Deformation and Failure Laws of Surrounding Rocks of Coal Roadways under High Dynamic Load and Intelligent Prediction
Abstract
1. Introduction
2. Scheme of Numerical Simulation Research
2.1. Rock Stratum Parameters
2.2. Model Parameters
2.3. Dynamic Loading Scheme
3. Discussion and Analysis of Results
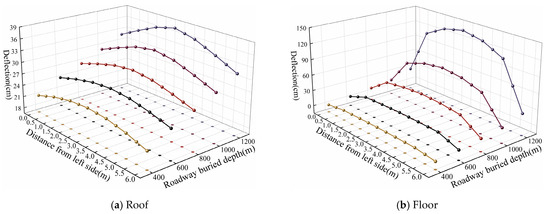
3.1. Influence of Buried Depth on Deformation and Failure of Surrounding Rocks
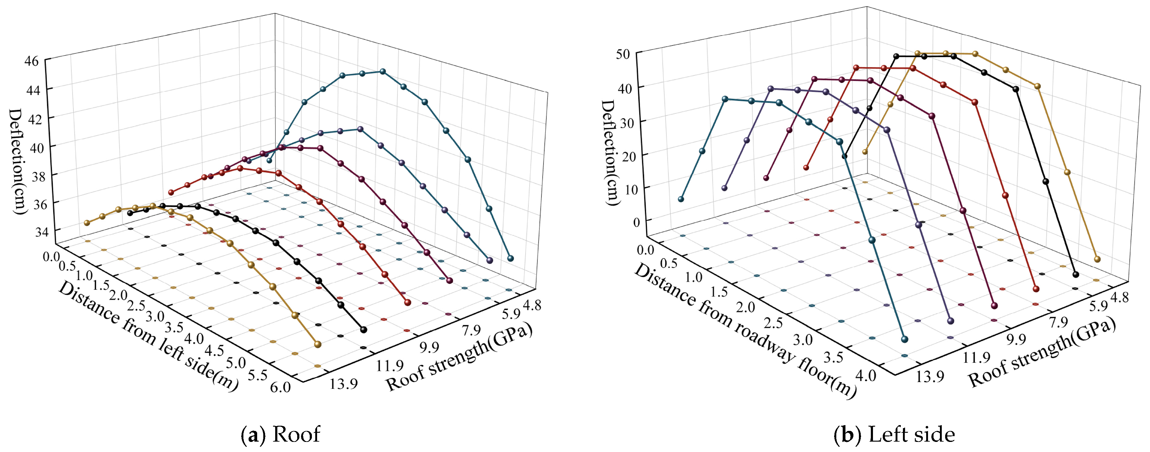
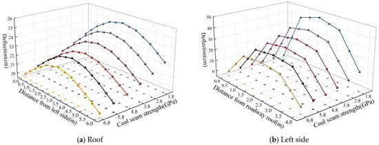
3.2. Influence of Surrounding Rock Strength on Deformation and Failure of Surrounding Rocks
3.3. Influence of Side Pressure Coefficient on Deformation and Failure of Surrounding Rocks
4. Intelligent Prediction of Roadway Deformation Law
5. Conclusions
- (1)
- The buried depth of the roadway has a significant influence on stress distribution and deformation of surrounding rocks, and the deformation and stress concentration of the deep roadway are extremely severe. Under a large buried depth, the maximum deformation of the roof and the side even exceeded 1.5 m and 1.7 m, respectively, and the plastic zone mainly exists in the coal seam.
- (2)
- Compared with roof lithology, coal seam lithology exerts a smaller impact on roof deformation but a larger impact on side wall deformation. The peak stress at the center of the roof under C6 decreased by 43% from that under C1, while the vertical stress on the two sides decreased by 73%.
- (3)
- The increase of the side pressure coefficient in value affects the deformation of the roadway side significantly and the horizontal stress concentration area moves towards the roadway gradually. The impacts of different side pressures reduced the plastic failure range to a certain extent.
- (4)
- The BP neural network prediction theory was adopted to predict the deformation of roadway surrounding rocks. The average absolute percentage error between the predicted value and the measured value and the correlation coefficient R are measured as 0.90% and 0.9983, respectively, revealing favorable accuracy and reliability of the method. The relationship among the weight of each factor affecting roadway roof deformation is listed as follows: roadway buried depth > roof lithology > coal seam lithology.
