Next Article in Journal
Development of Family Farms in Inner Mongolia, China
Previous Article in Journal
The Effects of Trust, Perceived Risk, Innovativeness, and Deal Proneness on Consumers’ Purchasing Behavior in the Livestreaming Social Commerce Context
 
 
Font Type:
Arial Georgia Verdana
Font Size:
Aa Aa Aa
Line Spacing:
Column Width:
Background:
Article

Sustainable CO2 Fixation onto Bio-Based Aromatics

by
Aleksa Kojčinović
1,2,
Blaž Likozar
1,3,4,* and
Miha Grilc
1,2,3,*
1
Department of Catalysis and Chemical Reaction Engineering, National Institute of Chemistry, Hajdrihova 19, 1000 Ljubljana, Slovenia
2
Graduate School, University of Nova Gorica, Vipavska Cesta 13, 5000 Nova Gorica, Slovenia
3
Pulp and Paper Institute, Bogišićeva 8, 1000 Ljubljana, Slovenia
4
Faculty of Polymer Technology, Ozare 19, 2380 Slovenj Gradec, Slovenia
*
Authors to whom correspondence should be addressed.
Sustainability 2023, 15(23), 16321; https://doi.org/10.3390/su152316321
Submission received: 17 October 2023 / Revised: 20 November 2023 / Accepted: 23 November 2023 / Published: 26 November 2023

Abstract

:
Carboxylation reactions using carbon dioxide (CO2) as a reactant to produce new C-C bonds represent one of the most promising routes in carbon capture and utilization practices, which yield higher-atom and energy-efficient products. Kolbe–Schmitt-type reactions represent the carboxylation of aromatic compounds to their carboxylic acid derivatives. This study was the first and only to systematically investigate, thoroughly explain preparation procedures, and minutely describe the analytical methods of Kolbe–Schmitt and Marasse carboxylation of phenol. Most importantly, this study provides guidelines for the utilization of state-of-the-art technology in this century-old yet not sufficiently described reaction system. Kolbe–Schmitt carboxylation of phenol was found to be possible using sodium hydroxide (NaOH), potassium hydroxide (KOH), and sodium carbonate (Na2CO3), while the Marasse method was active only with potassium carbonate (K2CO3) as a reactant. The formation of metal phenoxide is the rate-determining step, which, however, could be more efficiently prepared under reflux. A new, simple, and repeatable HPLC method was described to identify and quantify all possible products of mono- and dicarboxylated phenols. It was found that all procedures result in the highest selectivity for salicylic acid (SA), followed by minor amounts of 4-hydroxybenzoic acid (4HBA) and 4-hydroxyisophthalic acid (4HiPh).

1. Introduction

Anthropogenic carbon dioxide emissions in the last century have significantly outpaced the natural carbon cycle, which has caused ever-growing concern about climate change. Carbon dioxide is an abundant, renewable, inexpensive, and, in the foreseeable future, environmentally harmful compound that, as such, serves as a promising feedstock in various industries. A plethora of research and review articles have been published to further motivate CO2 mitigation and provide additional application potential [1,2]. Among others, C-C bond formation is considered a superior method for carbon dioxide utilization since the newly formed C-C bond has a higher energy density. Although most of the currently available research provides information on CO2 reduction to methane/methanol and the synthesis of amides, dioxolanes, and dialkyl carbonates, carboxylation reactions with CO2 as a reactant for incorporation of the entire CO2 moiety into the new C-C bond formation still require further research [3]. One such class of compounds are carboxylic acids (R-COOH), which are very versatile and important chemicals in the medicinal, pharmaceutical, chemical, and other industries and can also be used as model compounds in the synthesis of other value-added products [4,5,6].
Almost every household contains at least one product that has salicylic acid in its composition. This aromatic carboxylic acid is mostly used in the agricultural, medicinal, and cosmetic industries, while it holds its highest value in the production of acetylsalicylic acid, an anti-inflammatory drug better known as aspirin [7,8]. Preparation of salicylic acid through carboxylation of phenol, a traditional Kolbe–Schmitt reaction, has been a standard procedure for over 100 years, and since then various Kolbe–Schmitt-type reactions have been used for the production of various aromatic hydroxyl acids [9,10]. Phenol, a lignin-derived model compound, is a great representative of other more complex aromatics and, as such, poses great potential for sustainable production of aromatic value-added products from renewable and currently poorly valorized biomass lignin. The first and, at the time, most comprehensive review of Kolbe–Schmitt reactions was published in 1957 by Lindsey and Jeskey [11], summarizing the difference between Kolbe, Schmitt, and Marasse methods. Among all, the simplest version is the Marasse method, where phenol and potassium carbonate are heated under pressurized carbon dioxide, while other methods are more complex and unreliable. In summary, regardless of the method used, the reaction (shown in Scheme 1) involves two steps: (1) the production, isolation, and purification of the alkali metal phenoxide; and (2) the carboxylation of the alkali metal phenoxide to the corresponding aromatic hydroxyl acid. Step (1) is usually carried out by dissolving phenol and selected alkali metal hydroxide or carbonate into a selected solvent, heating up to dryness, and further in-vacuo drying the precipitate to obtain the desired metal phenoxide. However, complexity, time, and energy consumption for preparation and purification make this process less desirable.
Regardless, Kolbe–Schmitt-type reactions are still highly important industrial processes for the production of hydroxybenzoic acids, which are valuable feedstocks for the production of various pharmaceuticals and fine chemicals, while utilizing CO2 as a cheap, non-dangerous, but environmentally harmful C1 source. Carboxylation of aromatic compounds is exclusively carried out under homogeneous conditions, where the basic catalyst and aromatic substrate are both present in solid form and heated while the CO2 gas is applied under pressure [5,6,7]. Articles as old as 70 years have been published on such reactions, whereas recent studies still have not managed to significantly improve or thoroughly explain the prevailing mechanisms. It has been shown that the Marasse method on p-cresol takes place only with K2CO3, while Na2CO3, NaHCO3, Li2CO3, MgCO3, and CaCO3 showed no activity [12]. Regardless of the CO2 pressure or reaction time used, the reactions were shown to take place only at temperatures above 373 K; however, the most crucial factor for the activity and selectivity was the presence of water, which is highly detrimental. A similar effect of water was proven by Cason et al. [13] on the carboxylation of catechol (dihydroxybenzene). Furthermore, Baine et al. [14] have shown that for phenol carboxylation, the Marasse method with K2CO3 and phenol behaves identically like the carboxylation of intermediate potassium phenoxide. This finding laid the groundwork for further studies that mostly used carboxylation of metal phenoxides instead of direct carboxylation of phenolic compounds in the presence of basic catalysts. One of which was by Iijima et al. [15], who obtained the best conversion of potassium phenoxide under supercritical CO2 conditions. A year later, they published an additional article using supercritical CO2, however, for direct carboxylation of phenol [16]. Yet again, among all tested bases (lithium, sodium, potassium, rubidium, calcium, and barium carbonates), K2CO3 was shown to be most active (37%) and selective (99%) towards salicylic acid, while other metallic oxides (alumina, zirconia, and ceria) were shown to be non-active.
This work represents a comprehensive study of a complete, two-step Kolbe–Schmitt reaction with a systematic approach and thorough explanation of the reaction mechanism and possible routes, the used analytics, and, most importantly, the effect of various preparation procedures. While performing only the second step of the reaction (carboxylation of the metal phenoxide), recent studies mostly use Kolbe–Schmitt-type reactions for carboxylation of various aromatic hydroxides, while this work consolidates both steps of the original Kolbe–Schmitt carboxylation of phenol. In addition to providing up-to-date and more detailed possibilities of phenol carboxylation than Cameron et al. [12], Lindsey et al. [11], Baine et al. [14], or others used over 70 years ago, this work also provides detailed and more precise analytical methods. In addition to this, the effect of various preparation procedures has been thoroughly described, as has the effect various bases (NaOH, KOH, Na2CO3, K2CO3) have on the yields of obtained mono- and dicarboxylated phenols. Lastly, this work combines two very promising sustainability domains: the valorization of lignin-derived model compounds as a renewable source of aromatics and the utilization of carbon dioxide as an abundant and, in the foreseeable future, environmentally harmful compound, which results in sustainable production of value-added products of high importance in various industries.

