Euphorbia neriifolia (Indian Spurge Tree): A Plant of Multiple Biological and Pharmacological Activities
Abstract
1. Introduction
2. Etymology, Distribution, and Origin
2.1. Scientific Classification of Euphorbia neriifolia
2.2. Synonyms
2.3. Classical Categorization
2.4. Vernacular Names
2.5. Unani Classical Literature Description
2.6. Temperament
3. Cultivation Needs
Seasonal Collection of Crude Drugs
4. Morphological Description
4.1. Whole Plant
4.2. Stem
4.3. Leaves
4.4. Stippular Thorns
4.5. Inflorescence
4.6. Involucers
4.7. Fruits
4.8. Seeds
4.9. Latex
5. Microscopic Description
5.1. Leaf
5.2. Stem
5.3. Latex
6. Powder Microscopic Description
7. Properties and Actions
8. Ayurvedic Medicines
9. Nutritional Composition
10. Medicinal Uses of Different Parts of Euphorbia neriifolia
11. Phytochemical Composition
11.1. Terpenes
11.2. Flavonoids
11.3. Saponins
| Plant part | Extracts | Secondary Metabolite | Types | Structure | Pharmacological Activity | References |
|---|---|---|---|---|---|---|
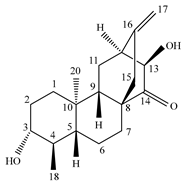
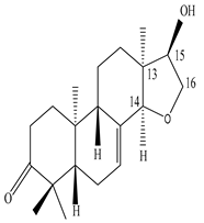
| Whole plant | Methanol extract | Diterpenoids |
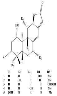
| ![]() Eupnerias G ![]() Eupnerias H ![]() Eupnerias I, ent-16α,17-dihydroxyatisan-3-one, Eurifoloid R ![]() Ent-atisane-3α,16α,17-triol, Ent-atisane-3β,16α,17-triol, Ent-atisane-1β,16α,17-triol ![]() 4,13β-Dihydroxy-14-oxo-3,4-secoatis-16-en-3-oic acid methyl ester ![]() Eurifoloid M ![]() Ent-3S-hydroxyatis-16(17)-en-1,14-dione ![]() Ent-3α,13S-dihydroxyatis-16-en-14-one, Ent-3β,13S-dihydroxyatis-16-en-14-one, Ent-13S-hydroxyatis-16-ene-3,14-dione ![]() (4R,5S,8S,9R,10S,13R,16S)-Ent-16α,17-dihydroxy-19-tigloyloxykauran-3-one | Anti-HIV effect was shown by compound 4 and 5 with EC50 values of 6.6 ± 3.2 and 6.4 ± 2.5 μg/mL, Moderate cytotoxic activity was exhibited by compound 1 and 6 against HepG2/Adr and HepG2 cells with IC50 values of 13.70 and 15.57 μM, and compound 15 was reported to exhibit cytotoxic activity (IC50 = 0.01µM) against HepG2 but not against HepG2/Adr cell line | [11] |
| Whole plant | Hexane extract | Triterpene and Triterpene alcohol |
| ![]() Taraxerol ![]() β-Amyrin | Taraxerol exhibits anti-cancer activity via Nf-kB signalling pathway inhibition or by induction of apoptosis in case of middle ear epithelial cholesteatoma cells | [70,71] |
| Leaves | Hydroethanolic extract | Flavonoids |
| ![]() 2-(3,4-dihydroxy-5-methoxy-phenyl)-3,5-dihydroxy-6,7-dimethoxychromen-4-one (C18H18O9) | Exhibits anti-cancer activity due to its ability to scavenge reactive oxygen species and to inhibit lipid peroxidation | [66] |
| Leaves | Ethanolic extract |
| ![]() Glycosides | Inhibits the proliferation of Plamodium falciparum with IC50 values of 5.4, 4.1, and 1.1 µg/mL, and shows cytotoxic activity against KN3-1 human epidermoid cancer cells | [72] | |
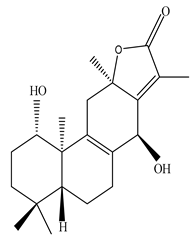
| Leaves | Ethanolic extract | Triterpenoids
|
| ![]() 3β-Friedelanol, 3α-Friedelanol, 3β-Acetoxy fridelane, Friedelin ![]() Glutinone, Glutin-5-en-3β-ol, Glutinol acetate ![]() Lupenone ![]() Epitaraxerol, Epitaraxeryl acetate, Taraxeryl acetate ![]() β-Amyrin, β-Amyrin acetate ![]() Dammarenediol II acetate ![]() Cabraleadiol monoacetate ![]() 3β-Simiarenol, Simiarenone ![]() Cycloartenol ![]() 24-Oxocycloart-25-en-3β-ol ![]() (23Z)-Cycloart-23-ene-3β,25-diol ![]() 29-Norcycloartanol ![]() Afzelin | Triterpenoids showed anti-viral activity in comparison to actinomycin D, Found to be effective against the herpes virus and inhibits replication of SARS-COV by binding to its 3CL pro proteases | [28,57,72] |
| Leaves | Aqueous extract | Flavonoid |
