Abstract
Accumulation of heavy metals is a concerning issue due to their known persistence in the ecosystem, and there are standard limits established for their maximum allowable concentrations in soils. However, heavy metal accumulation coming from serpentinite soils often exceeds the regulatory values, and there is a lack of knowledge regarding their bioavailability, mobility, and toxicity in the environment. This research applied novel selective sequential extraction and leaching procedures to assess the gaps in knowledge regarding heavy metals accumulation on serpentinite topsoil derived from a few states in Peninsular Malaysia. Based on the total digestion method, the concentration of all studied heavy metals except Mn exceeded the site screening levels issued by the Department of Environment, Malaysia (DOEM). The Geo-accumulation Index categorized Cr, Cd, Ni, and Co as extreme contamination and Cu, Pb, Zn, and Mn as unpolluted to moderate contamination. From the extraction results, Cd was found bounded 100% to a residual fraction. Meanwhile, Ni, Co, and Cr were mostly (≥92%) found to be bound to a residual fraction, with the remaining percentages distributed within non-bioavailable fractions (crystalline Fe oxides, poorly crystalline Fe oxides, and Mn oxides). Nevertheless, Cu, Pb, Zn, and Mn contaminants showed an increase (1–9%) in bioavailability and mobility fractions (soluble–exchangeable, surface-adsorbed, and organic matter) which pose a threat to the environment. The toxicity of the heavy metals greatly surpassed the DOEM standards; however, it was still below the global USEPA toxicity control. This research concluded that, even though the toxicity level of the topsoils had not exceeded the global toxicity limit, the accumulation of heavy metals in the serpentinite soils needs to be addressed due to its high concentration and its being potentially bioavailable and mobile in the environment.
1. Introduction
Heavy metals are considered cancerous to the ecosystem due to their natural persistence, non-biodegradability, and ability to accumulate and transfer in an open system [,,]. Pollution of heavy metals is a serious issue as there is not just a hazard to an ecosystem but it also jeopardizes public health through their bioaccumulation and biomagnification in the food chain cycle [,,]. Heavy metals are trace group elements with higher density than water (approximately 5× higher) [], and because their heaviness is related to toxicity, even trace excessive concentrations can be considered a menace for the general health of living organisms as well as their niches []. Numerous studies have shown the deleterious effects of heavy metals bioaccumulation in the human body, such as how exposure to lead (Pb) can damage various human systems (e.g., nervous, skeletal, and enzymatic) which can lead to dissimilar diseases such as cardiovascular and neurological disorders [,,]. Moreover, heavy metals like Cd, Pb, Ni, Mn, and Zn have been classified as metalloestrogens, also called endocrine-disrupting chemicals (EDCs), which can alter gene expression through the exertion of estrogenic effects []. Biomagnification of heavy metals in each trophic level is also a worrisome case as the concentration of heavy metals is amplified going up in a food chain [].
There is no doubt that human activities, such as industrial (i.e., smelting and mining processes) [,], agricultural [,], and domestic [,], have caused the excessive introduction of heavy metals into the environment []. However, the origin of heavy metals in soils may be lithogenic [,] and these are often overlooked in their seriousness [,]. Geogenic environmental contamination is the weathering and leaching of heavy metals [,], pedogenesis [], volcanic eruptions [], soil erosion [], atmospheric deposition [], and sediment re-suspension []. Ultramafic soils are the prime example of this type of increase of heavy metal content in the soil [,], and it is rare to find ultramafic soils that do not overstep the regulatory limits [,]. Since the enrichment involved is naturally derived and did not result from anthropogenic pollution, no actual remediation is taken []. Since no active remediation has been carried out, this kind of geogenic contamination may become a real time bomb once the heavy metals surpass the accumulation threshold of the soil [,].
In addition, serpentine soils derived from the weathering of serpentinized ultramafic contain high concentrations of heavy metals, specifically chrysotile asbestos and rare earth elements, which pose dangerous risks to human health [,,]. Serpentine soils contain toxic geological contaminants (TGCs) that can be mobilized, distributed, and enter the human body through several environmental compartments []. However, comprehensive attention to the medical geology (i.e., the study of geological systems’ interaction with living organisms) linked with serpentine soils is limited [,]. Therefore, studying the bioavailability and mobility of these heavy metals derived from geological materials is crucial.
Moreover, maintaining a healthy ecosystem by restoring soil healthiness is paramount to achieving the Sustainable Development Goals (SDGs) outlined by the United Nations and Europe Green Deal Strategy []. In the recently published European Union (EU) Soil Strategy for 2030, it is estimated that between 60% to 70% of EU soils are unhealthy due to contamination, biodiversity loss, erosion, carbon depletion, compaction, and sealing, and it urged all member states to take decisive restoration action [,]. It is reported that there are an average of five million sites contaminated with heavy metals worldwide, and strict remediation measures must be initiated []. To advance this agenda, the Department of Environment, Malaysia (DOEM), under the Ninth Malaysia Plan, has adopted site screening guidelines for the conventional assessment and management of contaminated sites in Malaysia [], which will be explicitly applied for comparing the soil contamination level in this study.
Furthermore, measuring total heavy metal concentration as a contamination indicator has always been practiced [,]. There are significant reviews regarding total heavy metals derived from ultramafic soils [,,]. However, some researchers believe that measuring the total amount of heavy metals in soil is insufficient for indicating the level of soil pollution [,]. The extent of damage caused by heavy metal contamination is assessed by investigating the speciation of metals in soils []. The forms of metal speciation in soil are usually determined using Tessier’s Selective Sequential Extraction (SSE) method []. However, this novel method was proposed for its applicability in temperate soils and may not be suitable for tropical soils that are enriched with Fe and Mn oxides []. Therefore, this research used Silveira et al.’s modified version of SSE [] that proposed additional steps (i.e., poorly crystalline oxide, crystalline Fe oxide) for better optimization of heavy metals recovery, specifically in tropical soils.
Since there are many concerns regarding the insufficient information regarding the fate of metals (i.e., bioavailability, mobility, and toxicity) in the environment coming from heavy metal contamination of ultramafic rock, this paper was written objectively to provide information on (1) topsoil contamination of serpentinite, assessed in terms of total concentrations, compared with the site screening limits and established background values, (2) the bioavailability and mobility of metals through SSE, and (3) the toxicity monitoring of serpentinite topsoil.
2. Materials and Methods
2.1. Site Description and Sampling Procedure
The samples were taken from five locations in three different states within Peninsular Malaysia (Figure 1). Lenses of serpentinite can be found within the Bentong-Raub Suture Zone formation located in the central belt of the Peninsula. The Bentong-Raub boundaries are within a band of 15 to 20 km running from southern Thailand to the south-southeast towards Muar, Johor, in Malaysia. The serpentinite unit is in the Bentong-Raub group and coexists alongside mélange, olistostrome, oceanic ribbon chert, and schist. The country experiences a tropical climate with an average of 2000 mm to 2500 mm rainfall throughout the year. Therefore, most of the derived serpentine soils are laterite or oxisols.

Figure 1.
Sampling stations of serpentinite topsoil in a few states in Peninsular Malaysia. Abbreviations: GM—Gua Musang, BM—Batu Malim, BSR—Bentong Spine Road, PTS—Petasih, FBR—Felda Bukit Rokan.
The soil sampling was made on serpentinite topsoil (0–20 cm) after roughly removing the vegetation and unnecessary debris. There were about five sampling stations in each locality, and within each station about 1.5 kg of soil was taken. The samples were each then stored in a transparent storage bag, labeled, and put in an airtight container before being delivered to the laboratory for analysis. Each soil sample was air-dried and sieved through a 2 mm sieve pan.
2.2. Physico-Chemical Characterization
The soil pH was measured using Metson [] in 1:2.5, pH: water suspension. A total of 10 g of soil was dissolved in a 50 mL beaker containing 25 mL of deionized water. The solution was stirred and left in suspension for half an hour. A Hanna’s pH meter was calibrated using the manufacturer’s guidelines and was used to measure the pH. The reading was repeated three times, and the pH electrode was washed thoroughly between measurements with deionized water.
The method for measuring soil organic matter (SOM) and cation exchange capacity (CEC) was adopted from the laboratory handbook of the Geotechnical Research Centre of McGill University, Montreal, Canada []. About 2 g of soil was weighed to investigate the SOM and put into a pre-weighed 600 mL beaker. A drop of 1 to 5 mL of 30% M hydrogen peroxide (H2O2) (Systerm, CAS No. 7722-84-1) was added to the beaker. The beaker was then placed into a gently warmed sand bath to speed up the reaction. More H2O2 was continuously added until no further reaction occurred. About 150 mL of deionized water was added to the sample and mixed thoroughly before leaving it overnight. The clear supernatant was pipetted out from the beaker, and the solid sample was put into the oven to dry. The beaker containing the sample was weighed again. Based on the recorded value obtained, the percentage of organic matter in the soil can be calculated by:
- = Total beaker weight before the reaction.
- = Total beaker weight after the reaction.
- = Weight of soil (g).
