Potential Use of Coriander Waste as Fuel for the Generation of Electric Power
Abstract
1. Introduction
2. Materials and Methods
2.1. Fabrication of Microbial Fuel Cells
2.2. Obtaining Coriander Waste
2.3. Characterization of Microbial Fuel Cells
2.4. Isolation of Microorganisms from the Anode
2.5. Molecular Identification
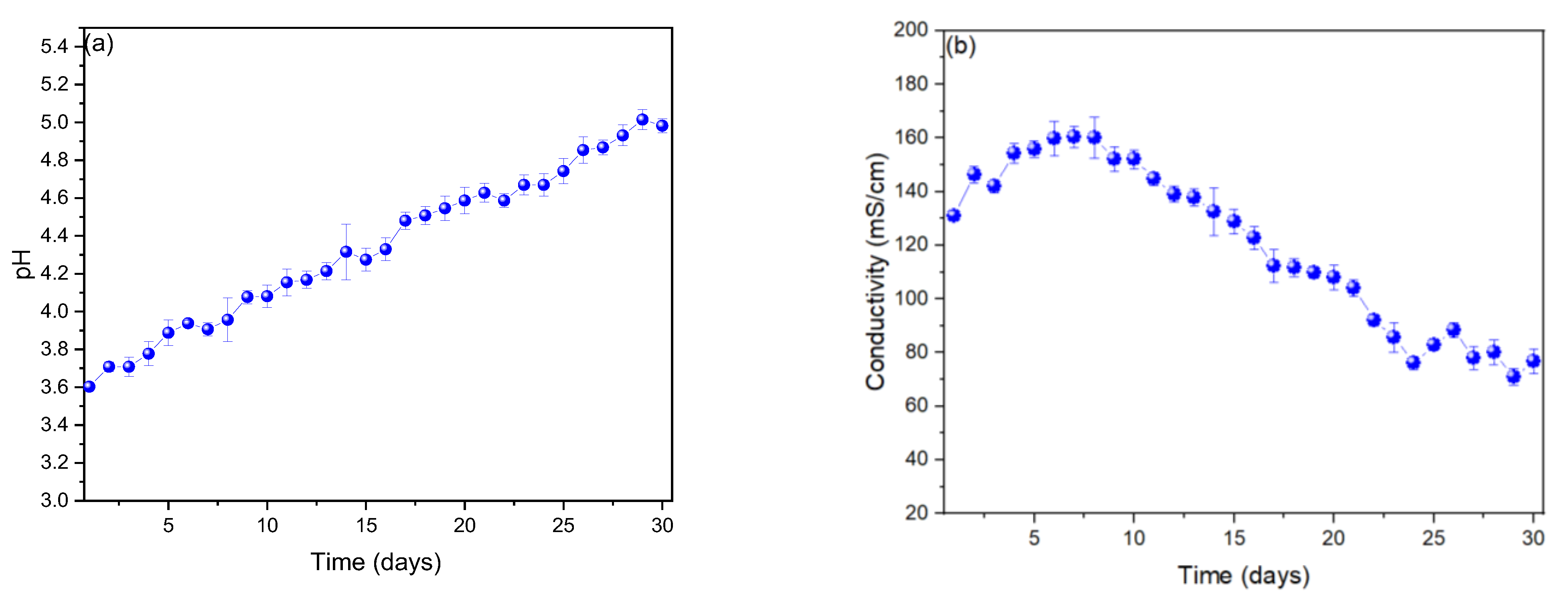
3. Results and Analysis
4. Conclusions
Author Contributions
Funding
Institutional Review Board Statement
Informed Consent Statement
Data Availability Statement
Acknowledgments
Conflicts of Interest
References
- Muscolo, A.; Mauriello, F.; Marra, F.; Calabrò, P.S.; Russo, M.; Ciriminna, R.; Pagliaro, M. AnchoisFert: A New Organic Fertilizer from Fish Processing Waste for Sustainable Agriculture. Glob. Chall. 2022, 6, 2100141. [Google Scholar] [CrossRef] [PubMed]
- Oncioiu, I.; Căpuşneanu, S.; Topor, D.I.; Petrescu, M.; Petrescu, A.-G.; Toader, M. The Effective Management of Organic Waste Policy in Albania. Energies 2020, 13, 4217. [Google Scholar] [CrossRef]
- Paes, L.A.B.; Bezerra, B.S.; Deus, R.M.; Jugend, D.; Battistelle, R.A.G. Organic solid waste management in a circular economy perspective–A systematic review and SWOT analysis. J. Clean. Prod. 2019, 239, 118086. [Google Scholar] [CrossRef]
- Kaszycki, P.; Głodniok, M.; Petryszak, P. Towards a bio-based circular economy in organic waste management and wastewater treatment–The Polish perspective. New Biotechnol. 2020, 61, 80–89. [Google Scholar] [CrossRef] [PubMed]
- Cohn, Z.; Latty, T.; Abbas, A. Understanding dietary carbohydrates in black soldier fly larvae treatment of organic waste in the circular economy. Waste Manag. 2021, 137, 9–19. [Google Scholar] [CrossRef] [PubMed]
- Dessie, Y.; Tadesse, S.; Eswaramoorthy, R.; Abdisa, E. Bimetallic Mn–Ni oxide nanoparticles: Green synthesis, optimization and its low-cost anode modifier catalyst in microbial fuel cell. Nano-Struct. Nano-Objects 2021, 25, 100663. [Google Scholar] [CrossRef]
- Bakan, B.; Bernet, N.; Bouchez, T.; Boutrou, R.; Choubert, J.-M.; Dabert, P.; Duquennoi, C.; Ferraro, V.; García-Bernet, D.; Gillot, S.; et al. Circular Economy Applied to Organic Residues and Wastewater: Research Challenges. Waste Biomass-Valorization 2021, 13, 1267–1276. [Google Scholar] [CrossRef]
- Dessie, Y.; Tadesse, S. Optimization of polyvinyl alcohol binder on PANI coated pencil graphite electrode in doubled chamber microbial fuel cell for glucose biosensor. Sens. Bio-Sens. Res. 2022, 36, 100484. [Google Scholar] [CrossRef]
