You are currently viewing a new version of our website. To view the old version click .
Sustainability
  • Article
  • Open Access

26 January 2023

Factors Influencing Behavior Intention in Digital Investment Services of Mutual Fund Distributors Adoption in Thailand

and
Technology of Information System Management Division, Faculty of Engineering, Mahidol University, Nakhon Pathom 73170, Thailand
*
Author to whom correspondence should be addressed.
These authors contributed equally to this work.
This article belongs to the Section Economic and Business Aspects of Sustainability

Abstract

There are various types of mutual fund distributors in Thailand that utilize technology to provide investment services to individual investors. These services can be accessed through mobile or internet banking, allowing investors to make transactions and invest in mutual funds at their convenience. This work aims to identify the factors that influence individual investors in Thailand to use digital investment services offered by brokerages. We have developed a conceptual model based on the Technology Acceptance Model (TAM2) and relevant literature on fintech and financial behavior, comprising seven variables and six hypotheses. Our research method involves a questionnaire survey of Thai investors and the use of partial least square structural equation modeling (PLS-SEM) for data analysis. The results show that individual investors’ intention to use digital investment services is significantly impacted by their perception of the usefulness of these services. Additionally, this intention is also influenced by other variables such as convenience, trust, and subjective norm, but not by perceived ease of use. This may be because most of our study’s participants are tech-savvy. Our findings provide insight into the perspectives and perceptions of Thai individual investors who have experiences of mutual fund investment.

1. Introduction

In the current financial landscape, mutual funds have become a popular investment option. These funds are managed by Asset Management Companies (AMCs) and allow investors to pool their capital and invest in a diversified portfolio of securities. In order to sell mutual funds, professionals must be licensed by the Securities and Exchange Commission (SEC) and adhere to its regulations. The buy and sell services for mutual funds are provided by AMCs and financial intermediaries such as branches, freelance agents, and internet-based distributors [1,2,3]. The use of technology, also known as financial technology or Fintech, has become increasingly important in the financial industry as it allows the transformation from traditional services into digital ones [4,5,6]. This has led to the expansion of distribution channels for mutual funds and increased competitiveness among mutual fund distributors, particularly brokerages. Brokerages, which represent AMCs, provide services to individual investors. There are several types of the mutual fund intermediary in Thailand, including securities companies (Broker), mutual fund brokerage securities companies (Mutual Fund Broker), banks, and insurance companies. These intermediaries provide investors with services related to investment account opening and fund transactions while being regulated by the SEC [7]. A type of brokerage that provides all of its services through digital platforms is the Mutual Fund Broker. Investors can access mutual fund investments without physically visiting a service location. As the interaction between distributors and investors moves increasingly towards remote or online services, the acceptance to use digital investment services become important variables to consider [8,9]. Individual investors should be aware of the different types of services provided by distributors, particularly as outlined in investment documents [7,10].
Despite Fintech has the potential to significantly improve the delivery of financial services, including mutual fund investments, however, technology acceptance among mutual fund distributors remains a key issue. Factors such as perceived usefulness (PU), perceived ease of use (PEOU), and behavioral intention (BI) have been identified as key predictors of technology acceptance [11]. Understanding these factors is crucial in developing effective strategies to increase acceptance among mutual fund distributors, particularly in emerging markets such as Thailand, where technology adoption is still slow [12,13]. Previous studies have looked into how consumers adopt Fintech and have focused on factors such as perceived risk, data security, ease of use, usefulness, and interaction [14,15,16]. The benefits of Fintech have been educated to consumers, such as lower transaction fees and efficient solutions, which motivate the use of technology-based financial services [17]. Moreover, Fintech also elevates the self-efficacy of both financial organizations and consumers by reducing the time and expenses related to physical transactions [18,19]. However, there is a lack of research on the impact of mutual fund distributors on adopting Fintech, especially in Thailand. The Thai market has a different character from other markets in previous research and has been impacted by COVID-19, leading to changes in customers’ behavior [20]. Despite this, research still needs to focus on the specific impact of these factors on Thailand.
In Thailand, Fintech has been embraced by financial regulators and institutions to support and enhance the financial sectors. As a result, various services and tools, such as Electronic Know-Your-Customer (e-KYC), National Digital ID (NDID) network, and the Automatic Transfer System (ATS), have been developed in partnership with the Bank of Thailand (BOT), SEC, and various banks [21]. Despite being regulated and governed, it is crucial for individual investors to consider data security when using digital investment services offered by brokerages [6]. This study aims to contribute the understanding technology acceptance in the mutual fund industry by identifying the factors that influence the behavior intention of mutual fund distributors to adopt digital investment services. Thus, the objectives of this work are as follows:
  • To identify the digital service factors that influence the intention of individual investors to use the digital services of mutual fund distributors.
  • To examine the factors related to the intention to use digital investment services of mutual fund distributors in Thailand.
The scope of this study is to examine the perspective of Thai individual investors towards digital investment services provided by mutual fund distributors in Thailand and to understand the behavior intention of Thai individual investors in adopting these digital investment services for mutual fund investment. The remainder of this paper is organized as follows: The following section comprises a literature review and the development of hypotheses. Section 3 outlines the materials and methods used. Results and discussion are presented in Section 4. Lastly, Section 5 presents the conclusion, limitations of the study, and recommendations for future research.

2. Literature Review and Hypothesis Development

2.1. Mutual Fund Distribution Overview

A mutual fund is a type of investment scheme that pools money from multiple investors to purchase securities, typically with the goal of diversifying the portfolio and providing a steady stream of income to investors [1,22]. Mutual funds are managed by professional fund managers who use the pooled money to buy a variety of stocks, bonds, or other securities in accordance with the fund’s investment objectives. Mutual funds are popular among individual investors because they provide a way to invest in a diverse range of securities with a relatively small amount of money and without the need to conduct individual research on each security.
There are various channels to distribute mutual funds, which can be classified into direct-sold distribution and intermediary distribution [23]. The direct-sold distribution refers to a distribution channel where investors can purchase mutual funds directly from AMC. From Figure 1, AMC X provides different mutual fund products, e.g., X1, X2 ... Xn. Different AMCs can have similar or different products. To buy mutual funds from AMC X, an investor must create an account with AMC X before obtaining the mutual funds. If he wants mutual funds from other AMCs, he has to create new accounts with those AMCs. According to this scenario, it can inconvenience investors. However, investors can access a wide range of fund options at a lower cost. Additionally, the direct channel gives investors more control over their investments, as they can manage their accounts and trade directly with the fund company. This distribution channel is gaining popularity among investors as it allows them to have more control over their investment decisions and save on costs associated with intermediaries [22].
Figure 1. Direct-sold distribution.
The other distribution channel is intermediary distribution, which refers to the process in which investors purchase mutual funds through distributors. The distributors can be a company or an individual. They can be affiliated with the fund company or operate independently and may work with financial advisors or work directly with individual investors. Distributors play a crucial role in bringing mutual funds to market and aiding investors in making investment decisions. This can include educating investors about the fund’s investment strategy, providing performance data and other information, and answering questions about the fund’s management and fees. They also assist investors in selecting suitable funds based on their goals and risk tolerance [22]. In Thailand, mutual fund distributors can be brokers, banks, mutual fund brokers, and insurance companies, as shown in Figure 2. Brokers offer a variety of financial products, while mutual fund brokers focus solely on mutual funds. As mentioned in the previous section, AMCs and mutual fund distributors are monitored by SEC to ensure that the investors are protected [7].
Figure 2. Intermediary distribution in Thailand market.
Mutual fund distributors offer various types of services to investors depending on their business situation. Traditional investment services provided by financial institutions are convenient channels for individual investors, often involving in-person interactions [5]. These interactions, which typically take place at a branch, provide both fund information and suitability discussions to customers. After completing their first mutual fund subscription, applicants can receive their fund book immediately. Moreover, the in-person interaction helps the finance institutions collecting their applicants’ information through Know-Your-Customer (KYC) process. While KYC is typically conducted through direct observation by service agents, it may be inconvenient for some applicants to visit a branch in person. However, this traditional service causes the limit of accessibility to mutual fund investment [24,25].
Presently, some distributors, such as AMCs and brokers affiliated with banks, offer services through internet-based banking or by visiting agents at any bank branch. With the emergence of Fintech as a popular alternative for financial investment management, other distributors have begun communicating with customers exclusively through internet-based channels, particularly Mutual Fund Brokers. These brokers do not have physical branches, and applicants must use self-identification through e-KYC to open investment accounts. Through their digital platform, Mutual Fund Brokers offer online investment account services with no physical interactions [8,26]. Individual investors can apply and manage their account on digital services platform. It presents fundamental benefits and new opportunities to individual investors preferably choosing a investment service. This solution is for enhancing investment opportunities to people [4,27,28,29,30].
In conclusion, mutual fund distributors provide a range of services to individual investors, including traditional in-person interactions at branches. However, with the rise of Fintech and the advent of digital investment services, the accessibility of mutual fund investment is increasing. Mutual Fund Brokers, in particular, offer digital platforms that allow investors to apply and manage their accounts online without needing physical interactions. This shift towards digital investment services presents new opportunities for individual investors, giving them greater accessibility and convenience when managing their investments. Overall, using Fintech in the mutual fund industry is expected to enhance investment opportunities for people and increase the adoption of digital investment services.