For the CEC experiment, 1 N of ammonium acetate (NH4CH2COOH) (Systerm, CAS No. 631-61-8) set to pH 7 was prepared beforehand. A total of 4 g of soil was mixed with 33 mL of NH4CH2COOH in a 50 mL centrifuge tube. The mixture was mechanically shaken for 1 h at 250 rpm using an orbital shaker. A 45 m membrane filter set up in a vacuum filtration setting was used to filter the mixture. The clear supernatant obtained was added to a 100 mL volumetric flask. The same steps were repeated twice for each soil sample. All the supernatant obtained was added into the same volumetric flask. The volumetric flask was filled with deionized water until it reached the neck mark. The sample solution was homogeneously mixed before being analyzed using Inductively Coupled Plasma-Optical Emission Spectrometry (ICP-OES) (Perkin Elmer Optima, Waltham, MA, USA, 4300DV) to measure the concentration of extractable cations (EC) (K, Mg, Ca, and Na). The same procedure was repeated for measuring soluble cations (SC). However, the NH4CH2COOH extractant was replaced with deionized water. The exchangeable cations (CEC) (meq/100 g) were calculated using the following equations:
CEC (meq/100 g) = EC (meq/100 g) − SC (meq/100 g)
2.3. Total Heavy Metals Content
An acid digestion procedure for sediments, sludges, and soils, USEPA method 3050B [], was used to investigate the total heavy metals content. About 1 g of dry soil was weighed and put into 250 mL digestion vessels. The sample was heated without boiling with 10 mL concentrated nitric acid (HNO3) (Systerm, Shah Alam, Malaysia, CAS No. 7697-37-2) to 95 °C ± 5 °C and was refluxed for 10 min. About 5 mL of HNO3 was continuously added and left reflux for 30 min until the absence of brown fumes. The digestion was heated for two hours at 95 °C ± 5 °C. After the former steps were completed and it cooled, about 10 mL of 30% H2O2 was slowly added to ensure that losses did not occur due to excessively vigorous effervescence. Then, the digestion was left heated for two hours at 95 °C ± 5 °C. The digestion was diluted with 100 mL of deionized water after cooling. The digestion’s liquid was filtered using a 45 m membrane filter (Whatman, Maidstone, UK, CAT No. 7404-004) before being subjected to ICP-OES analysis. The computation of raw data followed Tashakor [] and was presented in mg/kg. The detailed computation equation is in Supplementary Materials Table S2.
2.4. Selective Sequential Extraction (SSE)
The procedure used in this experiment was adapted from Silveira et al. [] for extracting the soil fractions under tropical weather. A total of 1 g of soil was added into a 50 mL centrifuge tube and mixed consecutively with reagents and equilibrium conditions. The following are the seven fractions of heavy metals extraction to determine their associated metal pools:
- F1: Soluble–exchangeable, the sample was shaken for 2 h at room temperature with 15 mL of 0.1 M of CaCl2 (Systerm, Shah Alam, Malaysia, CAS No. 10035-04-8).
- F2: Surface-adsorbed, the remaining residue was soaked with 30 mL of 1 M NaOAC (pH 5) (Systerm, Shah Alam, Malaysia, CAS No. 127-09-3) and shaken for 5 h at room temperature.
- F3: Organic matter, the remaining soil sample was put in a rotating water bath where the temperature was set to 90–95 °C for 30 min with 5 mL NaOCl (pH 8.5) (Systerm, Shah Alam, Malaysia, CAS No. 7681-52-9).
- F4: Mn oxides, the soil residue was mixed with 30 mL of 0.05 M NH2OH.HCl (pH 2) (Systerm, Shah Alam, Malaysia, CAS No. 5470-11-1) and shaken for 30 min at room temperature.
- F5: Poor crystalline Fe oxides, the remaining sample was mixed with 30 mL of 0.2 M oxalic acid (Systerm, CAS No. 6153-56-6) + 0.2 M NH4 oxalate (Systerm, Shah Alam, Malaysia, CAS No. 6009-70-7) (pH 3) and left shaking in a dark room for 2 h.
- F6: Crystalline Fe oxides, the soil sample was percolated with 40 mL of 6 M HCl (Systerm, Shah Alam, Malaysia, CAS No. 7647-01-0) and left shaking for 24 h at room temperature.
- F7: Residual, the remaining residue was digested using the total digestion method USEPA 3050B [] using HNO3–H2O2.
Between each step, the solid residue was separated with its supernatant by centrifugation at 2500 rpm for 10 min. The separated supernatant was filtered in a 45 m membrane filter. Meanwhile, the solid residue was shaken with 5 mL of 0.1 M NaCl (Systerm, Shah Alam, Malaysia, CAS No. 7647-14-5). The latter NaCl supernatant was added to the filtered solution. The solid residue was left for the remaining extractions. All collected supernatant was diluted in the ratio of 1:30 (1 mL of the extracted solution:30 mL of deionized water) before being sent to the ICP-OES for heavy metal measurements.
2.5. Toxicity Characteristics Leaching Procedure (TCLP)
The TCLP was based on the standard guideline of USEPA SW-846 method 1311 [], which is often used to assess the potential toxicity of heavy metals in the environment [,,]. The TCLP test required two extraction reagents. The first extraction reagent was a mixture of 64.3 mL of 1 M of NaOH (Systerm, Shah Alam, Malaysia, CAS No. 1310-73-2) with 1 L of distilled water and 5.7 mL of CH3COOH. The pH of the first reagent was monitored at pH 4.93. The first reagent was applied to a sample with a pH lower than 5. Meanwhile, if the pH of the sample showed otherwise, the second reagent was selected. The second extraction reagent consisted of 5.7 mL of CH3COOH and 1 L of distilled water, and the pH was controlled to 2.88. About 1 g of soil was mixed according to the pH value with 20 mL of extraction reagent in a 50 mL centrifuge tube. The mixture was left shaking for 20 h before filtration. The clear supernatant was sent to the ICP-OES laboratory for measurements.
2.6. Quality Control and Assurance
Quality assurance and quality control were performed by testing three standard solutions (250 ppb, 500 ppb, and 1000 ppb) for every 10 samples using Certified Reference Material (N9300233) Perkin Elmer Multi-element Calibration Standard 3. Blank samples and duplicates were prepared for each soil set. The ICP-OES instrument (Perkin Elmer, Waltham, MA, USA, Optima 4300DV) was tested for calibration settings using CRM 6610030100 Agilent Wavelength Calibration Solution. After a set of measurements, the instrument was flushed with deionized water (EASYpure II DI Ultrapure water). The analyte measured (Ni, Cr, Co, Cd, Pb, Zn, Mn, Cu) agreed with the certified values. The detection limits for Ni (0.3 g/L), Cr (0.7 g/L), Co (<0.2 g/L), Cd (<0.03 g/L), Pb (<0.1 g/L), Zn (0.6 g/L), Mn (<0.2 g/L), and Cu (<0.2 g/L) were certified.
2.7. Risk Assessments
2.7.1. Regulation Limits
Malaysia has published its site screening guidelines as the Contaminated Land Management Control Guidelines (CLMCG) to assess the threat of heavy metals accumulation in soil []. The framework of the CLMCGs is defined through a series of three guidelines, and these guidelines were followed in a stepwise manner. For this research, the CLMCGs handbook guideline no. 1 was used to determine the heavy metal value with respect to site screening levels (SSLs). The SSLs for soil were divided into industrial and residential (Table 1). Both of these standard limits were used in the comparison study of this research. There is no specification of toxicity values stated in the CLMCGs. Therefore, the toxicity values obtained in this research were compared with groundwater standards (Table 1). The background value (Table 1) of naturally occurring metals was also compared with the total heavy metal concentrations. The CLMCGs handbook [] clarified that the soil is considered contaminated when the contaminants are above the naturally occurring value and pose, or are likely to pose, an immediate or long-term hazard to human health or the environment. The soil is also considered contaminated when it exceeds the specified concentration in the SSLs. If the soil is found to be contaminated, the respective stakeholder and authorities must follow the CLMCGs guidelines no. 2 and no. 3 for reporting and remediation measures.

Table 1.
Contaminated Land Management and Control Guidelines (CLMCG) guideline no. 1 site screening levels (SSLs) and background values (BVs).
2.7.2. Geoacumulation Index
The total value of heavy metals extracted by acid digestion method 3050B [] was compared with the background reference of naturally occurring metals stated in the CLMCGs guideline (Table 1) []. The geo-accumulation value [] was calculated through:
where Cs is the total concentration of heavy metals extracted through the acid digestion method, and Cref is the background reference value for naturally occurring metals derived from the CLMCGs handbook []. The calculated Igeo values were classified into seven classes (Table 2) as proposed by Muller [,]:

Table 2.
Igeo and classification of heavy metal pollution.
3. Results and Discussions
3.1. General Soil Physico-Chemical Characteristics
The average pH for all sampling soils was 5.43, categorized as acidic (Table 3). The most acidic soil was recorded at FBR at an average value of pH 4.83. Meanwhile, the least acidic soil was recorded at BM at an average value of pH 5.73.

Table 3.