2. Materials and Methods

All the precursors, reactants, and gases have been purchased from commercial suppliers and used as is, without any further purification. Isopropanol (≥99.5%, Merck KGaA, Darmstadt, Germany, reference number 107022511), tetrahydrofuran (>95 wt.%, EMD Millipore, Burlington, MA, USA), and toluene (≥99.9%, Merck Emsure KGaA, Darmstadt, Germany, LOT#: K52240225013) were used as solvents, while carbon dioxide (2.2, Messer, Bad Soden am Taunus, Germany) was used as reaction gas. For the preparation of metal phenoxides, four different bases were used: sodium hydroxide (≥98%, pellets (anhydrous), Honeywell Fluka, Charlotte, NC, USA, LOT#: J3260), potassium hydroxide (≥85%, pellets, Honeywell Fluka, Charlotte, NC, USA, LOT#: K0410), sodium carbonate (≥99.5%, anhydrous, Honeywell Fluka, Charlotte, NC, USA, LOT#: J1110), and potassium carbonate (99%, anhydrous, Alfa Aesar, Ward Hill, MA, USA), which were reacted with phenol (99.5%, Acros Organics, Fair Lawn, NJ, USA, LOT#: A0411827), while commercial sodium phenoxide (98%, Alfa Aesar, Ward Hill, MA, USA, LOT#: N06G041) was used as is. For calibration curves used in the high performance liquid chromatography (HPLC), various potential phenolic carbonates were obtained: salicylic acid (SA) (≥99.0%, Sigma-Aldrich, St. Louis, MO, USA, LOT#: MKCK6947), 3-hydroxybenzoic acid (3HBA) (99%, Sigma Aldrich, St. Louis, MO, USA, LOT#: BCCB1724), 4-hydroxybenzoic acid (4HBA) (≥99%, Sigma Aldrich, St. Louis, MO, USA, LOT#: BCCB8991), 2-hydroxyterephthalic acid (2HtPh) (97%, Sigma Aldrich, St. Louis, MO, USA), 4-hydroxyisophthalic acid (4HiPh) (>98.0%, TCI Tokyo Chemical Industry, Tokyo, Japan, LOT#: 7RFGK-MQ), 5-hydroxyisophthalic acid (5HiPh) (99%, Acros Organics, Fair Lawn, NJ, USA), 4-hydroxyphthalic acid (4HPh) (>98.0%, TCI Tokyo Chemical Industry, Tokyo, Japan, LOT#: NBX5C-OA). In-house distilled water was used together with formic acid (98%, Sigma Aldrich, St. Louis, MO, USA) as an internal standard for dissolving the obtained solid products and diluting the liquid samples for the HPLC analysis.
The preparation of alkali metal phenoxides was carried out in two different ways, as described by Cameron et al. in 1949 [12]. Although this article is moderately outdated, not very detailed, and lacks correlation between the obtained results and preparation methods, in our work certain steps were modified. Since metal hydroxides are provided in pelletized form, they were primarily crushed using a ball mill, dried overnight in the oven, and stored in the desiccator until needed for use. Metal carbonates are provided as small particles; therefore, they were only oven-dried overnight (110 °C, ~18 h) prior to usage. The open beaker method involved mixing the alkali metal, solvent, and phenol in the beaker and heating it to dryness, after which it was additionally dried in the vacuum oven. The reflux method involved dissolving phenol in 10 mL of solvent, while the alkali metals were introduced into the round-bottom flask with 30 mL of solvent. Half of the phenol was introduced immediately, and the second half after 1.5 h. The synthesis was carried out for 3 h overall under reflux at 120 °C, after which it was vacuum filtered to obtain solid metal phenoxides, which were then dried overnight in the vacuum oven at 40 °C. The contents were introduced into glass liners, and the carboxylation step of metal phenoxides was carried out in a Parr 5000 Multi Reactor System (Parr Instrument Company, Moline, IL, USA) with six 75 mL parallel batch reactors and individual temperature and pressure controls. Agitation was performed with magnetic stirrers at 1000 min−1. After introducing the metal phenoxide into the reactor, the reactor itself was purged three times with 10 bar of CO2, and then 40 bar of CO2 was released into the reactor. The temperature was set to 473 K (200 °C) with a heat-up rate of 7 K min−1, and once the temperature was reached, the start of the reaction was noted. After 5 h of reaction, the reactors were cooled to room temperature, their contents vacuum dried overnight, weighed, dissolved, and prepared for high-performance liquid chromatography (HPLC) analysis, or analyzed as they were using Fourier transform infrared spectroscopy (FTIR). The used HPLC machine was the Agilent 1100 with the Acclaim Organic Acid column (250 mm length, 4 mm diameter, 5 µm particle size) and the pre-column guard cartridge with identical packing (10 mm length, 4 mm diameter, 5 µm particle size). The ATR-FTIR analyses of solid samples were carried out on Spectrum Two Perkin Elmer (Manchester, UK) using a LiTaO3 MIR detector, over the frequency range of 400 to 4000 cm−1, with 4 cm−1 resolution, 32 scans, and a constant sample pressure of 80 units. The obtained concentrations were expressed in terms of the conversion of phenol or as yields of the obtained product, for which Equations (1) and (2) have been used, respectively.
X P h = c P h , 0 c P h ,   t   c P h , 0 × 100 %   ,
Y x = c x , t c P h , 0 × 100 %   ,
where:
c P h ,   0   is the initial concentration of phenol stoichiometrically calculated.
c P h , t is the concentration of phenol at time t.
c x , t is the concentration of product x obtained at time t.

