A Sustainable Wind–Biogas Hybrid System for Remote Areas in Jordan: A Case Study of Mobile Hospital for a Zaatari Syrian Refugee Camp
Abstract
:1. Introduction
- The current investigation focuses on using hybrid power systems to supply energy to healthcare facilities situated in refugee camps in remote regions.
- The current study performs a multifaceted assessment, addressing both the system’s operational efficiency and its environmental footprint.
- The present study focuses on examining different energy-supplying scenarios for the health facility, which in turn helps in understanding the nature of the types of energy systems suitable for remote areas.
- The current study also considers the environmental sustainability of hybrid systems employed in remote areas.
2. Materials and Methods
2.1. Demographic Profile of the Case Study Area
2.2. System Description
2.2.1. Wind Turbine
2.2.2. Biogas and Diesel Generators
2.3. Energy Dispatch Strategy
2.4. Techno-Economic Model
| Item | Unit | Value | Reference |
|---|---|---|---|
| Capital cost of the wind system | USD/kW | [39] | |
| Capital cost of the DG | [39] | ||
| Capital cost of the BG | [35] | ||
| Yearly maintenance cost of the wind plant | [39] | ||
| Yearly maintenance cost of the DG | USD/h | [35] | |
| Yearly maintenance cost of the BG | [35] | ||
| Wind lifespan | Year | [39] | |
| DG and BG lifespan | [39] | ||
| Diesel cost | Figure 8 | ||
| Discount rate | [40] |

2.5. Optimization Problem
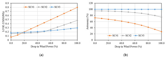
- In SC#1, no constraints are imposed;
- In SC#2, a stringent constraint is introduced, targeting a 95% autonomy rate;
- SC#3 represents the most self-reliant and off-grid configuration, characterized by a 100% autonomy constraint. In this scenario, the system is required to be fully self-sufficient, with no reliance on the grid. This necessitates careful capacity planning for both the DG and the wind turbine to ensure an uninterrupted energy supply.
3. Results and Discussion
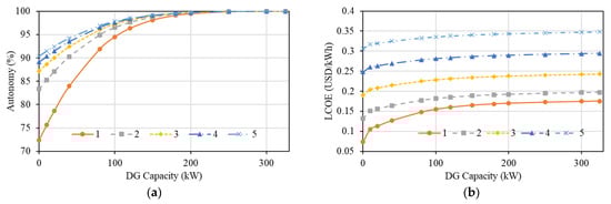
3.1. Sizing the Wind/BG/DG System for the Refugee Camp Hospital
- The match between the supply (hourly energy production from wind, biogas, and diesel generator) and demand.
- The capital cost of the system components, operation and maintenance costs, diesel cost, and grid electricity bill.
- The lifespan of the system.
- The annual discount rates.
3.2. Sensitivity Analysis
3.3. Environmental Assessment
3.4. Future Work and Recommendations
4. Conclusions
Author Contributions
Funding
Institutional Review Board Statement
Informed Consent Statement
Data Availability Statement
Conflicts of Interest
References
- Akella, A.; Sharma, M.; Saini, R. Optimum utilization of renewable energy sources in a remote area. Renew. Sustain. Energy Rev. 2007, 11, 894–908. [Google Scholar] [CrossRef]
- Kanase-Patil, A.; Saini, R.; Sharma, M. Integrated renewable energy systems for off grid rural electrification of remote area. Renew. Energy 2010, 35, 1342–1349. [Google Scholar] [CrossRef]
- Jiang, J.; Zhang, L.; Wen, X.; Valipour, E.; Nojavan, S. Risk-based performance of power-to-gas storage technology integrated with energy hub system regarding downside risk constrained approach. Int. J. Hydrogen Energy 2022, 47, 39429–39442. [Google Scholar] [CrossRef]
