Impact of Chainsaw Power on Fuel and Oil Consumption
Abstract
1. Introduction
2. Materials and Methods
2.1. Object of Research
2.2. Chainsaw Characteristics
2.3. Work Methods
2.4. Energy Consumption Measurement
2.5. Data Analysis
3. Results
3.1. Consumption of Energy
- SP1—fuel consumption y = 83.03e0.04x
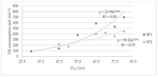
- SP1—oil consumption y = 23.98e0.04x
- SP2—fuel consumption y = 192.30e0.02x
- SP2—oil consumption y = 59.22e0.03x
- y—fuel consumption is expressed in mL tree−1
- x—diameter at breast height (cm).
- SP1—fuel consumption y = −1.36x + 305.77
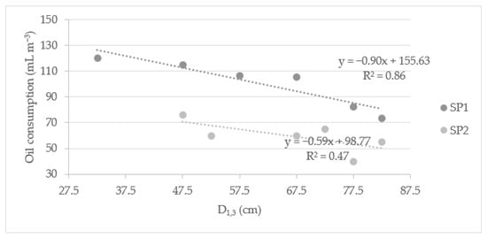
- SP1—oil consumption y = −0.90x + 155.63
- SP2—fuel consumption y = −1.68x + 252.57
- SP2—oil consumption y = −0.59x + 98.77
- y—fuel consumption is expressed in mL m−3.
- x—diameter at breast height (cm).
3.2. Economic Benefit
4. Discussion
5. Conclusions
Author Contributions
Funding
Institutional Review Board Statement
Informed Consent Statement
Data Availability Statement
Conflicts of Interest
References
- Food and Agriculture Organization [FAO]. Forestry Production and Trade. Food and Agriculture Data. 2018. Available online: http://www.fao.org/faostat/en/#data/FO/visualize (accessed on 15 July 2021).
- Moskalik, T.; Borz, S.; Dvořák, J.; Ferenčík, M.; Glushkov, S.; Muiste, P.; Lazdiņš, A.; Styranivsky, O. Timber Harvesting Methods in Eastern European Countries: A Review. Croat. J. For. Eng. 2017, 38, 231–241. [Google Scholar]
- Landekić, M.; Martinić, I.; Mijoč, D.; Bakarić, M.; Šporčić, M. Injury Patterns among Forestry Workers in Croatia. Forests 2021, 12, 1356. [Google Scholar] [CrossRef]
- Danilović, M.; Ćuprić, N. The state of forests in Serbia in terms of their utilization. In Proceedings of the First Serbian Forestry Congress—Future with Forests, Belgrade, Serbia, 11–13 November 2010; pp. 180–190. [Google Scholar]
- Nordfjell, T.; Bacher, M.; Eriksson, L.; Kadlec, J.; Stampfer, K.; Suadicani, K.; Suwala, M.; Talbot, B. Operational factors influencing the efficiency in conversion. In Norway Spruce Conversion-Options and Consequences; Spiecker, H., Hansen, J., Klimo, E., Skovsgaard, J.P., Sterba, H., Von Teuffel, K., Eds.; European Forest Institute Research Report 18; Brill: Leiden, The Netherlands; Boston, MA, USA, 2004. [Google Scholar]
- Silversides, U.; Sundberg, U. Operational Efficiency in Forestry. Volume 2: Practice; C. R. Kluwer Academic: Boston, MA, USA, 1989; p. 169. ISBN 0-7923-0063-7. [Google Scholar]
- Behjou, F.K.; Majnounian, B.; Dvořák, J.; Namiranian, M.; Saeed, A.; Feghhi, J. Productivity and cost of manual felling with a chainsaw in Caspian forests. J. For. Sci. 2009, 55, 96–100. [Google Scholar] [CrossRef]
- Berg, S.; Karjalainen, T. Comparison of greenhouse gas emissionfrom forest operations in Finland and Sweden. Forestry 2003, 76, 271–284. [Google Scholar] [CrossRef]
- Dias, A.C.; Arroja, L. Environmental impacts of eucalypt and maritime pine wood production in Portugal. J. Clean. Prod. 2012, 37, 368–376. [Google Scholar] [CrossRef]
- Morales, M.; Aroca, G.; Rubilar, R.; Acuna, E.; Mola-Yudego, B.; Gonzalez-Garcia, S. Cradle-to-gate life cycle assessment of Eucalyptus globulus short rotation plantations in Chile. J. Clean. Prod. 2015, 99, 239–249. [Google Scholar] [CrossRef]
- Prinz, R.; Spinelli, R.; Magagnotti, N.; Routa, J.; Antti, A. Modifying the settings of CTL timber harvesting machines to reduce fuel consumption and CO 2 emissions. J. Clean. Prod. 2018, 197, 208–217. [Google Scholar] [CrossRef]
- George, A.K.; Kizha, A.R.; Kenefic, L. Timber harvesting on fragile ground and impacts of uncertainties in the operational costs. Int. J. For. Eng. 2022, 33, 12–21. [Google Scholar] [CrossRef]
- Athanassiadis, D. Energy consumption and exhaust emissions in mechanized timber harvesting operations in Sweden. Sci. Total Environ. 2000, 255, 135–143. [Google Scholar] [CrossRef]