3. Results

3.1. Proposed Reaction Mechanism

Although the Kolbe–Schmitt reaction has been known and used for over 150 years, the reaction mechanism is still not clearly explained and has been a controversial topic among research groups. The main argument is on the initial step of the reaction: whether the molecule of carbon dioxide attacks the metal phenoxide at the benzene ring position or at the polarized O-M bond. Majority research groups suggest the later, where the newly-formed PhM-CO2 complex is the intermediate [17,18]. In the next step, the electrophilic carbon on the CO2 attacks the ring, where it was found that the HOMO orbital is located only on the ortho and para carbons on the benzene ring, thus suggesting that 3HBA cannot be formed. The computational analysis has revealed that when using sodium phenoxide, the 4.9 kcal/mol difference in free energy for ortho and para products results in a concentration of products with a 3300:1 ratio, thus also suggesting para 4HBA to be less favorable. However, the ortho-route proceeds via two transition states and two intermediates, with the final step being the 1,3 proton shift from C to O. For this step, three options have been suggested: a shift from C to O via cyclic transition state, a reaction between two molecules, and a deprotonation from C and subsequent protonation of O, where the last has been found to be the most optimal [18].
Furthermore, it has been theoretically shown that regardless of the alkali metal used (Li, Na, K, Ru, or Cs), the carboxylation of metal phenoxides proceeds via an almost identical reaction mechanism with similar energy profiles. Reactions with either metal used proceed via identical three transition states and three intermediates, resulting in only ortho and para substituted products, with the exception of PhLi, which yields only salicylic acids (ortho) [17]. For easier navigation through the work and a better understanding of all possible reaction pathways and observed products, all the obtained results from this study have been compiled to construct the proposed reaction mechanism as shown in Scheme 2, where gray-colored compounds are the possible conformations of mono- and dicarboxylated phenols, while the colored compounds are the only ones the literature and this study have successfully synthesized and detected. From there, it is evident that after the carboxylation of metal phenoxide, regardless of reaction conditions, only salicylic acid (SA) and 4-hydroxybenzoic acid (4HBA) are possibly acquired monocarboxylated phenols, which can further only be converted to 4-hydroxyisophthalic acid (4HiPh). Understanding the described reaction mechanism and possible routes will be further discussed in the remainder of the study.

3.2. Analysis

The older, pioneering articles on the topic of Kolbe–Schmitt-type reactions [11,12,13,14] did not present detailed information regarding the analysis of the obtained products but only mentioned using melting points and neutral equivalents as identification methods. Therefore, the need for new, contemporary, easily reproducible, and more accurate identification and quantification methods is evident, which was the primary objective of this study. Firstly, benchtop nuclear magnetic resonance (NMR), as a quick and versatile method, was used. Regardless of the accurate identification and quantification of phenol, the inability to identify the intermediate metal phenoxide suggested this method as inappropriate and directed the investigation towards spectroscopic and chromatographic analyses.

3.2.1. High-Performance Liquid Chromatography (HPLC)

Newer articles [19,20] used other spectroscopic methods for more accurate and precise identification; however, when various products and isomers, as shown in Scheme 2, are possible, chromatographic methods are preferential. The high-performance liquid chromatography (HPLC) method was chosen as the preferred method since the products have relatively high boiling points and their analysis with gas chromatography would be more complicated. After thorough method development on Acclaim’s Organic Acid column, remarkable separation of all potential products (4HiPh, 2HtPh, 5HiPh, SA, 3HBA, 4HBA, Ph, and 4HPh) was acquired with the following parameters: 0.950 mL/min flow of 5 mM H2SO4/ACN in ratio 77.5/22.5, under 40 °C oven temperature, with 5 µL injection volume and 18 min analysis duration, where the representative chromatogram is shown in Supplementary Materials, Figure S1. This method, for the first time, provides detailed analysis parameters for efficient, easy, and accurate identification of obtained products, and most importantly, offers a method to potentially detect and quantify all possible mono- and dicarboxylated phenolic derivatives, which so far has never been developed.
Furthermore, the sample preparation procedure presented new challenges. Upon dissolving the products of the overall carboxylation reaction, occasionally foamy matter was observed, or even larger precipitate particles with a cloudy appearance, either of which would be easily removed with filtration. However, upon preparing standard solutions, it was observed that higher concentrations of various dicarboxylic phenol derivatives have lower solubility in water than the monosubstituted ones. Higher concentrations (0.02 M) of monocarboxylates (SA, 3HBA, and 4HBA) did not dissolve instantly; however, after being subjected to an ultrasonic bath at 40 °C for an hour, all the compounds dissolved entirely, without precipitating after cooling down. Dicarboxylates (4HPh, 5HPh, 2HtPh, and 4HiPh) were harder to dissolve even at lower concentrations (0.002 M), while an overnight ultrasonic bath at 40 °C did not dissolve all of the solid content. This problem was successfully overcome by increasing the pH value of the solution with the introduction of low amounts of NaOH, which did not affect the actual concentration of the compound of interest. Therefore, it was concluded that certain carboxylation reactions lead to the formation of higher amounts of dicarboxylic phenols, which have lower solubility in water and show foamy or cloudy precipitates. Therefore, these samples should be treated with powdered NaOH to completely dissolve the obtained dicarboxylates.
In the step of sample preparation for the analysis proposed by Cameron et al. [12], first the unreacted phenol was removed, after which the final products were converted to their protonated conjugates through acidification with HCl. The HPLC method proposed in our work does not require these additional steps. This was confirmed through comparing the products of a single reaction, where one half of the mass obtained at the end of the reaction was dissolved in water, acidified, and subjected to HPLC analysis, while the other half was only dissolved in acidified water (5 mmol H2SO4, also used as a mobile phase) and analyzed with HPLC, where the obtained results were identical.

3.2.2. Fourier Transform Infrared Spectroscopy (FTIR)

Fourier transform infrared spectroscopy (FTIR) is a very simple and robust technique that could be easily used for quick and simple analysis of various samples. Primarily, in our study, FTIR was used to analyze the final product to confirm successful carboxylation. The observance of a newly formed band around 1650 cm−1, as shown in Figure 1, suggests the formation of a carbonyl group; thus, newly formed acids can be expected. Additionally, Figure 1 shows that both the open beaker and the reflux method result in carboxylated products, which can be visible as distinctive peaks at 1650 cm−1, which are not present in pure phenol measurement.
As the Kolbe–Schmitt reaction is a two-step reaction where the efficiency of the first step dictates that of the second, monitoring the formation of metal phenoxide is therefore detrimental. When subjecting the commercially available sodium phenoxide (NaOPh) to the HPLC analysis, the observed peak has an identical retention time as pure phenol since NaOPh gets protonated in the acidic mobile phase environment. However, FTIR could be used, as certain wavenumbers are found to be specific only for metal phenoxide and could be monitored to follow the conversion of phenol to metal phenoxide.
Mixtures with 15 different ratios of phenol/sodium phenoxide (Ph:NaOPh) were prepared with commercially available compounds to obtain homogeneous sample mixtures and to be able to predict the yield of newly formed metal phenoxide. Figure 2 shows the FTIR concentration gradient spectrograms of only the mixtures with Ph:NaOPh ratios, which allow for efficient visualization of peaks of interest. In Figure 2, the characteristic broad band around 3250 cm−1, corresponding to the –OH, can be seen to be diminishing as less phenol is present in the mixture. From the fingerprint region shown in Figure 2B, characteristic bands that can also be used for monitoring the amount of phenol are bands with wavenumbers at 1400 cm−1 and at 1250 cm−1. More importantly, the presence of a sharp band at 3500 cm−1 belonging to the –ONa suggests the formation of sodium phenoxide; thus, the amount of metal phenoxide produced in the first step of the reaction could be estimated using the FTIR analysis.