- Hemeida, A.; El-Ahmar, M.; El-Sayed, A.; Hasanien, H.M.; Alkhalaf, S.; Esmail, M.; Senjyu, T. Optimum design of hybrid wind/PV energy system for remote area. Ain Shams Eng. J. 2020, 11, 11–23. [Google Scholar] [CrossRef]
- Liu, Z.; Li, H.; Hou, K.; Xu, X.; Jia, H.; Zhu, L.; Mu, Y. Risk assessment and alleviation of regional integrated energy system considering cross-system failures. Appl. Energy 2023, 350, 121714. [Google Scholar] [CrossRef]
- Cai, T.; Dong, M.; Chen, K.; Gong, T. Methods of participating power spot market bidding and settlement for renewable energy systems. Energy Rep. 2022, 8, 7764–7772. [Google Scholar] [CrossRef]
- Chen, H.; Wu, H.; Kan, T.; Zhang, J.; Li, H. Low-carbon economic dispatch of integrated energy system containing electric hydrogen production based on VMD-GRU short-term wind power prediction. Int. J. Electr. Power Energy Syst. 2023, 154, 109420. [Google Scholar] [CrossRef]
- Suresh, V.; Muralidhar, M.; Kiranmayi, R. Modelling and optimization of an off-grid hybrid renewable energy system for electrification in a rural areas. Energy Rep. 2020, 6, 594–604. [Google Scholar] [CrossRef]
- Tian, H.; Li, R.; Salah, B.; Thinh, P.-H. Bi-objective optimization and environmental assessment of SOFC-based cogeneration system: Performance evaluation with various organic fluids. Process Saf. Environ. Prot. 2023, 178, 311–330. [Google Scholar] [CrossRef]
- Li, X.; Wang, F.; Al-Razgan, M.; Awwad, E.M.; Abduvaxitovna, S.Z.; Li, Z.; Li, J. Race to environmental sustainability: Can structural change, economic expansion and natural resource consumption effect environmental sustainability? A novel dynamic ARDL simulations approach. Resour. Policy 2023, 86, 104044. [Google Scholar] [CrossRef]
- Min, C.; Pan, Y.; Dai, W.; Kawsar, I.; Li, Z.; Wang, G. Trajectory optimization of an electric vehicle with minimum energy consumption using inverse dynamics model and servo constraints. Mech. Mach. Theory 2023, 181, 105185. [Google Scholar] [CrossRef]
- Vendoti, S.; Muralidhar, M.; Kiranmayi, R. Techno-economic analysis of off-grid solar/wind/biogas/biomass/fuel cell/battery system for electrification in a cluster of villages by HOMER software. Environ. Dev. Sustain. 2021, 23, 351–372. [Google Scholar] [CrossRef]
- Weimer, M.A.; Paing, T.S.; Zane, R.A. Remote area wind energy harvesting for low-power autonomous sensors. In Proceedings of the 2006 37th IEEE Power Electronics Specialists Conference, Jeju, Republic of Korea, 18–22 June 2006; pp. 1–5. [Google Scholar]
- Salisu, S.; Mustafa, M.W.; Olatomiwa, L.; Mohammed, O.O. Assessment of technical and economic feasibility for a hybrid PV-wind-diesel-battery energy system in a remote community of north central Nigeria. Alex. Eng. J. 2019, 58, 1103–1118. [Google Scholar] [CrossRef]
- Altun, A.F.; Kilic, M. Design and performance evaluation based on economics and environmental impact of a PV-wind-diesel and battery standalone power system for various climates in Turkey. Renew. Energy 2020, 157, 424–443. [Google Scholar] [CrossRef]
- Li, M.; Yang, M.; Yu, Y.; Lee, W.-J. A wind speed correction method based on modified hidden Markov model for enhancing wind power forecast. IEEE Trans. Ind. Appl. 2021, 58, 656–666. [Google Scholar] [CrossRef]
- Yimen, N.; Hamandjoda, O.; Meva’a, L.; Ndzana, B.; Nganhou, J. Analyzing of a photovoltaic/wind/biogas/pumped-hydro off-grid hybrid system for rural electrification in Sub-Saharan Africa—Case study of Djoundé in Northern Cameroon. Energies 2018, 11, 2644. [Google Scholar] [CrossRef]