2.2. Related Works

A number of studies have been conducted to examine the adoption of mutual fund services and the use of Fintech in investment. A study on the adoption of mutual fund services in Malaysia [27] found that there is a relatively low level of awareness of Fintech, with only 11.8% of respondents reporting using Fintech in their financial activities. It used a random sampling method, conducted online surveys via social media networks and analyzed the results with descriptive, Pearson correlation and multiple regression analyses. The results indicate that the adoption of Fintech for investment is influenced by three factors, including social influence, effort expectancy, and profession. Additionally, the study provided insight into consumers’ perspectives and preferences for technology use in financial services, but did not examine consumers’ perceptions and perspectives on mutual fund distributors.
Another work on the behavior of individual investors in mutual fund schemes [31] found that the security of the first investment and the liquidity to manage investment units were the influential factors in the decision to invest. This study surveyed a group of investors, including self-employed, company employees, and entrepreneurs, and used demographic information and occupation as variables. The study focused on the perception of gender groups and interest in financial products but did not examine investors’ perceptions of investment services and mutual fund distributors.
In [29], the Technology Acceptance Model 2 (TAM2) was utilized as a theoretical framework. It looked at how generation X in Hungary is utilizing mobile payments. The findings indicated that the perceived risk of COVID-19, the perceived simplicity of use, and social norms had impacts on people’s intentions to use them. The survey also revealed that generation X individuals in Hungary favored mobile payments due to their practicality and potential cost savings and that the influence of the government and other financial market participants on consumer behavior was significant.
Finally, utilizing TRA and TAM as the theoretical framework, a study was done to investigate the factors impacting the intention to adopt Fintech in terms of computer literacy [30]. The findings demonstrated that all factors, including trust, privacy, data security, the standard of administrative services, and the effect of the COVID-19 shutdown on customer behavior, had a substantial impact on PU. The study concentrated on how Fintech was adopted during the COVID-19 lockdown and how it was used indefinitely without restrictions on technical proficiency. This work was carried out in the US, had limitations due to its cross-cultural viewpoint on the usage of Fintech, and ignored financial activity.
Previous research has focused on understanding the factors that drive investor behavior towards financial products and Fintech applications. However, there has been a lack of studies on the impact of intermediaries, such as agents or mutual fund distributors, on the adoption of mutual fund services. Trust in these intermediaries plays a significant role in shaping investors’ behavior, in addition to the technology itself. This is further explored in the following section.

2.3. Hypotheses Development

2.3.1. Mutual Fund Distribution and Platforms in Thailand

In Thailand, financial regulators and financial institutions have collaborated to support the development of Fintech tools for many years. Their goal is to increase financial investment among Thai individuals. For example, Figure 3 shows the FundConnext system, which is a centralized investment platform run by the Stock Exchange of Thailand (SET) [32]. Using the FundConnext system, investors’ information will be provided among distributors and AMCs through a single account. The distributors and AMCs who are members of the FundConnext system can connect to the platform and create applications to facilitate investors to easily reach for interesting mutual fund products. As Fintech operates under the regulatory control, Thai individual investors can use it to invest through various tools such as e-KYC for identification verification, NDID network, and ATS to connect bank accounts to mutual fund investments through digital banking, internet banking, or ATMs.
Figure 3. FundConnext system.
To ensure that investments are suitable for individual investors, financial regulators require a suitability assessment that can assess a level of suitability and protects investors from risky investments. This assessment is a requirement for AMC and distributors and is requested when an investor applies for a mutual fund account. It takes into account several factors, including age, marital status, and investment objectives, except gender. However, gender has been tested as a factor in past research in the finance industry [33,34]. Age is an important factor as it relates to investors’ experience in investment and risk tolerance [35,36]. However, some research has found it to be insignificant [37]. Additionally, marital status can impact risk tolerance, financial status, and family expenses [33,38], but the effect of risk tolerance on married couples has not been found in past research [39]. Lastly, investment objectives change as investors age, and this reflects the selection of financial products for their investment objectives, such as retirement, savings, or tax benefits [38].
While the use of Fintech is important in promoting competition in the investment services market as its convenience, data privacy is a major concern for investors using the financial and management systems of Fintech start-ups, particularly internet-based services of Mutual Fund Brokers [30,40]. As of 17 March 2022, there were four Mutual Fund Brokers in Thailand that held the guaranteed mark of Fintech operation system from the SEC, which helps to establish standard infrastructure and increase consumer trust in online self-services. However, as digital services involve less human interaction, trust becomes a crucial factor in driving consumer acceptance, and perception of usefulness [24,41,42,43]. In addition, the lack of physical interaction in the service channels of Mutual Fund Brokers may require the acceptance of digital distribution channels by consumers, particularly for those who may have low initial trust due to a lack of experience or social presence [5,44]. This leads to the following hypotheses:
Hypothesis 1
(H1). Regulator support (RS) has a positive effect on trust (TR) towards the use of digital investment services from mutual fund distributors.
Hypothesis 2
(H2). Trust (TR) has a positive effect on perceived usefulness (PU) towards the use of digital investment services from mutual fund distributors.

2.3.2. Digital Investment Services

When mutual fund distributors position internet trading against the service channels with in-person interaction, this service relies heavily on technology experience from individual investors. It is on a self-service basis. Convenience is therefore important to attract investors to technology-based services. As it is easy to access and use, this factor helps investors perceive its usefulness rapidly. It allows investment opportunities to individual investors and presents the flexibility for a fund account opening. Individual investors prefer a convenient, suitable, and comfortable service as they can save time waiting at the branch when they use digitized investment services. They can make a simple, fast, and easy transaction service. Other than being easy to use, its platform should be designed to be user-friendly and easy to learn. Its mobility is used in proceeding services on mobile applications and web-based services, anywhere and anytime. One of the advantages that investors prefer is that they can reach all investment aspects with a real-time source basis through a single tool. Therefore, they can easily reach massive information about the investment. For instance, they can read professional reports about mutual funds and asset investment [45]. The communication and relation between financial institutions, mutual fund distributors, and individual investors are reshaped by digitized services [27,29,41,46,47,48]. Nevertheless, it is hard for a group of consumers who are now inaccessible to the internet or tools to touch useful technology. Mutual Fund Brokers are well aware of the niche market services that they are contributing the attractive systems and services as much as easy accessibility to their digital investment services.
Digitized services of mutual fund distributors are specifically designed for a consumer-oriented basis and used on convenient devices, while there has been greatly attempting to enhance individual investors’ deeper usage without any barriers in technical skill. Most tech-savvy would be easily convinced because this investor group is active in adopting digital usage. They can absorb and gain the user experience of online investment platforms by themselves, and they then produce common intentions to behavior. A new concept of an online investment platform that is interesting in potential investor groups is the use of a robotic advisor tool because of its capacity to work and advise without sale agents’ bias. These above trading environments help support investors’ investment decision-making. For traditional distributors, their branch-based services produce mostly point-person channels as the first contact for maintaining the relationships between individual investors and sale agents [4,9,24,30,43,49]. In contrast, previous works stated that consumers might have negative feelings towards new technology adoption or technology-based service at first sight if they are unfamiliar with it. It may cause them to be a group of late adaptors thereafter [25,46]. Some works found a high degree of digitized financial services adoption by younger adults surrounded by technology. Those would take a keen interest in digitized services usage [29,40]. Referring to the report of South-East Asia E-conomy in 2021 stated that there is a statistically high level of new online users in Thailand, which are 11% in 2020 and 7% in 2021, and most intend to use these online services. Additionally, ranking in the digital services segment, Thailand is second by 90% of internet users. There was 32% of investors in 2020 after a surge in digital investment. It is because of robotic-advisory. Therefore, 58% of businesses are interested in using technology as a powerful engagement tool, especially Fintech [21,50].
Based on the above analysis, we propose the following hypotheses:
Hypothesis 3
(H3). Convenience (CV) has a positive effect on the perceived usefulness (PU) towards the use of digital investment services from mutual fund distributors.
Hypothesis 4
(H4). Perceived ease of use (PEOU) has a positive effect on perceived usefulness (PU) towards the use of digital investment services from mutual fund distributors.