3.3. Preparation of Metal Phenoxides

3.3.1. Preparation of Sodium Phenoxide Using NaOH

The first step of the original Kolbe–Schmitt reaction takes place by preparing the metal phenoxide using sodium hydroxide as a base. Most of the papers overlook describing this step and solely focus on describing the second step of the reaction, involving the carboxylation of various aryl metal oxides. Although the Marasse method proposes a one-pot system where the aryl substrate reacts with the base under the CO2 atmosphere, a deeper understanding of the mechanism of metal aryl oxide preparation is still needed.
The preparation of sodium phenoxide was carried out with two different methods: the open beaker method and the reflux method. The open beaker method involved mixing phenol, NaOH, and solvent in the beaker, agitating, and heating it up to dryness. Depending on the solvent used, this preparation procedure is very time- and material-intensive due to the evaporation. The time needed for evaporation of the solvent can be sped up either by increasing the temperature of the hot plate, by blowing an inert gas into the solution, or by increasing the agitation speed. In addition to the potential downside from the evaporation of the reactant and the product, the use of an open beaker also resulted in partial and sometimes even full melting of the product and the formation of a single hard block of material. As the metal phenoxide intermediate is desirable to be in powdered form, breaking the block of metal phenoxide is extremely energy- and labor-intensive. Additionally, three different solvents were used (tetrahydrofuran (THF), ethanol (EtOH), and toluene) for the preparation of sodium phenoxide, and their respective products were analyzed with FTIR to estimate the successful preparation procedure. As shown in Supplementary Material Figure S2, as well as qualitatively described above, the highest amounts of NaOPh were obtained with toluene (~61%), then with THF (~45%), and lastly with EtOH (<40%). All three have fairly different boiling points (66 °C, 78 °C, and 110 °C, respectively); therefore, the time until evaporation differed significantly, which, in addition to the loss of material, could significantly affect the efficiency of the NaOPh preparation method. Consequently, the open beaker method does not seem to be preferable from the aspect of sustainability (energy, material, and labor-intensive), which was an additional motive for investigating the reflux method.
For the preparation procedure involving the reflux, an identical temperature was used (120 °C) with toluene as the solvent. The precipitate of sodium phenoxide was easily extracted from the flask by using vacuum filtration and α-cellulosic filter paper. Upon drying overnight in the vacuum oven at 60 °C, the obtained metal phenoxide was easily broken down into a light powder, which visually resembled commercial sodium phenoxide. The FTIR results of both methods carried out under 120 °C and 3 h are shown in Figure 3A. When plotting the FTIR spectra of the prepared sodium phenoxides against the –ONa peak of the calibration curve shown in Figure 2, it can be seen that the reflux method yields around 98% pure sodium phenoxide, while the open beaker method yields around 72% pure sodium phenoxide.
The reason for the open beaker method yielding lower amounts of sodium phenoxide could be explained by the excessive and vigorous heating that was taking place on the surface of the glassware. This could lead to the evaporation and degradation of the potentially formed product, as well as the reactants, and has therefore resulted in lower amounts of detected sodium phenoxide at the end of the reaction. On the other hand, the reflux method, as a non-invasive, easily controlled, and sustainable method, resulted in the almost complete conversion of phenol to sodium phenoxide. Therefore, it was evident that the preparation of sodium phenoxide using the reflux method is significantly easier, requires less energy, labor, and material, and yields high-quality products.
Furthermore, once the reflux method has been identified as a preferential preparation method, various temperatures have been applied, and the results have been shown in Figure 3B. The best results were obtained when reacting the phenol with powered NaOH under 120 °C, which yields around 98% NaOPh, while under temperatures of 90 and 150 °C, the obtained yields were around 58% and 45%, respectively. The reason for such low amounts of obtained NaOPh at higher temperatures could be explained by the degradation of the material, which is relatively close to its boiling point (~180 °C).