- Sarkar, T.; Bhattacharjee, A.; Samanta, H.; Bhattacharya, K.; Saha, H. Optimal design and implementation of solar PV-wind-biogas-VRFB storage integrated smart hybrid microgrid for ensuring zero loss of power supply probability. Energy Convers. Manag. 2019, 191, 102–118. [Google Scholar] [CrossRef]
- Anwar, K.; Deshmukh, S.; Mustafa Rizvi, S. Feasibility and sensitivity analysis of a hybrid photovoltaic/wind/biogas/fuel-cell/diesel/battery system for off-grid rural electrification using homer. J. Energy Resour. Technol. 2020, 142, 061307. [Google Scholar] [CrossRef]
- Li, J.; Liu, P.; Li, Z. Optimal design and techno-economic analysis of a solar-wind-biomass off-grid hybrid power system for remote rural electrification: A case study of west China. Energy 2020, 208, 118387. [Google Scholar] [CrossRef]
- Das, B.K.; Hoque, N.; Mandal, S.; Pal, T.K.; Raihan, M.A. A techno-economic feasibility of a stand-alone hybrid power generation for remote area application in Bangladesh. Energy 2017, 134, 775–788. [Google Scholar] [CrossRef]
- Jabbar, S.A.; Zaza, H.I. Impact of conflict in Syria on Syrian children at the Zaatari refugee camp in Jordan. In Abuse and Violence Towards Young Children; Routledge: London, UK, 2017; pp. 225–248. [Google Scholar]
- Hammad, A.M.; Al-Qerem, W.; Alasmari, F.; Ling, J.; Qarqaz, R.; Alaqabani, H. Identifying Drug-Therapy Problems among Syrian Refugees in Zaatari Refugee Camp. Int. J. Environ. Res. Public Health 2022, 19, 7199. [Google Scholar] [CrossRef] [PubMed]
- Agency, T.U.R. UNHCR Jordan Monthly Update. Available online: https://www.unhcr.org/jo/14835-unhcr-jordan-monthly-update-may-2021.html (accessed on 14 July 2023).
- Sukhon, A.; Khmash, M.A. Syrian Refugees Evaluation for the Services Provided By High Commissioner for Refugees (UNHCR) In Zaatari Refugee Camp (A Field Study). Dirasat Hum. Soc. Sci. 2023, 50, 415–438. [Google Scholar] [CrossRef]
- UNHCR. Available online: https://www.unhcr.org/news/stories/jordans-zaatari-camp-goes-green-new-solar-plant (accessed on 14 July 2023).
- Kaddour, I.Z.; Khattab, R.; Yaghi, A.; Alawneh, L. Instant Cities and Their Impact on the Environment: Al Zaatari Case Study. In Climate Change and Environmental Sustainability; Springer: Berlin/Heidelberg, Germany, 2022; pp. 241–250. [Google Scholar]
- Karl, A.A.; Scholz Karl, J. Human rights for refugees: Enhancing sustainable humanitarian supply chain to guarantee a health environment in refugee settlements. J. Humanit. Logist. Supply Chain Manag. 2022, 12, 382–403. [Google Scholar] [CrossRef]
- Gbadamosi, S.L.; Nwulu, N.I. Optimal configuration of hybrid energy system for rural electrification of community healthcare facilities. Appl. Sci. 2022, 12, 4262. [Google Scholar] [CrossRef]
- Ohl, C.A.; Dodds Ashley, E.S. Antimicrobial stewardship programs in community hospitals: The evidence base and case studies. Clin. Infect. Dis. 2011, 53 (Suppl. S1), S23–S28. [Google Scholar] [CrossRef]
- University of Wisconsin—Madison. Solar Energy, L. TRNSYS, a Transient Simulation Program; The Laboratory: Madison, WI, USA, 1975. [Google Scholar]
- Wind-Turbine-Models.com. Wind Turbines Manufacturers. Available online: https://en.wind-turbine-models.com/manufacturers (accessed on 14 July 2023).