2.3.3. Financial Behavior along Technology Use

The current pandemic has accelerated the adoption of Fintech in the financial industry, with many investors opting for digital investment solutions due to the need for contactless interactions. Previous research has shown that the trend of Fintech adoption in finance and investment has continued even after lockdowns have ended, as those who have adopted these technologies have found them to be more convenient and efficient in their financial transactions [30,46,51]. The impact of the pandemic on consumer behavior has led to a shift towards digitized investment solutions, particularly among those who are more comfortable with technology and have a higher level of adoption [6,21,29,42].
The understanding of specific behavior in financial decision-making has been studied in relation to social behavior. It has been suggested that as an individual’s financial awareness and understanding increases, their financial behavior follows suit [49,52,53,54]. In order to understand the behavior in various research fields better, the financial behavior of investors has been studied in terms of neurofinance and neuroeconomics, which involve the cognitive processes and neural networks involved in decision-making. Rationalists argue that investors use rationality in their decision-making. At the same time, behaviorists suggest that individuals make financial decisions based on the actions of others in situations where there is limited information available [55,56]. The influence of others on an individual’s intention is known as a subjective norm (SN). It has been studied in various theories, including the Theory of Reasoned Action (TRA) [57], Theory of Planned Behavior (TPB) [58], Technology Acceptance Model 2 (TAM2) [59], and the Unified Theory of Acceptance and Use of Technology (UTAUT) [60]. SN can be influenced by interpersonal communication, particularly in close relationships such as investor groups, and it can also be shared through social media or online communities. The presence of SN and experience-based knowledge in investor groups has led to the concept of robotic advisors, which can facilitate the creation of financial and social relationships and networks [9,29,47,48,61,62,63].
The adoption of financial technology, or Fintech, has seen a mixed response among individuals, with some being late adopters and others choosing not to adopt it at all despite living in a highly technological environment. Late adopters tend to prioritize the performance and reliability of new technologies before deciding to use them. They may be more interested in doing so if someone else can vouch for its effectiveness [46]. Ensuring the security and risk management of e-services or non-physical interaction services is also critical [40,64,65,66]. This is especially important for non-adopter groups who may concern about such services’ privacy and security. However, some individuals may not be interested in e-services due to a lack of skills or understanding of financial technology or because they find it difficult to use such technology-based services, particularly if they are non-experienced or considered too old for new technologies. For these individuals, traditional services may be a more suitable option. Previous research has shown that there is often a lack of awareness of Fintech among consumers, and those who use Fintech services tend to be a minority group [25,27,67]. Ultimately, the adoption of technology-based services in the investment sector is likely to vary based on individual differences such as personality, emotional intelligence, initial trust, and experiences [35,68]. It may take some time for individuals to adapt to new technological environments and learn through experience before perceiving the benefits of good technology and increasing their adoption of financial technology.
Based on the above analysis, we propose the following hypotheses:
Hypothesis 5
(H5). Subjective norm (SN) has a positive effect on the perceived usefulness (PU) towards the use of digital investment services from mutual fund distributors.
Hypothesis 6
(H6). Perceived usefulness (PU) has a positive effect on behavior intention (BI) towards the adoption of digital investment services from mutual fund distributors.

3. Materials and Methods

3.1. The Conceptual Framework

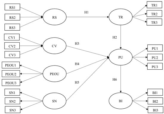
In past research on the adoption of technology-based services, various variables from TAM and UTAUT have been included in conceptual models to explain acceptance in the context of technology facilitation [11,60]. These studies have shown that PU is more influential than PEOU, but PEOU is still important for customers’ initial use of digital self-service platforms [27,41]. However, these variables only address technology acceptance and do not take into account users’ perceptions of service acceptance [30,40,48]. As Fintech adoption has led to a shift in individual behavior towards digital services, mutual fund distributors must work to build trust with their customers in order to position internet-based services against in-person interactions [9,25]. SN, which is influenced by TR and represents an individual’s perception of how others perceive the service, has been shown to be an important factor in forming BI [29,69]. To understand technology acceptance in the context of digital services offered by mutual fund distributors, including individual perception, a conceptual model was developed using variables from the literature review and the collaborative model TAM2, which includes PEOU, PU, SN, and BI [46,59,60]. The proposed conceptual model for this research includes the variables of RS, TR, CV, PEOU, SN, PU, and BI. As shown in Figure 4, each variable is assessed by three measurement items. For example, the variable of RS is measured by items RS1, RS2, and RS3. The arrow lines that connect a measurement item to a variable represent the formative indicator, while the arrow lines connecting a variable to a measurement item represent the reflective indicator. Additionally, H1–H6 in the figure denote the hypotheses as discussed in the previous section.
Figure 4. The conceptual model.

3.2. Survey Design

3.2.1. Sample for Study

In this study, we focused on Thai investors who have experienced mutual fund investment as our sample. The age range of the subject was set at 20 years old to be in accordance with Thai regulation that allows the investor with 20 years of age to be eligible to open investment accounts. Using the 21 indicators in our conceptual model, we proposed that they were both formative and reflective of the observed variables and then introduced seven latent variables, comprising six independent variables and one dependent variable. The PLS-SEM method was utilized to analyze the model and allowed for the small sample size to accurately weight the various constructs and items in the model [70,71,72,73]. The minimum sample size for the PLS-SEM tool was determined using the ten times rule, which states that there should be at least ten cases for each measured variable, or ten times the number of the largest paths pointing to a construct or latent independent variable in the structure model [74]. According to the minimum sample size recommendations for statistical power, a sample size of at least 48 cases is required when the model includes six independent variables to achieve a significant level of 95% with an acceptable variance of 0.25 [75]. Therefore, our sample size of at least 60 respondents meets the guidelines of the ten times rule and is sufficient for our research given the conceptual model and PLS-SEM guidelines [30,70,71,72,76,77].

3.2.2. Survey Questionnaire

This quantitative research utilized closed-ended questions in two sections. The first section included four questions about the respondent’s general information, including gender, age, investment experience, and perception of mutual funds. The second section consisted of 21 questions about variable measurement, which included items for RS, TR, CV, PEOU, SN, PU, and BI. The items used for measurement are listed in Table A1 of Appendix A, which were sourced from previous studies to form questions in the second section of the questionnaire. These items were rated on a five-point Likert scale.

3.3. Data Collection

From Table A1, these items for measurement were then reviewed by three professionals who are experts in the field of finance and human behavior with at least three years of investment experience. The questionnaire was then created using Google Forms and distributed through social networks in Thailand, including Facebook and Line groups of investors. Data was collected for a month in May 2022 through a purposive sampling method, ensuring that the target group of Thai investors who are familiar with mutual fund investments were included and individuals who are not Thai investors or unfamiliar with mutual fund investments were excluded. This helped to ensure that the study accurately captured the perspectives of the target group.