| ![]() Kaempferol | Kaempferol modulates metastasis, inflammation, angiogenesis, and apoptosis, and provides protection against chronic diseases by activating the body antioxidant defense mechanism against free reactive species | [73,74] |
| Leaves | Ethyl acetate extract | Diterpenoids (Eurifoloids A–R) |
| ![]() Ingenane (1&2) ![]() Abietane ![]() Isopimarane ![]() Ent-atisane | Various diterpenoids such as ingenanae, abietane, isopimarane, and ent-atisane exhibit anti-HIV activity | [75] |
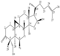
| Leaves | Methanol extract | Cycloartane terpenoids |
| ![]() ![]() Neriifolins A, Neriifolins B ![]() Neriifolins C | Neriifolins A–C showed cytotoxicity against MCF breast cancer cell line with IC50 value of 9.50, 7.12, and 13.14 µM | [76] |
| Leaves | Methanol extract | Pachypodol |
| ![]() 5,40-Dihydroxy-3,7,30-trimethoxyflavone | Inhibits the proliferation of Psudomonas aeruginosa, Escherichia coli, Streptococcus faecalis, Streptococcus aureus, Bacillus subtilis, Candida glabrata, Candida krusei, and Candida albicans | [57] |
| Leaf | Chloroform and ethanol extract |
| ![]() Saponin ![]() Rutin ![]() Quercetin | Saponin shows anti-microbial activity against Staphylococcus aeruginosa, Escherichia coli, and Pseudomonas aeruginosa; Rutin inhibits the activity of Cryptococcus gattii, and Cryptococcus neoformans; and Quercetin found to be effective against Candida albicans | [9,57,69,77,78] | |
| Leaves | _ | Diterpenoids |
| ![]() Phorneroids A ![]() Phorneroids B ![]() Phorneroids C ![]() Phorneroids D ![]() Phorneroids E, F ![]() Phorneroids G ![]() Phorneroids H, I ![]() Phorneroids J, K, L ![]() Phorneroids M ![]() Compound I ![]() Compound II ![]() Compound III | Phorneroids A–M, and three known compounds exhibit moderate cytotoxic activity against HL-60 and A549 cancer cell line | [79] |
| Leaves | _ | Ingenane and ingol diterpenoids |
| ![]() Phonerilins A ![]() Phonerilins B, Phonerilins C, Phonerilins D, Phonerilins E, Phonerilins F, Phonerilins G, and 2 analogues ![]() Phonerilins G, Phonerilins H, Phonerilins I, Phonerilins J, Phonerilins K, and three analogues | Phonerilins A–K, and five known analogues exhibit moderate cytotoxic activity against HL-60 and A549 cancer cell line | [80] |
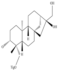
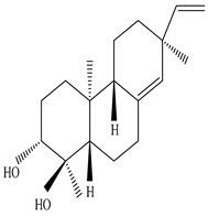
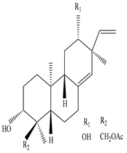
| Stem | Ethanolic extract | Euphane and tirucallane triterpenes |
| ![]() Neritriterpenols A, Neritriterpenols B ![]() Neritriterpenols C ![]() Neritriterpenols D ![]() Neritriterpenols E ![]() Neritriterpenols F ![]() Neritriterpenols G ![]() Triterpene ![]() Triterpenes ![]() Triterpenes | Neritriterpenols A–G, and four known triterpene exhibit anti-proliferative and anti-inflammatory activities | [12] |
| Stem bark | Ethyl acetate extract | Ingenane-type diterpenoids |
| ![]() Eurifoloid E ![]() Euphorneroid A | Eurifoloid E and Euphorneroid A inhibit pro-inflammatory mediators such as iNOS, IL-6, IL-1β, and NO in cases of LPS-induced RAW264.7 macrophage | [81] |
| Stem bark | Methanol extract | Diterpenes |
| ![]() Ent-3-oxoatis-16α,17-acetonide | Exhibits anti-HIV activity with EC50 value of 8.7 µg/mL | [82] |
| Stem and Bark | Methanol extract | Diterpenes |
| ![]() Ent-3-oxoatisan-16α, 17-acetonide ![]() Euphorneroid D | Ent-3-oxoatisan-16α, 17-acetonide and Euphorneroid D exhibit anti-HIV activity with EC50 value of 24 and 34 mM | [83] |
| Stem and Bark | Ethanol and petroleum ether extract | Anthocyanin |
| ![]() Tulipanin ![]() Pelargonin | Tulipanin inhibits the proliferation of Bacillus subtilis, E. coli, P. aeruginosa, and Staphylococcus aureus | [57,70] |
