Abstract
The Yangtze River Delta urban agglomeration has an extremely important strategic location in the national regional development pattern, is the engine of China’s green economic development, and plays an important role in promoting the green transformation of the national economy. It is important to clarify the region’s current situation and the space–time characteristics of green economic growth. This study uses a super-efficiency dynamic Slacks-Based Measure (SBM) model to measure the green economic growth efficiency (GEGE) of 41 cities in the Yangtze River Delta urban agglomeration. Based on this, the exploratory spatial data analysis (ESDA) method is used to analyze the spatial correlation of the GEGE. Differently from previous studies, this paper evaluates the GEGE based on a dynamic perspective, considering the intertemporal role of capital. At the same time, the space–time analysis of regional systems (STARS) is used to explore the long-term development pattern and transition path of the GEGE in the Yangtze River Delta urban agglomeration. The results show the following: (1) The GEGE in the Yangtze River Delta urban agglomeration shows a fluctuating downward trend. The efficiency values of the Shanghai, Jiangsu, Zhejiang, and Anhui are significantly different, showing the distribution law of “high in the east and low in the west”. (2) The global spatial autocorrelation has weakened, but the characteristics of local agglomeration are obvious. (3) The space–time transitions show high spatial stability and path dependence. The findings highlight that the economic development of the Yangtze River Delta urban agglomeration is undergoing a difficult period of transition. Despite a decline in the GEGE, the overall regional linkage shows a positive trend. The conclusions can provide a reference for enhancing the green economic development of the Yangtze River Delta urban agglomeration. The implications of this research are important for the implementation of a regional integration strategy and the early achievement of the emission peak and carbon neutrality goals.
1. Introduction
Along with the rapid economic growth of the past decades, China’s energy consumption has continued to rise, which has also brought about many challenges such as ecological degradation, environmental pollution, resource depletion, and new urban poverty. These challenges are not only found in China, but other countries around the world are also facing the issues related to environmental degradation owing to economic growth [1,2]. So, how to balance the relationship between economic growth and environmental protection has become key to the transformation of the economic growth model at this stage [3]. Many countries have made efforts to develop a green economy. For example, the European Commission presented a strategic map for a European Green Deal in December 2019 [4]. At the 75th session of the UN General Assembly, China made it clear that “China will increase its autonomous national contribution, adopt stronger policies and measures, and strive to peak its carbon dioxide emissions by 2030 and work towards achieving carbon neutrality by 2060”. All regions of China attach great importance to green development, and local governments have made it a priority to do a better job in achieving “emission peak and carbon neutrality”.
At the same time, with the rapid urbanization of China, the exchange and connection between cities is becoming closer, and the cross-city allocation of factors is becoming more and more obvious. The city’s command and control function is essential to enhancing the economic power of the country. Raźniak et al. found that cities located in developing countries, and China in the first place, have been occupying an increasing position in global command and control [5]. Urban agglomerations are a form of spatial organization in which cities have reached a mature stage of development, generally with one or more mega-cities as the core and three or more large cities as the constituent units. Urban agglomerations have the dual responsibility of economic growth and green development [6,7]. It is crucial to optimize the layout of low-carbon development in urban agglomerations and improve the GEGE in urban agglomerations for the early achievement of the emission peak and carbon neutrality goals. As the region with the fastest economic development and the largest economy, the Yangtze River Delta urban agglomeration is naturally in the spotlight for its low-carbon transition and green economic development [8]. However, as industrialization and urbanization have continued to increase in the Yangtze River Delta urban agglomeration, contradictions between economic growth and environmental protection have become more prominent. This has further resulted in unbalanced green development and inefficient green economic development in the Yangtze River Delta urban agglomeration. Wang Jing’s research team from the Urban Green and Sustainable Development Research Center of the Yangtze River Delta and Yangtze River Economic Belt Development Institute found that the Yangtze River Delta urban agglomeration is characterized by extremely significant spatial non-equilibrium in terms of green innovation, which also leads to spatial differences in green development [9]. Chen et al. pointed out that the Yangtze River Delta urban agglomeration’s green development efficiency appeared unbalanced, with large differences between cities in terms of their green development efficiency [10]. Wang and Li stated that the green development of the Yangtze River Delta urban agglomeration showed significant spatial differences in terms of equilibrium, and there was a provincial division of equilibrium within the urban agglomeration—most of the cities in Shanghai, Jiangsu, and Zhejiang are in a state of equilibrium and comparative equilibrium, but the equilibrium within cities in Anhui Province is low [11]. Thus, the Yangtze River Delta urban agglomeration currently suffers from the unbalanced development of a green economy and a low overall level of green innovation. These problems also indicate that there is a real gap between the level of green economy development of the Yangtze River Delta urban agglomeration and the emission peak and carbon neutrality goals. Sustainable development is crucial to enhancing a country’s comprehensive national power and international status. Green development is one of the indicators of sustainable development. In the current situation of China’s economic development, there is an urgent need to analyze the effectiveness of regional green development.
Therefore, it is essential to clarify the current situation, evolutionary trends, and spatial correlation characteristics of green economic growth efficiency (GEGE) in the Yangtze River Delta urban agglomeration, and on this basis to propose countermeasures to optimize the GEGE in the Yangtze River Delta urban agglomeration. This is of remarkable and eminent practical significance for improving the level of green economic development in the Yangtze River Delta urban agglomeration and other urban agglomerations. Most of the studies on green economic growth efficiency measurement have used the data envelopment analysis (DEA) method, among which the Slacks-Based Measure (SBM) model based on unexpected outputs was the most frequently used. However, the model is static and ignores the intertemporal role of the capital. Based on this, this paper proposes to measure the GEGE of the Yangtze River Delta urban agglomeration from 2004 to 2020 using a super-efficiency dynamic SBM model, and investigates the spatial correlation of the GEGE of the urban agglomeration using exploratory spatial data analysis. Furthermore, this paper puts forward some countermeasures to optimize the GEGE of the Yangtze River Delta urban agglomeration.
The paper is structured as follows: Section 2 summarizes the related literature. Section 3 introduces the construction of the evaluation index system in detail and the research methodology. Section 4 performs simulations and analyses of the green economic growth in the Yangtze River Delta urban agglomeration. Section 6 concludes the study with theoretical contributions and policy implications.
2. Literature Review
2.1. Green Economic Growth and Green Development
Green economic growth was recognized as an effective framework and policy priority, as well as a viable pathway to sustainability [12]. Lorek and Spangenberg argued that, in line with the concept of all types of growth, green economic growth also relies on the promise of technological solutions [13]. Lu et al. defined green economic growth as the combined outcome of an economically and environmentally friendly society with less energy consumption and environmental pollution [14]. Belmonte-Ureña et al. stated that green economic growth emphasizes economic progress with environmental sustainability [15]. Other scholars pointed out that green economic growth refers to a mode of production that includes innovation and invention without any harmful effects on ecosystems [16], and that it is more concerned with “making the growth process resource efficient” and “stimulating demand for green technologies, goods, and services” [17]. In China, growing energy demand and economic performance can be observed in emerging markets [18,19]. However, the consumption of large amounts of non-renewable resources poses a serious threat to the environment. The Chinese government is therefore placing a high priority on green economic growth, which has also raised academic interest. Shang et al. explored the connotation of green economic growth based on existing research results, and found that green economic growth was particularly concerned with the development of economic subsystems, emphasizing the promotion of economic development through technology, innovation, and investment [20]. Xie and Hu pointed out that green economic growth is based on traditional economic growth, with full consideration of factors such as the environment so that the economy can achieve sustainable and high-quality growth [21]. In summary, we see that green economic growth does not only focus on the economic dimension, but also on the ecological and social dimensions, emphasizing the coordinated development of economy, society and ecology. Many scholars have explored the factors influencing green economic growth, such as green innovation [22], environmental regulation [23], public spending [24], green finance [25], and digitalization [26].
The concept of green development has similarities with green economic growth, as both emphasize improving the efficiency of economic development and taking into account social inclusion based on protecting the ecological environment [27]. In terms of differentiation, Shang et al. pointed out that green development focuses on industry, science, and cities, and is characterized by integrated industrial, scientific, and technological knowledge and regional development [20]. Hu and Zhou argued that green development is more inclusive, encompassing both the contradictions between population and economic growth and food and resource availability, which have been the focus of traditional sustainable development, while also highlighting the holistic crisis of climate change for human society [28]. Wu and Song have shown that technological progress is an important factor in driving green development [29]. Li et al. showed that opening up, investment in science and technology, economic agglomeration, and environmental regulation contribute to green development, while industrial structure hinders urban green development [30]. In addition, other studies showed that industrial agglomeration [31] and the digital economy [32] are also important influencing factors for regional green development.
Green development is underpinned by a green economic growth model, which is notably characterized by an increasing share of the green economy. In this paper, the green economic growth of urban agglomerations means that a region can achieve economic and social development while reducing or minimizing resource consumption and environmental damage.