- Dessie, Y.; Tadesse, S.; Eswaramoorthy, R.; Adimasu, Y. Biosynthesized α-MnO2-based polyaniline binary composite as efficient bioanode catalyst for high-performance microbial fuel cell. All Life 2021, 14, 541–568. [Google Scholar] [CrossRef]
- Dessie, Y.; Tadesse, S.; Eswaramoorthy, R.; Abebe, B. Recent developments in manganese oxide based nanomaterials with oxygen reduction reaction functionalities for energy conversion and storage applications: A review. J. Sci. Adv. Mater. Devices 2019, 4, 353–369. [Google Scholar] [CrossRef]
- Ortiz-Martínez, V.M.; Salar-García, M.J.; De Los Ríos, A.P.; Hernández-Fernández, F.J.; Egea, J.A.; Lozano, L.J. Developments in microbial fuel cell modeling. Chem. Eng. J. 2015, 271, 50–60. [Google Scholar] [CrossRef]
- Dessie, Y.; Tadesse, S.; Adimasu, Y. Improving the performance of graphite anode in a Microbial Fuel Cell via PANI encapsulated α-MnO2 composite modification for efficient power generation and methyl red removal. Chem. Eng. J. Adv. 2022, 10, 100283. [Google Scholar] [CrossRef]
- Dessie, Y.; Tadesse, S.; Eswaramoorthy, R. Review on manganese oxide based biocatalyst in microbial fuel cell: Nanocomposite approach. Mater. Sci. Energy Technol. 2019, 3, 136–149. [Google Scholar] [CrossRef]
- Yuan, R.; Liu, Z.; Zhao, J.; Wang, Q.-Q.; Zuo, A.; Huang, L.; Gao, H.; Xu, Q.; Khan, I.A.; Yang, S. Novel compounds in fruits of coriander (Coşkuner & Karababa) with anti-inflammatory activity. J. Funct. Foods 2020, 73, 104145. [Google Scholar] [CrossRef]
- Abbassi, A.; Mahmoudi, H.; Zaouali, W.; M’Rabet, Y.; Casabianca, H.; Hosni, K. Enzyme-aided release of bioactive compounds from coriander (Coriandrum sativum L.) seeds and their residue by-products and evaluation of their antioxidant activity. J. Food Sci. Technol. 2018, 55, 3065–3076. [Google Scholar] [CrossRef] [PubMed]
- Kaur, G.; Kaur, P.; Kaur, A. Physico-chemical properties, bioactive compounds and color parameters of coriander puree: Effect of pretreatments and freezing. J. Food Sci. Technol. 2018, 55, 3473–3484. [Google Scholar] [CrossRef]
- Tremlett, C.J.; Peh, K.S.-H.; Zamora-Gutierrez, V.; Schaafsma, M. Value and benefit distribution of pollination services provided by bats in the production of cactus fruits in central Mexico. Ecosyst. Serv. 2020, 47, 101197. [Google Scholar] [CrossRef]
- Rojas-Flores, S.; De La Cruz-Noriega, M.; Nazario-Naveda, R.; Benites, S.M.; Delfín-Narciso, D.; Rojas-Villacorta, W.; Romero, C.V. Bioelectricity through microbial fuel cells using avocado waste. Energy Rep. 2022, 8, 376–382. [Google Scholar] [CrossRef]