Author Contributions
Funding
Institutional Review Board Statement
Informed Consent Statement
Data Availability Statement
Acknowledgments
Conflicts of Interest
References
- Dou, L.M.; He, J.; Cao, A.Y.; Gong, S.Y.; Cai, W. Rock burst prevention methods based on theory of dynamic and static combined load induced in coal mine. J. China Coal Soc. 2015, 40, 1469–1476. [Google Scholar] [CrossRef]
- Liu, D.Q.; He, M.C.; Wang, C.C.; Wang, J.; Yang, J.; Wang, Y. Experimental study on rock burst induced by dynamic load. J. China Coal Soc. 2016, 41, 1099–1105. [Google Scholar] [CrossRef]
- Wang, X.B.; Liu, T.X.; Tian, F.; Qian, S.S. Numerical simulation of tunnel roof cracking mechanism under periodic impact loads. Meitan Xuebao 2021, 46, 3106–3115. [Google Scholar] [CrossRef]
- Wu, Y.Z.; Fu, Y.K.; He, J.; Chen, J.Y.; Chu, X.W.; Meng, X.Z. Principle and technology of “pressure relief-support-protection”collaborative prevention and control in deep rock burst roadway. J. China Mine Soc. 2021, 46, 132–144. [Google Scholar] [CrossRef]
- Tang, J.P.; Zhang, X.; Pan, Y.S.; Hao, N. Experimental study on outburst and impact evolution characteristics of coal and gas in deep roadways. Rock Mech. Rock Eng. 2022, 41, 1081–1092. [Google Scholar] [CrossRef]
- Wang, P.; Zhang, N.; Kan, J.G.; Xie, Z.Z.; Wei, Q.; Yao, W.H. Fiber Bragg Grating Monitoring of Full-bolt Axial Force of the Bolt in the Deep Strong Mining Roadway. Sensors 2020, 20, 4242. [Google Scholar] [CrossRef]
- Wen, Z.J.; Jing, S.L.; Song, Z.Q.; Jiang, Y.J.; Tang, J.Q.; Zhao, R.L.; Xiao, Q.H.; Zhang, T.J.; Wang, H.T.; Zhao, H.B.; et al. Study on coal face spatial structure model and control related dynamic disasters. Int. J. Coal Sci. Technol. 2019, 47, 52–61. [Google Scholar] [CrossRef]
- Xie, S.R.; Wang, E.; Chen, D.D.; Jiang, Z.S.; Li, H.; Liu, R.P. Collaborative control technology of external anchor⁃internal unloading of surrounding rock in deep large-section coal roadway under strong mining influence. China Coal Soc. 2022, 47, 1946–1957. [Google Scholar] [CrossRef]
- Naji, A.M.; Rehman, H.; Emad, M.Z.; Ahmed, S.; Kim, J.J.; Yoo, H. Static and Dynamic Influence of the Shear Zone on Rockburst Occurrence in the Headrace Tunnel of the Neelum Jhelum Hydropower Project, Pakistan. Energies 2019, 12, 2124. [Google Scholar] [CrossRef]
- Fan, C.J.; Li, S.; Elsworth, D.; Han, J.; Yang, Z.H. Experimental investigation on dynamic strength and energy dissipation characteristics of gas outburst prone coal. Energy Sci. Eng. 2022, 8, 1015–1028. [Google Scholar] [CrossRef]
- Jia, C.; Li, S.; Fan, C.J.; Tang, J.B. Numerical Simulation of Mechanical Characteristics of Roadway Surrounding Rock under Dynamic and Static Loading. Shock Vib. 2021, 2021, 1869583. [Google Scholar] [CrossRef]
- Xie, Y.Y.; Meng, Z.S.; Zeng, Q.L.; Yang, C.X.; Gao, K.D. Analysis of distribution characteristics of study on floor specific pressure of hydraulic support for deep mining based on impact loading. J. China Coal Soc. 2020, 45, 982–989. [Google Scholar] [CrossRef]
- Li, X.F. Research on rock fracturing and fragmentation subject to intensive impact loading. Rock Mech. Rock Eng. 2021, 40, 432. [Google Scholar] [CrossRef]