2.2. Green Economic Growth Evaluation
The green economy has gained international recognition through the promotion of UN agencies. Scholars have identified green economic efficiency as a key indicator of green economic growth. In the economic sense, it refers to an economic production system that achieves less environmental costs and more economic output with stable or reduced inputs of production factors, all emphasizing the unity of economic and environmental benefits. Most scholars have conducted research on green economic growth at the national or inter-provincial level. For example, Liao et al., Fan and Sun, and Han et al. used an SBM model based on directional distance functions (DDF), the Global Malmquist–Luenberger index (GML), and the super-efficiency model based on DDF to measure the GEGE in 31 provinces (autonomous regions and municipalities) in China, respectively [22,23,24]. Zhang et al. used the SBM model to measure the GEGE of countries along the Belt and Road [33]. Sun used the super-efficiency SBM model to measure the green total factor productivity in OECD and BRICS countries [34]. With the increasing role of urban agglomerations [35], few studies have been conducted on the GEGE measurement at the city or urban agglomerations level. Li and Liu used an inefficiency model based on directional relaxation to measure and compare the green total factor productivity (TFP) of three major urban agglomerations, namely, Beijing–Tianjin–Hebei, the Yangtze River Delta, and the Pearl River Delta [36]. Ding et al. used the super-efficiency SBM model to measure the industrial green economic growth of 18 important cities in the Yangtze River Delta urban agglomeration [37]. Yu et al. used the SBM model and the Malmquist–Luenberger index (ML) to quantify and analyze the level of green development efficiency of the three major city clusters in the Yangtze River Economic Belt [38].
From the analysis of the literature, the following shortcomings can be found in the existing studies: (1) In terms of research objects, most of them focus on national or inter-provincial levels, while research on agglomerations is still lacking. The few studies that have been conducted around the Yangtze River Delta urban agglomeration have mostly selected 26 or 18 major cities for their studies. However, with the accelerated integration process in China, the Yangtze River Delta urban agglomeration has expanded to 41 cities since 2019. Relevant studies already available struggle to fully explain the development of the green economy in the Yangtze River Delta region. (2) In terms of research methodology, most of the existing studies have measured the GEGE based on single-stage DEA models, such as the SBM model, the super-efficiency model, and the non-radial directional distance function (NDDF) model. In practice, however, any economic activity usually lasts for more than one period. For this type of situation, single-period optimization models do not apply to performance evaluation. Some scholars have also argued that dynamic models can provide more information on changes in efficiency, including DEA window analysis and the Malmquist index [39,40]. However, the above DEA dynamic approaches typically ignore carry-over activity between two consecutive terms, focusing only on independent periods and aiming for local optimization in a single period. To deal with long-term issues, Färe and Grosskopf proposed a dynamic DEA model that incorporates carry-over activities into the model and is applied to evaluate the performance of a decision unit from a long-term perspective [41]. Then, on this basis, Tone and Tsutsui proposed a dynamic DEA model based on slack variables (DSBM), which can evaluate the overall efficiency of a decision unit as well as its long-term efficiency [42]. When the dynamic essence is ignored, previous approaches to measuring GEGE have produced overestimated efficiency values. Some scholars have used the dynamic SBM model to evaluate energy efficiency or eco-efficiency in OECD countries [43], APEC members [44], and Africa [45]. Based on this, the super-efficiency dynamic SBM model, which considers undesirable outputs, is chosen to measure the green economic growth of the Yangtze River Delta urban agglomeration in this paper.
3. Indicator System Construction and Research Methodology
3.1. Indicator System Construction and Data Sources
The index evaluation system is a composite system composed of a series of interrelated factors, which must show objectivity and a scientific nature, as well as the availability of data, and conform to theoretical and practical situations. According to green economic growth efficiency, although there are some differences in the construction of index evaluation index systems in different studies, most of them choose capital input, labor input, and energy input as input indicators, GDP as a desirable output indicator, and pollution emissions as the undesirable output indicators. The process of selecting the indicators in this paper is as follows.
3.1.1. Input Variables
- (1)
- Labor input
Considering the availability and continuity of data, this paper selects the city-wide year-end number of employees as a specific indicator to measure labor input, with data from the China Statistical Yearbook, Jiangsu Statistical Yearbook, Zhejiang Statistical Yearbook, and Anhui Statistical Yearbook, as well as the statistical yearbooks of prefecture-level cities. The linear interpolation method was used to supplement some of the missing data.
- (2)
- Energy input
This paper adopts electricity consumption data as an indicator of energy consumption, which is highly correlated with energy consumption compared to other energy consumption, and the electricity consumption data automatically recorded by electricity meters are more accurate [46]. Therefore, this paper chooses the electricity consumption of the whole city society as a specific indicator to characterize energy input. The data are obtained from the China Urban Statistical Yearbook.
3.1.2. Output Variables
- (1)
- Undesired outputs
Drawing on the references available, this paper selects industrial sulfur dioxide emissions, industrial wastewater emissions, and industrial smoke (dust) emissions as undesired outputs, with data from the China Urban Statistical Yearbook.
- (2)
- The desired output
The desired output is usually measured by GDP or industrial output. This paper selects the regional GDP of each prefecture-level city as an indicator of the desired output. The year 2004 is used as the base period to measure the real GDP of prefecture-level cities at constant prices using the GDP index, with data obtained from the China Urban Statistical Yearbook and the China Statistical Yearbook.
3.1.3. Carry-Over Variable
The dynamic DEA model, in contrast to the single-stage model, requires carry-over variables (Carry-Over) that are passed onto the next period as indirect outputs in the first period and as intermediate inputs in the second period, as well as interactions between the two periods by the carry-over link [42]. The dynamic SBM model has been used to evaluate energy efficiency and eco-efficiency, which provide some informative reference values for this paper in terms of the choice of the carry-over variable. For example, Guo et al. adopted energy stock as the carry-over variable [43], while Tsz-Yi Ke used capital stock as the carry-over variable [44]. Teng et al. used the fixed-asset investment (capital) as the carry-over variable linking periods t and t + 1 [47]. Amowine et al. also used fixed assets as a carry-over variable [45]. Therefore, this paper selects capital stock as the carry-over variable. Since capital stock data are not directly available, this paper draws on existing studies [48,49], using fixed-asset investment data and the perpetual inventory method to estimate the capital stock of each prefecture-level city. The data were obtained from the China Urban Statistical Yearbook and the China Statistical Yearbook.
The specific variables are explained in Table 1, and the time frame of all statistical data is from 2004 to 2020.
Table 1.
Indicator system for the GEGE.
3.2. Research Method
3.2.1. A Super-Efficiency Dynamic SBM Model
Based on the super-efficiency dynamic SBM model with undesired outputs, this paper innovatively evaluates the GEGE of the Yangtze River Delta urban agglomeration from a dynamic perspective. The main idea of the dynamic SBM model is that there are carry-over activities in the current period that may affect efficiency in the next period. Carry-over activities are classified into four categories: desirable/good link, undesirable/bad link, discretionary/free link, and non-discretionary/fixed link. Following the settings of the existing literature, this paper assumes that the Yangtze River Delta urban agglomeration has DMUs to be systematically analyzed in period t. Each DMU has different inputs and outputs in the period, which are then carried forward to the next period (t + 1), as shown in Figure 1.
Figure 1.
Dynamic structure.
The specific parameters of the dynamic SBM model are set as follows: represents the city, ; T is the period, ; There are inputs (); is fixed inputs (); denotes the output (); is the fixed outputs (); represents a carry-over variable with four classifications; is weights.
The unguided model is:
The constraints are:
Equation (2) represents the link between two consecutive periods ( and ). , , , and are slack variables representing input excess, output shortfall, link shortfall, link excess and link deviation, respectively.
The valid solutions are:
To further differentiate the efficiency of the effective DMU, the super-efficiency dynamic SBM model further adds a planning equation and constraints for the effective DMU k. The model is expressed as:
3.2.2. The Meta-Frontier Approach
Due to uneven development, there should be production technology heterogeneities across regions. In order to distinguish heterogeneities, the meta-frontier approach is applied. Suppose that according to the level of economic development, DMUs can be divided into groups, and is the number of DMUs in group .
Then, the group frontier constituted by DMUs in the group can be defined as:
In Equation (6), , and denote the input, desired output, and undesired output indicators of the DMUs within group h, respectively. Unlike the set of the group frontier, the meta-frontier is a convex union of all the group frontiers, which can be defined as follows:
In Equation (7), , and denote the input, desired output, and undesired output indicators of all DMUs, respectively.
3.2.3. Exploratory Spatial Data Analysis
- (1)
- Spatial weight matrix
As the spatial effect decreases with increasing distance, the inverse distance weight matrix based on the inverse of the square is selected for the construction of the spatial weight matrix. The specific expression is as follows.
In Equation (8), is the spatial unit, and is the geographical distance of the spatial unit.
- (2)
- Global spatial autocorrelation index
The global Moran Index (Moran’s I) is used to test the spatial distribution characteristics of the Yangtze River Delta urban agglomeration with the following equation.
In Equation (9), n is the number of sample cities, S2 denotes the variance, and are the GEGE, i and j represent cities, and denotes the spatial weights between cities i and j. The Moran index takes the value range of [−1, 1]. When it is greater than 0, it indicates the existence of positive spatial autocorrelation. When the Moran index is less than 0, it means there is negative spatial autocorrelation, that is, high values are adjacent to low values, and the GEGE shows a discrete distribution. If the Moran index tends to 0, it indicates that the spatial distribution has a random pattern and there is no spatial autocorrelation.
- (3)
- Local spatial autocorrelation index
To measure the spatial correlation characteristics of a region with adjacent regions, the Local Moran Index (Moran’s I) is usually measured using the following formula:
The Local Moran’s I takes values in the range [−1, 1].
4. Empirical Study
4.1. Evaluation of the GEGE in Yangtze River Delta Urban Agglomeration
This paper uses the super-efficiency dynamic SBM model to evaluate the GEGE of the Yangtze River Delta urban agglomeration. The construction of the evaluation indicator system and the data sources are described in detail in Section 3. We use the MaxDEA8Ultra software developed by Cheng [50] to measure the GEGE. All results are shown in Table A1 in the Appendix A.