Physico-chemical properties of all selected sampling soils in each respective location. Physico-chemical values (i.e., pH, SOM, and CEC) of previous studies were detailed in Supplementary Materials Table S1.
The average SOM for all collected soils was 7.23% (Table 3). The lowest SOM recorded was at BM, with a minimum value of 2.75%. Simultaneously, the highest SOM value was recorded at GM, with a maximum value of 29.70% (Table 3).
All sampled soils recorded a low CEC value, averaging 2.15 meq/100 g (Table 3). The highest CEC value was recorded at PTS, with a maximum value of 4.95 meq/100 g. Conversely, soils collected at GM showed the lowest CEC value with a minimum of 1.22 meq/100 g.
Based on the soil physico-chemical results (Table 3), the total average pH recorded for all sampling sites was slightly lower than previous regional studies, which found 5.65 for serpentinite soils in Negeri Sembilan (the southern area of Peninsular Malaysia) [], 5.78 for the pH mean recorded for all serpentinite soils in Malaysia (including the Sarawak and Sabah states) [], and 5.89 for serpentinite soils found in Ranau, Sabah (Malaysia’s Borneo state) [,,]. Moreover, soils derived from mafic to ultramafic protolith and experiencing tropical weathering tend to range in acidic scale (pH 5.1–6.3) due to the leaching of alkaline and calc-alkaline elements [,].
The SOM recorded for this research sits within the range of numbers (2–13%) reported by previous literature and measured on serpentinite soils in Sabah [,,,]. According to Oze et al. [], serpentinite soil developed in tropical regions has a lower SOM range than in temperate climates due to the destabilization of clay minerals as weathering progresses [] and the low water retention capacity that leads to high surface run-off [,]. The CEC value obtained in this research is categorized in the lower range (0.80–6.00 meq/100 g) [,,] compared to many other reported values (6.23–33.87 meq/100 g) [,,]. The CEC value corresponds with the amount of clay inside the soil and vegetation cover [,,]. Serpentinite soils are well known for their vegetative syndrome, which may contribute to lower CEC values [,].
Physico-Chemical Relations in Heavy Metal Leach and Sink
Physico-chemical relations play an important role in heavy metals’ leaching and sinking. The pH values show an inverse relationship with SOM. Soil pH can affect the chemical speciation of heavy metals by changing their adsorption positions, adsorption-surface stability, and coordination properties. The mobility of heavy metals in the soil is influenced by organic matter in a pH-dependent manner [,,,]. The decomposition of organic matter in soils increases organic acid production, leading to lower soil pH. Moreover, the sparse vegetation cover in serpentinite soils can contribute to a low level of organic matter []. Additionally, low vegetation cover increases the probability of surface run-off [,]. These conditions lead to elemental leaching on serpentinite topsoil as alkaline to calc-alkaline elements tend to dissolve in rainwater, leaving the siderophile elements behind [,]. The decrease in soil pH means the higher concentration of H+ (a ten times scale between each unit) causes higher competition with other cations for exchange []. Therefore, pH values are directly proportional to the recorded CEC value. CEC values also show a positive correlation with SOM. As a result, exchanged nutrients like Na+, Mg2+, and Ca2+ (base cation), which are weakly bound to the soil, leach out in acidic soils. Deficiencies in exchangeable cations bound with soil exchange sites lower the CEC value. Meanwhile, cations in soils with higher CEC can attach to the exchange sites of organic particles or clay surfaces. Thus, soil with more clay or organic matter typically has higher CEC values, acting as a metal sink. However, clay minerals become unstable in serpentinite soils as chemical weathering progresses. Ca and Mg, which are very mobile, are preferred in leaching, while Cr and Ni stay in the profiles and accumulate with Fe and Mn. Such behavior can be explained by the complete hydrolysis that occurs in tropical environments, trapping metals like Ni and Cr that are difficult to leach in secondary oxides [,,].
3.2. Total Heavy Metals Content
The concentrations of all studied heavy metals are summarized in Table 4, and other detailed calculations are in Supplementary Materials Table S2. The total mean of Ni in all sampling sites was 6.77 mg/kg, with the highest value recorded at BSR (1.89 mg/kg) and the lowest in GM (6.75 mg/kg). Meanwhile, for Co, the total mean value calculated for all sampling sites was 2.47 mg/kg. The highest concentration of Co was recorded at BM with a maximum value of 6.41 mg/kg. Conversely, the lowest value was recorded at GM with a minimum value of 4.85 mg/kg. All studied soils recorded an average total of 1.04 mg/kg for Cr. The highest value of Cr was obtained at BSR, with a maximum value of 2.86 mg/kg. Soils derived from GM recorded the lowest value of Cr (4.32 mg/kg). As for Cd, the total mean of all sampling sites was 9.77 mg/kg, with the highest value derived from BM (1.80 mg/kg) and the lowest from GM (1.90 mg/kg). The total average of Cu in all locations was calculated at 4.52 mg/kg with a maximum value of 8.70 mg/kg at GM and a minimum value of 6.29 mg/kg derived from BM. The mean Pb in all sampling sites was 8.48 mg/kg. The BM sampling location reported a maximum value of 1.38 mg/kg. In the meantime, the minimum value recorded was 4.07 mg/kg derived from FBR sampling sites. The total average value for Zn was 4.76 mg/kg for all studied soils with a maximum value of 9.12 mg/kg and minimum value of 2.32 mg/kg, which were both derived from BSR. Lastly, the total mean value of Mn in all soils was 1.63 mg/kg with a maximum value of 1.26 mg/kg recorded at BM and a minimum value (3.91 mg/kg) recorded at FBR.

Table 4.
Concentrations (mg/kg) of total heavy metals accumulated on serpentinite topsoil (0–20 cm).
The highest total means of heavy metals recorded in all studied soils were in the order Cr > Ni > Co > Cd > Zn > Cu > Mn > Pb (Figure 2). In terms of location, the greatest accumulations of heavy metals arranged in descending order were BSR > BM > PTS > FBR > GM.

Figure 2.
The mean and standard deviation values (in logarithmic scale) of heavy metals according to their sampling sites.
The heavy metals concentration was compared with previous literature values. Based on regional studies [,,,,,], the Co concentration has ranged between 6.70 mg/kg and 1.00 mg/kg for serpentine topsoil in the Peninsula’s regions. In this study, the measured Co was situated above that previous range. The measured Co value recorded for this research was comparatively higher than the background value stated by Kabata and Pendias [,], which was 2.00 to 5.00 mg/kg. The high recovery of Co obtained in this research came with a thick layer of laterite resulting from the weathering of serpentinized ultramafic [,]. Meanwhile, other heavy metals, such as Cr and Ni, which were elevated in the serpentinite’s soil, were aligned with the former recorded ranges (2.26 mg/kg to 1.90 mg/kg). Heavy metals such as Cd, Pb, Cu, Zn, and Mn were recorded at various concentrations (usually moderate to lower) depending on the parent rock materials [,,]. Furthermore, the ore mineralization in this region has contributed to the enrichment of various types of heavy metals [,,,,].
3.3. Risk Assessments
3.3.1. CLMCGs Regulatory Values
The values for each heavy metal obtained from all sampling sites were compared with the site screening values provided by the DOEM in the Contaminated Land Management and Control Guidelines (CLMCG) guideline no. 1. The concentration of Ni was about 1× the amount set by the government for residential soil and within the regulatory value for industrial soils. Meanwhile, for Co, the resulting value surpassed the screening levels 3× and 2× for residential and industrial soils, respectively. The concentration of Cd exceeded the screening values by 2× and 1× for residential and industrial soils, respectively. Lastly, the resulting Cu, Mn, Pb, and Zn concentrations were below the assigned SSLs stated by the DOEM.
The high accumulation of Ni, Co, and Cr in the serpentinite’s topsoil surpassing the assigned SSLs was due to weathering parent rock materials with an ultramafic origin. Serpentine soils, although they vary in character and composition, all share one thing in common; they are generally enriched in metals accumulation, especially the ultramafic triads: Ni, Co, and Cr [,,]. In this research, the concentration of Cd collected from serpentinite topsoil also shows the same enrichment process as the ultramafic triads. The inference is due to the parent rock material being located within the highest mineralized zone, consisting of different types of economically heavy minerals [,,,,].
3.3.2. Igeo Bioaccumulation Indices
According to the Igeo classification, the total mean concentrations in all locations were extremely contaminated (Class 6) for Ni, Co, Cr, and Cd. Meanwhile, the total mean concentrations of Cu, Pb, Zn, and Mn were categorized as moderate contamination to unpolluted (Class 2–Class 0). For Ni, Co, and Cr, all sampling locations except GM were extremely contaminated (Figure 3). Igeo indices for Ni, Co, and Cr for the GM location were Class 1, Class 2, and Class 5, respectively (Figure 3).

Figure 3.
Igeo bioaccumulation plot for each heavy metal respective to sampling stations.