- Wang, P.; Zhang, N.; Kan, J.G.; Wang, B.; Xu, X.L. Stabilization of Rock Roadway under Obliquely Straddle Working Face. Energies 2021, 14, 5759. [Google Scholar] [CrossRef]
- Mu, C.M.; Gong, N.P. Damage mechanism of coal under impact loads. Meitan Xuebao 2017, 42, 2011–2018. [Google Scholar] [CrossRef]
- Han, Y.D. Research on Surrounding Rock Control Technology of Strong Dynamic Pressure Roadway in Isolated Island Working Face. Master’s Thesis, China University of Mining and Technology, Xuzhou, China, 2021. [Google Scholar] [CrossRef]
- Meng, Q.B.; Han, L.J.; Chen, Y.L.; Fan, J.D.; Wen, S.Y.; Yu, L.Y.; Li, H. Influence of dynamic pressure on deep under ground soft rock roadway support and its application. Int. J. Min. Sci. Technol. 2016, 26, 903–912. [Google Scholar] [CrossRef]
- Zhu, Z.D.; Sun, L.Z.; Wang, M.Y. Damping ratio experiment and mesomechanical analysis of deformation failure mechanism on rock under different frequency cyclic loadings. Rock Soil Mech. 2010, 31, 8–12. [Google Scholar] [CrossRef]
- Wu, P.F.; Yang, T.J.; Jia, W.C. Reliability Analysis and Prediction on Tunnel Roof under Blasting Disturbance. KSCE J. Civ. Eng. 2019, 23, 4036–4046. [Google Scholar] [CrossRef]
- Liu, X.S.; Fan, D.Y.; Tan, Y.L.; Wang, X.; Alexey, A. Failure and instability mechanism of anchored surrounding rock for deep chamber group with super-large section under dynamic disturbances. Rock Soil Mech. 2021, 42, 3407–3418. [Google Scholar] [CrossRef]
- Naji, A.M.; Rehman, H.; Emad, M.Z.; Ahmed, S.; Kim, J.J.; Yoo, H. Rockburst evaluation in complex geological environment in deep hydropower tunnels. In Tunnels and Underground Cities: Engineering and Innovation meet Archaeology, Architecture and Art; CRC Press: Boca Raton, FL, USA, 2019; pp. 1002–1009. [Google Scholar] [CrossRef]
- Wang, S.C. Simulation Experiment of Surrounding Rock Deformation and Failure Induced by Mining Dynamic Load. Master’s Thesis, China University of Mining and Technology, Xuzhou, China, 2017. [Google Scholar]
- Li, C.; Zhang, W.L.; Wang, N.; Hao, C. Roof stability control based on plastic zone evolution during mining. J. Min. Saf. Eng. 2019, 36, 753–761. [Google Scholar] [CrossRef]
- Xiao, Z.M.; Liu, J.; Wang, H.; Sun, L.; Zhou, H. Study on Mechanism and Control of Rock Burst Instability of Roadway Floor Induced by Dynamic Load Disturbance. Chin. J. Undergr. Space Eng. 2019, 15, 1573–1581. [Google Scholar]
- Feng, J.C.; Yin, S.F.; Cheng, Z.H.; Shi, J.J.; Shi, H.Y.; Xu, H.T.; Guo, S.Y. Deformation and Failure Mechanism of Surrounding Rock in Mining-Influenced Roadway and the Control Technology. Shock. Vib. 2021, 2021, 5588314. [Google Scholar] [CrossRef]
- Wang, J.C.; Wang, Z.H. Impact Effect of Dynamic Load Induced by Roof in High-Intensity Mining Face. Rock Mech. Rock Eng. 2015, 34, 3987–3997. [Google Scholar] [CrossRef]
- Wang, P.; Zhang, N.; Kan, J.G.; Xu, X.L.; Cui, G.Z. Instability Mode and Control Technology of Surrounding Rock in Composite Roof Coal Roadway under Multiple Dynamic Pressure Disturbances. Geofluids 2022. [Google Scholar] [CrossRef]