- Rincón-Catalán, N.I.; Cruz-Salomón, A.; Sebastian, P.; Pérez-Fabiel, S.; Hernández-Cruz, M.D.C.; Sánchez-Albores, R.M.; Hernández-Méndez, J.M.E.; Domínguez-Espinosa, M.E.; Esquinca-Avilés, H.A.; Ríos-Valdovinos, E.I.; et al. Banana Waste-to-Energy Valorization by Microbial Fuel Cell Coupled with Anaerobic Digestion. Processes 2022, 10, 1552. [Google Scholar] [CrossRef]
- Segundo, R.-F.; Magaly, D.L.C.-N.; Benites, S.M.; Daniel, D.-N.; Angelats-Silva, L.; Díaz, F.; Luis, C.-C.; Fernanda, S.-P. Increase in Electrical Parameters Using Sucrose in Tomato Waste. Fermentation 2022, 8, 335. [Google Scholar] [CrossRef]
- Huang, X.; Duan, C.; Duan, W.; Sun, F.; Cui, H.; Zhang, S.; Chen, X. Role of electrode materials on performance and microbial characteristics in the constructed wetland coupled microbial fuel cell (CW-MFC): A review. J. Clean. Prod. 2021, 301, 126951. [Google Scholar] [CrossRef]
- Rojas-Flores, S.; Nazario-Naveda, R.; Benites, S.M.; Gallozzo-Cardenas, M.; Delfín-Narciso, D.; Díaz, F. Use of Pineapple Waste as Fuel in Microbial Fuel Cell for the Generation of Bioelectricity. Molecules 2022, 27, 7389. [Google Scholar] [CrossRef] [PubMed]
- Mulyono, T.; Misto; Cahyono, B.E.; Fahmidia, N.H. The impact of adding vegetable waste on the functioning of microbial fuel cell. AIP Conf. Proc. 2022, 2663, 020008. [Google Scholar] [CrossRef]
- Segundo, R.-F.; De La Cruz-Noriega, M.; Milly Otiniano, N.; Benites, S.M.; Esparza, M.; Nazario-Naveda, R. Use of Onion Waste as Fuel for the Generation of Bioelectricity. Molecules 2022, 27, 625. [Google Scholar] [CrossRef] [PubMed]
- Torlaema, T.A.M.; Ibrahim, M.N.M.; Ahmad, A.; Guerrero-Barajas, C.; Alshammari, M.B.; Oh, S.-E.; Hussain, F. Degradation of Hydroquinone Coupled with Energy Generation through Microbial Fuel Cells Energized by Organic Waste. Processes 2022, 10, 2099. [Google Scholar] [CrossRef]
- Nosek, D.; Cydzik-Kwiatkowska, A. Microbial Structure and Energy Generation in Microbial Fuel Cells Powered with Waste Anaerobic Digestate. Energies 2020, 13, 4712. [Google Scholar] [CrossRef]
- Thenmozhi, M.; Hooreen, D.; Sowmiya, V.; Dhasarathan, P. Comparative study of bioelectricity generation by microbial degradation of organic wastes using microbial fuel cell. World J. Adv. Res. Rev. 2020, 6, 035–042. [Google Scholar] [CrossRef]
- Parkash, A. An Bio-electricity generation from sugar mill waste water using MFC. MOJ Curr. Res. Rev. 2017, 1, 30–31. [Google Scholar] [CrossRef]