4.1.1. Discussions from the Perspective of the Whole Globe
Based on the overall longitudinal view, the results in Figure 2 show that the GEGE of the Yangtze River Delta urban agglomeration tends to fluctuate downwards from 2004 to 2020. The overall mean is 0.70, and most cities do not reach the effective state of decision-making units (DMU). From the perspective of green economic growth, the average growth rate of the green economy in the Yangtze River Delta urban agglomeration from 2004 to 2020 is −1.6%, while the average growth rate of real GDP is 9.5%. This shows that the rate of environmental improvement is much slower than the rate of economic growth. The analysis is divided into two phases in this paper. The first phase is 2004–2010, a period of steady fluctuation. The average efficiency of this phase is 0.74, the minimum is 0.71 in 2006, and the maximum is 0.77 in 2007. The possible reasons for the turning point in 2007 are as follows: On the one hand, to ensure the environmental quality of the 2008 Beijing Olympic Games, under the leadership of the CPC Central Committee and the State Council, the country’s environmental protection system has operated efficiently. Positive results have been achieved in energy conservation and emission reduction, environmental infrastructure construction, and environmental economic policies. On the other hand, the global financial crisis in 2008 prompted the Yangtze River Delta to fall into an economic “winter”, with economic growth slowing down significantly. Therefore, in the first phase, the GEGE of the Yangtze River Delta urban agglomeration showed a trend of fluctuating up and then fluctuating down. However, it is generally more stable. The second phase, from 2011 to 2020, is a period of slow decline. The average efficiency of this phase is 0.67, the minimum value is 0.58 in 2020, and the maximum value is 0.71 in 2016. Compared with the previous phase, the average efficiency of this phase significantly decreased. 2011 was the beginning of “the 12th Five-Year Plan” year, when the State Council issued an industrial transformation and upgrading plan. China’s economic growth had slowed down, and some regions even had negative GDP growth. As the only desired output index to evaluate green economic growth, urban real GDP naturally leads to a reduction in the GEGE in the Yangtze River Delta urban agglomeration. During the “13th Five-Year Plan” period, 2016 was the first year in which China’s economy saw stable and sound growth, owing to the good foundation set during the “12th Five-Year Plan”. Therefore, the efficiency value rebounded in 2016. However, the efficiency value of 2017–2020 declined year by year until 2020 to a minimum of 0.58. The reasons for this phenomenon are the following: since the integration of the Yangtze River Delta became a national strategy, the region’s industries have been rapidly integrated and developed, contributing to the rapid recovery of the economy. However, it has also caused serious environmental pollution problems. Table 2 shows the proportion of energy input and pollution emissions that were reduced in 2011 to 2020. It can be seen from Table 2 that, after 2016, both energy input and the proportion of industrial pollution emissions that can be reduced have increased significantly, and the growth efficiency of the green economy has also decreased. In other words, energy use has been inefficient. On the one hand, the Yangtze River Delta as the most developed industrial area in our country has adopted various incentives and regulations to encourage energy saving and emission reduction, yet enterprises as the primary interest group face high development costs or a lack of enthusiasm for green technologies. On the other hand, geographically, the low ecological resilience [51] of the Yangtze River Delta region has significantly increased the difficulty of comprehensive environmental management. Together with the problem of performance, the “neighbor avoidance effect”, and unclear sovereign authority over boundaries, regional environmental collaborative governance is not very active. In addition, further analysis of Table 2 also shows that the ratio of reducible industrial wastewater emissions is consistently lower than the ratio of reducible sulfur dioxide and smoke (dust) emissions. This shows that the Yangtze River Delta urban agglomeration was more effective in wastewater control than in air pollution control. In addition, the ratio of pollution emissions that can be reduced has been increasing year by year since 2016. However, in 2020, the ratio of reductions in wastewater emissions was reduced, while the ratio of reductions in sulfur dioxide and smoke (dust) emissions still increased. Analysis shows that in early 2020, most industrial enterprises were shut down due to the outbreak of COVID-19, and industrial wastewater emissions were therefore lower. However, the enterprises with a high intensity of air pollution emissions, such as the electricity and gas industries, are those that protect the basic needs of the people, and are in continuous operation when most industrial enterprises are shut down. The Yangtze River Delta region is dominated by thermal power generation, which is the main source of smoke (dust) generation. When a large amount of electricity is used to secure the needs of residents rather than industrial production, its efficiency of usage is greatly reduced. At the same time, In the process of prevention and control, the Yangtze River Delta region plays an essential role, relying on its strong market economy and material supply capacity, which consume a lot of manpower, material resources, and financial resources, resulting in the low efficiency of green economic growth in 2020.
Figure 2.
The GEGE of the Yangtze River Delta Urban agglomeration from 2004 to 2020.
Table 2.
The ratio of reducible energy inputs and pollution emissions during 2011–2020.
Based on the horizontal overall view, to intuitively show the level of the GEGE value of the Yangtze River Delta urban agglomeration, this paper uses the ArcGIS software to visually analyze the average efficiency of 41 cities from 2004 to 2020. Figure 3 demonstrates that the Yangtze River Delta urban agglomeration presents an unbalanced spatial distribution of the GEGE. High efficiency and higher efficiency are generally distributed in the eastern coastal areas, while central and western regions are generally less efficient. Shanghai, as the leading city in promoting the integrated development of the Yangtze River Delta region, does not have a significant radiating effect, and only a few surrounding cities (such as Suzhou1—Wuxi, et al.) are driven by Shanghai to develop. Most cities in the central and western regions are less efficient and inefficient, with only Hefei, Bozhou, Chuzhou, and Huangshan being highly efficient. As the capital city of Anhui Province, Hefei has been committed to building a city of science and technology in recent years, and Hefei is a national pilot city of innovation, as well as a pilot zone of a national system promoting comprehensive innovation reform, and a national demonstration zone of independent innovation. Innovation has driven the high-quality development of Hefei’s economy, and thus the efficiency of Hefei’s green economic growth is at a high level. Bozhou, Chuzhou, Huangshan, and Suzhou2, as less developed regions in Anhui, have relatively low undesirable outputs and rich ecological resources, despite their low real GDP ranking. For example, Huangshan and Chuzhou have developed their tourism industries and actively promote low-carbon tourism, which has led to economic growth and environmental protection and improvement, and thus a high efficiency of green economic growth. In addition, it is worth noting that Nanjing, as the capital city of Jiangsu Province and a new first-tier city, does not rank as having high efficiency. The reason for this is that Nanjing has a high number of traditional manufacturing industries, and its industrial emissions have been at a high level. Due to the solidification of the industrial structure, there are greater difficulties in transformation, and many cities in China are facing this situation. In addition, Nanjing’s geographical location is at the border of two provinces, and is lacking in terms cooperation with cities in the province.
Figure 3.
Visualization analysis of the GEGE in Yangtze River Delta Urban agglomeration. Note: Suzhou1 and Taizhou1 are cities in Jiangsu Province, Suzhou2 is a city in Anhui Province, and Taizhou2 is a city in Zhejiang Province.
4.1.2. Discussions from the Perspective of Provinces and Municipalities
From the perspective of provinces and municipalities, it can be seen from Figure 4 that the GEGE values of Shanghai each year are all greater than 1, far ahead in the Yangtze River Delta region, followed by Zhejiang and Jiangsu, and Anhui has the lowest efficiency value. In previous research, it has been found that upgrading the structure of the industrial sector leads to green development [52,53]. According to the statistical data, the ranking of the proportions of the added value of the tertiary industry in the Yangtze River Delta region in 2020 is Shanghai > Zhejiang > Jiangsu > Anhui, and the proportion of the added value of the secondary industry is ranked as Jiangsu > Zhejiang > Anhui > Shanghai. Shanghai is currently in the late stages of industrialization. In recent years, under the guidance of various policies, the manufacturing industry has gradually shifted to the surrounding cities. As a result, Shanghai has ushered in the climax of green development, dominated by the development of the tertiary industry and the overall outward transfer of the manufacturing industry. Therefore, it can maintain an upward trend when the overall regional GEGE of the Yangtze River Delta declines. Zhejiang and Jiangsu are both in the middle and late industrialization stages, while Anhui is in the middle of industrialization. Both Jiangsu and Zhejiang are large manufacturing provinces, but the difference is that the former favors heavy industry, while the latter favors light industry. The direct economic benefits of heavy industry are not as significant as those of light industry, and heavy industry causes more prominent environmental pollution problems, so Jiangsu initially lagged behind Zhejiang in terms of the GEGE. However, with the development of science and technology innovation and industrial structure transformation, the gap between the two provinces has almost disappeared in recent years, and the GEGE has almost overlapped. Anhui is mainly undertaking many labor-intensive industries and some capital-intensive industries. The problem of Anhui’s uncoordinated industrial structure is more prominent, and its economic development lags behind Jiangsu, Zhejiang, and Shanghai, while its GEGE is also the lowest. However, in recent years, with the acceleration of the integration process of the Yangtze River Delta, the gap between Jiangsu, Zhejiang, and Anhui has gradually narrowed.
Figure 4.
The GEGE of three provinces and one city in the Yangtze River Delta.
4.1.3. Heterogeneity Analysis
The Yangtze River Delta urban agglomeration consists of three provinces and one city. Due to their different levels of economic development, the GEGE and its growth sources undoubtedly show discrepancies in different provinces and municipalities. Therefore, based on the meta-frontier theory, this paper further measures the GEGE of the Yangtze River Delta urban agglomeration using the super-efficiency dynamic SBM model, considering heterogeneity. This paper groups the DMUs by administrative regions, and measures the GEGE of the three provinces and one city under the meta-frontier and group-frontier, respectively. As can be seen from Figure 5, GEGE1 is the average value of the GEGE of the three provinces and one city under the meta-frontier. GEGE2 measures the average value of the GEGE of the three provinces and one city under the group-frontier. A comparative analysis shows that when the GEGEs of the three provinces and one city are evaluated separately considering regional heterogeneity, the average efficiency values of all are improved. Among them, Shanghai has improved to a lesser extent, while Anhui Province has improved the most. This shows that Shanghai has a potentially optimal level of green economic growth, and leads the development of the Yangtze River Delta region, while Anhui Province is lagging in the region. In addition, the GEGE2 of Jiangsu province is higher than the GEGE2 of Zhejiang province, while the GEGE1 is smaller. Jiangsu has a higher level of economic development than Zhejiang, but the development within the province is very unbalanced, thus causing Jiangsu’s GEGE to lag behind Zhejiang’s under the meta-frontier.