Meanwhile, BSR’s topsoil was moderately contaminated with Mn (Class 2) and classified as uncontaminated to moderately contaminated with Cu (Class 1). The other heavy metals (i.e., Pb and Zn) were categorized as uncontaminated (Class 0). Moreover, BM’s topsoil was highly contaminated with Mn (Class 4). Meanwhile, BM’s topsoil’s remaining heavy metals (i.e., Cu, Pb, and Zn) stayed within the uncontaminated range (Class 0). As for FBR’s topsoil, Cu was classified as moderately contaminated (Class 2). In comparison, Zn, Pb, and Mn of FBR’s topsoil were not contaminated (Class 0). GM’s topsoil was uncontaminated to moderately contaminated with Cu (Class 1). Conversely, PTS’s topsoil was moderately contaminated (Class 2) with Cu. GM and PTS topsoil shared the standard classification for other heavy metals (i.e., Pb, Zn, and Mn) as uncontaminated (Class 0).
Comparing previous Igeo classification indexes by other regional researchers in serpentinized ultramafic, their Cr and Ni classifications were in accord with this research which classified both as extremely contaminated (Class 6). The high accumulation of Cr and Ni found on site was due to the parent rock of serpentinite, which is rich in ferromagnesian minerals. The breakdown of olivine contributes to the increase of mainly Ni. The substitution of Mg to Cr readily occurs due to similar ionic radii. Meanwhile, Cr may originate primarily from the breakdown of pyroxene and other mafic minerals like chromite. The Igeo classification recorded for Co in the previous study ranged between moderate to heavily contaminated (Class 3 and 4). In this study, Co was categorized as highly contaminated (Class 6) in all sites except in GM. The high Igeo value correlated with the high total concentration of Co obtained in this research. The elevated concentration of Co found in all sites may be due to the asbestos texture of serpentine chrysotile and amphibole minerals, as well as the by-products of primary trace elements’ mining deposits. The Igeo value for Cd in this research was also high due to the weathering of mineralized ore in these sampling zones. In addition, the previous literature also supports moderate Cu contamination (Class 3) sourcing as one of the by-products of Ni- breakdown. Like this study, Pb, Zn, and Mn were classified within the range of uncontaminated to highly contaminated (Class 0–Class 4). The contamination of Cu, Pb, Zn, and Mn that originated from the weathering of primary silicates (lithogenic) was comparatively lower than the contamination of Cr, Ni, and Co, mainly due to the weathering of parent rock materials. However, the slightly elevated contamination values found with these heavy metals were due to the weathering of secondary trace materials or due to the by-product mining deposits.
3.4. Selective Sequential Extraction (SSE)
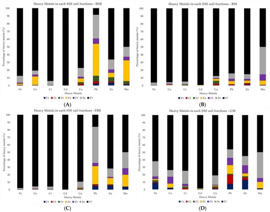
For BSR samples (Figure 4A), Cd was mainly bound to residual fractions, F7 (100%). Cr was also dominantly bound to F7 (94%), while some was in crystalline Fe-oxide, F6 (5%), and amorphous Fe-oxide, F5 (1%). Ni was also tightly bound into these three fractions: F7 (88%), F6 (9%), and F5 (1%). A small percentage of Ni was found bound to Mn-oxide, F4 (2%), and to the first three fractions, F1, F2, and F3 (1%). Co had a similar behavior to these other heavy metals. However, the Mn-oxide fraction showed a higher percentage (11%) than for the others. The last three fractions (F5, F6, and F7) that hold Cu were still dominant (90%). However, Cu showed an increase in other fractions: F4 (5%), F3 (2%), and F2 (2%). A similar pattern can be seen in Zn as well as Mn, where the percentage for surface exchangeable (F1), surface adsorbed (F2), and organic matter (F3), which represent higher bioavailability and mobility, keep increasing (6%). Pb had the lowest percentage in F7 (9%) and was most bound to F4 (41%) and F6 (31%). The first three fractions of Pb showed higher summation values (12%) than other recorded heavy metals for BSR samples. The arrangement of heavy metals according to their bioavailability and mobility was Zn > Pb > Mn > Cu > Co > Ni > Cr > Cd.

Figure 4.
Percentage of heavy metals concentration in respective soil fractions (F1–F7) according to sampling sites. (A) BSR, (B) BM, (C) FBR, (D) GM. Detailed SSE calculations are in Supplementary Materials Table S3.
For BM samples (Figure 4B), only Zn and Cu showed a high percentage (4–6%) in the first three fractions, F1 -F3. Other heavy metals showed a very low (1%) to zero percent. All heavy metals except Mn were tightly bound to F7 (84%), and Mn was distributed between F7 (50%) and F6 (36%). The arrangement of heavy metals according to their bioavailability and mobility was Zn > Cu > Pb > Cr > Mn > Co > Cd > Ni.
For FBR samples (Figure 4C), all heavy metals except Cu, Pb, Zn, and Mn were tightly bound to F7 (96%). Cu was distributed between F7 (89%) and F6 (8%). Other heavy metals like Pb, Zn, and Mn were segregated into F4, F6, and F7. Pb showed a higher percentage (48%) bound to F6 and F4 (28%) compared to F7 (16%). Pb, Zn, and Mn showed an elevated percent in the first three fractions (4%) compared to other heavy metals, which relatively had zero (Ni, Co, Cd) to one percent (Cu, Cr). The arrangement of heavy metals according to their bioavailability and mobility was Zn > Pb > Mn > Cu > Co > Cr > Ni > Cd.
Lastly, for GM samples (Figure 4D), only Cd showed a higher percentage (98%) in F7, with the remaining percent in F4 and F3. The rest of the heavy metals were mostly distributed to the last three fractions. All heavy metals in GM samples were bound to the first three fractions by at least 1%. Pb and Zn had higher, 20% and 18%, percentages in the first three fractions. Ni also showed a higher percentage in the first three fractions of F1 (9%), F2 (1%), and F3 (3%). The percentage of heavy metals bound to F4 in GM samples also increased (1–12%). The arrangement of heavy metals according to their bioavailability and mobility was Zn > Pb > Ni > Mn > Co > Cu > Cr > Cd.
In summary, Cd was the most non-bioavailable and immobile heavy metal in all samples. Cd was bound to F7 at 100% (Figure 5A). Other heavy metals like Ni, Co, and Cr were dominantly bound to F7 at 92%, with the rest being divided between F6, F5, and F4. Based on the results, Cd, Ni, Co, and Cr were tightly fixated in the crystal lattice of recalcitrant minerals and mostly break during the final extraction step, thus making these heavy metals immobile and non-bioavailable to the aqueous environments [,]. Moreover, the speciation of Cd in metal pools is highly controlled by physiochemical characteristics like pH, organic matter, grain sizes, and soil minerals [,]. Cadmium exists in carbonates and hydroxide phases, and its fractionation indicates availability and mobility increase at low soil pH. In alkaline soil, the formation of complexes, Cd(OH)2, inhibits the mobility of Cd in the environment. The favorable fractionation of Cd in a residual fraction is because of the concentrated acids used in total digestion (HNO3–H2O2).

Figure 5.
Total percentages of heavy metals. (A) Summation for each soil fraction (F1–F7). (B) Summation by each sampling site.
Recalcitrant minerals like spinels probably hold Cr, Ni, and Co to their residual phases and are hardly mobilized and bioavailable to the ecosystem unless there are changes in the system (e.g., climate change) [,,]. The bioavailability of Cr, Ni, and Co is also controlled by their Fe–Mn oxy-hydroxide pools (F4, F5) [,,]. Serpentinite weathering in tropical weather develops soil characteristics of laterite and oxisols in which Fe and Mn oxides are the prominent metal scavengers [,,]. Cr and Ni are more fixated with the Fe oxides lattice due to their large surface area [] and compatibility with ionic radii sizes. Meanwhile, Co has a strong affinity with Mn oxides [,]. Based on the results, Co was more mobile and bioavailable than Cr and Ni due to its speciation in the Mn oxides pool, which is a potentially reducible fraction [,].
Besides that, Cu was bound in F7 (84%) and F6 (9%) (Figure 5A). However, Cu showed an increase in bioavailable and mobile fractions (1–2%). Meanwhile, Pb, Zn, and Mn showed higher bioavailability in the first three fractions (3–9%), indicating the tendency to move in the environment. These three heavy metals also showed a higher percentage in F4 (5–20%), which may potentially be bioavailable and mobile in the environment with a given condition. Compared to previously discussed heavy metals (Cd, Co, Cr, and Ni), these elements were less tightly bound to the soil fractions and more accessible to the environment. Their bioavailability and mobility may have been due to anthropogenic disturbances that disturbed the heavy metals’ biological cycling [,]. The studied areas might have been influenced by nearby agriculture or mining factories. Other possible reasons that would explain the higher percentage of these heavy metals in bioavailability and mobility fractions were their ability to adsorb in the soil surface or loosely bound to organic matter. According to Maiz et al. [], Mn is a metal that is not bonded strongly to a specific crystal lattice and is easily extractable. Meanwhile, Pb is usually easily exchangeable and taken by plants [,,].