- Vishnevskaya, M.; Gazizova, D.; Victorenko, A.; Konova, I. Membraneless microbial biofuel cell for municipal waste water treatment. IOP Conf. Series Earth Environ. Sci. 2019, 337, 012002. [Google Scholar] [CrossRef]
- Ganesh, S.; Brinda, M.; Devibala, A.; Jayabharathi, S.; Shivarekka, M. Microbial Fuel Cell for Electrical Power Generation from Waste Water. Int. J. Innov. Technol. Explor. Eng. 2020, 9, 143–147. [Google Scholar] [CrossRef]
- Rojas-Flores, S.; De La Cruz–Noriega, M.; Benites, S.M.; Delfín-Narciso, D.; Angelats-Silva, L.; Díaz, F.; Cabanillas-Chirinos, L. Generation of Electricity Through Papaya Waste at Different pH. Environ. Res. Eng. Manag. 2022, 78, 137–146. [Google Scholar] [CrossRef]
- Rojas-Flores, S.; De La Cruz-Noriega, M.; Benites, S.M.; Delfín-Narciso, D.; Luis, A.-S.; Díaz, F.; Luis, C.-C.; Moises, G.C. Electric Current Generation by Increasing Sucrose in Papaya Waste in Microbial Fuel Cells. Molecules 2022, 27, 5198. [Google Scholar] [CrossRef] [PubMed]
- Rojas-Flores, S.; Nazario-Naveda, R.; De La Cruz Noriega, M.; Benites, S.M.; Otiniano, N.M.; Rodriguez-Yupanqui, M.; Valdiviezo-Dominguez, F.; Rojas-Villacorta, W. Generación De Bioelectricidad Mediante Desechos De Uvas. LACCEI Inc. 2021, 19. [Google Scholar] [CrossRef]
- Prasidha, W. Electricity Production from Food Waste Leachate (Fruit and Vegetable Waste) using Double Chamber Microbial Fuel Cell: Comparison between Non-aerated and Aerated Configuration. ROTASI 2020, 22, 162–168. [Google Scholar]
- Flores, S.R.; Nazario-Naveda, R.; Betines, S.M.; De La Cruz–Noriega, M.; Cabanillas-Chirinos, L.; Valdiviezo-Dominguez, F. Sugar Industry Waste for Bioelectricity Generation. Environ. Res. Eng. Manag. 2021, 77, 15–22. [Google Scholar] [CrossRef]
- Li, X.; Lu, Y.; Luo, H.; Liu, G.; Torres, C.I.; Zhang, R. Effect of pH on bacterial distributions within cathodic biofilm of the microbial fuel cell with maltodextrin as the substrate. Chemosphere 2020, 265, 129088. [Google Scholar] [CrossRef]
- Stefanova, A.; Angelov, A.; Bratkova, S.; Genova, P.; Nikolova, K. Influence of Electrical Conductivity and Temperature in a Microbial Fuel Cell for Treatment of Mining Waste Water. Annals of the Constantin Brâncus, i University of Târgu Jiu, Letters and Social Science Series, 2018; Volume 3, pp. 1–7. Available online: https://www.utgjiu.ro/rev_ing/pdf/2018-3/02_A.STEFANOVA%20-INFLUENCE%20OF%20ELECTRICAL%20CONDUCTIVITY%20AND%20TEMPERATURE%20IN%20A%20MICROBIAL%20FUEL%20CELL%20FOR%20TREATMENT%20OF%20MINING%20WASTE%20WATER.pdf (accessed on 29 November 2022).