3.3.2. Preparation of Metal Phenoxides Using Various Bases

Although metal phenoxides have been mostly prepared from NaOH, it is possible to use other strong bases as well, which successfully lead to the production of their analogues, carboxylates. Various articles have shown that potassium, lithium, or cesium aryl oxides could be potential substitutes for highly active sodium complexes [12,17]. These alkali metals are primarily provided either in the form of hydroxides or carbonates and are highly hygroscopic and corrosive; therefore, they should be handled with special care.
Besides preparing sodium phenoxide from sodium hydroxide (NaOH), sodium carbonate (Na2CO3) was also used, while potassium carbonate (K2CO3) and potassium hydroxide (KOH) have also been used for the preparation of potassium phenoxides. All bases have been handled in an identical manner: the obtained solids were crushed with a ball mill to a fine powder and dried prior to usage. All metal phenoxides have been prepared in the exact same manner as the previously described reflux method: a 1:1 mol ratio between the phenol and the used solid base, where solid bases have been suspended in 20 mL of toluene and placed in a round bottom flask while phenol has been dissolved in 10 mL of toluene. Half of the phenol content has been introduced into the flask right away, and the other half after 90 min, while the entire reaction under reflux has lasted 180 min at 120 °C. After finishing the reaction, the suspended particles obtained while using K2CO3 were very puffy and powdery, quite like those when using NaOH. When using Na2CO3, the suspended particles remained almost entirely unchanged compared to the original Na2CO3, thus it can be assumed that no or little reaction took place, while when using KOH, the obtained suspended particles were quite gelatinous; however, after drying, they were easily broken down into fine powder. These statements were further confirmed by the FTIR analysis of the obtained metal phenoxides.
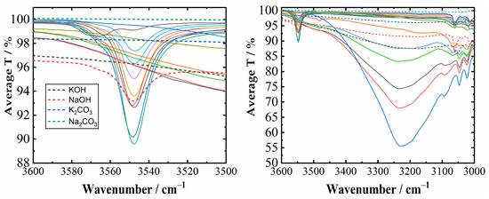
Figure 4A shows characteristic peaks of OH-stretching vibration visible at 3698, 3621, and 3431 cm−1. The peaks visible at 2924 and 2854 cm−1 are from the H–O–H stretching vibrations, and the peak at 1638 cm−1 is due to the H–O–H bending, thus suggesting the presence of a certain amount of water. From Figure 4A, it is visible that the standard sodium phenoxide (NaOPh_s) and the in-house-prepared sodium phenoxide (NaOPh_h) prepared using NaOH have identical peaks, thus confirming the successful first step of the reaction. From it, characteristic peaks can be visible at 3550 and 3060 cm−1, which could be attributed to ONa- and C-O-Na stretching vibrations, respectively. In Figure 4C,D, peaks shown at 3060 cm−1 represent C-O-K stretching vibrations, while a large, wide peak from 3200 to 2800 cm−1 could signify large amounts of water present. When comparing KOPh_h and KOPh_c spectra (sodium phenoxides obtained from potassium hydroxide and potassium carbonate, respectively) from Figure 4C,D, it is evident that the KOPh_c is lacking the prominent C-O-K peak around 3060 cm−1, which would suggest unsuccessful preparation of potassium phenoxide from K2CO3 as a precursor. The peak shown at 1424 cm−1 is from the O–C–C stretching vibration [21]. In Figure 4B, it is visible that the sample of the in-house prepared sodium phenoxide (NaOPh_c), prepared using Na2CO3, has an identical spectrogram as the original Na2CO3, thus confirming our qualitative description of no reaction taking place.
As previously discussed, neither HPLC nor NMR could be used to identify and consequently quantify metal phenoxides; therefore, additional efforts have been invested into quantifying various metal phenoxides using the FTIR calibration curve of 15 different loadings of Ph:NaOPh, as shown in Figure 2. The obtained concentration gradient has shown a characteristic peak of ONa- stretching at 3550 cm−1, which could be monitored for the determination of the obtained sodium phenoxide concentration. However, it was noted that although extensive precautions were taken in order to obtain homogeneous samples representing a uniform and suitable mixture, the transmittance at the specified peak was not adequately and proportionally related to the concentrations of selected mixtures in every measured aliquot. It was noted that samples with very small amounts of NaOPh and samples with very high amounts of NaOPh were shown to not respond well to the concentration gradient. After performing 15 measurements of each mixture, the concentration gradient was constructed to well describe the prepared ratios of Ph:NaOPh. The results suggest that the samples, which have ratios of 30:70–70:30, are shown to have transmittance at 3550 cm−1 most accurately and repetitively correspond to the prepared concentration ratios. The ratios outside that range require a large dataset of repeated measurements to obtain valid data.
Furthermore, the prepared metal phenoxides using various strong bases have been normalized to the prepared Ph:NaOPh concentration gradient, as shown in Figure 5. From the distinguished –ONa stretching peak at 3550 cm−1 it can be seen that the prepared NaOPh using NaOH results in an easily noticeable –ONa peak, while the reaction product when using Na2CO3 does not. As explained above, these results do not necessarily mean that the preparation of the NaOPh was unsuccessful; however, the reaction was less efficient, which led to the formation of less than 30% of NaOPh, and that multiple FTIR measurements need to be carried out in order to properly quantify the prepared metal phenoxide. From these results, it can be concluded that the FTIR methodology is a good tool for confirming the successful preparation of metal phenoxides and that proper quantification requires meticulous sample preparation to obtain homogenous and representative solid samples, followed by a large number of measurements to obtain valid and characteristic results.

3.4. Carboxylation of Metal Phenoxides

3.4.1. Carboxylation of Commercial Sodium Phenoxides

The carboxylation step has been carried out in a Parr 5000 batch reactor, and due to the high alkalinity of the medium and potentially unreacted bases, the glass liner has been used. After the carboxylation reaction, the contents of the reactor were not as fuzzy and powdery as the reactant was; however, they were slightly more crystalline and slightly wet. After drying and weighing the obtained contents, the products were dissolved in 10 mL of water, filtered, and applied to the HPLC analysis. After 5 h of reaction under 200 °C and 40 bar CO2 pressure, all of the NaOPh has been converted and 100% mass balance has been accounted for. In addition to 60% of salicylic acid, 22% of 4HBA was obtained, as well as 18% of 4-hydroxyisophthalic acid (4HiPh). This confirmed that the deprotonation of phenol and the formation of the metal phenoxide are the limiting steps of the entire reaction, and once the metal phenoxide is obtained, it is easily converted to further products, as suggested in the reaction mechanism. For better comparison of different bases and their effect on metal phenoxide synthesis, it was further investigated the carboxylation of metal phenoxides obtained from various bases, thus providing complete insight into the effect of the entire Kolbe–Schmitt, two-step carboxylation of phenol.

