, 45–66. [Google Scholar] [CrossRef]
- Yu, Y.Z.; Liu, R.; Yang, X.Z. Research on the Impact of Industrial Structure Upgrading to TFP in China. Ind. Econ. Rev. 2016, 7, 45–58. [Google Scholar]
- Liu, Y.S.; Tian, T.H.; Luo, Y. Upgrading of Industrial Structure, Energy Efficiency, Green Total Factor Productivity. Theory. Pract. Financ. Econ. 2018, 39, 118–126. [Google Scholar]
- Jiang, X.; Lu, X.H.; Gong, M.Q. Land Leasing Marketization, Industrial Structure Optimization and Urban Green Total Factor Productivity: An Empirical Study based on Hubei Province. Chin. Land. Sci. 2019, 33, 50–59. [Google Scholar]
- Zhu, F.H.; Liu, L.F. Industrial Structure Upgrading and High—Quality Economic Development of China: Based on the Empirical Data from Prefecture—Level Cities and the Above. J. Yunnan. Univ. Financ. Econ. 2020, 36, 42–53. [Google Scholar]
- Li, S. Study on the impact of industrial structure Adjustment on green total factor Productivity. Price. Theory. Pract. 2021, 4, 67–70. [Google Scholar]
- Branstetter, L.G. Are knowledge spillovers international or intranational in scope? Microeconometric evidence from the U.S. and Japan. J. Int. Econ. 2001, 53, 53–79. [Google Scholar] [CrossRef]
- Pan, S.K.; Yuan, R. A theoretical and empirical study on the promotion of industrial upgrading by OFDI with different investment motives. Economist 2014, 9, 69–76. [Google Scholar]
- Zhao, J.Z.; Guo, L.F. Effect of OFDI on Home Country’s Industrial Structure Upgrading: Based on Chinese Provincial Panel Data. Reg. Econ. Rev. 2018, 5, 76–83. [Google Scholar]
- Jiang, M. OFDI and industrial structure upgrading. Asia Pacific. Econ. Rev. 1999, 5, 48–49. [Google Scholar]
- Giuliani, E.; Pietrobelli, C.; Rabellotti, R. Upgrading in Global Value Chains: Lessons from Latin American Clusters. World Dev. 2005, 33, 549–573. [Google Scholar] [CrossRef]
- Li, D.K.; Deng, M. Chinese Inter-Provincial OFDI, Spatial Spillover Effects, and Structural Upgrading of Domestic Industry: An Analysis Based on the Spatial Panel Durbin Model. J. Int. Trade. 2016, 1, 121–133. [Google Scholar]
- Yang, D.X.; Zhou, F. Outward Foreign Direct Investment and The Upgrading of China’s Industrial Structure:Emprical Research based on the Perspective of Capacity Transfer and Technological Progress. Inq. Into Econ. Issues 2020, 10, 124–134. [Google Scholar]
- Song, W.Y.; Han, W.H. Environmental Regulation, OFDI and Industrial Structure Upgrading—Also on the Thershold Effect of Heterogeneous Environmental Regulation. Mod. Econ. Sci. 2021, 43, 109–122. [Google Scholar]
- Tian, H.G.; Liu, Y.L. Path of China’s Outward Direct Investment to Promote Green Total Factor Productivity: A Test of a Multiple Intermediary Model. J. Nanjing. Univ. Financ. Econ. 2020, 2, 84–96. [Google Scholar]
- Wang, L.J. The Impact of China’s ODI on the High-Quality Development of Domestic Economy. Int. Bus. 2019, 5, 56–72. [Google Scholar]
- Fu, J.Y.; Hu, J.; Cao, X. Different Sources of FDI, Environmental Regulation and Green Total Factor Productivity. J. Int. Trade. 2018, 7, 134–148. [Google Scholar]
- Li, H.; Wu, D.S. The Effect of China’s OFDI Reverse Technology Spillover on the Quality of Domestic Products. Mod. Financ. Econ. J. Tianjin. Univ. Financ. Econ. 2020, 40, 68–78. [Google Scholar]
- Han, J.; Sun, Y.W.; Chen, C.F.; Lan, Q.X. Does Industrial Upgrading Promote the Green Growth of Chinese Cities? J. Beijing. Norm. Univ. Soc. Sci. 2019, 3, 139–151. [Google Scholar]
- Zhang, H.; Zhu, S.S.; Zhao, Y.D. A Study on the Promoting Effect of Industrial Structure Optimization on Green Total Factor Productivity Growth—Taking the Yangtze River Economic Belt as an Example. Dist. Econ. 2021, 22, 56–60. [Google Scholar]
- Zhao, W.; Liu, L.; Zhao, T. The Contribution of Outward Direct Investment to Productivity Changes Within China 1991-2007. J. Int. Manage. 2010, 16, 121–130. [Google Scholar] [CrossRef]
- Gong, J.; Yin, Z.M. The Relationship Between Domestic Industrial Structure Upgrading and OFDI under the Initiative of “One Belt and One Road”. J. Harbin. Univ. Comm. 2018, 3, 3–16. [Google Scholar]
- Yuan, Y.J.; Xie, R.H. FDI, Environmental Regulation and Green Total Factor Productivity Growth of China’s Industry: An Empirical Study Based on Luenberger Index. J. Int. Trade. 2015, 8, 84–93. [Google Scholar]
- Shan, H.J. Reestimating the Capital Stock of China: 1952~2006. J. Quant. Tech. Econ. 2008, 25, 17–31. [Google Scholar]
- Fu, L.H. An Empirical Research on Industry Structure and Economic Growth. Stat. Res. 2010, 27, 79–81. [Google Scholar]
- Gan, C.H.; Zheng, R.G.; Yu, D.F. Cyclical Fluctuations and Nonlinear Dynamics of Inflation Rate. Econ. Res. J. 2011, 46, 4–16+31. [Google Scholar]
- Peng, J.Z.; Deng, Q.Q.; Zhong, L. The Impact of China’s Outward Foreign Direct Investment and Industrial Structure Upgrading on Green Economic Development-A Spatial Spillover Analysis Based on Inter-Provincial Panel Data. Jiangxi Soc. Sci. 2020, 40, 48–60. [Google Scholar]
- Barro, R.J.; Lee, J.W. International Comparisons of Educational Attainment. J. Monet. Econ. 1993, 32, 363–394. [Google Scholar] [CrossRef]
- Chen, B.; Wang, W.L. Internet, Industrial Structure Upgrading and Green Total Factor Productivity. Ecol. Econ. 2021, 37, 43–53. [Google Scholar]
- Ouyang, Y.Y.; Huang, X.F.; Zhong, L.M. The Impact of Outward Foreign Direct Investment on Environmental Pollution in Home Country: Local and Spatial Spillover Effects. J. China’s Ind. Econ. 2020, 2, 98–121. [Google Scholar]
Disclaimer/Publisher’s Note: The statements, opinions and data contained in all publications are solely those of the individual author(s) and contributor(s) and not of MDPI and/or the editor(s). MDPI and/or the editor(s) disclaim responsibility for any injury to people or property resulting from any ideas, methods, instructions or products referred to in the content. |
© 2023 by the authors. Licensee MDPI, Basel, Switzerland. This article is an open access article distributed under the terms and conditions of the Creative Commons Attribution (CC BY) license (https://creativecommons.org/licenses/by/4.0/).