Role of Parent Rock Weathering in the Distribution of Heavy Metals
Heavy metals are found in soils in a range of forms, and how they are distributed quantitively among different soil fractions significantly affects how active they are in the environment []. In spite of this variety of forms and availability, the soil parent material is primarily responsible for controlling the levels of heavy metals in a pristine ecosystem []. The fundamental cause of such an effect is the presence of heavy metals in the parent minerals of igneous and metamorphic rocks or the segregation and deposition of these metals. Based on SSE results (Section 3.4), the percentages of total heavy metals in each sampling location were plotted according to their fractions (Figure 5B). The percentages of total heavy metals increased the higher the fraction number. GM had the lowest percentage (68%) bound to F7 and the highest percentage (7%) in the first three fractions. GM samples had a lower percentage of metal bound to a residual fraction due to a higher concentration of Pb, Zn, and Cu, which are more mobile in the environment. Serpentines in the GM area are a part of accretionary mélanges or olistostrome that have experienced regional metamorphism []. Due to metamorphism, the protolith of this serpentinite might have experienced mineralization (e.g., greenschist minerals, quartz veins) which contributed to the higher deposition of Pb, Zn and Cu compared to other locations, if the assumption of pristine soils is made []. However, GM samples were likely exposed to some other anthropogenic sources with mining and plantation activities nearby that contributed to the higher deposition of Pb, Zn, and Cu.
The effect of parent materials on heavy metal concentrations is only apparent for autochthonous (or authigenic) soils, i.e., those generated directly from alteration of the underlying parent material, with little to no contribution from other sources []. Autochthony is a far more challenging assumption to prove using standard soil studies, despite the fact that it may appear self-evident. Compared to soils produced on granites, gneisses, sandstones, and siltstones, autochthonous soils generated from weathering basic rocks often have higher quantities of heavy metals. Even compared to basic rocks, ultrabasic rocks are much enriched in Co, Cr, and Ni [,,]. Therefore, the percentages of heavy metals bound in soil fractions can be associated with the parent minerals. Locations like BM and FBR comprised chromite nodules [,] and its weathering formed Mg-rich or Fe-rich clay minerals that strongly bind with the poor crystalline Fe-oxides (F5), crystalline Fe-oxides (F6), and a residual fraction (F7). These highly resistant silicate minerals acted as sequestration of heavy metals in soil []. Moreover, BSR’s parent material contains a substantial number of cobalt-chrysotile fibers, which explains the higher percentage in Mn-oxides fraction (F4) due to Co affinity with Mn [].
3.5. Toxicity Characteristics Leaching Procedure (TCLP)
For all sampling locations, the mean toxicity of Ni was recorded at a value of 4.86 mg/L, with BSR recorded as having the highest toxicity with a maximum value of 2.55 mg/L and GM recorded as the lowest toxicity with a minimum value of 4.38 mg/L (Table 5). The toxicity of Co for all studied soils was 5.61 mg/L. The maximum toxicity was marked at BSR with a value of 2.41 mg/L, and the minimum toxicity was represented by many other places at a value below the detection limit (Table 5). The total average toxicity of Cr for all collected soil samples was recorded at 4.61 mg/L. The highest toxicity of Cr was recorded at GM, with a maximum value of 2.25 mg/L. The lowest toxicity value for Cr was in BM soils with a minimum value of 1.87 mg/L (Table 5). All soil samples recorded toxicity of Cd at 1.42 mg/L. The toxicity of Cd was found to be the highest at PTS, with a maximum value of 2.77 mg/L. The minimum toxicity of Cd was 0.00 mg/L, recorded by samples derived from all sampling locations (Table 5). The total average toxicity of Cu was at 4.84 mg/L. The maximum toxicity of Cu was noted at BM with a value of 5.99 mg/L. FBR’s topsoil showed a minimum toxicity of Cu at 3.04 mg/L (Table 5). Pb recorded an average toxicity value of 1.22 mg/L for all studied soils. GM samples recorded the highest toxicity of Pb with a maximum value of 2.75 mg/L and BSR samples recorded the lowest toxicity with a minimum value of 2.33 mg/L. All studied soil samples recorded toxicity of Zn at 5.72 mg/L, with a maximum value recorded at BSR at 1.20 mg/L and a minimum value below the detection limit in a couple of studied samples (Table 5). The total average toxicity of Mn was recorded at 4.10 mg/L for all studied soil samples. The maximum toxicity of Mn was recorded in BM samples at 8.18 mg/L and the minimum toxicity of Mn was recorded in GM samples at 4.89 mg/L (Table 5).

Table 5.
Each heavy metal’s concentration toxicity (mg/L) according to the sampling sites. Supplementary Materials Table S4 is a detailed calculation of toxicity values.
The toxicity concentrations in order from highest to lowest were Mn > Ni > Cu > Cr > Pb > Zn > Co > Cd. Mn had the highest total mean (4.10 mg/L), and Cd had the lowest total mean (1.42 mg/L). In terms of topsoil toxicity, the order from highest to lowest by location was PTS > GM > BSR > BM > FBR (Figure 6).

Figure 6.
Total mean and percentage portion of all heavy metals in each site’s topsoil.
The results were compared with previously recorded TCLP values on serpentinite topsoils [,], but this was limited to only three types of heavy metals (i.e., Ni, Co, and Cr). The literature regarding toxicity is very limited for serpentinite soils of Peninsular Malaysia. This research measured the increase in terms of toxicity compared to Tashakor’s works [,]. Similar to this research, the former toxicity values had not yet surpassed the USEPA standards despite higher concentrations in topsoil. The average toxicity values recorded in previous works for Cr, Co, and Ni were 6.40 mg/L (Cr), 9.13 mg/L (Co), and 4.15 mg/L (Ni). However, when compared to this research, the average toxicity values for Cr, Co and Ni were higher by at least 7× (Cr) and 1× (Co, Ni) than the previous assessments (Table 6).

Table 6.
Regulatory toxicity values of USEPA [], DOEM [], and Tashakor et al. [,]. The regulatory values were compared with this research and are represented in the concentration ratio.
The total average toxicity for each heavy metal was compared with the United States Environmental Agency (USEPA) toxicity value limits for contaminants []. All resulting toxicity values for Ni, Cd, Cr, Pb, and Zn were below the addressed toxicity value limits of the USEPA, which are 1.00 mg/L for Cd and 5.00 mg/L for Ni, Cr, Pb, and Zn. The remaining heavy metals (Co, Mn, Cu) are not included in the USEPA guidelines. In the CLMCGs handbook [], there is no designated toxicity limit stated for the TCLP method. However, this study made a comparison with groundwater screening values due to their having a similar unit value (mg/L). Surprisingly, toxicity values for all heavy metals except Cr and Zn exceeded the screening values stated for groundwater. The toxicity values of Cd, Cu, and Pb surpassed the screening value by 6×, 1×, and 8×, respectively. Meanwhile, Ni and Co exceeded by 12 and 56 times the regulatory DOEM values (Table 6). The comparison values may not be as accurate as the USEPA toxicity values, but it is useful to know that the topsoil toxicity values recorded would be considered as harmful in groundwater. Therefore, anthropogenic activities that directly introduce heavy metal toxicity into groundwater (i.e., drilling boreholes and excavation) must be carefully assessed.
There is a consistent relationship between the TCLP and SSE discussed by Tashakor. The first three fractions (i.e., soluble–exchangeable, surface-adsorbed, and organic matter) correlated with the toxicity values. The increase in these three metal pools (F1–F3) depicted a higher toxicity trend. However, the concentrations may be variable since SSE used more steps of extraction mixture than TCLP (single-steps). The toxicity values recorded for Cr, Co, and Ni were lower, although their higher accumulation in topsoil was due to their binding preferences in residual (F7), Fe crystalline oxides (F6), poor crystalline Fe oxides (F5), and Mn oxides (F4) fractions of the soil.
4. Conclusions
These research findings led to the following conclusions:
- This research has contributed to the knowledge about the accumulation of several heavy metal contaminants in contemporary serpentinite localities through geogenic processes.
- Based on the calculated Igeo values, 50% of the heavy metals (i.e., Cr, Cd, Ni, and Co) showed significant contamination in the topsoil. Meanwhile, another 12.5% of the heavy metals (Mn) showed moderate contamination. Another 12.5% of the heavy metals (Cu) showed unpolluted to moderate contamination. Only 25% of the heavy metals (Pb and Zn) showed uncontaminated status.
- The total concentration of heavy metals showed alarming accumulation values in the topsoil that exceeded the CLMCGs’ site screening values. Co and Cd showed, respectively, 3× and 2× higher concentrations than are designated for their concentrations in residential soil.
- A new, modified version of SSE utilized in tropical soils successfully extracted the bioavailability and mobility of heavy metals in these tropical soils.
- All heavy metals showed a dominant part bound to a residual fraction, indicating immobility in the environment. However, 60% of the heavy metals showed a minor yet concerning percentage of available fractions, indicating their tendency to be potentially bioavailable and easily transfer into the environment.
- The BM site showed the highest geogenic contamination of heavy metals. However, the GM site offered higher bioavailability and mobility of the resulting heavy metal accumulation, leading to higher toxicity levels than other sampling sites.