3.4. Data Analysis

For descriptive analysis, frequency and percentage were calculated. The PLS algorithm was used to perform the estimation of path models using the Smart PLS 3.3.9 software. The PLS-SEM analysis provided a two-stage evaluation of the path models [74,78]. The first stage, the outer model or measurement model evaluation, was the first step in verifying the reflective indicators through their individual items and measuring the formative indicators using a different formula. The assessment of the reflective indicators included the loading of each reflective indicator, the reliability of internal consistency, convergent validity, and discriminant validity, respectively. The assessment of the formative indicators included convergent validity, collinearity, and the significant level of weights. The second stage, the inner model or structural model evaluation, involved the assessment of the hypothesized relationships in the research. The model evaluation included the coefficient of determination, the effect size, collinearity, cross-validated redundancy, and path coefficients.

4. Results and Discussion

4.1. Descriptive Analysis of Demographic Characteristics

A screening question was used to identify Thai investors who have experienced mutual fund investment. After data cleaning, 76 cases were included in the analysis. The demographic information of the sample, as analyzed through descriptive analysis, is presented in Table 1. It clarifies demographic information data by frequency and percent for each characteristic separately. To study the target group, we categorize them by gender, age, investment experience, and investment channel. Gender expresses as male or female. The age range starts at 20 years and is divided into strata of 10-year intervals. Experience in investment varies between the initial first year and three years above. Lastly, the investment channels are at the branch, mobile application, website, and other channels they prefer.
Table 1. Demographic information of the respondents.
Out of the 76 respondents, there were an equal number of male and female respondents, 38 each. The largest age group among the respondents was the 30–39 age range, with 29 respondents (38%). The majority of respondents, 31 (41%), had three years of investment experience. The most familiar channel for mutual fund investment among the respondents was digital services, with mobile applications and websites being the most familiar at 46 (39%) and 41 (34%) respondents, respectively.

4.2. Descriptive Analysis of the Item Measurement

In the second section of the questionnaire, the item measurements were rated using a five-point Likert scale. Three types of ratings were identified. Most of the indicators were in the “agree” level, with the exception of the third indicator of SN, which was rated as “neutral”, and all indicators of the CV construct, which were rated as “strongly agree”.

4.3. Estimations of Measurement Models

In structural equation modelling, a construct is a latent variable inferred from a set of observed variables, called indicators. The measurement model describes the relationship between the indicators and the latent construct [77]. The relationship between indicators and the construct can be reflective or formative as shown in Figure 5. Reflective models assume that the indicators are affected by the latent variable, while formative models assume that the indicators define the latent variable [71]. Reflective indicators are interchangeable as they reflect the same underlying concept, while formative indicators are not interchangeable, as each one contributes a specific meaning to the latent variable. In formative models, a change in the indicators results in a change in the construct under study.
Figure 5. The relationships between the constructs and their indicators, where box (a) is a formative model and box (b) is a reflective model.
Box (a) of Figure 5 illustrates a formative model, where w i denotes the weight of item Fi. In this model, an independent variable (IV) is determined by the weighted values of multiple items, i.e., F1, F2, and F3. This IV then has an impact on the dependent variable (DV). Box (b) of Figure 5 illustrates a reflective model, where l i represents the loading of item Ri. In this model, the value of DV is reflected by multiple items, i.e., R1, R2, and R3, through outer loading. The value of the DV is determined by the sum of the weighted values of these items.

4.3.1. Reflective Indicators

According to the steps in running the PLS algorithm [78], the results of the measurement are shown in Table 2. Construct BI, PEOU, PU, SN, and TR were considered by the satisfied level of Cronbach’s alpha coefficient ( α ), composite reliability (CR), and average variance extracted (AVE). Each construct reflected three indicators. For the relation between a construct and its indicators, a construct is measured as whether it is an acceptable construct in the model by outer loadings and a significant level of 0.05 indicators. For example, construct BI was valuable for items BI1, BI2, and BI3. These items sucked their weights in the form of outer loadings. Each item had a significant level at p -values.
Table 2. Constructs and reflective indicators measurement.
As reflected in the loadings of reflective indicators, the indicator reliability was satisfactory, as the values were above the threshold of 0.708. It was not only satisfactory for outer loadings but also each indicator’s p -values. The p-values of all indicators were below 0.05. Thus, these indicators were satisfied. The reliability of internal consistency, as measured by α and CR, was acceptable for each construct as both values were within the range of 0.70 and 0.95 [71,79,80,81]. The construct validity, or convergent validity, was satisfactory as AVE was above the threshold of 0.50. Finally, discriminant validity was examined using the Fornell-Larcker criterion, cross-loading value, and the heterotrait-monotrait (HTMT) correlation. The inter-construct correlation from the Fornell-Larcker criterion and the cross-loading value was acceptable as the values were larger than the cross-loading for any relative construct. The HTMT correlation for PU and BI had slightly high values when the acceptable scale was below 0.90. However, according to other criteria for discriminant validity, the correlations were acceptable [71]. Therefore, the reflective indicators and their constructs were verified as being in an acceptable condition according to all criteria and can be used in explaining the structural model estimation.

4.3.2. Formative Indicators

The formative indicators’ results, using the PLS algorithm and 5000 subsamples bootstrapping, are presented in Table 3. This table shows values from the examination of the construct CV and RS. Each construct was formed from three indicators. These items complemented each other completely. Therefore, the construct was considered by the satisfied level of their indicators and was accepted by these items leading to internal validity as path coefficients ( β -values). For the relation between a construct and its indicators, an indicator is measured as whether it is an acceptable item for that construct by its satisfied value in various criteria, including a significant level at p -values, outer loadings, and Variance Inflation Factor (VIF). For instance, the construct CV was valuable because of CV1, CV2, and CV3.
Table 3. Constructs and formative indicators measurement.
To examine the correlation between the independent variables on the dependent variable, the value of VIF was calculated through collinearity testing. The collinearity levels were below five, with three being particularly low, indicating an acceptable level without multicollinearity. VIFs of all indicators were below five, especially with three. These indicators were satisfied. Next, the correlation of the construct’s indicators was examined for convergent validity through redundancy analysis. The values of the CV ( β = 0.731) and RS ( β = 0.708) constructs were acceptable, as the path coefficients were above the threshold of 0.70. The relevance of the indicators was then examined through the significance of their weights, using a resampling technique with 5000 subsamples and a significant level of 0.05. The p-values for all indicators were below 0.05, except for the CV2, RS2, and RS3 items. Although these three items had no significant weight, the outer loadings for all formative indicators were above 0.50. Therefore, all formative indicators were considered acceptable in supporting their respective constructs. As a result, the formative indicators and their constructs were considered suitable for estimating the structural model.