- Jordan Meteorological Department. Wind Speed Data. Available online: http://jmd.gov.jo/en/Climate1 (accessed on 14 July 2023).
- Kabeyi, M.J.B.; Olanrewaju, O.A. Technologies for biogas to electricity conversion. Energy Rep. 2022, 8, 774–786. [Google Scholar] [CrossRef]
- Li, C.; Zhang, L.; Qiu, F.; Fu, R. Optimization and enviro-economic assessment of hybrid sustainable energy systems: The case study of a photovoltaic/biogas/diesel/battery system in Xuzhou, China. Energy Strategy Rev. 2022, 41, 100852. [Google Scholar] [CrossRef]
- Al-Ghussain, L.; Taylan, O.; Fahrioglu, M. Sizing of a photovoltaic-wind-oil shale hybrid system: Case analysis in Jordan. J. Sol. Energy Eng. 2018, 140, 011002. [Google Scholar] [CrossRef]
- Abushaikha, I.; Wu, Z.; Khoury, T.A. Towards a theory of informal supply networks: An exploratory case study of the Za’atari refugee camp. J. Oper. Manag. 2021, 67, 853–881. [Google Scholar] [CrossRef]
- Ghorbani, N.; Kasaeian, A.; Toopshekan, A.; Bahrami, L.; Maghami, A. Optimizing a hybrid wind-PV-battery system using GA-PSO and MOPSO for reducing cost and increasing reliability. Energy 2018, 154, 581–591. [Google Scholar] [CrossRef]
- IRENA. Renewable Power Generation Costs in 2020; IRENA: Abu Dhabi, United Arab Emirates, 2022. [Google Scholar]
- Available online: https://www.cbj.gov.jo/Pages/viewpage.aspx?pageID=259 (accessed on 14 July 2023).
- Fuel Prices in Jordan. Available online: https://www.thefuelprice.com/Fjo/en/04-01-2022 (accessed on 14 July 2023).
- Maia, A.; Ferreira, E.; Oliveira, M.; Menezes, L.; Andrade-Campos, A. Numerical optimization strategies for springback compensation in sheet metal forming. In Computational Methods and Production Engineering; Elsevier: Amsterdam, The Netherlands, 2017; pp. 51–82. [Google Scholar]
- Nazari, S.; Shahhoseini, O.; Sohrabi-Kashani, A.; Davari, S.; Paydar, R.; Delavar-Moghadam, Z. Experimental determination and analysis of CO2, SO2 and NOx emission factors in Iran’s thermal power plants. Energy 2010, 35, 2992–2998. [Google Scholar] [CrossRef]
- De Gouw, J.A.; Parrish, D.D.; Frost, G.J.; Trainer, M. Reduced emissions of CO2, NOx, and SO2 from US power plants owing to switch from coal to natural gas with combined cycle technology. Earth’s Future 2014, 2, 75–82. [Google Scholar] [CrossRef]
- Silveira, J.L.; de Carvalho, J.A., Jr.; de Castro Villela, I.A. Combined cycle versus one thousand diesel power plants: Pollutant emissions, ecological efficiency and economic analysis. Renew. Sustain. Energy Rev. 2007, 11, 524–535. [Google Scholar] [CrossRef]
- Huang, J.; Crookes, R. Assessment of simulated biogas as a fuel for the spark ignition engine. Fuel 1998, 77, 1793–1801. [Google Scholar] [CrossRef]
- Khan, M.J.; Yadav, A.K.; Mathew, L. Techno economic feasibility analysis of different combinations of PV-Wind-Diesel-Battery hybrid system for telecommunication applications in different cities of Punjab, India. Renew. Sustain. Energy Rev. 2017, 76, 577–607. [Google Scholar] [CrossRef]
















| Equipment | ) | ) | Energy Consumption (Wh/Day) |
|---|---|---|---|
| Lights | |||
| Mobile phone charger | |||
| Fan (DC, AC) | |||