- The toxicity of the topsoils was still below the standard regulated USEPA toxicity value. Therefore, it does not pose harmful effects for the environment. However, when using the CLMCGs, 90% of the heavy metal toxicity values surpassed the stated screening values.
- For further study, the authors suggest bioavailability and toxicity tests on parts of plants (i.e., roots, stems, and leaves) growing in serpentinite soils.
Supplementary Materials
The following supporting information can be downloaded at: https://www.mdpi.com/article/10.3390/su15021218/s1.
Author Contributions
Conceptualization, S.R.A.R. and W.Z.W.Y.; methodology, S.R.A.R.; software, S.R.A.R.; validation, S.R.A.R., W.Z.W.Y. and M.R.U.; formal analysis, S.R.A.R.; investigation, S.R.A.R.; resources, S.R.A.R. and W.Z.W.Y.; data curation, S.R.A.R.; writing—original draft preparation, S.R.A.R.; writing—review and editing, S.R.A.R. and W.Z.W.Y.; visualization, S.R.A.R.; supervision, W.Z.W.Y. and M.R.U.; project administration, W.Z.W.Y. and M.R.U.; funding acquisition, W.Z.W.Y. All authors have read and agreed to the published version of the manuscript.
Funding
This research received no external funding.
Institutional Review Board Statement
No applicable.
Informed Consent Statement
Not applicable.
Data Availability Statement
This research is a part of the corresponding author’s postgraduate thesis. The data discussed in this manuscript are available in the manuscript and supplementary materials. Any additional data are available upon request to the corresponding author and all parties involved.
Acknowledgments
Special gratitude is due to the UKM-TNBR Research Center for the general funding of the research projects under the grant code ST-2018-017. The authors wish to thank all the technical staff of the Faculty of Science & Technology at The National University of Malaysia for their technical support in setting up the laboratory apparatus. The authors also express gratitude to all the anonymous examiners who contributed directly and indirectly to this paper’s improvement.
Conflicts of Interest
The authors certified that they have no affiliations with or involvement in any organization or entity with financial or non-financial interest in the subject matter or materials discussed in this manuscript.
References
- Macías, R.; Ramos, M.S.; Guerrero, A.L.; Farfán, M.G.; Mitchell, K.; Avelar, F.J. Contamination Assessment and Chemical Speciation of Lead in Soils and Sediments: A Case Study in Aguascalientes, México. Appl. Sci. 2022, 12, 8592. [Google Scholar] [CrossRef]
- Jakubus, M.; Bakinowska, E. The Effect of Immobilizing Agents on Zn and Cu Availability for Plants in Relation to Their Potential Health Risks. Appl. Sci. 2022, 12, 6538. [Google Scholar] [CrossRef]
- Valiente, N.; Pangerl, A.; Gómez-Alday, J.J.; Jirsa, F. Heavy Metals in Sediments and Greater Flamingo Tissues from a Protected Saline Wetland in Central Spain. Appl. Sci. 2022, 12, 5769. [Google Scholar] [CrossRef]
- Curcio, V.; Macirella, R.; Sesti, S.; Pellegrino, D.; Ahmed, A.I.M.; Brunelli, E. Morphological and Molecular Alterations Induced by Lead in Embryos and Larvae of Danio Rerio. Appl. Sci. 2021, 11, 7464. [Google Scholar] [CrossRef]
- Jaishankar, M.; Tseten, T.; Anbalagan, N.; Mathew, B.B.; Beeregowda, K.N. Toxicity, Mechanism and Health Effects of Some Heavy Metals. Interdiscip. Toxicol. 2014, 7, 60–72. [Google Scholar] [CrossRef]
- Merola, C.; Bisegna, A.; Angelozzi, G.; Conte, A.; Abete, M.C.; Stella, C.; Pederiva, S.; Faggio, C.; Riganelli, N.; Perugini, M. Study of Heavy Metals Pollution and Vitellogenin Levels in Brown Trout (Salmo Trutta Trutta) Wild Fish Populations. Appl. Sci. 2021, 11, 4965. [Google Scholar] [CrossRef]
- Lavoie, R.A.; Jardine, T.D.; Chumchal, M.M.; Kidd, K.A.; Campbell, L.M. Biomagnification of Mercury in Aquatic Food Webs: A Worldwide Meta-Analysis. Environ. Sci. Technol. 2013, 47, 13385–13394. [Google Scholar] [CrossRef]
- Sun, Y.; Xie, Z.; Li, J.; Xu, J.; Chen, Z.; Naidu, R. Assessment of Toxicity of Heavy Metal Contaminated Soils by the Toxicity Characteristic Leaching Procedure. Environ. Geochem. Health 2006, 28, 73–78. [Google Scholar] [CrossRef]
- Antoniadis, V.; Shaheen, S.M.; Boersch, J.; Frohne, T.; du Laing, G.; Rinklebe, J. Bioavailability and Risk Assessment of Potentially Toxic Elements in Garden Edible Vegetables and Soils around a Highly Contaminated Former Mining Area in Germany. J. Environ. Manag. 2017, 186, 192–200. [Google Scholar] [CrossRef]
- Liu, J.; Su, J.; Wang, J.; Song, X.; Wang, H. A Case Study: Arsenic, Cadmium and Copper Distribution in the Soil–Rice System in Two Main Rice-Producing Provinces in China. Sustainability 2022, 14, 14355. [Google Scholar] [CrossRef]
- Tchounwou, P.B.; Yedjou, C.G.; Patlolla, A.K.; Sutton, D.J. Heavy Metal Toxicity and the Environment. Natl. Inst. Health 2012, 101, 133–164. [Google Scholar] [CrossRef]
- Abdallah, M.A.M. Chemical Speciation and Contamination Assessment of Pb and V by Sequential Extraction in Surface Sediment off Nile Delta, Egypt. Arab. J. Chem. 2017, 10, 68–75. [Google Scholar] [CrossRef]
- Sahibin, A.R.; Wan Mohd Razi, I.; Zulfahmi, A.R.; Tukimat, L.; Ramlan, O.; Liew, K.Y. Heavy Metal Content in Selected Flavouring Plants and in Ultrabasic Soil of Felda Bukit Rokan Barat, Negeri Sembilan, Malaysia. Sains. Malays. 2012, 41, 11–21. [Google Scholar]
- Fubini, B.; Fenoglio, I. Toxic Potential of Mineral Dusts. Elements 2007, 3, 407–414. [Google Scholar] [CrossRef]
- Kierczak, J.; Pietranik, A.; Pędziwiatr, A. Ultramafic Geoecosystems as a Natural Source of Ni, Cr, and Co to the Environment: A Review. Sci. Total Environ. 2021, 755, 142620. [Google Scholar] [CrossRef] [PubMed]
- Gwenzi, W. Occurrence, Behaviour, and Human Exposure Pathways and Health Risks of Toxic Geogenic Contaminants in Serpentinitic Ultramafic Geological Environments (SUGEs): A Medical Geology Perspective. Sci. Total Environ. 2020, 700, 134622. [Google Scholar] [CrossRef] [PubMed]
- Salman, S.; Abou El-Anwar, E.; Asmoay, A.; Mekky, H.; Abdel Wahab, W.; Elnazer, A. Chemical Fractionation and Risk Assessment of Some Heavy Metals in Soils, Assiut Governorate, Egypt. Egypt J. Chem. 2021, 64, 3311–3321. [Google Scholar] [CrossRef]
- Roslaili, A.A.; Sahibin, A.R.; Ismail, S.; Wan Mohd Razi, I. Speciation and Availability of Heavy Metals On Serpentinized Paddy Soil and Paddy Tissue. Procedia. Soc. Behav. Sci. 2015, 195, 1658–1665. [Google Scholar] [CrossRef]
- Van der Ent, A.; Cardace, D.; Tibbett, M.; Echevarria, G. Ecological Implications of Pedogenesis and Geochemistry of Ultramafic Soils in Kinabalu Park (Malaysia). Catena 2018, 160, 154–168. [Google Scholar] [CrossRef]
- Yuan, C.-G.; Shi, J.-B.; He, B.; Liu, J.-F.; Liang, L.-N.; Jiang, G.-B. Speciation of Heavy Metals in Marine Sediments from the East China Sea by ICP-MS with Sequential Extraction. Environ. Int. 2004, 30, 769–783. [Google Scholar] [CrossRef]
- Acosta, J.A.; Cano, A.F.; Arocena, J.M.; Debela, F.; Martínez-Martínez, S. Distribution of Metals in Soil Particle Size Fractions and Its Implication to Risk Assessment of Playgrounds in Murcia City (Spain). Geoderma 2009, 149, 101–109. [Google Scholar] [CrossRef]