4.4. Estimations of Structural Model

Using the PLS algorithm and bootstrapping [71,78], the values of the structural model measurement are presented in Table 4. It shows the acceptable relation between the exogenous constructs and endogenous constructs in the model. An exogenous construct explains a variable whose weight impacts one or many endogenous constructs. A view of an exogenous construct was found in the model’s relationship. For example, TR was an exogenous construct for PU. The term of endogenous constructs, TR receiving impact from RS, PU receiving from TR, and BI receiving from PU, respectively, were measured their values by previous constructs. The gathering effect of endogenous constructs was introduced with varying degrees of own exogenous construct following the variance at R 2 , and, if interesting in value adjusted error to that construct, at adjust R 2 . Value reflecting the usefulness of the construct was found as Q 2 . Besides, these relations between constructs were verified by VIF value of each indicator.
Table 4. Structural model measurement.
The collinearity level between the exogenous constructs and endogenous constructs was satisfactory as the VIF was below five, specifically three. The predictive accuracy of the endogenous construct, as examined by the coefficient of determination, R 2 , was the variance from the relevant exogenous constructs. This value is typically expressed on a scale of 0 to 1, with a value closer to 1 indicating an absolute accuracy. Therefore, there are three levels, including a minimum of 0.75 for a substantial level, 0.50 for a moderate level, and 0.25 for a weak level. The R 2 value of PU (0.644) and BI (0.600) were at a moderate level, while TR (0.365) was at a weak level. Despite this, the verified indicators in the measurement model estimation stage were deemed potential [80]. The next measurement step involved the use of the blindfolding technique to examine the value of the cross-validated redundancy, Q 2 , at an acceptable level. This Q 2 value reflects the predictive accuracy of the endogenous construct on the predictive relevance to the inner model. Its relevance is expressed in three levels, with a minimum of 0.50, 0.25, and 0 representing large, medium, and small sizes, respectively. PU (0.470) and BI (0.455) had a large predictive relevance, while TR (0.229) had a small predictive relevance to the inner model.
The assessment results of the hypothesized relationships are presented in Table 5. It shows which hypothesis was supported or rejected. It is because each of the paths was considered by both important criteria. There were β -values indicating positive and p -values indicating significant. Other than having the said values, considering value of effect size is for a clear understanding of each preceding or exogenous construct. The effect size, f 2 , was a specific part to see reflection of the exogenous construct on the endogenous construct.
Table 5. Results of hypotheses and their significance.
The path coefficient for each of the hypothesized relationships ranges from −1 to +1, with a value closer to +1 indicating a strong positive relationship and a value closer to −1 indicating a strong negative relationship. Using the largest 5000 subsamples bootstrapping with a significant level of 0.05, all six hypotheses were tested for the significance of their path coefficients to determine which relationships were supported or rejected. A supported relationship has a positive and significant impact on its path. H1, which states the path of the relationship between RS and TR, was supported as RS had a positive impact on TR ( β = 0.604 ) and the path was significant ( p < 0.05 ). The following values of the three hypotheses about the path of each preceding construct to PU were considered to be supported relationships. H2 found that TR had a positive impact on PU ( β = 0.214) and this path was significant ( p < 0.05 ). H3 showed that CV had a positive impact on PU ( β = 0.472) and this path was significant ( p < 0.05 ). H5 was supported as SN positively impacted PU ( β = 0.204 ), and the path was significant. The relationship between PU and BI was also significant, with PU having a positive impact on BI ( β = 0.775 ), supporting H6. However, the path between PEOU and PU, as described in H4, was insignificant despite PEOU having a positive impact on PU ( β = 0.142 , p = 0.150 ) and was therefore rejected. Consequently, five hypotheses were supported, and one was rejected. The f 2 , which reflects the impact of the exogenous construct on the endogenous construct, is expressed on a scale with a minimum value of 0.02, 0.15, or 0.35 representing small, moderate, and large sizes, respectively. In this research, the endogenous construct, PU, received a small effect size from the reflectively measured exogenous constructs, including TR (0.097), SN (0.081), and PEOU (0.031). Additionally, the structural model has indirect and direct effects described in the hypotheses. The results of the indirect effects in this research model were significant and had a positive impact. The exception was the relationship between PEOU and BI through the PU construct, which was insignificant but positively impacted BI ( β = 0.110 , p = 0.157 ).
The results of the path model estimation are presented in Figure 6, which shows the overall hypothesized relationships along with the path coefficients.
Figure 6. The results of the proposed model, where the green color of the path coefficients indicates p < 0.05 and the red color indicates p 0.05 .
Construct TR, PU, and BI, indicating for this conceptual model, were endogenous constructs receiving the variance from their exogenous constructs. Hypotheses in this study were accepted, except for the relationship between PEOU and PU. It was because this path was insignificant in the examination.

4.5. Discussion

In this study, the use of PLS-SEM allowed for sufficient estimation of the path model [71]. This method was chosen due to its effectiveness in weighting items with a small sample size and its ability to analyze non-normal human intention or satisfaction data. The research in this study focused on exploring the factors that influence the intention to use digital investment services and how these factors relate to behavioral intention (BI). This study utilized exploratory research to develop hypotheses on these factors and served as a preliminary examination of the use of digital investment services. Overall, the findings of this research contribute to a better understanding of the factors influencing the use of digital investment services and the relationship between these factors and BI.
The findings of this study support all six hypotheses and are consistent with previous research. Specifically, the first hypothesis, which posits a positive and significant impact of perceived security (RS) on trust in the service (TR), is supported by the findings of this study and aligns with past research [42]. The results show that RS has both a direct and indirect effect on TR and on perceived usefulness (PU), and BI. This study provides further evidence that users’ trust in a digital service can be increased, leading to an increase in the perception of usefulness and, ultimately, BI. The second hypothesis, which proposes a significant and positive impact of TR on PU, is also supported by the findings [30]. Additionally, TR was found to have an indirect, significant, and positive effect on BI. The third hypothesis, which suggests a direct relationship between perceived compatibility (CV) and PU, is supported by the findings and aligns with previous research [46]. The results also indicate that CV significantly and positively impacts PU. The fifth hypothesis, which posits a direct and indirect impact of social norms (SN) on PU and BI, respectively, is supported by the findings and is consistent with previous research that found a significant and positive effect of SN on PU [29]. The sixth hypothesis, which proposes a positive and significant impact of PU on BI, also agrees with the previous work findings [30,46]. These results highlight the importance of perceived usefulness (PU) in driving BI towards adopting new technologies.
Although the findings of this study did not support a significant relationship between perceived ease of use (PEOU) and PU, as found in some previous research, it did confirm a positive impact of PEOU on PU and BI indirectly. These findings were based on the perspectives and perceptions of Thai individual investors who have experience with mutual fund investment, with the majority being young adults who are known as tech-savvy. It is possible that the high level of technology use may influence these results and familiarity with self-service systems, such as stock trading technology, among these respondents [8,24,82,83]. Previous research has suggested that the perceived difficulty of using technology can increase users’ willingness to adopt it, as complex systems may be seen as more attractive than those that are easy to use [84]. These findings provide insight into the adoption of digital investment services among Thai individual investors.
The findings regarding PEOU support the idea that it has a limited role in technology research. This may be because potential users commonly perceive the procedure and usefulness of new technology usage [29]. However, some recent studies have suggested that technology-based financial services may be a new concept for some users, particularly in the early adoption stages, and that the advantages of PEOU may be more appreciated by these users with limited experience [8,46,85]. This finding, which suggests the potential importance of PEOU, also provides support for future research. In terms of the indirect effects of the variables in the conceptual model, this study did not include a mediation analysis, although it is likely that PU acts as a mediator in the relationships between TR, CV, PEOU, and SN, as well as between TR and RS. A mediator, or intervening variable, can have a significant impact on the conceptual model and can help explain how a construct absorbs an effect on the path. Future research could further explore the potential mediating effects of PU and other variables.

5. Conclusions and Recommendations

5.1. Conclusions

This work aims to understand the factors that influence the intention of Thai investors to use digital services from mutual fund distributors, as well as the relationships between these factors. The study used PLS-SEM as a method of data analysis, which works effectively in a small sample size. The findings of this work, which provide insight into Thai investors’ perspectives, support all six hypotheses and agree with previous research. The perceived usefulness of a new service platform plays a significant role in determining user intention. This importance is reinforced by the fact that perceived usefulness is influenced by factors such as convenience, trust, and subjective norm. In addition, many of the respondents in this study were already familiar with financial self-service platforms. Therefore, they may have low expectations for the ease of use of these platforms, particularly among potential users and those who are tech-savvy. For example, many respondents had already used distributors’ platforms for stock or gold trading. These findings have implications for designing and implementing new digital service platforms for mutual fund distributors. To increase technology acceptance for mutual fund distributors, we need to consider the platform’s perceived usefulness and ensure that it is convenient, trustworthy, and meets the subjective norm of the target users. Additionally, the existing knowledge and expectations of potential users are crucial factors to be weighed.

5.2. Limitations

This work presents the point of view on using a new digital service platform by individual investors in Thailand, which is not attractive to investors as they need to become more familiar with such self-service platforms. The objectives of this work are to study the factors and their relationships based on a conceptual model without considering the comparison between targets. Finally, this work utilizes PLS-SEM analysis with 76 respondents to develop the findings. Although the number of respondents is sufficient for this analysis, a larger number of respondents would result in more accurate results.

5.3. Future Works

The extension of this work can be presented as the following future study considerations.
  • A long-term study evaluates whether a factor remains important and examines it among different user groups.
  • A covariance-based SEM (CB-SEM) is used as the model analysis tool because it requests a bigger sample size than PLS-SEM, and it has the model confirmation stage.
Future research should consider using moderators or mediators to factor in the hypothetical relationships of conceptual models, which may provide a more in-depth understanding of the factors influencing the adoption of digital service platforms. Additionally, the ongoing COVID-19 pandemic may have an impact on the intentions of users to adopt digital services and should be taken into account as a potential environmental factor. Finally, the findings of this study can be used to develop a framework for future research on the adoption of digital service platforms.