Figure 5.
Comparison of GEGEs considering regional heterogeneity. Note: GEGE1 is the average value of the GEGE under the meta-frontier, and GEGE2 is the average value of the GEGE under the group-frontier.
4.2. Spatial Correlation Analysis of the GEGE in Yangtze River Delta Urban Agglomeration
In this paper, a test of spatial autocorrelation features is performed by constructing a spatial inverse distance weight matrix. Table 3 reports the results of the global Moran’s I to measure for the 41 cities in the Yangtze River Delta urban agglomeration from 2004 to 2020. As can be seen from Table 3, the GEGE of the Yangtze River Delta urban agglomeration has significant positive spatial autocorrelation, and only the Moran’s I measure for 2019 fails the significance test. However, the Moran’s I values stay within the range of [0.003, 0.104], which means that the spatial autocorrelation of the 41 cities in the Yangtze River Delta urban agglomeration is weak. Figure 6 shows the trend of global Moran’s I. The GEGE of the Yangtze River Delta urban agglomeration generally shows a W-shaped fluctuation trajectory during the sample period, and shows a downward trend.
Table 3.
Spatial autocorrelation test of the GEGE in the Yangtze River Delta urban agglomeration.
Figure 6.
Global Moran’s I trend.
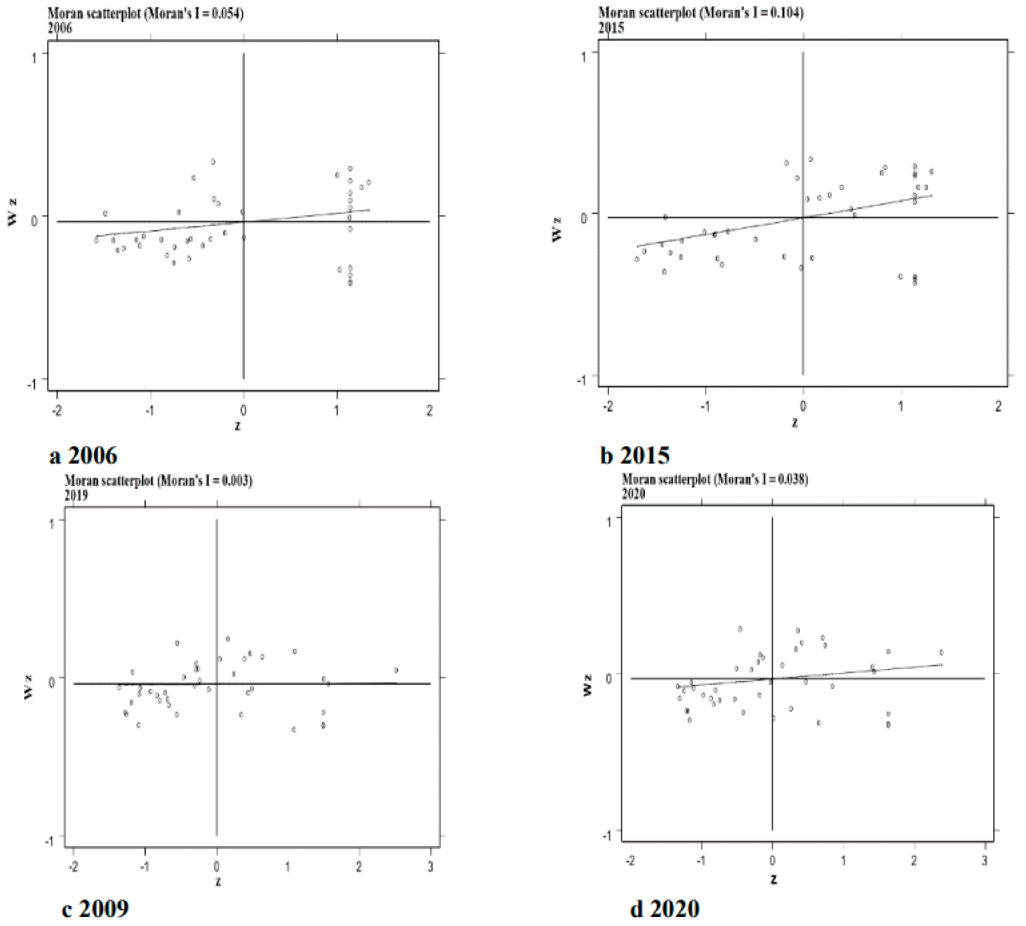
To further explain the local spatial characteristics of the GEGE of the Yangtze River Delta urban agglomeration, this paper uses Stata software to draw scatter plots of the GEGE in 2006, 2015, 2019, and 2020, respectively. The reasons for selecting these four years for specific analysis are as follows: 2006, 2015, and 2019 are the inflection points of the change in the global Moran’s index, and 2020, as the first year affected by COVID-19, has high research value, as shown in Figure 7.
Figure 7.
Moran’s I scatter distribution of the GEGE in the Yangtze River Delta urban agglomeration.
Each of the four quadrants of the Moran’s scatter plot is used to identify the relationship between a city and its neighbors. A city being located in the first quadrant (HH) means that the city itself has high GEGE, and that the other cities around it also have high GEGE; as such, it is considered an efficient city. A city being located in the second quadrant (LH) means that it has low GEGE, and the other cities around it have high GEGE, so it is considered a hollow city. A city being located in the third quadrant (LL) means that it has low GEGE and the other cities around it also have low GEGE, and it is thus considered an inefficient city. A city being located in the fourth quadrant (HL) means that it has high GEGE and the other cities around it have low GEGE, and so it is considered a polarized city [54]. As can be seen from Figure 6, most of the 41 cities in the Yangtze River Delta urban agglomeration are concentrated in the first and third quadrants in 2006 and 2015, corresponding to the HH and LL, respectively. A few cities fall in the second quadrant (LH) and the fourth quadrant (HL). From 2006 to 2015, the local Moran’s index evolved from 0.054 to 0.104, with a gradual increase in spatial correlation. At the same time, the number of cities located in the first quadrant increased significantly in 2015 compared to 2006. From 2015 to 2019, the global Moran’s index reached 0.003, and cities here are more scattered with the weakest spatial correlation. 2020 was the last year of the study period, and the spatial correlation increased compared with 2019, but was still lower than those of 2006 and 2015.
Table A2 in the Appendix A presents the distribution of cities in each quadrant. Overall, the numbers of cities located in quadrant 1 and quadrant 3 in 2006, 2015, 2019, and 2020 are greater than 50%, with 65.85%, 80.49%, 56.10%, and 63.41%, respectively. That is, most cities have similar efficiency values compared to surrounding cities, and the overall spatial difference is small. Specifically, the number of cities in the first quadrant shows an inverted U-shaped trend, which is consistent with the fluctuation trajectory of the general efficiency of green economic growth in the Yangtze River Delta urban agglomeration. Thus, the Yangtze River Delta urban agglomeration’s green economic development is steered by efficient cities. The cities that are always in the first quadrant are Shanghai, Suzhou1, Wuxi, Ningbo, Wenzhou, Shaoxing, Jinhua, Zhoushan, and Taizhou2. Among them, Shanghai, Ningbo, Taizhou2, Wenzhou, and Zhoushan are typical coastal cities in the Yangtze River Delta region, with rich marine resources and trade advantages, driving regional development with strong economic strength that is radiating to neighboring cities. Most of the cities in the third quadrant belong to Anhui Province, while a small part belong to northern Jiangsu Province.
The above-selected characteristic time nodes provide an approximate analysis of the cross-sectional situation of the local Moran’s index of GEGE of the Yangtze River Delta urban agglomeration. To present the long-term development pattern and transition path of the GEGE more clearly, this paper selects the years 2006 and 2020 for specific study. Rey and Janikas proposed a space–time analysis of regional systems, which classified the types of spatial correlation into four types [55]. Type I represents that the research unit keeps unchanged with the adjacent unit transition. Type II represents that both the research unit and the adjacent unit undergo transitions. Type III denotes that the study unit transitions, while adjacent units remain unchanged. Type IV denotes that research units and adjacent units are unchanged. Based on this method, the spatial correlation types and transition paths of GEGE in the Yangtze River Delta urban agglomeration are derived. As can be seen from Table 4, there are eight transition paths generated. The number of cities without transition is 28, accounting for 68.29%. This shows that the levels of local spatial correlation and low liquidity of GEGE in the Yangtze River Delta urban agglomeration are significant, and the space–time transition shows high spatial stability and path dependence.
Table 4.
Spatial correlation types and transition paths of GEGE in the Yangtze River Delta urban agglomeration.
5. Discussion
Extant studies on the evaluation of GEGE of urban agglomerations have focused on using single-stage DEA models for measurements, such as the SBM model, the super-efficiency model, and the NDDF model. However, when the dynamic essence is ignored, previous approaches to measuring GEGE have produced overestimated efficiency values. This study fills this gap by evaluating the GEGE based on a dynamic perspective, taking into account the intertemporal role of capital. In addition, the STARS was used to explore the long-term development pattern and transition path of the GEGE in the Yangtze River Delta urban agglomeration.