- De La Cruz-Noriega, M.; Rojas-Flores, S.; Benites, S.M.; Álvarez, M.Q.; García, N.M.O.; Yupanqui, M.R. Use of Leuconostoc Mesenteroides to Produce a Dextran Bioflocculant. Environ. Res. Eng. Manag. 2022, 78, 38–45. [Google Scholar] [CrossRef]
- Choudhury, P.; Ray, R.N.; Bandyopadhyay, T.K.; Basak, B.; Muthuraj, M.; Bhunia, B. Process engineering for stable power recovery from dairy wastewater using microbial fuel cell. Int. J. Hydrogen Energy 2020, 46, 3171–3182. [Google Scholar] [CrossRef]
- Pasternak, G.; Greenman, J.; Ieropoulos, I. Dynamic evolution of anodic biofilm when maturing under different external resistive loads in microbial fuel cells. Electrochemical perspective. J. Power Sources 2018, 400, 392–401. [Google Scholar] [CrossRef]
- Ghasemi, M.; Sedighi, M.; Tan, Y. Carbon Nanotube/Pt Cathode Nanocomposite Electrode in Microbial Fuel Cells for Wastewater Treatment and Bioenergy Production. Sustainability 2021, 13, 8057. [Google Scholar] [CrossRef]
- Oon, Y.-S.; Ong, S.-A.; Ho, L.-N.; Wong, Y.-S.; Oon, Y.L.; Lehl, H.K.; Thung, W.-E.; Nordin, N. Disclosing the synergistic mechanisms of azo dye degradation and bioelectricity generation in a microbial fuel cell. Chem. Eng. J. 2018, 344, 236–245. [Google Scholar] [CrossRef]
- Adebule, A.P.; Aderiye, B.I.; Adebayo, A.A. Improving bioelectricity generation of microbial fuel cell (MFC) with mediators using kitchen waste as substrate. Ann. Appl. Microbiol. Biotechnol. J. 2018, 2, 1008. [Google Scholar]
- Rokhim, D.A.; Adid, A.W.; Tyas, F.K.; Ciptawati, E.; Asrori, M.R. Utilization of Banana Stem Waste Extracts Assisted by Electrode of Cu/Mg as an Environmentally Friendly Electricity Producer. Orbital Electron. J. Chem. 2022, 14, 40–44. [Google Scholar] [CrossRef]
- Akatah, B.M.; Kalagbor, I.A.; Gwarah, L.S. Electricity generation from septic waste water using septic tank as microbial fuel cell. Sustain. Energy 2019, 7, 1–5. [Google Scholar]
- AlJindan, R.; AlEraky, D.M. Silver Nanoparticles: A Promising Antifungal Agent against the Growth and Biofilm Formation of the Emergent Candida auris. J. Fungi 2022, 8, 744. [Google Scholar] [CrossRef]
- Bhat, S.; Thangarasu, S.; Uthappa, U.T.; Altalhi, T.; Han, S.S.; Kurkuri, M. Agricultural Waste Derived High Surface Area Activated Carbon (Ac) for Superior Adsorption Performances of Cationic/Anionic Dyes and Supercapacitor Application. SSRN 2022, 7, 20–28. [Google Scholar] [CrossRef]
- Carucci, C.; Sechi, G.; Piludu, M.; Monduzzi, M.; Salis, A. A drug delivery system based on poly-L-lysine grafted mesoporous silica nanoparticles for quercetin release. Colloids Surfaces A Physicochem. Eng. Asp. 2022, 648, 129343. [Google Scholar] [CrossRef]
- Midyurova, B. Bioelectricity production and waste water treatment using air cathode microbial fuel cell. In Proceedings of the 2019 16th Conference on Electrical Machines, Drives and Power Systems (ELMA), Varna, Bulgaria, 6–8 June 2019; pp. 1–4. [Google Scholar] [CrossRef]
- Rahman, W.; Yusup, S.; Mohammad, S.N.A.A. Screening of fruit waste as substrate for microbial fuel cell (MFC). AIP Conf. Proc. 2021, 2332, 020003. [Google Scholar] [CrossRef]
- Johnson, J.S.; Spakowicz, D.J.; Hong, B.-Y.; Petersen, L.M.; Demkowicz, P.; Chen, L.; Leopold, S.R.; Hanson, B.M.; Agresta, H.O.; Gerstein, M.; et al. Evaluation of 16S rRNA gene sequencing for species and strain-level microbiome analysis. Nat. Commun. 2019, 10, 5029. [Google Scholar] [CrossRef]
- Santoro, C.; Arbizzani, C.; Erable, B.; Ieropoulos, I. Microbial fuel cells: From fundamentals to applications. A review. J. Power Sources 2017, 356, 225–244. [Google Scholar] [CrossRef]
- Yu, L.; Yuan, Y.; Rensing, C.; Zhou, S. Combined spectroelectrochemical and proteomic characterizations of bidirectional Alcaligenes faecalis-electrode electron transfer. Biosens. Bioelectron. 2018, 106, 21–28. [Google Scholar] [CrossRef] [PubMed]