- Lijewski, P.; Merkisz, J.; Fuc, P.; Ziolkowski, A.; Rymaniak, L.; Kusiak, W. Fuel consumption and exhaust emissions in the process of mechanized timber extraction and transport. Eur. J. For. Res. 2017, 136, 153–160. [Google Scholar] [CrossRef]
- Markewitz, D. Fossil fuel carbon emissions from silviculture: Impacts on net carbon sequestration in forests. For. Ecol. Manag. 2006, 236, 153–161. [Google Scholar] [CrossRef]
- Vusić, D.; Šušnjar, M.; Marchi, E.; Spina, R.; Zečić, Z.; Picchio, R. Skidding operations in thinning and shel-terwood cut of mixed stands—Work productivity, energy inputs and emissions. Ecol. Eng. 2013, 61, 216–223. [Google Scholar] [CrossRef]
- Popovici, R. Estimating chainsaw operating costs based on fuel, oils and spare parts. Bull. Transilv. Univ. Bras. 2013, 6, 63–68. [Google Scholar]
- Danilović, M.; Đurić, S.; Antonić, S. Efekti rada na poslovima seče i izrade drvnih sortimenata u prorednim sečama bukve. [Effects of work on the operations of felling and wood assortment processing in a beech thinning]. Glas. Šumar. Fak. Univ. Banjoj Luci 2017, 1, 45–62. (In Serbian) [Google Scholar] [CrossRef]
- Danilović, M. Metodika Izrade Normi i Normativa Rada u Šumarstvu [Methodology for the Development of Norms and Work Norms in Forestry]. Monografija; Istraživačko Razvojni i Projektni Centa: Banja Luka, Bosnia and Herzegovina, 2019. (In Serbian) [Google Scholar]
- Danilović, M. Norme i Normativi—Monografija [Norms—Monograph]; Faculty of Forestry, University of Belgrade: Belgrade, Serbia, 2020. (In Serbian) [Google Scholar]
- Halilović, V.; Gurda, S.; Sokolović, Dž.; Music, J.; Bajric, M.; Ganić, E. Fuel and Oils Consumption in the Phase of Harvesting and Processing Wood in Public Enterprise Forest Offices Vareš Section 37; Works of the Faculty of the Forestry University of Sarajevo; University of Sarajevo: Ilidža, Bosnia and Herzegovina, 2012; Volume 42, pp. 31–43. [Google Scholar]
- Halilović, V.; Musić, J.; Bajrić, M.; Sokolović, Dž.; Knežević, J.; Kupusović, A. Analiza potrošnje goriva pri sječi i izradi stabala hrasta kitnjaka na području p.j. Šumarija “Zavidovići”. [Fuel and lubricants consumption during timber felling and processing in the area of p.j. Forest office “Zavidovići”. Šumar. List 2019, 143, 337–345. (In Croation) [Google Scholar] [CrossRef]
- Ghaffariyan, R.; Kuehmaier, M. A Short Review of Fuel Consumption Rates of Whole Tree and Cut-To-Length Timber Harvesting Methods. Curr. Investig. Agric. Curr. Res. 2018, 5, 603–606. [Google Scholar] [CrossRef]
- Udruzenje Šumarskih Inženjera i Tehničara Srbije. Bukva u Srbiji. [Beech in Serbia: (Fagus moesiaca/Domin, Mally/Czeczott.)]; Udruzenje Šumarskih Inženjera i Tehničara Srbije: Belgrade, Serbia, 2005. [Google Scholar]
- Latterini, F.; Venanzi, R.; Stefanoni, W.; Sperandio, G.; Suardi, A.; Civitarese, V.; Picchio, R. Work Productivity, Costs and Environmental Impacts of Two Thinning Methods in Italian Beech High Forests. Sustainability 2022, 14, 11414. [Google Scholar] [CrossRef]
- Galezia, A. Analysis of the duration of basic logging operations performed using a chainsaw. For. Res. Pap. 2014, 75, 25–30. [Google Scholar] [CrossRef]
- Bernardi, B.; Macrì, G.; Falcone, G. Productivity and Life Cycle Assessment (LCA) of Tree Felling by Chainsaw in Thinning of Calabrian Pine Stands. Environ. Sci. Proc. 2022, 22, 10. [Google Scholar] [CrossRef]
- Bajić, V.; Danilović, M. Potrošnja Goriva i Maziva pri Seči u Mladim Hrastovo-Grabovim Sastojinama [Fuel and Lubricant Consumption in Felling the Young Oak-Hornbeam Stands]. Glas. Šumar. Fak. 2002, 86, 59–66. (In Serbian) [Google Scholar] [CrossRef]
- Sever, S.; Horvat, D. Prilog proučavanja potrošnje goriva pri prijevozu drva kamionskim kompozicijama [Fuel consumption study of forest truck assemblies]. Meh. Šumar. 1989, 14, 157–162. (In Croatian) [Google Scholar]
- Eurostat. Roundwood Production. Code: TAG 00072. 2016. Available online: http://ec.europa.eu/eurostat/web/forestry/data/main-tables (accessed on 22 August 2021).