| Water pump | |||
| Computer | |||
| Portable electrical heater | |||
| Printer (ink, laser) | |||
| Small waste autoclave | |||
| Sterilizer (steam) | |||
| Suction | |||
| Pulse Oximetry | |||
| RO water purifier | |||
| Magnetic resonance imaging (MRI) | |||
| Computed tomography (CT) | |||
| X-ray machine (dental) | |||
| X-ray machine | |||
| Mechanical ventilator | |||
| Ultrasound scanner | |||
| Electrocardiogram (ECG) | |||
| Nebulizer | |||
| Refrigeration unit | |||
| Microscope | |||
| Centrifuge | |||
| Spectrophotometer | |||
| Blood chemistry analyzer | |||
| Hematology analyzer |
| Turbine Model | Symbol |
|---|---|
| Vestas V44/600 | T1 |
| Enercon E40 600/46 | T2 |
| Nordex N43/600 | T3 |
| REpower 48/600 | T4 |
| Parameter | |||
|---|---|---|---|
| Turbine model | T2 | T2 | T2 |
| Wind capacity () | |||
| Diesel generator capacity () | |||
| Biogas generator capacity () | |||
| LCOE () | |||
| RES fraction () | |||
| Autonomy () |
| Study | Location | Configuration | LCOE (USD/kWh) | RES Fraction (%) | Autonomy (%) |
|---|---|---|---|---|---|
| Current study | Jordan | Wind–Biogas/Diesel | 0.175 | 72 | 100 |
| [35] | India | PV–Wind–Diesel | 0.210 | 64 | 100 |
| [8] | Turkey | PV–Wind–Diesel | 0.383 | 55 | 100 |
| [30] | Iran | PV–Wind–Battery | 0.521 | 100 | 100 |
| [7] | Nigeria | PV–Wind–Diesel | 0.117 | 84 | 100 |
Disclaimer/Publisher’s Note: The statements, opinions and data contained in all publications are solely those of the individual author(s) and contributor(s) and not of MDPI and/or the editor(s). MDPI and/or the editor(s) disclaim responsibility for any injury to people or property resulting from any ideas, methods, instructions or products referred to in the content. |
© 2023 by the authors. Licensee MDPI, Basel, Switzerland. This article is an open access article distributed under the terms and conditions of the Creative Commons Attribution (CC BY) license (https://creativecommons.org/licenses/by/4.0/).
Share and Cite
Alrbai, M.; Al-Dahidi, S.; Al-Ghussain, L.; Hayajneh, H.; Alahmer, A. A Sustainable Wind–Biogas Hybrid System for Remote Areas in Jordan: A Case Study of Mobile Hospital for a Zaatari Syrian Refugee Camp. Sustainability 2023, 15, 14935. https://doi.org/10.3390/su152014935
Alrbai M, Al-Dahidi S, Al-Ghussain L, Hayajneh H, Alahmer A. A Sustainable Wind–Biogas Hybrid System for Remote Areas in Jordan: A Case Study of Mobile Hospital for a Zaatari Syrian Refugee Camp. Sustainability. 2023; 15(20):14935. https://doi.org/10.3390/su152014935
Chicago/Turabian StyleAlrbai, Mohammad, Sameer Al-Dahidi, Loiy Al-Ghussain, Hassan Hayajneh, and Ali Alahmer. 2023. "A Sustainable Wind–Biogas Hybrid System for Remote Areas in Jordan: A Case Study of Mobile Hospital for a Zaatari Syrian Refugee Camp" Sustainability 15, no. 20: 14935. https://doi.org/10.3390/su152014935
APA StyleAlrbai, M., Al-Dahidi, S., Al-Ghussain, L., Hayajneh, H., & Alahmer, A. (2023). A Sustainable Wind–Biogas Hybrid System for Remote Areas in Jordan: A Case Study of Mobile Hospital for a Zaatari Syrian Refugee Camp. Sustainability, 15(20), 14935. https://doi.org/10.3390/su152014935