- Huang, C. Extensively drug-resistant Alcaligenes faecalis infection. BMC Infect. Dis. 2020, 20, 833. [Google Scholar] [CrossRef] [PubMed]
- Paz-Zarza, V.M.; Mangwani-Mordani, S.; Martínez-Maldonado, A.; Álvarez-Hernández, D.; Solano-Gálvez, S.G.; VázquezLópez, R. Pseudomonas aeruginosa: Pathogenicity and Antimicrobial Resistance in Urinary Tract Infection. Rev. Chil. Infectol. 2019, 36, 180–189. [Google Scholar] [CrossRef] [PubMed]
- Angelaalincy, M.J.; Krishnaraj, R.N.; Shakambari, G.; AshokKumar, B.; Kathiresan, S.; Varalakshmi, P. Biofilm Engineering Approaches for Improving the Performance of Microbial Fuel Cells and Bioelectrochemical Systems. Front. Energy Res. 2018, 6. [Google Scholar] [CrossRef]
- Shen, H.-B.; Yong, X.-Y.; Chen, Y.-L.; Liao, Z.-H.; Si, R.-W.; Zhou, J.; Wang, S.-Y.; Yong, Y.-C.; OuYang, P.-K.; Zheng, T. Enhanced bioelectricity generation by improving pyocyanin production and membrane permeability through sophorolipid addition in Pseudomonas aeruginosa-inoculated microbial fuel cells. Bioresour. Technol. 2014, 167, 490–494. [Google Scholar] [CrossRef]
- Liu, X.; Wang, S.; Xu, A.; Zhang, L.; Liu, H.; Ma, L.Z. Biological synthesis of high-conductive pili in aerobic bacterium Pseudomonas aeruginosa. Appl. Microbiol. Biotechnol. 2018, 103, 1535–1544. [Google Scholar] [CrossRef]
- Rojas-Flores, S.; De La Cruz-Noriega, M.; Nazario-Naveda, R.; Benites, S.M.; Delfín-Narciso, D.; Angelats-Silva, L.; Murga-Torres, E. Use of Banana Waste as a Source for Bioelectricity Generation. Processes 2022, 10, 942. [Google Scholar] [CrossRef]






| BLAST Characterization | Length of Consensus Sequence (nt) | % Maximum Identidad | Accession Number |
|---|---|---|---|
| Alcaligenes faecalis | 1390 | 98.97% | NR_113606.1 |
| Alcaligenes faecalis | 1348 | 99.52% | NR_113606.1 |
| Pseudomonas aeruginosa | 1384 | 100% | NR_117678.1 |
Disclaimer/Publisher’s Note: The statements, opinions and data contained in all publications are solely those of the individual author(s) and contributor(s) and not of MDPI and/or the editor(s). MDPI and/or the editor(s) disclaim responsibility for any injury to people or property resulting from any ideas, methods, instructions or products referred to in the content. |
© 2023 by the authors. Licensee MDPI, Basel, Switzerland. This article is an open access article distributed under the terms and conditions of the Creative Commons Attribution (CC BY) license (https://creativecommons.org/licenses/by/4.0/).
Share and Cite
Rojas-Flores, S.; De La Cruz-Noriega, M.; Cabanillas-Chirinos, L.; Nazario-Naveda, R.; Gallozzo-Cardenas, M.; Diaz, F.; Murga-Torres, E. Potential Use of Coriander Waste as Fuel for the Generation of Electric Power. Sustainability 2023, 15, 896. https://doi.org/10.3390/su15020896
Rojas-Flores S, De La Cruz-Noriega M, Cabanillas-Chirinos L, Nazario-Naveda R, Gallozzo-Cardenas M, Diaz F, Murga-Torres E. Potential Use of Coriander Waste as Fuel for the Generation of Electric Power. Sustainability. 2023; 15(2):896. https://doi.org/10.3390/su15020896
Chicago/Turabian StyleRojas-Flores, Segundo, Magaly De La Cruz-Noriega, Luis Cabanillas-Chirinos, Renny Nazario-Naveda, Moisés Gallozzo-Cardenas, Félix Diaz, and Emzon Murga-Torres. 2023. "Potential Use of Coriander Waste as Fuel for the Generation of Electric Power" Sustainability 15, no. 2: 896. https://doi.org/10.3390/su15020896
APA StyleRojas-Flores, S., De La Cruz-Noriega, M., Cabanillas-Chirinos, L., Nazario-Naveda, R., Gallozzo-Cardenas, M., Diaz, F., & Murga-Torres, E. (2023). Potential Use of Coriander Waste as Fuel for the Generation of Electric Power. Sustainability, 15(2), 896. https://doi.org/10.3390/su15020896