3.4.2. Carboxylation of the In-House-Made Metal Phenoxides

All prepared metal phenoxides have been thoroughly dried and weighed prior to the carboxylation step, for which an identical procedure has been used as described above. Primarily, the effect of the preparation process has been investigated on the activity and selectivity of prepared phenoxides. As described earlier, the open beaker method involved using an open beaker, heating, and stirring the contents until the solvent had entirely evaporated, while the reflux method involved heating and stirring the contents under reflux for 3 h. Both setups involved comparing four different bases for the preparation of metal phenoxides: NaOH, KOH, Na2CO3, and K2CO3.
The obtained results are as expected and quite similar to the original paper of Cameron et al. [12], as shown in Figure 6. It was observed that using the reflux method for the first step of the reaction, in general, results in higher yields of salicylic acid from the second (carboxylation) step than when using the open beaker method. The reflux method yielded 41.1% SA with NaOH as a precursor, while KOH and Na2CO3 yielded 39.2 and 15.1% SA, respectively. When using K2CO3 as a precursor, no activity has been observed with either the open beaker or the reflux method, which was also suggested above after the FTIR analysis of KOPh_c (metal phenoxide prepared with K2CO3 precursor). When using the open beaker method, NaOH yielded 6.5% SA, while KOH and Na2CO3 yielded 30.1 and 12.7% SA, respectively. These results are not entirely in accordance with the qualitative analysis based on the FTIR spectra. Regardless of the visual appearance that Na2CO3 did not react with phenol and their subsequent identical FTIR spectrograms suggesting an unsuccessful first step, it is obvious that the second step, carboxylation of the metal phenoxide obtained from Na2CO3, was successful. However, as shown in Figure 5 and described above, the lack of the –ONa peak from prepared metal phenoxide with Na2CO3, which was previously estimated to have had less than 30% selectivity towards the NaOPh formation, has now been confirmed. From Figure 6, when using the NaOPh obtained from Na2CO3, only 15.1% of SA was obtained and trace amounts of 4HBA were obtained, which confirms the FTIR results of less than 30% NaOPh availability after the first step of the reaction.
Furthermore, the observed trend of higher activity while using the reflux method can be explained by various observations. The open-beaker method led to the evaporation of certain amounts of reactants and products. Additionally, the open-beaker method led to the formation of a hard block of metal phenoxide, which required a time- and labor-intensive procedure to break it down into a fine powder and consequently led to a significant loss of metal phenoxide. Thus, as suggested from the FTIR results, it can be concluded that the reflux method is a more efficient and reliable method, which was confirmed with the repetition of the experiments using both methods and shown in Figure 7.
By repeating the reflux method reactions (Reflux 2) using the NaOH precursor, the obtained yields of salicylic acid were 35.2%, while when using KOH and Na2CO3, they were 44.1 and 13.2%, respectively. Therefore, while employing the reflux method, the margin of error for using the NaOH precursor is ±12.4%; for using KOH, it is ±9.4%; and when using Na2CO3, the margin of error is ±28.0%, calculated with a 95% confidence interval (calculations reported in the Supplementary Material). When repeating the open beaker method (Beaker 2), the reaction using the NaOH precursor led to a yield of salicylic acid of 23.1%, while when using KOH and Na2CO3, it was 15.2 and 3.2%, respectively. Therefore, while employing the open beaker method, the margin of error for using the NaOH precursor is ±109.9%; for using KOH, it is ±64.5%; and when using K2CO3, the margin of error is ±117.1% (calculations reported in the Supplementary Material). From these results and the evaluation of confidence intervals, it can be surely concluded that the reflux method is a more efficient and reproducible method for the preparation of metal phenoxides and their consecutive carboxylation reactions.
After carboxylation of each metal phenoxide, identical products have been obtained. Regardless of reaction conditions, starting reactants, or the preparation procedure applied, each reaction resulted in salicylic acid as a major product and 4-hydroxybenzoic acid and 2-hydroxyterephthalic acid as minor products. Identical results have been reported in the literature as well, as no other products shown in Scheme 1 could be obtained. As shown in Figure 8, when using NaOH as a reactant for metal phenoxide, 33.9% of SA was obtained, 6.3% of 4HBA, and 4.3% of 4HiPh. When using KOH, 39.8% SA was obtained, 19.3% 4HBA, and 5.9% 4HiPh, while when using Na2CO3, 21.5%, 2.1%, and 6% of SA, 4HBA, and 4HiPh were obtained, respectively. These results are the product of five individual reactions carried out under identical reaction conditions, and the reported values represent the mean values of each detected product. Supplementary Material contains detailed results obtained from each reaction, with calculated mean values, standard deviations, and a confidence level of 95%. The obtained results have been shown to be relatively repeatable, with standard deviations significantly lower than those obtained with the open-beaker method. Furthermore, the obtained monocarboxylated phenols are also suggested in the literature to be possible only in the ortho and para positions due to HOMO orbitals being located only on the ortho- and para-carbon atoms of the benzene ring [18]. Consequently, the only possible decarboxylated phenol could be 4HiPh, which was also obtained in this study. Slightly more accurate estimations of yields of NaOPh could be obtained using Figure 5A, where the characteristic peak of –ONa stretching lies around 45 and 35% when compared to the rest of the concentration gradient. These estimates are in accordance with the accumulative yields of SA, 4HBA, and 4HiPh, thus suggesting complete conversion, as also suggested by the literature under similar reaction conditions.
Furthermore, an alternative to the Kolbe–Schmitt method is the Marasse method, which is a one-pot method involving mixing together phenol and potassium carbonate in a CO2 environment. As shown in Figure 9, this method is viable only with K2CO3, while all other bases are inactive. The Marasse method also yields identical products (SA, 4HBA, and 4HiPh), with relatively similar yields. When using K2CO3 as a reactant, the obtained yields of products included 27.5% of SA, 2.3% of 4HBA, and 2.1% of 4HiPh. Although higher selectivity is obtained when using Na2CO3 and KOH in the Kolbe–Schmitt method, which is explained by acquiring unreacted phenol, K2CO3 and NaOH result in relatively similar yields; however, no unreacted phenol is obtained and therefore results in lower selectivity. From the literature, it is evident that only K2CO3 is active in the Marasse method, while other reactants are not as thoroughly investigated. Cameron et al. [11] mentioned that when potassium carbonate is replaced with other carbonates, no activity is observed; however, no reasoning is provided. Additionally, our study is the first to report that alkali metal hydroxides (NaOH and KOH) are also not active for the Marasse method. The Marasse method is a noticeably less demanding and less labor-intensive procedure; therefore, more structural and extensive investigation should be paid towards examining and elaborating on the mechanism of the Marasse method.

4. Conclusions

Carboxylation of phenol is a two-step process, widely known as the Kolbe–Schmitt method, involving first the reaction between phenol and a strong alkali metal base to obtain metal phenoxide, which, through carboxylation, can further be mostly converted to salicylic acid. A simpler option is the Marasse method, which involves a one-pot reaction between potassium carbonate and phenol under the CO2 atmosphere. This work provides the first comprehensive study of the entire two-step procedure involving the effect of the preparation method of metal phenoxide and the activity and selectivity of NaOH, KOH, Na2CO3, and K2CO3. It was confirmed that the Kolbe–Schmitt method is only possible with NaOH, KOH, and Na2CO3 bases, while the Marasse method is only possible with K2CO3. Regardless of the method used, salicylic acid is the main product, with 4-hydoxybenzoic acid and 4HiPh being minor products. Additionally, the preparation of metal phenoxides has been reported to be more reliable using reflux than the open-beaker method, which involves evaporating the solvent.
The activity of the mentioned bases has confirmed the reports published 70+ years ago, while this work primarily provides, for the first time, a detailed and easily reiterated preparation procedure with state-of-the-art technology and its effect on the activity and selectivity of the entire two-step reaction. Additionally, for the first time, a new analytical method has been reported for the analysis of obtained products, which significantly saves time and energy from previously reported characterization procedures, including detailed HPLC methodology and sample preparation procedures, as well as highly valuable FTIR qualitative and quantitative methods in metal phenoxide analysis. Overall, it is safe to say that the Kolbe–Schmitt reaction individually does not make a dent in conventional carbon capture and utilization (CCU) and carbon capture and storage (CCS) practices; however, it does play an important role in a greater picture and leaves a lot of room for further investigations and a deeper understanding of this highly complex and yet detrimental field. As such, this article acts as a great groundwork for sustainable conversion of lignin-derived phenols with environmentally concerning carbon dioxide into value-added monocarboxylic and dicarboxylic phenolics and, as such, will be a great reference for various fields of sustainability, biomass valorization, and CO2 utilization.

Supplementary Materials

The following supporting information can be downloaded at: https://www.mdpi.com/article/10.3390/su152316321/s1. Figure S1. HPLC chromatogram showing great separation of potential mono- and dicarboxylated phenols. Figure S2. FTIR spectra of sodium phenoxides obtained when using three different solvents (toluene, tetrahydrofuran (THF), and ethanol (EtOH)) and compared to the calibration curve of various ratios of Ph:NaOPh, Figure S2A is showing characteristic –ONa peak, while Figure S2B also includes the –OH peak. Table S1. Calculation of margin of error obtained with results from various methods (reflux, open beaker, and Marasse methods) of sodium phenoxide preparation.

Author Contributions

A.K.: original draft preparation, methodology, formal analysis, and investigation. B.L.: conceptualization, project administration, and funding acquisition. M.G.: supervision, reviewing, and editing. All authors have read and agreed to the published version of the manuscript.