Chen et al. pointed out that the Yangtze River Delta urban agglomeration’s green development efficiency appeared unbalanced, with large differences between cities in terms of their green development efficiency [10]. This is consistent with the findings of this paper. Our paper finds that the GEGE of the Yangtze River Delta urban agglomeration shows the distribution characteristics of “high in the east and low in the west”. Most of the high-efficiency cities are located in the southeast coastal region, while the efficiency values in the central and western regions are generally lower.
Furthermore, Wang and Li stated that the green development of the Yangtze River Delta urban agglomeration showed obvious provincial differentiation in terms of the degree of equilibrium, while Shanghai and the cities in Jiangsu and Zhejiang are better than those in Anhui province [11]. In this paper, the GEGE value of Shanghai is greater than 1 in all years, thus leading in the Yangtze River Delta region, followed by Zhejiang Province and Jiangsu Province, and Anhui Province with the lowest GEGE value. This shows that whether in terms green development or green economic growth, Anhui is always lagging. However, with the accelerated integration process of the Yangtze River Delta in recent years, the gap between Anhui and the other two provinces has gradually narrowed.
Finally, Ma et al. used a super-efficiency SBM model to measure green growth efficiency based on the panel data of 285 Chinese cities at the prefecture level, and analyzed the spatial correlation effect of green growth efficiency. Their research showed that China’s urban green growth efficiency is not high, and the spatial correlation was characterized by small agglomerations and large dispersions. This is consistent with the findings of this paper, which suggests that green economic growth in the Yangtze River Delta urban agglomeration has a similar development process to other cities in China [56]. In addition, they showed that the green growth efficiency of Chinese cities decreased first and then increased in 2005, 2010, and 2016. Differently from our findings, the GEGE of the Yangtze River Delta urban agglomeration was on a downward trend in this period. Possible reasons for the inconsistent conclusions, apart from the different scopes of the studies, are that the method of statically assessing efficiency values does have the potential to overestimate efficiency values, and is not suitable for use in time series analysis.
6. Conclusions
6.1. Results and Policy Implications
This paper innovatively applies the principle of the DSBM model to the evaluation of the GEGE. The super-efficiency dynamic SBM that incorporates the intertemporal role of fixed assets is used to measure the GEE in the Yangtze River Delta urban agglomeration over the period 2004 to 2020. Based on this, the spatial correlation of the GEGE of the urban agglomeration is further investigated by using an exploratory spatial data analysis method. The results show that, firstly, from the vertical perspective, the average growth rate of the green economy in the Yangtze River Delta urban agglomeration from 2004 to 2020 is −1.6%, while the average growth rate of real GDP is 9.5%. This shows that the speed of environmental improvement is far lower than the speed of economic growth at this phase, and the “green” part of high-quality economic development has not been paid enough attention or effectively stimulated. Secondly, from a horizontal perspective, the GEGE of the Yangtze River Delta urban agglomeration shows the distribution characteristics of “high in the east and low in the west”. Thirdly, from the provincial and municipal perspectives, Shanghai is in the lead, while Zhejiang is ahead of Jiangsu, and the gap between the two is gradually narrowing. Anhui has the lowest efficiency value. Fourthly, in terms of spatial correlation, the GEGE of the Yangtze River Delta urban agglomeration displays a significant positive spatial correlation in general. Meanwhile, with the advancement of integration, the global Moran index shows a W-shaped fluctuation trajectory and a decreasing trend. In addition, based on the Moran scatter plot, it can be seen that cities located in the first quadrant (HH) and the third quadrant (LL) are predominant, demonstrating obvious local clustering characteristics. Fifthly, from the perspective of the transition path, the number of cities that have transitions is relatively small, and type III is the majority. This shows that the “spillover effect” and “siphon effect” coexist. The spatial–temporal transition shows high spatial stability and path dependence, and the metropolitan area within the Yangtze River Delta urban agglomeration plays an eminent role in this. The overall regional linkage development shows a positive trend.
Based on the above findings, this paper draws the following policy implications.
- Actively exploring the construction of a green technology innovation community in the Yangtze River Delta. In recent years, although governments have introduced many policies to promote the development of green innovation, it is clear from the analysis of this paper that the rate of green economic growth has not been effectively improved. The reason is that even though enterprises are the main source of pollution emissions and the backbone of economic growth, most are not motivated to cut emissions or save energy. First, enterprises are profit-oriented subjects, and those using cleaner and greener technologies often have more cost disadvantages than those using traditional technologies [57], so they lack the initiative and motivation for environmental improvement. Second, the enterprises’ green innovation capabilities are insufficient. China’s enterprises have weak independent research and development capabilities, and rely more on technology introduction. However, the high cost of introducing green technology makes it difficult for most SMEs to afford. At present, there are significant differences in the level of green innovation among the cities in the Yangtze River Delta, and the high-efficiency cities tend to have stronger innovation capacities. Therefore, from a global perspective, Shanghai, as the leader of the Yangtze River Delta, should actively enhance its green innovation curation capacity, lead the construction of the Yangtze River Delta green technology innovation community, and effectively reduce the cost of green technology development and adoption by enterprises in terms of financial support and technical assistance. Locally, the metropolitan area should play an outstanding organizational role and take the lead in breaking down administrative barriers. It should support the interconnection of enterprises in each city in terms of policies, including knowledge flow and technology transfer. It is necessary to continuously narrow the differences between regions to continuously promote the optimization of industrial layout and structural transformation, and upgrade the Yangtze River Delta. Large enterprises will drive the development of small enterprises, and ultimately promote the integrated and high-quality development of the Yangtze River Delta region.
- Paying special attention to the overall and local spatial correlation characteristics of green economic growth in the Yangtze River Delta urban agglomeration, breaking the transition path dependency, and alleviating the problem of unbalanced regional green development. Shanghai should combine the overall industrial characteristics of the Yangtze River Delta, fully exploit the industrial advantages of each region, and strengthen the synergy of industrial chains and supply chains in the Yangtze River Delta. At the same time, Shanghai should accelerate the release of the various innovation dynamics gathered from the construction of the global science and innovation center, and actively radiate and diffuse them to the Yangtze River Delta region, to strongly enhance the independent innovation capability and continuously promote the integrated ecological and green development of the whole region. For Zhejiang, the four major metropolitan areas should link up to avoid resource grabbing due to political competition. They can form synergy to promote the high-quality development of Zhejiang Province through the staggered development of the industrial system. For example, Hangzhou has internet technology at its core, Ningbo has shipping trade at its core, Jinhua has trade and logistics at its core, and Wenzhou has a private economy at its core. For Jiangsu, at this phase, the development of a green economy in southern Jiangsu and northern Jiangsu is extremely unbalanced. While strengthening the spatial linkage of cities in the province, it is also necessary to combine their geopolitical advantages and strengthen cross-regional cooperation. Specific measures include the local government encouraging the transfer of advantageous industries from southern Jiangsu to northern Jiangsu, developed cities taking the initiative to help less developed cities with policy support, and promoting the sharing of innovation resources between cities, ultimately forming a situation of complementary advantages and synergistic development. For Anhui, the delineation of the Hefei metropolitan area has brought about a major turnaround in its economic development. However, at present, it seems that while Hefei’s green economic development is eye-catching, the surrounding cities are consistently inefficient. The spatial spillover effect on inefficient cities in Anhui should be strengthened to avoid excessive siphoning that would prevent these cities from escaping the plight of inefficient green development. In addition, observing the trend of efficiency value changes in the Yangtze River Delta cities, it can be found that the efficiency values of cities that mainly develop tourism (such as Huangshan, and Zhoushan) declined significantly during 2020, which saw the start of the epidemic. Therefore, in the post-epidemic era, these cities should consider changing their development methods, empowering the tourism industry with digital economy, increasing the added value of the industry, and thus improving the industry’s resilience to resist the impact of epidemics.
6.2. Theoretical Contributions
This study makes the following theoretical contributions: Firstly, compared with existing studies, this paper has optimized the research methodology to observe the changes in the GEGE of the Yangtze River Delta urban agglomeration from a dynamic perspective. The research results are closer to the actual situation. Secondly, this paper not only evaluates and analyzes the spatial correlation of the GEGE, but also explores the transition paths of 41 cities in detail, enriching the existing research results. Finally, compared to the static DEA models, the super-efficiency dynamic SBM model has the advantage of analyzing the trend of efficiency changes, and can reflect the changes in efficiency more realistically. The method can be extended and applied to the evaluation of green economic growth efficiency in other countries so as to explore the current situation and future direction of global green economic development.
6.3. Limitations and Future Research
There are certain limitations in this study. In the process of constructing the GEGE evaluation index system, the output variables are limited by the availability of data, and only economic and environmental aspects are considered, while social welfare is not considered. In future research, variables measuring social welfare can be added to improve the GEGE evaluation index system.
Author Contributions
Conceptualization, Z.M. and J.S.; methodology, Y.W.; formal analysis, X.W.; writing—original draft preparation, J.S. All authors have read and agreed to the published version of the manuscript.
Funding
This research was funded by Postgraduate Research & Practice Innovation Program of Jiangsu Province (KYCX22_3589).
Institutional Review Board Statement
Not applicable.
Informed Consent Statement
Not applicable.
Data Availability Statement
Data available within the article.
Acknowledgments
We sincerely thank the research platforms for sharing the data.
Conflicts of Interest
The authors declare no conflict of interest.
Appendix A
Table A1.
The GEGE of Yangtze River Delta urban agglomeration during 2004–2020.
Table A1.