- Skoupy, A.; Klvac, R.; Hosseini, S. Changes in the External Speed Characteristics of Chainsaw Engines with the Use of Mineral and Vegetable Oils. Croat. J. For. Eng. 2010, 31, 149–155. [Google Scholar]
- Stanovský, M.; Schürger, J.; Jankovský, M.; Messingerová, V.; Hnilica, E.; Kučera, M. The Effect of Lubricating Oil on Temperature of Chainsaw Cutting System. Croat. J. For. Eng. 2010, 34, 83–90. [Google Scholar]
- Orawiec, A.; Suryan, L.; Parmigiani, J. An Evaluation of the Performance of Chainsaw Lubricants. Croat. J. For. Eng. 2020, 41, 325–332. [Google Scholar] [CrossRef]
- Colantoni, A.; Mazzocchi, F.; Cossio, F.; Cecchini, M.; Bedini, R.; Monarca, D. Comparisons between battery chainsaws and internal combustion engine chainsaws: Performance and safety. Contemp. Eng. Sci. 2016, 9, 1315–1337. [Google Scholar] [CrossRef]
- Poje, A.; Potočnik, I.; Mihelič, M. Comparison of Electric and Petrol Chainsaws in Terms of Efficiency and Safety When Used in Young Spruce Stands in Small-Scale Private Forests. Small-Scale For. 2018, 17, 411–422. [Google Scholar] [CrossRef]






| Sample plot | Altitude (m) | Terrain Slope (%) | Species | Processed Number of Trees | Average Tree Volume (m3 Tree−1) | Average Diameter of Felled Tree at Breast Height (D1,3) (cm) | The Percentage Share of Firewood in the Total Volume (%) |
|---|---|---|---|---|---|---|---|
| SP1 | 1150 | 10−20 | Beech | 9 | 6.41 | 67 | 9 |
| Fir | 23 | 4.75 | 56 | 15 | |||
| SP2 | Beech | 16 | 5.63 | 73 | 17 | ||
| Fir | 24 | 3.52 | 62 | 10 |
| Technical Characteristics | Husqvarna 372 XP | Husqvarna H 545 |
|---|---|---|
| Cylinder capacity (cm3) | 70.7 | 50.1 |
| Output power (kW) | 3.9 | 2.5 |
| Recommended guide bar length (cm) | 70 | 50 |
| Chainsaw weight without the cutting assembly (kg) | 6.3 | 4.9 |
| Special characteristic | - | X-Torq® technology |
| Combination of Applied Chainsaws | Estimated Wood Volume of High Beech Forests (m3 Year−1) * | Average Fuel Consumption (L m−3) | Average Oil Consumption (L m−3) | Fuel Price by Volume (EUR m−3) ** | Price of Oil by Volume (EUR m−3) ** | Total Fuel Cost (EUR Year−1) | Total Cost of Oils (EUR Year−1) | Total Cost of Energy Carriers (EUR Year−1) |
|---|---|---|---|---|---|---|---|---|
| Two saws Husqvarna 372 XP | 1,000,000 | 0.19 | 0.08 | 0.31 | 0.17 | 310,000 | 170,000 | 480,000 |
| Husqvarna 372 XP and Husqvarna H 545 | 1,000,000 | 0.14 | 0.06 | 0.23 | 0.13 | 230,000 | 130,000 | 360,000 |
| Absolute difference | 0.05 | 0.01 | 0.08 | 0.04 | 80,000 | 40,000 | 120,000 | |
| Percentage difference (%) | 26 | 24 | 25 |
Disclaimer/Publisher’s Note: The statements, opinions and data contained in all publications are solely those of the individual author(s) and contributor(s) and not of MDPI and/or the editor(s). MDPI and/or the editor(s) disclaim responsibility for any injury to people or property resulting from any ideas, methods, instructions or products referred to in the content. |
© 2023 by the authors. Licensee MDPI, Basel, Switzerland. This article is an open access article distributed under the terms and conditions of the Creative Commons Attribution (CC BY) license (https://creativecommons.org/licenses/by/4.0/).
Share and Cite
Antonić, S.; Danilović, M.; Stojnić, D.; Dražić, S. Impact of Chainsaw Power on Fuel and Oil Consumption. Sustainability 2023, 15, 2795. https://doi.org/10.3390/su15032795
Antonić S, Danilović M, Stojnić D, Dražić S. Impact of Chainsaw Power on Fuel and Oil Consumption. Sustainability. 2023; 15(3):2795. https://doi.org/10.3390/su15032795
Chicago/Turabian StyleAntonić, Slavica, Milorad Danilović, Dušan Stojnić, and Srđan Dražić. 2023. "Impact of Chainsaw Power on Fuel and Oil Consumption" Sustainability 15, no. 3: 2795. https://doi.org/10.3390/su15032795
APA StyleAntonić, S., Danilović, M., Stojnić, D., & Dražić, S. (2023). Impact of Chainsaw Power on Fuel and Oil Consumption. Sustainability, 15(3), 2795. https://doi.org/10.3390/su15032795