Funding

This research was funded by the Slovenian Research Agency (basic post-doctoral research projects J2-1723 and J2-2492 and research core funding P2–0152). The work was partially carried out within the RDI project Cel. Cycle: “Potential of biomass for development of advanced materials and bio-based products”, which is co-financed by the Republic of Slovenia, the Ministry of Education, Science, and Sport, and the European Union through the European Regional Development Fund, 2016–2020.

Data Availability Statement

The data that support the findings of this study are available from the corresponding author (Blaž Likozar or Miha Grilc) upon reasonable request.

Acknowledgments

The authors would like to extend their sincere appreciation to the Slovenian Research Agency for funding. The authors would additionally like to thank the YUCOMAT scientific committee members for their helpful and constructive discussion and revision of the presented hypothesis.

Conflicts of Interest

The authors declare that they have no known competing financial interests or personal relationships that could have appeared to influence the work reported in this paper.

References

  1. Tortajada, A.; Juliá-Hernández, F.; Börjesson, M.; Moragas, T.; Martin, R. Transition-Metal-Catalyzed Carboxylation Reactions with Carbon Dioxide. Angew. Chem.-Int. Ed. 2018, 57, 15948–15982. [Google Scholar] [CrossRef]
  2. Qiu, J.; Wang, S.; Lian, M. Research on the Sustainable Development Path of Regional Economy Based on CO2 Reduction Policy. Sustainability 2023, 15, 6767. [Google Scholar] [CrossRef]
  3. Luo, J.; Larrosa, I. C−H Carboxylation of Aromatic Compounds through CO2 Fixation. ChemSusChem 2017, 10, 3317–3332. [Google Scholar] [CrossRef] [PubMed]
  4. Wu, X.F.; Zheng, F. Synthesis of Carboxylic Acids and Esters from CO2. Top. Curr. Chem. 2017, 375, 1–60. [Google Scholar] [CrossRef] [PubMed]
  5. Gooßen, L.J.; Rodríguez, N.; Gooßen, K. Carboxylic Acids as Substrates in Homogeneous Catalysis. Angew. Chem.-Int. Ed. 2008, 47, 3100–3120. [Google Scholar] [CrossRef] [PubMed]
  6. Slabu, A.I.; Banu, I.; Pavel, O.D.; Teodorescu, F.; Stan, R. Sustainable Ring-Opening Reactions of Epoxidized Linseed Oil in Heterogeneous Catalysis. Sustainability 2023, 15, 4197. [Google Scholar] [CrossRef]
  7. Park, J.; Kelly, M.A.; Kang, J.X.; Seemakurti, S.S.; Ramirez, J.L.; Hatzell, M.C.; Sievers, C.; Bommarius, A.S. Production of Active Pharmaceutical Ingredients (APIs) from Lignin-Derived Phenol and Catechol. Green Chem. 2021, 23, 7488–7498. [Google Scholar] [CrossRef]
  8. Naz, S.; Bilal, A.; Saddiq, B.; Ejaz, S.; Ali, S.; Ain Haider, S.T.; Sardar, H.; Nasir, B.; Ahmad, I.; Tiwari, R.K.; et al. Foliar Application of Salicylic Acid Improved Growth, Yield, Quality and Photosynthesis of Pea (Pisum sativum L.) by Improving Antioxidant Defense Mechanism under Saline Conditions. Sustainability 2022, 14, 14180. [Google Scholar] [CrossRef]
  9. Amado Alviz, P.L.; Alvarez, A.J. Comparative Life Cycle Assessment of the Use of an Ionic Liquid ([Bmim]Br) versus a Volatile Organic Solvent in the Production of Acetylsalicylic Acid. J. Clean. Prod. 2017, 168, 1614–1624. [Google Scholar] [CrossRef]
  10. Mohammad, O.; Onwudili, J.A.; Yuan, Q. A Critical Review of the Production of Hydroxyaromatic Carboxylic Acids as a Sustainable Method for Chemical Utilisation and Fixation of CO2. RSC Sustain. 2023, 1, 404–417. [Google Scholar] [CrossRef]
  11. Lindsey, A.S.; Jeskey, H. The Kolbe-Schmitt Reaction. Chem. Rev. 1957, 57, 583–620. [Google Scholar] [CrossRef]
  12. Cameron, D.; Jeskey, H.; Baine, O. The Kolbe-Schmitt Reaction. I. Variations in the Carbonation of p-Cresol. J. Org. Chem. 1950, 15, 233–236. [Google Scholar] [CrossRef]
  13. Cason, J.; Dyke, G.O. Preparation of 2,3-Dihydroxybenzoic Acid. J. Am. Chem. Soc. 1950, 72, 621–622. [Google Scholar] [CrossRef]
  14. Baine, O.; Adamson, G.F.; Barton, J.W.; Fitch, J.L.; Swayampati, D.R.; Jeskey, H. A Study of the Kolbe-Schmitt Reaction. II. The Carbonation of Phenols. J. Org. Chem. 1954, 19, 510–514. [Google Scholar] [CrossRef]
  15. Iijima, T.; Yamaguchi, T. The Improved Kolbe-Schmitt Reaction Using Supercritical Carbon Dioxide. Tetrahedron Lett. 2007, 48, 5309–5311. [Google Scholar] [CrossRef]
  16. Iijima, T.; Yamaguchi, T. K2CO3-Catalyzed Direct Synthesis of Salicylic Acid from Phenol and Supercritical CO2. Appl. Catal. A Gen. 2008, 345, 12–17. [Google Scholar] [CrossRef]
  17. Markovic, Z.; Markovic, S.; Begovic, N. Influence of Alkali Metal Cations upon the Kolbe-Schmitt Reaction Mechanism. J. Chem. Inf. Model. 2006, 46, 1957–1964. [Google Scholar] [CrossRef] [PubMed]
  18. Marković, Z.; Engelbrecht, J.P.; Marković, S. Theoretical Study of the Kolbe-Schmitt Reaction Mechanism. Z. Naturforsch.-Sect. A J. Phys. Sci. 2002, 57, 812–818. [Google Scholar]
  19. Zhang, X.B.; Liu, Y.X.; Luo, Z.H. Kinetic Study of the Aqueous Kolbe-Schmitt Synthesis of 2,4- and 2,6-Dihydroxybenzoic Acids. Chem. Eng. Sci. 2019, 195, 107–119. [Google Scholar] [CrossRef]
  20. Sadamitsu, Y.; Okumura, A.; Saito, K.; Yamada, T. Kolbe-Schmitt Type Reaction under Ambient Conditions Mediated by an Organic Base. Chem. Commun. 2019, 55, 9837–9840. [Google Scholar] [CrossRef]
  21. Razak, R.A.; Abdullah, M.M.A.B.; Hussin, K.; Ismail, K.N.; Hardjito, D.; Yahya, Z. Optimization of NaOH Molarity, LUSI Mud/Alkaline Activator, and Na2SiO3/NaOH Ratio to Produce Lightweight Aggregate-Based Geopolymer. Int. J. Mol. Sci. 2015, 16, 11629–11647. [Google Scholar] [CrossRef] [PubMed]
Scheme 1. Scheme of Kolbe–Schmitt-type reactions.
Scheme 1. Scheme of Kolbe–Schmitt-type reactions.
Sustainability 15 16321 sch001
Scheme 2. Proposed reaction mechanism of two-step conversion of phenol to mono- and dicarboxylated phenolic derivatives showing in color possibly obtained products (color-coded to graphs with their yields shown in the following sections) and showing in grey other potential products (not obtained in this work).
Scheme 2. Proposed reaction mechanism of two-step conversion of phenol to mono- and dicarboxylated phenolic derivatives showing in color possibly obtained products (color-coded to graphs with their yields shown in the following sections) and showing in grey other potential products (not obtained in this work).