Author Contributions

Conceptualization, H.K. and T.S.; methodology, H.K.; software, H.K.; validation, H.K. and T.S.; formal analysis, H.K.; investigation, H.K.; resources, H.K.; data curation, H.K.; writing—original draft preparation, H.K.; writing—review and editing, T.S.; visualization, H.K. and T.S.; supervision, T.S.; project administration, H.K. All authors have read and agreed to the published version of the manuscript.

Funding

This research received no external funding.

Institutional Review Board Statement

The study was conducted in accordance with the Declaration of Helsinki, and approved by Ethics Committee of Mahidol University (protocol code 2022-145.2305, 7 June 2022).

Data Availability Statement

The data presented in this study are available on request from the corresponding author. The data are not publicly available due to privacy and ethical concerns; neither the data nor the source of the data can be made available under Mahidol University.

Acknowledgments

We are very thankful to all the respondents who participated in the research methodology stage. We would like to thank all staff in the Information Technology Management division, Faculty of Engineering, Mahidol University.

Conflicts of Interest

The authors declare no conflict of interest.

Appendix A

Table A1. Measurement items for questionnaire.
Table A1. Measurement items for questionnaire.
ItemsMeasurement ItemsReferences
RS1I believe the regulators support and improve digital investment services of mutual fund distributors.[42]
RS2I believe the regulators have introduced favorable legislation and regulations for digital investment services of mutual fund distributors.[42]
RS3I believe the regulators are active in setting standard up all kinds of fundamental system, which has a positive role in promoting digital investment services of mutual fund distributors.[42]
TR1I would feel comfortable if I use digital investment services of mutual fund distributors.[41]
TR2I could count on digital investment services of mutual fund distributors to help me investment in mutual fund.[41]
TR3I believe the transaction system of mutual fund distributors is secure.[30,43]
CV1Digital investment service of mutual fund distributors is convenient because I can use it anytime.[46]
CV2Digital investment service of mutual fund distributors is convenient because I can use it in any situation.[46]
CV3Digital investment service of mutual fund distributors is easy to have the equipment to use, such as mobile application, and website.[42]
PEOU1It is easy to use digital investment service of mutual fund distributors.[41,42,46]
PEOU2My interaction with digital investment service of mutual fund distributors would be clear and understandable procedure.[41,46]
PEOU3I would find digital investment service of mutual fund distributors to be flexible to interact with.[46]
SN1People who are important to me (e.g., family, friends, celebrities, and experts) think I should use digital investment service of mutual fund distributors.[29]
SN2People who are important to me would recommend me to use digital investment service of mutual fund distributors.[29]
SN3People who are important to me influence my decision to use digital investment service of mutual fund distributors.[29]
PU1Using digital investment service of mutual fund distributors can meet my investment needs.[42]
PU2Using digital investment service of mutual fund distributors would be advantageous rather than traditional service methods (at branches).[29]
PU3I think using digital investment service of mutual fund distributors can make life more convenient.[43]
BI1I intend to use digital investment service of mutual fund distributors for investment.[30,41,43,46]
BI2If I have access to digital investment service of mutual fund distributors, I want to use it as much as possible.[30,43,46]
BI3If I have used digital investment service of mutual fund distributors, I am willing to continue using them[42]