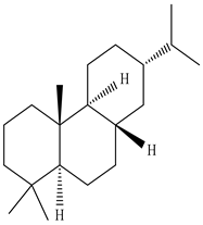
| Stem and Bark | Methanol extract | Triterpene alcohol |
| ![]() Euphol | Euphol exhibits an anti-nociceptive effect in neuropathic pain and inflammatory conditions | [70,84] |
| Stem barks | Ethyl acetate extract | Ent-isopimarane diterpenoids |
| ![]() Eupneria J ![]() Eurifoloid H ![]() Ent-isopimara-8(14),15-dien-3β,12β-diol | Eupneria J, Eurifoloid H, and ent-isopimara-8(14),15-dien-3β,12β-diol exhibit anti-HIV activity with an IC50 value of 6.70 and 0.31 µg/mL and anti-influenza activity with an IC50 value of 3.86 µg/mL | [85] |
| Stem bark | Ethyl acetate extract | Ent-abietane diterpenoids |
| ![]() Eupnerias A–E ![]() Eupnerias F | Exhibit anti-influenza and anti-inflammatory activities | [86] |
| Bark | Petroleum ether extract | Diterpenes |
| ![]() Pelargonin-3,5-diglucoside ![]() n-Hexacosanol ![]() Euphorbol | n-Hexacosanol was found to be effective to treat diabetic ileum by ameliorating the overexpression of M(3) and M(2) mRNA receptor | [70,87] |
| Fresh Latex from stem | Crude extract |
| ![]() Neriifolin-S | Neriifolin-S exhibits milk clotting activity | [53] | |
| Dried Latex | Methanol extract | Triterpene and Triterpene alcohol |
| ![]() Cycloartenol ![]() Nerifolione ![]() Nerifoliol | Cycloartenol, Nerifolione, and Nerifoliol inhibit p38 MAP kinase phosphorylation and migration of glioma cells | [60,70,88] |
| Root | Petroleum ether extract | Diterpenes |
| ![]() Delphin ![]() Tulipanin | Delphinidin 3,5-O-diglucoside and Tulipanin exhibit antioxidant activity by suppressing the formation of reactive oxygen species from lacrimal gland tissue that preserves tear secretion | [70,89,90] |
| Root | Ethanol extract | Triterpene alcohol |
| ![]() Cycloartenol ![]() Euphorbol | Cycloartenol exhibits antioxidant activity | [70,91] |
| Root | Methanolic extract | Diterpenes |
| ![]() 12-Deoxyphorbhol-13, 20-diacetate ![]() Ingenol triacetate | 12-Deoxyphorbhol-13, 20-diacetate and Ingenol triacetate exhibit anti-HIV activity in the case of MT-4 cells at 0.65 and 0.051 mM concentration, and are useful to treat the skin condition, actinic keratosis | [70,92,93] |
| Fresh Root | Protease fraction | Diterpenes |
| ![]() Neriifolene ![]() Atisine diterpene anti-quorin | Atisine diterpene anti-quorin exhibits wound healing activity by inducing the intercellular signaling and aggregation of platelets vis PAR-1 | [70,94] |
12. Pharmacological Actions of Euphorbia neriifolia
12.1. Antioxidant Property
12.2. Anti-Diabetic Potential
12.3. Immunomodulatory Effect
12.4. Anti-Inflammatory Properties
12.5. Anti-Arthritic Effect
12.6. Wound Healing Property
12.7. Anti-Artherosclerosis Activity
12.8. Radio-Protective Property
12.9. Central Nervous System Diseases
12.9.1. Anti-Anxiety
12.9.2. Anti-Convulsant
12.9.3. Anti-Psychotic
12.10. Anti-Thrombotic Property
12.11. Dermal Irritation
12.12. Haemolytic Activity
12.13. Death Receptor Expression Enhancing Activity
12.14. Analgesic Activity
12.15. Anti-Diuretic Activity
12.16. Anti-Ulcer Activity
12.17. Anesthetic Activity
12.18. Anti-Bacterial and Anti-Fungal Activity
| S.No. | Plant Part | Plant Extract | Organisms Name | Features | Diseases | References |
|---|---|---|---|---|---|---|
| 1. | Whole plant | Ethanol and methanol extracts | Bacillus megaterium | Gram-positive | Brain abscess | [157] |
| 2. | Whole plant | Ethanol and methanol extracts | Bacillus subtitis | Gram-positive | Food poisoning, opportunistic pathogen | |
| 3. | Leaf | Ethyl acetate and water extract | Pseudomonas fluroscens | Gram-negative | Bacteremia | [147] |
| 4. | Leaf | Ethyl acetate and water extract | Aspergillus flavus | Saprotrophic fungus | Allergic reactions | [68] |