Sustainability 15 16321 sch002
Figure 1. FTIR analysis of the final products confirming the successful formation of carboxyl groups while using both the reflux method (red) and the beaker method (blue).
Figure 1. FTIR analysis of the final products confirming the successful formation of carboxyl groups while using both the reflux method (red) and the beaker method (blue).
Sustainability 15 16321 g001
Figure 2. Concentration gradient of various Ph-NaOPh mixtures using FTIR spectral range between 3600 and 3000 cm−1 (A) and 1450 and 1000 cm−1 (B), showing characteristic –ONa, –OH, and phenolic –CO bands.
Figure 2. Concentration gradient of various Ph-NaOPh mixtures using FTIR spectral range between 3600 and 3000 cm−1 (A) and 1450 and 1000 cm−1 (B), showing characteristic –ONa, –OH, and phenolic –CO bands.
Sustainability 15 16321 g002
Figure 3. FTIR spectrographs of the sodium phenoxides obtained with the open beaker and reflux methods (A) and FTIR spectra of the obtained NaOPh using the reflux method with different reaction temperatures (90, 120, and 150 °C) (B). Both figures are plotted with respect to the calibration curve of various Ph:NaOPh amounts for easier quantification.
Figure 3. FTIR spectrographs of the sodium phenoxides obtained with the open beaker and reflux methods (A) and FTIR spectra of the obtained NaOPh using the reflux method with different reaction temperatures (90, 120, and 150 °C) (B). Both figures are plotted with respect to the calibration curve of various Ph:NaOPh amounts for easier quantification.
Sustainability 15 16321 g003
Figure 4. FTIR spectrographs of Na-based (A,B) and K-based materials (C,D). (A) shows pure sodium hydroxide (NaOH), sodium phenoxide prepared from NaOH (NaOPh_h), and commercially available sodium phenoxide (NaOPh_s). (B) shows pure sodium carbonate (Na2CO3), a sodium phenoxide prepared from Na2CO3 (NaOPh_c), and commercially available sodium phenoxide (NaOPh_s). (C) shows pure potassium hydroxide (KOH) and potassium phenoxide prepared from KOH (KOPh_h), while (D) shows pure potassium carbonate (K2CO3) and potassium phenoxide prepared from K2CO3 (KOPh_c).
Figure 4. FTIR spectrographs of Na-based (A,B) and K-based materials (C,D). (A) shows pure sodium hydroxide (NaOH), sodium phenoxide prepared from NaOH (NaOPh_h), and commercially available sodium phenoxide (NaOPh_s). (B) shows pure sodium carbonate (Na2CO3), a sodium phenoxide prepared from Na2CO3 (NaOPh_c), and commercially available sodium phenoxide (NaOPh_s). (C) shows pure potassium hydroxide (KOH) and potassium phenoxide prepared from KOH (KOPh_h), while (D) shows pure potassium carbonate (K2CO3) and potassium phenoxide prepared from K2CO3 (KOPh_c).
Sustainability 15 16321 g004
Figure 5. FTIR analysis of prepared metal phenoxides using various bases. The data were compared to the calibration curve prepared with various Ph:NaOPh ratios for estimation (shown in Figure 2).
Figure 5. FTIR analysis of prepared metal phenoxides using various bases. The data were compared to the calibration curve prepared with various Ph:NaOPh ratios for estimation (shown in Figure 2).
Sustainability 15 16321 g005
Figure 6. Comparison of two proposed methods using an open beaker (grey) and reflux (red) with the obtained yields of salicylic acid while using various bases.
Figure 6. Comparison of two proposed methods using an open beaker (grey) and reflux (red) with the obtained yields of salicylic acid while using various bases.
Sustainability 15 16321 g006
Figure 7. The comparison of the yields of salicylic acid (SA) with the reflux method (A) and the open beaker method (B) obtained with various bases (NaOH, KOH, K2CO3, and Na2CO3) and showing the reproducibility of the used methods.
Figure 7. The comparison of the yields of salicylic acid (SA) with the reflux method (A) and the open beaker method (B) obtained with various bases (NaOH, KOH, K2CO3, and Na2CO3) and showing the reproducibility of the used methods.
Sustainability 15 16321 g007
Figure 8. Yields of various products (SA blue, 4HBA yellow, and 4HiPh green) obtained after carboxylation of in-house prepared metal phenoxides from various bases, with error bars included.
Figure 8. Yields of various products (SA blue, 4HBA yellow, and 4HiPh green) obtained after carboxylation of in-house prepared metal phenoxides from various bases, with error bars included.
Sustainability 15 16321 g008
Figure 9. Comparison of product selectivity obtained from various bases used while applying different methods: the Marasse method (left, purple side) and the typical Kolbe–Schmitt method (right, green side).
Figure 9. Comparison of product selectivity obtained from various bases used while applying different methods: the Marasse method (left, purple side) and the typical Kolbe–Schmitt method (right, green side).
Sustainability 15 16321 g009
Disclaimer/Publisher’s Note: The statements, opinions and data contained in all publications are solely those of the individual author(s) and contributor(s) and not of MDPI and/or the editor(s). MDPI and/or the editor(s) disclaim responsibility for any injury to people or property resulting from any ideas, methods, instructions or products referred to in the content.

Share and Cite

MDPI and ACS Style

Kojčinović, A.; Likozar, B.; Grilc, M. Sustainable CO2 Fixation onto Bio-Based Aromatics. Sustainability 2023, 15, 16321. https://doi.org/10.3390/su152316321

AMA Style

Kojčinović A, Likozar B, Grilc M. Sustainable CO2 Fixation onto Bio-Based Aromatics. Sustainability. 2023; 15(23):16321. https://doi.org/10.3390/su152316321

Chicago/Turabian Style

Kojčinović, Aleksa, Blaž Likozar, and Miha Grilc. 2023. "Sustainable CO2 Fixation onto Bio-Based Aromatics" Sustainability 15, no. 23: 16321. https://doi.org/10.3390/su152316321

APA Style

Kojčinović, A., Likozar, B., & Grilc, M. (2023). Sustainable CO2 Fixation onto Bio-Based Aromatics. Sustainability, 15(23), 16321. https://doi.org/10.3390/su152316321

Note that from the first issue of 2016, this journal uses article numbers instead of page numbers. See further details here.

Article Metrics

Back to TopTop