- Tashakor, M.; Modabberi, S.; van der Ent, A.; Echevarria, G. Impacts of Ultramafic Outcrops in Peninsular Malaysia and Sabah on Soil and Water Quality. Environ. Monit. Assess. 2018, 190, 333. [Google Scholar] [CrossRef] [PubMed]
- Tashakor, M.; Hochwimmer, B.; Imanifard, S. Control of Grain-Size Distribution of Serpentinite Soils on Mineralogy and Heavy Metal Concentration. Asian J. Earth Sci. 2015, 8, 45–53. [Google Scholar] [CrossRef]
- Delina, R.E.; Arcilla, C.; Otake, T.; Garcia, J.J.; Tan, M.; Ito, A. Chromium Occurrence in a Nickel Laterite Profile and Its Implications to Surrounding Surface Waters. Chem. Geol. 2020, 558, 119863. [Google Scholar] [CrossRef]
- Fonseca, R.; Pinho, C.; Albuquerque, T.; Araújo, J. Environmental Factors and Metal Mobilisation in Alluvial Sediments—Minas Gerais, Brazil. Geosciences 2021, 11, 110. [Google Scholar] [CrossRef]
- Wood, J.M. Biological Cycles for Toxic Elements in the Environment. Science 1974, 183, 1049–1052. [Google Scholar] [CrossRef]
- Brady, K.U.; Kruckeberg, A.R.; Bradshaw, H.D. Evolutionary Ecology of Plant Adaptation to Serpentine Soils. Annurev. Ecolsys. 2005, 36, 243–266. [Google Scholar] [CrossRef]
- Oze, C.; Skinner, C.; Schroth, A.W.; Coleman, R.G. Growing up Green on Serpentine Soils: Biogeochemistry of Serpentine Vegetation in the Central Coast Range of California. Appl. Geochem. 2008, 23, 3391–3403. [Google Scholar] [CrossRef]
- Bundschuh, J.; Maity, J.P.; Mushtaq, S.; Vithanage, M.; Seneweera, S.; Schneider, J.; Bhattacharya, P.; Khan, N.I.; Hamawand, I.; Guilherme, L.R.G.; et al. Medical Geology in the Framework of the Sustainable Development Goals. Sci. Total Environ. 2017, 581, 87–104. [Google Scholar] [CrossRef] [PubMed]
- European Commission. EU Soil Strategy for 2030; Communication from the Commission to European Parliament, the Council, the European Economic and Social Committee and the Committee of the Regions: Brussels, Belgium, 2021; pp. 1–699. [Google Scholar]
- Alvarenga, P.; Mourinha, C.; Palma, P.; Cruz, N.; Rodrigues, S.M. Assessment of Soil Physicochemical Characteristics and As, Cu, Pb and Zn Contamination in Non-Active Mines at the Portuguese Sector of the Iberian Pyrite Belt. Environments 2022, 9, 105. [Google Scholar] [CrossRef]
- Pedron, F.; Grifoni, M.; Barbafieri, M.; Franchi, E.; Vocciante, M.; Petruzzelli, G. Comparative Evaluation of Technologies at a Heavy Metal Contaminated Site: The Role of Feasibility Studies. Environments 2022, 9, 139. [Google Scholar] [CrossRef]
- Department of Environment Malaysia (DOEM). Contaminated Land Management and Control Guidelines No. 1: Malaysian Recommended Site Screening Levels for Contaminated Land; Kuala Lumpur; Department of Environment Malaysia (DOEM): Putrajaya, Malaysia, 2015.
- Guevara, P.; Pérez-Alberti, A.; Carballo, R.; Sánchez, M.; López, I.; Otero, X.L. Impact of Serpentinized Peridotite Mine Waste on the Composition and Quality of Sediments in the Ría de Ortigueira (Galicia, NW Spain). Mar. Pollut. Bull. 2021, 163, 111963. [Google Scholar] [CrossRef] [PubMed]
- Kanellopoulos, C. Influence of Ultramafic Rocks and Hot Springs with Travertine Depositions on Geochemical Composition and Baseline of Soils. Application to Eastern Central Greece. Geoderma 2020, 380, 114649. [Google Scholar] [CrossRef]
- Tessier, A.; Campbell, P.G.C.; Bisson, M. Sequential Extraction Procedure for the Speciation of Particulate Trace Metals. Anal. Chem. 1979, 51, 844–851. [Google Scholar] [CrossRef]
- Silveira, M.L.; Alleoni, L.R.F.; O’Connor, G.A.; Chang, A.C. Heavy Metal Sequential Extraction Methods—A Modification for Tropical Soils. Chemosphere 2006, 64, 1929–1938. [Google Scholar] [CrossRef] [PubMed]
- Metson, A.J. Methods of Chemical Analysis for Survey Samples. Soil Bereau Bull. 1956, 12, 245. [Google Scholar] [CrossRef]
- Geotechnical Research Centre. Laboratory Handbook; Geotechnical Research Centre: Montreal, QC, Canada, 1978. [Google Scholar]
- USEPA. Acid Digestion of Sludges, Solids, and Soils. USEPA 3050B 1996, SW-846 Pt 1, 1–12. [Google Scholar]
- Tashakor, M. Geochemistry of Serpentinite and Its Effect on the Environment: Case Study at Peninsular and Sabah Malaysia; Doctor of Philosophy, Universiti Kebangsaan Malaysia (UKM): Bangi, Malaysia, 2014. [Google Scholar]
- USEPA. Toxicity Characteristic Leaching Procedure. Method 1992, 1311, 1–35.
- Tashakor, M.; Zuhairi Wan Yaacob, W.; Mohamad, H.; Abdul Ghani, A.; Saadati, N. Assessment of Selected Sequential Extraction and the Toxicity Characteristic Leaching Test as Indices of Metal Mobility in Serpentinite Soils. Chem. Speciat. Bioavailab. 2014, 26, 139–147. [Google Scholar] [CrossRef]
- Zeng, X.; Xiao, Z.; Zhang, G.; Wang, A.; Li, Z.; Liu, Y.; Wang, H.; Zeng, Q.; Liang, Y.; Zou, D. Speciation and Bioavailability of Heavy Metals in Pyrolytic Biochar of Swine and Goat Manures. J. Anal. Appl. Pyrolysis 2018, 132, 82–93. [Google Scholar] [CrossRef]
- Xiao, Z.; Yuan, X.; Li, H.; Jiang, L.; Leng, L.; Chen, X.; Zeng, G.; Li, F.; Cao, L. Chemical Speciation, Mobility and Phyto-Accessibility of Heavy Metals in Fly Ash and Slag from Combustion of Pelletized Municipal Sewage Sludge. Sci. Total Environ. 2015, 536, 774–783. [Google Scholar] [CrossRef] [PubMed]
- Muller, G. Index of Geoaccumulation in Sediments of the Rhine River. GeoJournal 1969, 2, 108–118. [Google Scholar]
- Tashakor, M.; Wan Zuhairi, W.Y. Hamzah Mohamad Serpentine Soils, Adverse Habitat for Plants Case Study at Peninsular. Am. J. Environ. Sci. 2013, 9, 82–87. [Google Scholar] [CrossRef]
- Sahibin, A.R.; Ivy, J.J.; Diana Demiyah, M.H.; Nur Zaida, Z.; Musta, B. Physico-Chemical Properties of Ultrabasic Soil from Mibang, Ranau, Sabah. Trans. Sci. Technol. 2020, 7, 219–224. [Google Scholar]
- Umor, M.R.; Mohamad, H.; Twaiq, O.A.; Tan, M.M.; Isahak, A.; Musta, B. Petrographic and Geochemical Study of Ultrabasic Rocks in the Vicinity of Ranau, Sabah. Geol. Soc. Malays. 2003, 46, 41–45. [Google Scholar]
- Sariam, O. Pembajaan Asas Dan Tambahan; Serdang: Selangor, Malaysia, 2008. [Google Scholar]
- Sahibin, A.R.; Diana Demiyah, M.H.; Musta, B. Heavy Metals Content in Ultrabasic Soil and Plant around Ranau Sport Complex, Sabah, Malaysia. In Proceedings of the Warta Geologi; Geological Society of Malaysia: Kuala Lumpur, Malaysia, 2019; pp. 276–282. [Google Scholar]
- Oze, C.; Fendorf, S.; Bird, D.K.; Coleman, R.G. Chromium Geochemistry of Serpentine Soils. Int. Geol. Rev. 2010, 46, 97–126. [Google Scholar] [CrossRef]
- Hseu, Z.-Y.; Zehetner, F.; Fujii, K.; Watanabe, T.; Nakao, A. Geochemical Fractionation of Chromium and Nickel in Serpentine Soil Profiles along a Temperate to Tropical Climate Gradient. Geoderma 2018, 327, 97–106. [Google Scholar] [CrossRef]
- Kumarathilaka, P.; Dissanayake, C.B.; Vithanage, M. Geochemistry of Serpentinite Soils: A Brief Overview. J. Geol. Soc. Sri Lanka 2014, 16, 53–63. [Google Scholar]
- Weerasinghe, H.A.S.; Iqbal, M.C.M. Plant Diversity and Soil Characteristics of the Ussangoda Serpentine Site. J. Natl. Sci. Found. 2011, 39, 355–363. [Google Scholar] [CrossRef]