- Chen, G.X.; Dou, L.M.; Gao, M.S.; Mu, Z.L. Numerical Simulation of Dynamic Vibration Affecting Rock Burst in Mining Gateway Caused by Tremor. J. Min. Saf. Eng. 2009, 26, 153–157. [Google Scholar] [CrossRef]
- Zhang, X.T.; Dou, L.M. Numerical Simulation of the Influence of Hardness and Thickness of Coal Seam on Rock Burst. J. Min. Saf. Eng. 2006, 3, 277–280. [Google Scholar] [CrossRef]
- Zhang, X.C.; Lu, A.H.; Wang, J.Q. Numerical Simulation of Layer-Crack Structure of Surrounding Rock and Rockburst in Roadway under Dynamic Disturbance. Rock Mech. Rock Eng. 2006, 25, 3110–3114. [Google Scholar] [CrossRef]
- Kan, J.G.; Li, G.C.; Zhang, N.; Wang, P.; Han, C.L.; Wang, S. Changing characteristics of sandstone pore size under cyclic loading. Geofluids 2021, 2021, 6664925. [Google Scholar] [CrossRef]
- He, F.L.; Zhang, G.C. Deformation and failure mechanism and control technology of large section coal roadway subjected to severe mining dynamic load. J. Min. Saf. Eng. 2016, 33, 423–430. [Google Scholar] [CrossRef]
- Zhao, H.B.; Wang, Z.W.; Zhang, H.; Li, W. Effects of dynamic loads on development of internal microstructure and distribution of new surface fractures of coal. Rock Mech. Rock Eng. 2016, 35, 971–979. [Google Scholar] [CrossRef]
- Li, Y.Y.; Zhang, S.C.; Wen, Z.J.; Zhao, R.L.; Cao, Z.G.; Lun, Q.Z.; Bai, J.Z. Energy conversion and fragment distribution characteristics of coal sample under uniaxial cyclic loading. J China Coal Soc. 2019, 44, 1411–1420. [Google Scholar] [CrossRef]
- Wang, Z.Y.; Dou, L.M.; Wang, G.F.; Li, J. Research on Dynamic Response of Anchoring Roadway Surrounding Rock Structure. J. China Univ. Min. Technol. 2016, 45, 1132–1140. [Google Scholar] [CrossRef]
- Xia, Z.X. Study on the effect of explosive stress wave in coal roadway and its wartime application. Ph.D. Thesis, China University of Mining and Technology, Xuzhou, China, 2004. [Google Scholar]
- Wang, T. Research and Application of Deformation Mechanism of Surrounding Rock with Bedding Surface in High Street Road. Ph.D. Thesis, China University of Mining and Technology, Xuzhou, China, 2021. [Google Scholar] [CrossRef]
- Li, S.J.; Liu, Y.X.; Wang, D.G.; Li, H.; Wu, F.J. Inversion Algorithm of Permeability Coefficients of Rockmass and Its Application Based on Artificial Neural Network. Rock Mech. Rock Eng. 2002, 21, 479–483. [Google Scholar] [CrossRef]




















| Rock Stratum Information | Lithology | Depth of Stratum | Lithological Characteristics |
|---|---|---|---|
| Main roof | Medium sandstone and fine sandstone | 4.5~12.92 | Gray–white medium sandstone with argillaceous inclusion Light grayish green fine sandstone with locally broken core |
| Immediate roof | Mudstone | 0.4~3.86 | Black mudstone that is relatively broken |
| Direct bottom | Mudstone and silty fine sandstone | 0.0~11.76 | Dark grey mudstone with blocky and shelly fractures Black siltstone with horizontal bedding |
| Basic bottom | Silty fine sandstone | 10.3~11.9 | Gray siltstone that is partially broken |
| Name | Lithologic Characteristics | Bulk Modulus/GPa | Shear Modulus/GPa | Poisson’s Ratio v | Internal Friction Angle φ/° | Cohesion c/MPa |