References

  1. Gerber, M. (Ed.) The Steps to Start a Mutual Fund. In How to Create and Manage a Mutual Fund or Exchange-Traded Fund; John Wiley & Sons: Hoboken, NJ, USA, 2012; pp. 156–218. [Google Scholar] [CrossRef]
  2. Gerber, M. (Ed.) Building Your Mutual Fund Team. In How to Create and Manage a Mutual Fund or Exchange-Traded Fund; John Wiley & Sons: Hoboken, NJ, USA, 2012; pp. 117–155. [Google Scholar] [CrossRef]
  3. Ciccotello, C.S.; Greene, J.T.; Walsh, L.S. Supermarket Distribution and Brand Recognition of Open-End Mutual Funds. Financ. Serv. Rev. 2007, 16, 309. [Google Scholar]
  4. Boot, A.; Hoffmann, P.; Laeven, L.; Ratnovski, L. Fintech: What’s old, what’s new? J. Financ. Stab. 2021, 53, 100836. [Google Scholar] [CrossRef]
  5. Bourne, C. Fintech’s Transparency–Publicity Nexus: Value Cocreation Through Transparency Discourses in Business-to-Business Digital Marketing. Am. Behav. Sci. 2020, 64, 1607–1626. [Google Scholar] [CrossRef]
  6. Das, K.K.; Ali, S. The role of digital technologies on growth of mutual funds industry: An empirical study. Int. J. Res. Bus. Soc. Sci. 2020, 9, 171–176. [Google Scholar] [CrossRef]
  7. Pozen, R.; Hamacher, T.; Phillips, D. The Financial Dynamics of the Fund Management Industry. In The Fund Industry; John Wiley & Sons: Hoboken, NJ, USA, 2011; pp. 391–417. [Google Scholar] [CrossRef]
  8. Dikkatwar, R.; De, T.; Prasad, V. Innovations & Technology Based Initiatives in Mutual Fund Distribution Intermediation in India. Int. J. Innov. Technol. Explor. Eng. 2020, 9, 4747–4753. [Google Scholar] [CrossRef]
  9. Kuazaqui, E.; Lisboa, T.C. Marketing: The Evolution of Digital Marketing. Arch. Bus. Res. 2019, 7, 89–96. [Google Scholar] [CrossRef]
  10. Krichene, N. (Ed.) Mutual Funds. In Islamic Capital Markets; John Wiley & Sons: Hoboken, NJ, USA, 2012; pp. 437–452. [Google Scholar] [CrossRef]
  11. Davis, F.D. Perceived usefulness, perceived ease of use, and user acceptance of information technology. MIS Q. 1989, 13, 319–340. [Google Scholar] [CrossRef]
  12. Puriwat, W.; Tripopsakul, S. Mobile banking adoption in Thailand: An integration of technology acceptance model and mobile service quality. Eur. Res. Stud. J. 2017, 20, 200–210. [Google Scholar] [CrossRef] [PubMed]
  13. Yu, C.S.; Li, C.K.; Chantatub, W. Analysis of Consumer E-Lifestyles and Their Effects on Consumer Resistance to Using Mobile Banking: Empirical Surveys in Thailand and Taiwan. Int. J. Bus. Inf. 2015, 10, 198–232. [Google Scholar]
  14. Lim, S.H.; Kim, D.J.; Hur, Y.; Park, K. An empirical study of the impacts of perceived security and knowledge on continuous intention to use mobile fintech payment services. Int. J. -Hum.-Comput. Interact. 2019, 35, 886–898. [Google Scholar] [CrossRef]
  15. Fu, J.; Mishra, M. The Global Impact of COVID-19 on FinTech Adoption; Swiss Finance Institute Research Paper Series 20-38; Swiss Finance Institute: Geneva, Switzerland, 2020; pp. 1–62. [Google Scholar]
  16. Gimpel, H.; Rau, D.; Röglinger, M. Understanding FinTech start-ups–a taxonomy of consumer-oriented service offerings. Electron. Mark. 2018, 28, 245–264. [Google Scholar] [CrossRef]
  17. Saksonova, S.; Kuzmina-Merlino, I. Fintech as Financial Innovation–The Possibilities and Problems of Implementation. Eur. Res. Stud. J. 2017, 20, 961–973. [Google Scholar] [CrossRef] [PubMed]
  18. Das, S.R. The future of fintech. Financ. Manag. 2019, 48, 981–1007. [Google Scholar] [CrossRef]
  19. Lootsma, Y. From Fintech to Regtech: The Possible Use of Blockchain for KYC. Fintech To Regtech Using Block Chain. 2017. Available online: https://static1.squarespace.com/static/567bb0614bf118911ff0bedb/t/5915784ef7e0abd89c297f3d/1494579283238/From_Fintech_to_regtech.pdf (accessed on 1 January 2023).
  20. Akram, U.; Fülöp, M.T.; Tiron-Tudor, A.; Topor, D.I.; Căpușneanu, S. Impact of digitalization on customers’ well-being in the pandemic period: Challenges and opportunities for the retail industry. Int. J. Environ. Res. Public Health 2021, 18, 7533. [Google Scholar] [CrossRef] [PubMed]
  21. Baijal, A.; Cannarsi, A.; Hoppe, F.; Chang, W.; Stephanie, D.; Sipahimalani, R. e-Conomy SEA 2021: The Digital Decade: Southeast Asia’s Internet Economy Resurgence Is Fueling Growth across the Region; Report; Bain & Company, Inc.: Boston, MA, USA, 2021. [Google Scholar]
  22. Haslem, J.A. Selected Topics in Mutual Fund Distribution. Mutual Funds and Exchange-Traded Funds: Building Blocks to Wealth; Oxford University Press: Oxford, UK, 2015; p. 417. [Google Scholar]
  23. Reid, B.K.; Rea, J.D. Mutual fund distribution channels and distribution costs. Perspective 2003, 9, 1–20. [Google Scholar]
  24. Lee, I.; Shin, Y.J. Fintech: Ecosystem, business models, investment decisions, and challenges. Bus. Horizons 2018, 61, 35–46. [Google Scholar] [CrossRef]
  25. Qiu, L.; Li, D. Applying TAM in B2C E-commerce research: An extended model. Tsinghua Sci. Technol. 2008, 13, 265–272. [Google Scholar] [CrossRef]
  26. Haltiwanger, J.; Jarmin, R.S. Measuring the Digital Economy; MIT Press: Cambridge, MA, USA, 1999. [Google Scholar] [CrossRef]
  27. Mohamad Engku Abdullah, E.; Abdul Rahman, A.; Abdul Rahim, R. Adoption of financial technology (Fintech) in mutual fund/ unit trust investment among Malaysians: Unified theory of acceptance and use of technology (UTAUT). Int. J. Eng. Technol. 2018, 7, 9. [Google Scholar] [CrossRef]
  28. Bollaert, H.; Lopez-de Silanes, F.; Schwienbacher, A. Fintech and access to finance. J. Corp. Financ. 2021, 68, 101941. [Google Scholar] [CrossRef]
  29. Daragmeh, A.; Lentner, C.; Sági, J. FinTech payments in the era of COVID-19: Factors influencing behavioral intentions of “Generation X” in Hungary to use mobile payment. J. Behav. Exp. Financ. 2021, 32, 100574. [Google Scholar] [CrossRef] [PubMed]
  30. Le, M.T.H. Examining factors that boost intention and loyalty to use Fintech post-COVID-19 lockdown as a new normal behavior. Heliyon 2021, 7, e07821. [Google Scholar] [CrossRef]
  31. Chakraborty, S.; Digal, S. Analysis of Investment Pattern of Mutual Funds Investors—An Empirical Study in Orissa. GITAM J. Manag. 2013, 11, 192–207. [Google Scholar]
  32. FundConnext. Available online: https://www.set.or.th/th/dap/services/fundconnext (accessed on 16 January 2023).
  33. Hira, T.K.; Loibl, C. Gender Differences in Investment Behavior. In Handbook of Consumer Finance Research; Springer: New York, NY, USA, 2008; pp. 253–270. [Google Scholar] [CrossRef]
  34. Sung, J.; Hanna, S. Factors related to risk tolerance. J. Financ. Couns. Plan. 1996, 7, 11–19. [Google Scholar] [CrossRef]
  35. Eberhardt, W.; de Bruin, W.B.; Strough, J. Age differences in financial decision making: The benefits of more experience and less negative emotions. J. Behav. Decis. Mak. 2019, 32, 79–93. [Google Scholar] [CrossRef]
  36. Ivan, B.; Dickson, L. Consumer Economic Socialization. In Handbook of Consumer Finance Research; Springer: New York, NY, USA, 2008; pp. 83–102. [Google Scholar] [CrossRef]
  37. Jonsson, S.; Söderberg, I.L.; Wilhelmsson, M. Households and mutual fund investments: Individual characteristics of investors behaving like contrarians. J. Behav. Exp. Financ. 2017, 15, 28–37. [Google Scholar] [CrossRef]
  38. Fisher, P.J.; Montalto, C.P. Effect of saving motives and horizon on saving behaviors. J. Econ. Psychol. 2010, 31, 92–105. [Google Scholar] [CrossRef]
  39. Dew, J. Marriage and Finance. In Handbook of Consumer Finance Research; Springer: New York, NY, USA, 2008; pp. 337–350. [Google Scholar] [CrossRef]
  40. Stewart, H.; Jürjens, J. Data security and consumer trust in FinTech innovation in Germany. Inf. Comput. Secur. 2018, 26, 109–128. [Google Scholar] [CrossRef]
  41. Benamati, J.S.; Fuller, M.A.; Serva, M.A.; Baroudi, J. Clarifying the Integration of Trust and TAM in E-Commerce Environments: Implications for Systems Design and Management. IEEE Trans. Eng. Manag. 2010, 57, 380–393. [Google Scholar] [CrossRef]
  42. Hu, Z.; Ding, S.; Li, S.; Chen, L.; Yang, S. Adoption Intention of Fintech Services for Bank Users: An Empirical Examination with an Extended Technology Acceptance Model. Symmetry 2019, 11, 340. [Google Scholar] [CrossRef]
  43. Chuang, L.M.; Liu, C.C.; Kao, H.K. The adoption of fintech service: TAM perspective. Int. J. Manag. Adm. Sci. 2016, 3, 1–15. [Google Scholar]