- Van der Ent, A.; Wood, J.J. The Orchid Review; Orchid Review Limited: London, UK, 2013; pp. 39–54. [Google Scholar]
- Mccauley, A. Soil PH and Organic Matter; Nutrient Management Module: Bozeman, Montana, 2009. [Google Scholar]
- Kögel-Knabner, I.; Amelung, W. Soil Organic Matter in Major Pedogenic Soil Groups. Geoderma 2021, 384, 114785. [Google Scholar] [CrossRef]
- Dexter, A.R. Soil Physical Quality: Part I. Theory, Effects of Soil Texture, Density, and Organic Matter, and Effects on Root Growth. Geoderma 2004, 120, 201–214. [Google Scholar] [CrossRef]
- Jenny, H. The Soil Resource: Origin and Behavior; Springer Science & Business Media: Berlin/Heidelberg, Germany, 2012; Volume 37. [Google Scholar]
- Alexander, E.B.; DuShey, J. Topographic and Soil Differences from Peridotite to Serpentinite. Geomorphology 2011, 135, 271–276. [Google Scholar] [CrossRef]
- Yap, D.W.; Adezrian, J.; Khairiah, J.; Ismail, B.S.; Ahmad-Mahir, R. The Uptake of Heavy Metals by Paddy Plants (Oryza Sativa) in Kota Marudu, Sabah, Malaysia. J. Agric. Environ. Sci. 2009, 6, 16–19. [Google Scholar]
- Kabata-Pendias, A. Trace Elements in Soils and Plants, 4th ed.; Taylor & Francis Group: Boca Raton, FL, USA; London, UK; New York, NY, USA, 2011. [Google Scholar]
- Adamson, D.A.; Selkirk, J.M.; Seppelt, R.D. Serpentinite, Harzburgite, and Vegetation on Subantarctic Macquarie Island. Arct. Alp. Res. 1993, 25, 216–219. [Google Scholar] [CrossRef]
- D’Amico, M.E.; Freppaz, M.; Zanini, E.; Bonifacio, E. Primary Vegetation Succession and the Serpentine Syndrome: The Proglacial Area of the Verra Grande Glacier, North-Western Italian Alps. Plant Soil 2017, 415, 283–298. [Google Scholar] [CrossRef]
- Hseu, Z.-Y.; Su, Y.-C.; Zehetner, F.; Hsi, H.-C. Leaching Potential of Geogenic Nickel in Serpentine Soils from Taiwan and Austria. J. Environ. Manag. 2017, 186, 151–157. [Google Scholar] [CrossRef] [PubMed]
- Ratié, G.; Garnier, J.; Vieira, L.C.; Araújo, D.F.; Komárek, M.; Poitrasson, F.; Quantin, C. Investigation of Fe Isotope Systematics for the Complete Sequence of Natural and Metallurgical Processes of Ni Lateritic Ores: Implications for Environmental Source Tracing. Appl. Geochem. 2021, 127, 104930. [Google Scholar] [CrossRef]
- Sahibin, A.R.; Wan Mohd Razi, I.; Zulfahmi, A.R.; Tukimat, L.; Muhd Barzani, G.; Jumaat, H.A.; Low, H.K. Heavy Metals Uptake by Terung Pipit (Solanum Torvum) in Ultrabasic Soil at Kuala Pilah, Negeri Sembilan. Sains Malays 2008, 37, 323–330. [Google Scholar]
- Sahibin, A.R.; Wan Mohd Razi, I.; Tukimat, L.; Jalaludin, A.K.; Azman, H.; Nur Diyana, M.I. Heavy Metals Uptakes by Curry Leaf Tree (Murraya Koenigi) in Ultrabasic Soils from Felda Bukit Rokan, Kuala Pilah, Negeri Sembilan, Malaysia. Sains Malays 2013, 42, 289–299. [Google Scholar]
- Kabata-Pendias, A.; Pendias, H. Trace Elements in Soils and Plants, 3rd ed.; Springer: Berlin/Heidelberg, Germany, 2001. [Google Scholar]
- Trescases, J.J.; Melfi, A.J.; Barros de Oliveira, S.M. Nickeliferous Laterites of Brazil Laterisation Processes; IBH Publishing: New Delhi, India, 1991. [Google Scholar]
- Irfan, U.R.; Maulana, A.; Muhammad, F. Role of Bedrock Serpentinization on the Development of Nickel Laterite Deposit in Sorowako, Sulawesi, Indonesia. IOP Conf. Ser. Earth Environ. Sci. 2021, 921, 012028. [Google Scholar] [CrossRef]
- Pour, A.B.; Hashim, M.; Makoundi, C.; Zaw, K. Structural Mapping of the Bentong-Raub Suture Zone Using PALSAR Remote Sensing Data, Peninsular Malaysia: Implications for Sediment-Hosted/Orogenic Gold Mineral Systems Exploration. Resour. Geol. 2016, 66, 368–385. [Google Scholar] [CrossRef]
- Krahenbuhl, R. Magmatism, Tin Mineralization and Tectonics of the Main Range, Malaysian Peninsula: Consequences for the Plate Tectonic Model of Southeast Asia Based on Rb-Sr, K-Ar and Fission Track Data. Bull. Geol. Soc. Malays. 1991, 29, 1–100. [Google Scholar] [CrossRef]
- Khoo, T.T.; Tan, B.K. Geological Evolution of Peninsular Malaysia. In Proceedings of the Workshop on the stratigraphic correlation of Thailand and Malaysia, Haad Yai, Thailand, 8 September 1983; pp. 253–290. [Google Scholar]
- Jaafar Ahmad Geology and Mineral Resources of the Karak and Termeloh Areas, Pahang. Geol. Surv. Malays. 1976, 15, 138–150.
- Alexander, J.B. The Geology and Mineral Resources of the Neighbourhood of Bentong Area, Pahang. Geol. Surv. Malays. 1968, 8, 250–260. [Google Scholar]
- Khoon, S.Y. Osmiridium-A Discovery in Cheroh, Pahang, Peninsular Malaysia, and Its Significance. Bull. Geol. Soc. Malays. 1982, 15, 141–151. [Google Scholar] [CrossRef]
- Richardson, J.A. The Geology and Mineral Resources of the Neighbourhood of Raub, Pahang, Federated Malay States. Geol. Surv. Dep. Malays. 1939, 3, 166–172. [Google Scholar]
- Li, Z.; Liang, Y.; Hu, H.; Shaheen, S.M.; Zhong, H.; Tack, F.M.G.; Wu, M.; Li, Y.F.; Gao, Y.; Rinklebe, J.; et al. Speciation, Transportation, and Pathways of Cadmium in Soil-Rice Systems: A Review on the Environmental Implications and Remediation Approaches for Food Safety. Environ. Int 2021, 156, 106749. [Google Scholar] [CrossRef]
- Kaplan, O.; Ince, M.; Yaman, M. Sequential Extraction of Cadmium in Different Soil Phases and Plant Parts from a Former Industrialized Area. Environ. Chem. Lett. 2011, 9, 397–404. [Google Scholar] [CrossRef]
- Tashakor, M.; Wan Zuhairi, W.Y. Hamzah Mohamad Speciation and Availability of Cr, Ni, and Co in Serpentine Soils of Ranau, Sabah. Am. J. Geosci. 2011, 2, 4–9. [Google Scholar]
- Othman, Y.; Shamshuddin, J. Sains Tanah; Dewan Bahasa dan Pustaka: Kuala Lumpur, Malaysia, 1982.
- Kumar, D.; Khan, E.A. Remediation and Detection Techniques for Heavy Metals in the Environment. In Heavy Metals in the Environment; Elsevier: Amsterdam, The Netherlands, 2021; pp. 205–222. [Google Scholar]
- Zinn, Y.L.; de Faria, J.A.; de Araujo, M.A.; Skorupa, A.L.A. Soil Parent Material Is the Main Control on Heavy Metal Concentrations in Tropical Highlands of Brazil. Catena 2020, 185, 104319. [Google Scholar] [CrossRef]
- Tjia, H.D. Syed Sheikh Almashoor The Bentong Suture in Southwest Kelantan, Peninsular Malaysia. Bull. Geol. Soc. Malays. 1996, 39, 195–211. [Google Scholar] [CrossRef]
- Tan, B.K.; Khoo, T.T. Clinopyroxene Composition and Tectonic Setting of the Bentong-Raub Belt, Peninsular Malaysia. J. Southeast Asian Earth Sci. 1993, 8, 539–545. [Google Scholar] [CrossRef]
- Setiawan, J.; Abdullah, I. The Structure and Deformation History of the Serpentinite Bodies along the Bentong Suture: A Case Study at Bukit Rokan Barat. Bull. Geol. Soc. Malays. 2003, 46, 329–334. [Google Scholar] [CrossRef]
Disclaimer/Publisher’s Note: The statements, opinions and data contained in all publications are solely those of the individual author(s) and contributor(s) and not of MDPI and/or the editor(s). MDPI and/or the editor(s) disclaim responsibility for any injury to people or property resulting from any ideas, methods, instructions or products referred to in the content. |
© 2023 by the authors. Licensee MDPI, Basel, Switzerland. This article is an open access article distributed under the terms and conditions of the Creative Commons Attribution (CC BY) license (https://creativecommons.org/licenses/by/4.0/).