The GEGE of Yangtze River Delta urban agglomeration during 2004–2020.
| 2004 | 2005 | 2006 | 2007 | 2008 | 2009 | 2010 | 2011 | 2012 | 2013 | 2014 | 2015 | 2016 | 2017 | 2018 | 2019 | 2020 | |
|---|---|---|---|---|---|---|---|---|---|---|---|---|---|---|---|---|---|
| Shanghai | 1.22 | 1.04 | 1.03 | 1.04 | 1.03 | 1.03 | 1.03 | 1.03 | 1.03 | 1.04 | 1.03 | 1.05 | 1.07 | 1.16 | 1.15 | 1.27 | 1.19 |
| Nanjing | 0.64 | 0.58 | 0.60 | 0.67 | 0.61 | 0.61 | 0.64 | 0.65 | 0.61 | 0.55 | 0.57 | 0.56 | 0.76 | 0.75 | 0.72 | 0.70 | 0.64 |
| Wuxi | 1.05 | 1.00 | 1.00 | 1.00 | 1.00 | 1.01 | 1.03 | 1.01 | 1.04 | 1.03 | 1.03 | 1.03 | 1.02 | 1.02 | 1.03 | 1.02 | 0.95 |
| Xuzhou | 0.54 | 0.59 | 0.57 | 0.70 | 0.72 | 0.73 | 0.65 | 0.67 | 0.61 | 0.60 | 0.66 | 0.69 | 0.66 | 1.00 | 1.00 | 1.00 | 1.00 |
| Changzhou | 0.70 | 0.59 | 0.54 | 0.67 | 0.64 | 0.65 | 0.73 | 1.00 | 1.00 | 1.00 | 1.00 | 1.00 | 0.68 | 0.68 | 0.72 | 0.67 | 0.61 |
| Suzhou1 | 1.00 | 1.00 | 1.00 | 1.00 | 1.00 | 1.00 | 1.00 | 1.00 | 1.00 | 1.00 | 1.00 | 1.00 | 1.00 | 1.00 | 1.00 | 0.71 | 0.68 |
| Nantong | 0.62 | 0.65 | 0.58 | 0.69 | 0.70 | 0.66 | 0.76 | 0.81 | 0.97 | 0.80 | 0.84 | 0.91 | 0.95 | 0.80 | 0.74 | 0.73 | 1.00 |
| Lianyungang | 0.53 | 0.52 | 0.49 | 0.62 | 0.59 | 0.58 | 0.57 | 0.49 | 0.52 | 0.51 | 0.36 | 0.42 | 0.42 | 0.38 | 0.39 | 0.40 | 0.32 |
| Huaian | 0.46 | 0.46 | 0.42 | 0.48 | 0.44 | 0.43 | 0.44 | 0.42 | 0.43 | 0.42 | 0.43 | 0.45 | 0.48 | 0.48 | 0.45 | 0.43 | 0.38 |
| Yancheng | 0.94 | 1.00 | 1.00 | 1.00 | 1.00 | 1.00 | 1.00 | 1.00 | 1.00 | 1.00 | 1.00 | 0.74 | 0.70 | 0.58 | 0.57 | 0.55 | 0.44 |
| Yangzhou | 0.68 | 0.71 | 0.66 | 0.81 | 0.72 | 0.70 | 0.74 | 0.84 | 0.79 | 0.69 | 0.76 | 0.83 | 0.83 | 0.63 | 0.53 | 0.53 | 0.57 |
| Zhenjiang | 0.72 | 0.77 | 0.71 | 0.86 | 0.83 | 0.85 | 0.87 | 0.68 | 0.72 | 0.70 | 0.77 | 0.76 | 0.76 | 0.76 | 0.72 | 0.74 | 0.70 |
| Taizhou1 | 0.71 | 0.70 | 0.64 | 0.83 | 0.69 | 0.69 | 0.71 | 0.77 | 0.85 | 0.73 | 0.71 | 0.80 | 0.79 | 0.57 | 0.54 | 0.53 | 0.52 |
| Suqian | 0.61 | 1.00 | 0.53 | 0.60 | 0.54 | 0.49 | 0.43 | 0.40 | 0.40 | 0.37 | 0.36 | 0.36 | 0.35 | 0.31 | 0.30 | 0.30 | 0.24 |
| Hangzhou | 0.74 | 0.78 | 0.71 | 0.80 | 1.00 | 0.73 | 0.73 | 0.80 | 0.85 | 0.69 | 0.72 | 0.82 | 1.00 | 0.71 | 0.68 | 0.72 | 0.80 |
| Ningbo | 1.00 | 1.00 | 1.00 | 1.00 | 1.00 | 1.00 | 1.00 | 1.00 | 0.85 | 1.00 | 1.00 | 1.00 | 0.88 | 0.70 | 0.66 | 0.65 | 0.67 |
| Wenzhou | 1.07 | 1.02 | 1.05 | 1.04 | 1.02 | 1.04 | 1.03 | 1.06 | 1.05 | 1.05 | 1.03 | 1.01 | 1.09 | 1.08 | 1.17 | 1.00 | 0.94 |
| Jiaxing | 0.76 | 0.76 | 0.63 | 0.72 | 0.69 | 0.70 | 0.69 | 0.66 | 0.63 | 0.64 | 0.66 | 0.71 | 0.74 | 0.48 | 0.47 | 0.46 | 0.46 |
| Huzhou | 0.77 | 0.90 | 0.63 | 1.00 | 0.77 | 0.78 | 0.85 | 0.81 | 0.69 | 0.67 | 0.67 | 0.67 | 0.62 | 0.54 | 0.53 | 0.53 | 0.53 |
| Shaoxing | 1.00 | 1.00 | 1.00 | 1.00 | 1.00 | 1.00 | 1.00 | 1.00 | 1.00 | 0.57 | 0.65 | 0.65 | 0.76 | 0.64 | 0.63 | 0.62 | 0.66 |
| Jinhua | 1.00 | 1.00 | 1.00 | 1.00 | 1.00 | 1.00 | 1.00 | 1.00 | 1.00 | 1.00 | 1.00 | 1.00 | 1.00 | 0.57 | 0.54 | 0.54 | 0.54 |
| Quzhou | 0.43 | 0.34 | 0.34 | 0.35 | 0.34 | 0.34 | 0.38 | 0.34 | 0.32 | 0.31 | 0.31 | 0.31 | 0.32 | 0.33 | 0.33 | 0.33 | 0.28 |
| Zhoushan | 1.06 | 0.96 | 0.97 | 0.97 | 0.95 | 0.96 | 0.95 | 0.94 | 0.93 | 0.94 | 0.93 | 0.92 | 0.94 | 0.91 | 0.90 | 0.90 | 0.76 |
| Taizhou2 | 1.00 | 1.00 | 1.00 | 1.00 | 1.00 | 1.00 | 1.00 | 1.00 | 1.00 | 1.00 | 1.00 | 1.00 | 1.00 | 0.77 | 0.74 | 0.78 | 0.77 |
| Lishui | 1.00 | 1.00 | 1.00 | 1.00 | 1.00 | 1.00 | 1.00 | 0.71 | 0.66 | 0.67 | 0.68 | 0.70 | 0.70 | 0.50 | 0.48 | 0.49 | 0.50 |
| Hefei | 0.63 | 0.70 | 1.00 | 1.00 | 1.00 | 1.00 | 1.00 | 1.00 | 1.00 | 1.00 | 1.00 | 1.00 | 1.00 | 1.00 | 1.00 | 1.00 | 1.00 |
| Wuhu | 0.62 | 0.60 | 0.53 | 0.57 | 0.52 | 0.49 | 0.53 | 0.46 | 0.40 | 0.33 | 0.32 | 0.31 | 0.31 | 0.33 | 0.32 | 0.32 | 0.27 |
| Bengbu | 0.41 | 0.47 | 0.44 | 0.50 | 0.49 | 0.50 | 0.51 | 0.56 | 0.53 | 0.51 | 0.49 | 0.46 | 0.55 | 0.50 | 0.47 | 0.43 | 0.44 |
| Huainan | 0.33 | 0.38 | 0.37 | 0.37 | 0.35 | 0.36 | 0.38 | 0.38 | 0.36 | 0.35 | 0.34 | 0.32 | 0.32 | 0.37 | 0.37 | 0.37 | 0.35 |
| Maanshan | 0.42 | 0.42 | 0.43 | 0.44 | 0.41 | 0.43 | 0.44 | 0.32 | 0.30 | 0.28 | 0.26 | 0.25 | 0.26 | 0.28 | 0.28 | 0.28 | 0.26 |
| Huaibei | 0.37 | 0.44 | 0.36 | 0.46 | 0.45 | 0.43 | 0.44 | 0.43 | 0.42 | 0.39 | 0.39 | 0.35 | 0.37 | 0.42 | 0.41 | 0.39 | 0.36 |
| Tongling | 0.37 | 0.38 | 0.39 | 0.40 | 0.41 | 0.40 | 0.40 | 0.38 | 0.35 | 0.33 | 0.32 | 0.23 | 0.23 | 0.28 | 0.27 | 0.27 | 0.27 |
| Anqing | 0.41 | 0.55 | 0.57 | 0.61 | 0.59 | 0.58 | 0.66 | 0.66 | 0.70 | 0.69 | 0.65 | 0.72 | 0.79 | 1.00 | 1.00 | 1.00 | 1.00 |
| Huangshan | 1.24 | 0.96 | 0.97 | 0.99 | 0.97 | 0.98 | 0.96 | 0.94 | 0.96 | 0.95 | 0.95 | 0.96 | 0.93 | 0.96 | 0.91 | 0.89 | 0.75 |
| Chuzhou | 1.00 | 1.00 | 1.00 | 1.00 | 1.00 | 1.00 | 1.00 | 1.00 | 1.00 | 1.00 | 1.00 | 1.00 | 1.00 | 0.54 | 0.50 | 0.46 | 0.47 |
| Fuyang | 0.64 | 0.64 | 0.56 | 0.54 | 0.51 | 0.52 | 0.61 | 0.55 | 0.50 | 0.48 | 0.48 | 0.45 | 0.39 | 0.36 | 0.32 | 0.30 | 0.25 |
| Suzhou2 | 1.00 | 1.00 | 1.00 | 1.00 | 1.00 | 1.00 | 1.00 | 1.00 | 1.00 | 0.54 | 0.48 | 0.47 | 0.47 | 0.48 | 0.46 | 0.42 | 0.37 |
| Luan | 0.40 | 0.53 | 0.51 | 0.69 | 0.70 | 0.64 | 0.67 | 0.64 | 0.64 | 0.63 | 1.00 | 0.64 | 1.00 | 1.00 | 1.00 | 0.58 | 0.53 |
| Haozhou | 1.00 | 1.00 | 1.00 | 1.00 | 1.00 | 1.00 | 1.00 | 1.00 | 1.00 | 1.00 | 1.00 | 1.00 | 1.00 | 0.59 | 0.58 | 1.00 | 0.58 |
| Chizhou | 0.37 | 0.34 | 0.32 | 0.33 | 0.31 | 0.31 | 0.30 | 0.29 | 0.28 | 0.25 | 0.23 | 0.30 | 0.31 | 0.30 | 0.27 | 0.25 | 0.23 |
| Xuancheng | 0.77 | 0.83 | 0.62 | 0.61 | 0.58 | 0.59 | 0.59 | 0.53 | 0.48 | 0.46 | 0.48 | 0.48 | 0.53 | 0.40 | 0.35 | 0.32 | 0.29 |
| Mean value | 0.74 | 0.75 | 0.71 | 0.77 | 0.75 | 0.74 | 0.75 | 0.74 | 0.73 | 0.69 | 0.70 | 0.69 | 0.71 | 0.64 | 0.62 | 0.61 | 0.58 |
Note: Suzhou1 and Taizhou1 are cities in Jiangsu Province, Suzhou2 is a city in Anhui Province, and Taizhou2 is a city in Zhejiang Province.