  44. Metre, S.G.; Parashar, P. Impact of Digitization on Mutual Fund Services in India. In Proceedings of the 10th International Conference on Digital Strategies for Organizational Success, Gwalior, India, 5–7 January 2019. [Google Scholar] [CrossRef]
  45. Kohmutputthipong, R. Analyst Report Roles in Accounting and Finance Research. Chulalongkorn Bus. Rev. 2012, 34, 1–28. [Google Scholar]
  46. Kim, C.; Mirusmonov, M.; Lee, I. An empirical examination of factors influencing the intention to use mobile payment. Comput. Hum. Behav. 2010, 26, 310–322. [Google Scholar] [CrossRef]
  47. Jongwannasiri, S.; Uon, V. Factor Influencing Individual Investor’s Intention. Veridian E-J. Silpakorn Univ. 2016, 9, 1094–1107. [Google Scholar]
  48. Thong, J.Y.L.; Venkatesh, V.; Xu, X.; Hong, S.J.; Tam, K.Y. Consumer Acceptance of Personal Information and Communication Technology Services. IEEE Trans. Eng. Manag. 2011, 58, 613–625. [Google Scholar] [CrossRef]
  49. Dewi, V.; Febrian, E.; Effendi, N.; Anwar, M. Financial Literacy among the Millennial Generation: Relationships between Knowledge, Skills, Attitude, and Behavior. Australas. Accounting, Bus. Financ. J. 2020, 14, 24–37. [Google Scholar] [CrossRef]
  50. Baijal, A.; Cannarsi, A.; Hoppe, F.; Chang, W.; Stephanie, D.; Sipahimalani, R. e-Conomy SEA 2021 Roaring 20s: The SEA Digital Decade (Thailand); Report; Bain & Company, Inc.: Boston, MA, USA, 2021. [Google Scholar]
  51. Fu, J.; Mishra, M. Fintech in the time of COVID-19: Technological adoption during crises. J. Financ. Intermediation 2022, 50, 100945. [Google Scholar] [CrossRef]
  52. Fong, J.H.; Koh, B.S.K.; Mitchell, O.S.; Rohwedder, S. Financial literacy and financial decision-making at older ages. Pac.-Basin Financ. J. 2021, 65, 101481. [Google Scholar] [CrossRef]
  53. Xiao, J.J. (Ed.) Applying Behavior Theories to Financial Behavior. In Handbook of Consumer Finance Research; Springer: New York, NY, USA, 2008; pp. 69–81. [Google Scholar] [CrossRef]
  54. Park, C.M.; Kraus, A.D.; Dai, Y.; Fantry, C.; Block, T.; Kelder, B.; Howard, K.A.S.; Solberg, V.S.H. Empowering Women in Finance through Developing Girls&rsquo; Financial Literacy Skills in the United States. Behav. Sci. 2021, 11, 176. [Google Scholar] [PubMed]
  55. Erkut, B.; Kaya, T.; Lehmann-Waffenschmidt, M.; Mahendru, M.; Sharma, G.D.; Srivastava, A.K.; Srivastava, M. A fresh look on financial decision-making from the plasticity perspective. Int. J. Ethics Syst. 2018, 34, 426–441. [Google Scholar] [CrossRef]
  56. Frydman, C.; Camerer, C.F. The Psychology and Neuroscience of Financial Decision Making. Trends Cogn. Sci. 2016, 20, 661–675. [Google Scholar] [CrossRef]
  57. Ajzen, I. From Intentions to Actions: A Theory of Planned Behavior. In Action Control: From Cognition to Behavior; Springer: Berlin/Heidelberg, Germany, 1985; pp. 11–39. [Google Scholar] [CrossRef]
  58. Ajzen, I. The theory of planned behavior. Organ. Behav. Hum. Decis. Process. 1991, 50, 179–211. [Google Scholar] [CrossRef]
  59. Venkatesh, V.; Davis, F. A Theoretical Extension of the Technology Acceptance Model: Four Longitudinal Field Studies. Manag. Sci. 2000, 46, 186–204. [Google Scholar] [CrossRef]
  60. Venkatesh, V.; Morris, M.G.; Davis, G.B.; Davis, F.D. User Acceptance of Information Technology: Toward a Unified View. MIS Q. 2003, 27, 425–478. [Google Scholar] [CrossRef]
  61. Xue, J.; Zhu, E.; Liu, Q.; Yin, J. Group Recommendation Based on Financial Social Network for Robo-Advisor. IEEE Access 2018, 6, 54527–54535. [Google Scholar] [CrossRef]
  62. Hanson, T.A.; Olson, P.M. Financial literacy and family communication patterns. J. Behav. Exp. Financ. 2018, 19, 64–71. [Google Scholar] [CrossRef]
  63. Yıldırım, M.; Bayram, F.; Oğuz, A.; Günay, G. Financial Literacy Level of Individuals and Its Relationships to Demographic Variables. Mediterr. J. Soc. Sci. 2017, 8, 19. [Google Scholar] [CrossRef]
  64. Guan, H.; Dong, L.; Zhao, A. Ethical Risk Factors and Mechanisms in Artificial Intelligence Decision Making. Behav. Sci. 2022, 12, 343. [Google Scholar] [CrossRef] [PubMed]
  65. Nikornpittaya, K.; Saorom, W.; Chotichoei, N. Modeling Retail Investor Confidence in The Stock Exchange of Thailand. Rajabhat Maha Sarakham Univ. J. 2019, 13, 139–147. [Google Scholar]
  66. Lee, J.; Cho, J.E.; Abdul-Rahman, F. E-banking. In Handbook of Consumer Finance Research; Springer: New York, NY, USA, 2008; pp. 105–123. [Google Scholar] [CrossRef]
  67. Laforet, S.; Li, X. Consumers’ attitudes towards online and mobile banking in China. Int. J. Bank Mark. 2005, 23, 362–380. [Google Scholar] [CrossRef]
  68. Srivastava, M.; Sharma, G.D.; Srivastava, A.K. Human brain and financial behavior: A neurofinance perspective. Int. J. Ethics Syst. 2019, 35, 485–503. [Google Scholar] [CrossRef]
  69. Kaur, I.; Kaushik, K.P. Determinants of investment behaviour of investors towards mutual funds. J. Indian Bus. Res. 2016, 8, 19–42. [Google Scholar] [CrossRef]
  70. Lutfi, A.; Al-Okaily, M.; Alsyouf, A.; Alsaad, A.; Taamneh, A. The Impact of AIS Usage on AIS Effectiveness Among Jordanian SMEs: A Multi-group Analysis of the Role of Firm Size. Glob. Bus. Rev. 2020, 0, 19. [Google Scholar] [CrossRef]
  71. Hair, J.F.; Sarstedt, M.; Hopkins, L.; Kuppelwieser, V.G. Partial least squares structural equation modeling (PLS-SEM): An emerging tool in business research). Eur. Bus. Rev. 2014, 26, 106–121. [Google Scholar] [CrossRef]
  72. Hair, J.F.; Ringle, C.M.; Sarstedt, M. Partial least squares structural equation modeling: Rigorous applications, better results and higher acceptance. Long Range Plan. 2013, 46, 1–12. [Google Scholar] [CrossRef]
  73. Hair, J.F.; Ringle, C.M.; Sarstedt, M. PLS-SEM: Indeed a Silver Bullet. J. Mark. Theory Pract. 2011, 19, 139–152. [Google Scholar] [CrossRef]
  74. Hair, J.F.; Hult, G.T.M.; Ringle, C.M.; Sarstedt, M. A Primer on Partial Least Squares Structural Equation Modeling (PLS-SEM), 2nd ed.; SAGE Publications: Los Angeles, CA, USA, 2016. [Google Scholar]
  75. Cohen, J. A power primer. Psychol. Bull. 1992, 112, 155. [Google Scholar] [CrossRef]
  76. Goodhue, D.L.; Lewis, W.; Thompson, R. Does PLS Have Advantages for Small Sample Size or Non-Normal Data? MIS Q. 2012, 36, 981–1001. [Google Scholar] [CrossRef]
  77. Schumacker, R.E.; Lomax, R.G. A Beginner’s Guide to Structural Equation Modeling; A Beginner’s Guide to Structural Equation Modeling; Lawrence Erlbaum Associates, Inc.: Hillsdale, NJ, USA, 1996; pp. xvi, 288. [Google Scholar]
  78. Hair, J.F.; Risher, J.J.; Sarstedt, M.; Ringle, C.M. When to use and how to report the results of PLS-SEM. Eur. Bus. Rev. 2019, 31, 2–24. [Google Scholar] [CrossRef]
  79. Hair, J.F.; Hult, G.T.M.; Ringle, C.M.; Sarstedt, M. A Primer on Partial Least Squares Structural Equation Modeling; SAGE Publications: Los Angeles, CA, USA, 2014. [Google Scholar]
  80. Sarstedt, M.; Ringle, C.M.; Smith, D.; Reams, R.; Hair, J.F. Partial least squares structural equation modeling (PLS-SEM): A useful tool for family business researchers. J. Fam. Bus. Strategy 2014, 5, 105–115. [Google Scholar] [CrossRef]
  81. Nunnally, J.C. Psychometric Theory; McGraw-Hill: New York, NY, USA, 1978. [Google Scholar]
  82. Grohmann, A. Financial literacy and financial behavior: Evidence from the emerging Asian middle class. Pac.-Basin Financ. J. 2018, 48, 129–143. [Google Scholar] [CrossRef]
  83. Treetanont, S.; Chantuk, T. A Study on Investment Behaviors Affecting Needs of Investorsin the Market for Alternative Investment (MAI) to Receive Internet Securities Trading Services. Veridian E-J. Silpakorn Univ. 2016, 9, 289–306. [Google Scholar]
  84. Lippert, S.K. Investigating Postadoption Utilization: An Examination Into the Role of Interorganizational and Technology Trust. IEEE Trans. Eng. Manag. 2007, 54, 468–483. [Google Scholar] [CrossRef]
  85. Chawla, D.; Joshi, H. Consumer attitude and intention to adopt mobile wallet in India – An empirical study. Int. J. Bank Mark. 2019, 37, 1590–1618. [Google Scholar] [CrossRef]
Disclaimer/Publisher’s Note: The statements, opinions and data contained in all publications are solely those of the individual author(s) and contributor(s) and not of MDPI and/or the editor(s). MDPI and/or the editor(s) disclaim responsibility for any injury to people or property resulting from any ideas, methods, instructions or products referred to in the content.

Article Metrics

Citations

Article Access Statistics

Multiple requests from the same IP address are counted as one view.