|---|---|---|---|---|---|---|
| Overlying strata | Mudstone | 9.01 | 4.64 | 0.28 | 35 | 3.12 |
| Main roof | Medium sandstone | 12.22 | 7.33 | 0.25 | 30 | 3.86 |
| Fine sandstone | 10.52 | 6.31 | 0.25 | 30 | 4.12 | |
| Immediate roof | Mudstone | 9.01 | 4.64 | 0.28 | 35 | 3.12 |
| Coal seam | Coal | 4.75 | 1.82 | 0.33 | 28 | 2.43 |
| Direct bottom | Mudstone | 9.01 | 4.64 | 0.28 | 35 | 3.12 |
| Basic bottom | Siltstone | 8.98 | 5.78 | 0.2 | 38 | 3.75 |
| Mechanical Parameters | Roof Stratum | Coal Seam | ||||||||||
|---|---|---|---|---|---|---|---|---|---|---|---|---|
| Grade | I1 | I2 | I3 | I4 | I5 | I6 | C1 | C2 | C3 | C4 | C5 | C6 |
| Elastic modulus/GPa | 4.8 | 5.9 | 7.9 | 9.9 | 11.9 | 13.9 | 1.8 | 2.8 | 3.8 | 4.8 | 5.8 | 6.8 |
| Poisson’s ratio | 0.31 | 0.31 | 0.30 | 0.29 | 0.28 | 0.27 | 0.36 | 0.35 | 0.34 | 0.33 | 0.32 | 0.31 |
| Cohesion/MPa | 1.02 | 1.32 | 1.92 | 2.52 | 3.12 | 3.72 | 1.83 | 2.03 | 2.23 | 2.43 | 2.63 | 2.83 |
| Number of Nodes | Mean Square Error | Sort | Number of Nodes | Mean Square Error | Sort |
|---|---|---|---|---|---|
| 6 | 0.00074055 | 1 | 5 | 0.0013225 | 6 |
| 4 | 0.0010707 | 2 | 7 | 0.0015081 | 7 |
| 8 | 0.0011019 | 3 | 9 | 0.0027027 | 8 |
| 3 | 0.0011651 | 4 | 11 | 0.0067611 | 9 |
| 10 | 0.0011763 | 5 | 12 | 0.071536 | 10 |
| Influencing Factor | Weight Value | Sort | ![]() |
| Roadway buried depth | 0.5073 | 1 | |
| Roof rock strength | 0.3888 | 2 | |
| Coal seam strength | 0.1040 | 3 |
Disclaimer/Publisher’s Note: The statements, opinions and data contained in all publications are solely those of the individual author(s) and contributor(s) and not of MDPI and/or the editor(s). MDPI and/or the editor(s) disclaim responsibility for any injury to people or property resulting from any ideas, methods, instructions or products referred to in the content. |
© 2023 by the authors. Licensee MDPI, Basel, Switzerland. This article is an open access article distributed under the terms and conditions of the Creative Commons Attribution (CC BY) license (https://creativecommons.org/licenses/by/4.0/).
Share and Cite
Li, A.; Cui, G.; Wang, P.; Wang, X.; Hong, Z.; Kong, J.; Kan, J. Deformation and Failure Laws of Surrounding Rocks of Coal Roadways under High Dynamic Load and Intelligent Prediction. Sustainability 2023, 15, 1313. https://doi.org/10.3390/su15021313
Li A, Cui G, Wang P, Wang X, Hong Z, Kong J, Kan J. Deformation and Failure Laws of Surrounding Rocks of Coal Roadways under High Dynamic Load and Intelligent Prediction. Sustainability. 2023; 15(2):1313. https://doi.org/10.3390/su15021313
Chicago/Turabian StyleLi, Aoran, Guangzhen Cui, Peng Wang, Xinjie Wang, Zhengtao Hong, Jiangrong Kong, and Jiaguang Kan. 2023. "Deformation and Failure Laws of Surrounding Rocks of Coal Roadways under High Dynamic Load and Intelligent Prediction" Sustainability 15, no. 2: 1313. https://doi.org/10.3390/su15021313
APA StyleLi, A., Cui, G., Wang, P., Wang, X., Hong, Z., Kong, J., & Kan, J. (2023). Deformation and Failure Laws of Surrounding Rocks of Coal Roadways under High Dynamic Load and Intelligent Prediction. Sustainability, 15(2), 1313. https://doi.org/10.3390/su15021313