Table A2.
Local Moran’s index statistical results of the GEGE in Yangtze River Delta urban agglomeration.
Table A2.
Local Moran’s index statistical results of the GEGE in Yangtze River Delta urban agglomeration.
| Years | 2006 | 2015 | 2019 | 2020 | |
|---|---|---|---|---|---|
| Types | |||||
| The first quadrant (HH) | Shanghai, Wuxi, Suzhou1, Ningbo, Wenzhou, Shaoxing, Jinhua, Zhoushan, Lishui, Taizhou2 (10 cities) | Shanghai, Wuxi, Suzhou1, Zhenjiang, Yangzhou, Changzhou, Taizhou1, Yancheng, Hangzhou, Ningbo, Wenzhou, Shaoxing, Jinhua, Zhoushan, Lishui, Taizhou2, Jiaxing (17 cities) | Shanghai, Wuxi, Suzhou1, Zhenjiang, Changzhou, Nantong, Ningbo, Wenzhou, Shaoxing, Taizhou2, Zhoushan (11 cities) | Shanghai, Wuxi, Suzhou1, Zhenjiang, Changzhou, Nantong, Ningbo, Wenzhou, Shaoxing, Taizhou2, Zhoushan (11 cities) | |
| The second quadrant (LH) | Nantong, Taizhou1, Changzhou, Jiaxing, Huzhou, Quzhou, Hangzhou (7 cities) | Shaoxing, Huzhou, Quzhou (3 cities) | Taizhou1, Yancheng, Yangzhou, Lishui, Jinhua, Huzhou, Jiaxing, Fuyang, Luan, Chizhou, Quzhou (11 cities) | Taizhou1, Yancheng, Yangzhou, Lishui, Jinhua, Huzhou, Jiaxing, Quzhou (8 cities) | |
| The third quadrant (LL) | Nanjing, Yangzhou, Lianyungang, Xuzhou, Suqian, Huaian, Maanshan, Tongling, Bengbu, Huainan, Luan, Huaibei, Anqing, Chizhou, Wuhu, Fuyang, Xuancheng (17 cities) | Nanjing, Lianyungang, Xuzhou, Suqian, Huaian, Maanshan, Tongling, Bengbu, Huainan, Luan, Huaibei, Chizhou, Wuhu, Fuyang, Suzhou2, Xuancheng (16 cities) | Lianyungang, Suqian, Huaian, Maanshan, Tongling, Bengbu, Huainan, Huaibei, Wuhu, Suzhou2, Xuancheng, Chuzhou (12 cities) | Lianyungang, Suqian, Huaian, Maanshan, Tongling, Bengbu, Huainan, Huaibei, Wuhu, Suzhou2, Xuancheng, Chuzhou, Chizhou, Luan, Fuyang (15 cities) | |
| The fourth quadrant (HL) | Zhenjiang, Yancheng, Hefei, Huangshan, Chuzhou, Suzhou2, Haozhou (7 cities) | Hefei, Huangshan, Chuzhou, Haozhou, Anqing (5 cities) | Hangzhou, Nanjing, Xuzhou, Hefei, Huangshan, Anqing, Haozhou (7 cities) | Hangzhou, Nanjing, Xuzhou, Hefei, Huangshan, Anqing, Haozhou (7 cities) | |
References
- Kahia, M.; Omri, A.; Jarraya, B. Green Energy, Economic Growth and Environmental Quality Nexus in Saudi Arabia. Sustainability 2021, 13, 1264. [Google Scholar] [CrossRef]
- Lubsanova, N.B.; Maksanova, L.B.-Z.; Eremko, Z.S.; Bardakhanova, T.B.; Mikheeva, A.S. The Eco-Efficiency of Russian Regions in North Asia: Their Green Direction of Regional Development. Sustainability 2022, 14, 12776. [Google Scholar] [CrossRef]
- Zhang, J.K.; Hou, Y.Z.; Liu, P.L.; He, J.W.; Zhuo, X. Target requirements and strategic paths for quality development. Manag. World 2019, 35, 1–7. [Google Scholar] [CrossRef]
- A European Green Deal. Available online: https://ec.europa.eu/info/strategy/priorities-2019-2024/european-green-deal_en (accessed on 25 September 2022).
- Raźniak, P.; Csomós, G.; Dorocki, S.; Winiarczyk-Raźniak, A. Exploring the Shifting Geographical Pattern of the Global Command-and-Control Function of Cities. Sustainability 2021, 13, 12798. [Google Scholar] [CrossRef]
- Xue, D.Q.; Wang, C.S. A Study on the Spatial Process for the Evolution of Urban Agglomerations and Optimal Land Use. Prog. Geogr. 2002, 21, 95–102. [Google Scholar] [CrossRef]
- Fang, C.L.; Yu, D.L. Urban agglomeration: An evolving concept of an emerging phenomenon. Landsc. Urban Plan. 2017, 162, 126–136. [Google Scholar] [CrossRef]
- Yu, X.; Wu, Z.; Zheng, H.; Li, M.; Tan, T. How urban agglomeration improve the emission efficiency? A spatial econometric analysis of the Yangtze River delta urban agglomeration in China. J. Environ. Manag. 2020, 263, 110399. [Google Scholar] [CrossRef]
- People’s Daily Online. Experts and Scholars from Shanghai University of Finance and Economics Talk about How to Build a High-Quality Green Development Yangtze River Delta Urban Agglomeration. Available online: http://sh.people.com.cn/n2/2020/0916/c134768-34297135.html (accessed on 16 September 2020).
- Chen, L.T.; Ji, L.; Li, J.L. Market integration and green development efficiency in the Yangtze River delta urban agglomeration: Theory, measurement and spatial tests. J. Southwest Minzu Univ. (Humanit. Soc. Sci.) 2022, 43, 108–122. [Google Scholar]
- Wang, S.J.; Li, J.F. Balanced characteristics and obstacle factors of high-quality green development in Yangtze River delta urban agglomeration. J. Nat. Resour. 2022, 37, 1540–1554. [Google Scholar] [CrossRef]
- Wang, X.L.; Shao, Q.L. Non-linear effects of heterogeneous environmental regulations on green growth in G20 countries: Evidence from panel threshold regression. Sci. Total Environ. 2019, 660, 1346–1354. [Google Scholar] [CrossRef]
- Lorek, S.; Spangenberg, J.H. Sustainable consumption within a sustainable economy—Beyond green growth and green economie. J. Clean. Prod. 2014, 63, 33–44. [Google Scholar] [CrossRef]
- Lu, X.; Chen, D.; Kuang, B.; Zhang, C.; Cheng, C. Is high-tech zone a policy trap or a growth drive? Insights from the perspective of urban land use efficiency. Land Use Policy 2020, 95, 1076–1081. [Google Scholar] [CrossRef]
- Belmonte-Ureña, L.J.; Plaza-Úbeda, J.A.; Vazquez-Brust, D.; Yakovleva, N. Circular economy, degrowth and green growth as pathways for research on sustainable development goals: A global analysis and future agenda. Ecol. Econ. 2021, 185, 107050. [Google Scholar] [CrossRef]
- Niu, T.; Yao, X.; Shao, S.; Li, D.; Wang, W. Environmental tax shocks and carbon emissions: An estimated DSGE model. Struct. Chang. Econ. Dyn. 2018, 47, 9–17. [Google Scholar] [CrossRef]
- Haberl, H.; Wiedenhofer, D.; Virág, D.; Kalt, G.; Plank, B.; Brockway, P.; Fishman, T.; Hausknost, D.; Krausmann, F.; Leon-Gruchalski, B.; et al. A systematic review of the evidence on decoupling of GDP, resource use and GHG emissions, part II: Synthesizing the insights. Environ. Res. Lett. 2020, 15, 065003. [Google Scholar] [CrossRef]
- Raźniak, P.; Dorocki, S.; Rachwał, T.; Winiarczyk-Raźniak, A. The Role of the Energy Sector in the Command and Control Function of Cities in Conditions of Sustainability Transitions. Energies 2021, 14, 7579. [Google Scholar] [CrossRef]
- Tóth, G.; Sebestyén Szép, T. Spatial Evolution of the Energy and Economic Centers of Gravity. Resources 2019, 8, 100. [Google Scholar] [CrossRef]
- Shang, D.; Li, H.J.; Yao, J. Green Economy, Green Growth and Green Development: Concept Connotation and Literature Review. Foreign Econ. Manag. 2020, 42, 134–151. [Google Scholar] [CrossRef]
- Xie, D.J.; Hu, S.H. Financial leverage and urban green economic growth—Based on 285 prefecture level and above cities in China. Inq. Into Econ. Issues 2021, 11, 150–163. [Google Scholar]
- Liao, W.L.; Dong, X.K.; Weng, M.; Chen, X. Economic effect of market-oriented environmental regulation: Carbon emission trading, green innovation and green economic growth. China Soft Sci. 2020, 6, 159–173. [Google Scholar]
- Fan, D.; Sun, X.T. Environmental regulation, green technological innovation and green economic growth. China Popul. Resour. Environ. 2020, 30, 105–115. [Google Scholar] [CrossRef]
- Han, J.; Liu, Y.; Zhang, X.W. The market orientation, environmental regulation and China’s green economic growth. Comp. Econ. Soc. Syst. 2017, 5, 105–115. [Google Scholar]
- Soundarrajan, P.; Vivek, N. Green finance for sustainable green economic growth in India. Agric. Econ. 2016, 62, 35–44. [Google Scholar] [CrossRef]
- Hao, X.; Li, Y.; Ren, S.; Wu, H.; Hao, Y. The role of digitalization on green economic growth: Does industrial structure optimization and green innovation matter? J. Environ. Manag. 2023, 325, 116504. [Google Scholar] [CrossRef]
- Adams, B. Green Development: Environment and Sustainability in a Developing World; Routledge: Abingdon, UK, 2019. [Google Scholar]
- Hu, A.G.; Zhou, S.J. Green Development: Functional Definition, Mechanism Analysis and Development Strategy. China Popul. Resour. Environ. 2014, 24, 14–20. [Google Scholar] [CrossRef]
- Wu, C.Q.; Song, X.X. Influencing factors and efficiency assessment of green development in Yangtze river economic belt cities. Learn. Pract. 2018, 4, 5–13. [Google Scholar] [CrossRef]
- Li, S.; Zhou, T.K.; Fan, L.Z. Analysis of urban green development and influencing factors in Yangtze River Economic Belt. Stat. Decis. 2019, 35, 121–125. [Google Scholar] [CrossRef]
- Guo, Y.; Tong, L.; Mei, L. The effect of industrial agglomeration on green development efficiency in Northeast China since the revitalization. J. Clean. Prod. 2020, 258, 120584. [Google Scholar] [CrossRef]
- Luo, K.; Liu, Y.; Chen, P.F.; Zeng, M. Assessing the impact of digital economy on green development efficiency in the Yangtze River Economic Belt. Energy Econ. 2022, 112, 106127. [Google Scholar] [CrossRef]
- Zhang, D.Y.; Mohsin, M.; Rasheed, A.K.; Chang, Y.; Taghizadeh-Hesary, F. Public spending and green economic growth in BRI region: Mediating role of green finance. Energy Policy 2021, 153, 112256. [Google Scholar] [CrossRef]
- Sun, X. Analysis of green total factor productivity in OECD and BRICS countries: Based on the Super-SBM model. J. Water Clim. Chang. 2022, 13, 3400–3415. [Google Scholar] [CrossRef]
- Liao, M.L.; Wang, G.F. Decoupling analysis of the relationship between the green development and economic growth of urban agglomerations in the Yellow River Basin. Urban Dev. Stud. 2021, 28, 100–106. [Google Scholar]
- Li, J.; Liu, Z. Spatial differences and influential factors of GTFP in Chinese three major urban agglomerations. Soft Sci. 2019, 33, 61–64+80. [Google Scholar] [CrossRef]
- Ding, X.Y.; Xiao, W.; Tian, Z. Study on the Synergistic Effect of Industry’s Green and Innovation Development in Yangtze River Delta Urban Agglomeration. J. Ind. Technol. Econ. 2019, 38, 67–75. [Google Scholar] [CrossRef]
- Yu, Y.; Yi, Z.; Jia, J. The Efficiency Evolution and Risks of Green Development in the Yangtze River Economic Belt, China. Sustainability 2022, 14, 10417. [Google Scholar] [CrossRef]
- Wang, K.; Wei, Y.M.; Zhang, X. A comparative analysis of China’s regional energy and emission performance: Which is the better way to deal with undesirable outputs? Energy Policy 2012, 46, 574–584. [Google Scholar] [CrossRef]
- Wang, Z.; Feng, C. A performance evaluation of the energy, environmental, and economic efficiency and productivity in China: An application of global data envelopment analysis. Appl. Energy 2015, 147, 617–626. [Google Scholar] [CrossRef]
- Färe, R.; Grosskopf, S. Intertemporal Production Frontiers: With Dynamic DEA; Springer: Dordrecht, The Netherlands, 1996. [Google Scholar]
- Tone, K.; Tsutsui, M. Dynamic DEA: A slacks-based measure approach. Omega 2010, 38, 145–156. [Google Scholar] [CrossRef]
- Guo, X.; Lu, C.C.; Lee, J.H.; Chiu, Y.-H. Applying the dynamic DEA model to evaluate the energy efficiency of OECD countries and China. Energy 2017, 134, 392–399. [Google Scholar] [CrossRef]
- Ke, T.-Y. Energy efficiency of APEC members-applied dynamic SBM model. Carbon Manag. 2017, 8, 293–303. [Google Scholar] [CrossRef]
- Amowine, N.; Li, H.; Boamah, K.B.; Zhou, Z. Towards Ecological Sustainability: Assessing Dynamic Total-Factor Ecology Efficiency in Africa. Int. J. Environ. Res. Public Health 2021, 18, 9323. [Google Scholar] [CrossRef] [PubMed]
- Lin, B.Q. Electricity consumption and economic growth in China: A study based on production function. Manag. World 2003, 11, 18–27. [Google Scholar] [CrossRef]
- Teng, X.; Liu, F.P.; Chiu, Y.H. The change in energy and carbon emissions efficiency after afforestation in China by applying a modified dynamic SBM model. Energy 2020, 216, 119301. [Google Scholar] [CrossRef]
- Zhang, J.; Wu, G.Y.; Zhang, J.P. The estimation of China’s provincial Capital Stock: 1952–2000. Econ. Res. 2004, 10, 35–44. [Google Scholar]
- Ke, S.Z.; Xiang, J. Estimation of the fixed capital stocks in Chinese cities for 1996—2009. Stat. Res. 2012, 29, 19–24. [Google Scholar] [CrossRef]
- Cheng, G. Data Envelopment Analysis and MaxDEA Software; Intellectual Property Press: Beijing, China, 2014. [Google Scholar]
- Tao, J.Y.; Dong, P.; Lu, Y.Q. Spatial-temporal analysis and influencing factors of ecological resilience in the Yangtze River Delta. Resour. Environ. Yangtze Basin 2022, 1–20. Available online: http://kns.cnki.net/kcms/detail/42.1320.X.20220409.1234.002.html (accessed on 11 April 2022).
- Cai, S.H.; Gu, C.; Zhang, Z.J. Research on green development level measurement and spatiotemporal evolution characteristics of the Yangtze River Economic Belt. East China Econ. Manag. 2021, 35, 25–34. [Google Scholar] [CrossRef]
- Xiang, Y.B.; Wang, S.Y.; Deng, C.X. Spatial differentiation and driving factor of green development efficiency of chemical industry in Yangtze River Economic Belt. Econ. Geogr. 2021, 41, 108–117. [Google Scholar] [CrossRef]
- Cao, L.; Yang, H.C.; Li, L.S. Spatial and temporal differentiation characteristics and dynamic evolution of industrial green innovation efficiency. Stud. Sci. Sci. 2022, 40, 1895. [Google Scholar] [CrossRef]
- Rey, S.J.; Janikas, M.V. STARS: Space-Time analysis of regional systems. Geogr. Anal. 2006, 38, 67–86. [Google Scholar] [CrossRef]
- Ma, L.; Long, H.; Chen, K.; Tu, S.; Zhang, Y.; Liao, L. Green growth efficiency of Chinese cities and its Spatio-temporal pattern. Resour. Conserv. Recycl. 2019, 146, 441–451. [Google Scholar] [CrossRef]
- Wang, X.; Cho, S.H.; Scheller-Wolf, A.A. Green technology development and adoption: Competition, regulation, and uncertainty-a global game approach. Manag. Sci. 2020, 67, 201–219. [Google Scholar] [CrossRef]
Disclaimer/Publisher’s Note: The statements, opinions and data contained in all publications are solely those of the individual author(s) and contributor(s) and not of MDPI and/or the editor(s). MDPI and/or the editor(s) disclaim responsibility for any injury to people or property resulting from any ideas, methods, instructions or products referred to in the content. |
© 2023 by the authors. Licensee MDPI, Basel, Switzerland. This article is an open access article distributed under the terms and conditions of the Creative Commons Attribution (CC BY) license (https://creativecommons.org/licenses/by/4.0/).