| 6. | Leaves | Ethanol extract | Escherichia coli and Escherichia coli (ATCC 10536) | Gram-negative | Gastroenteritis, urinary tract disease. | [154] |
| 8. | Leaf | Chloroform extract | Pemphigus vulgaris | Gram-negative | Urinary tract infections | [158] |
| 9. | Whole plant | Methanol and Ethanol extract | Pseudomonas aeruginosa and Pseudomonas aeruginosa (ATCC 25619) | Gram-negative | Wounds and urinary tract infections | [154] |
| 10. | Whole plant | Methanol and Ethanol extract | Pseudomonas putida | Gram-negative | Skin and soft tissue infection | [159] |
| 11. | Leaf | Ethanol extract | Klebsiella pneumonia | Gram-negative | Invasive infection | [147] |
| 12. | Leaves | Leaf juice | Staphylococcus aureus and Staphylococcus aureus (ATCC 9144) | Gram-positive | Chronic osteomyletis, Meningitis, endocarditis | [154] |
| 13. | Stem | Methanol extract | Aspergillus niger | Dichotomously branching, filamentous | Allergy, asthma | [154] |
| 14. | Latex | Latex milk with chitosan | Aspergillus fumigates | Monomorphic filamentous fungi | Pulmonary hemorrhage, pneumonia | [160] |
| 15. | Stem | Methanol extract | Candida albicans and Candida albicans (MTCC 227) | Dimorphic fungi | Oral thrush, gastritis, cutaneous infection | [154] |
12.19. Anti-Viral Activity
12.20. Anti-Venomic Property
12.21. Anti-Diarrheal Activity
12.22. Anti-Asthmatic Property
12.23. Anti-Fertility Activity
12.24. Fish Stupefying Property
12.25. Pesticidal Effect
12.26. Anti-Cancer Properties
12.27. Cytotoxicity
12.28. Renal-Protective Activity
12.29. Hepatoprotective Activity
13. Euphorbia neriifolia as Petro-Crop
14. Harmful Effects of Euphorbia neriifolia and Treatments
14.1. Treatment
14.1.1. Symptomatic Treatment
14.1.2. On Contact
15. Summary and Conclusions
Author Contributions
Funding
Institutional Review Board Statement
Informed Consent Statement
Data Availability Statement
Acknowledgments
Conflicts of Interest
References
- Petrovska, B.B. Historical review of medicinal plants′ usage. Pharmacogn. Rev. 2012, 6, 1–5. [Google Scholar] [CrossRef] [PubMed]
- Aktar, K.; Foyzun, T. Phytochemistry and Pharmacological Studies of Citrus macroptera: A Medicinal Plant Review. Evid.-Based Complement. Altern. Med. 2017, 2017, 1–7. [Google Scholar] [CrossRef] [PubMed]
- WHO. Available online: http://www.who.int/mediacentre/factsheets/fs297/en/index.html (accessed on 13 February 2007).
- Palombo, E.A. Traditional medicinal plant extracts and natural products with activity against oral bacteria: Potential application in the prevention and treatment of oral diseases. Evid.-Based Complement. Altern. Med. 2011, 2011, 680354. [Google Scholar] [CrossRef] [PubMed]
- Ekor, M. The growing use of herbal medicines: Issues relating to adverse reactions and challenges in monitoring safety. Front. Pharmacol. 2014, 4, 177. [Google Scholar] [CrossRef] [PubMed]
- Aye, M.M.; Aung, H.T.; Sein, M.M.; Armijos, C. A Review on the Phytochemistry, Medicinal Properties and Pharmacological Activities of 15 Selected Myanmar Medicinal Plants. Molecules 2019, 24, 293. [Google Scholar] [CrossRef] [PubMed]
- Dias, D.A.; Urban, S.; Roessner, U. A Historical Overview of Natural Products in Drug Discovery. Metabolites 2012, 2, 303–336. [Google Scholar] [CrossRef] [PubMed]
- Chaudhary, P.; Janmeda, P. Comparative pharmacognostical standardization of different parts of Euphorbia neriifolia Linn. Vegetos-Int. J. Plant Res. 2022. [Google Scholar] [CrossRef]
- Mali, P.Y.; Panchal, S.S. Euphorbia neriifolia L.: Review on botany, ethnomedicinal uses, phytochemistry and biological activities. Asian Pac. J. Trop. Med. 2017, 10, 430–438. [Google Scholar] [CrossRef] [PubMed]
- Hasan, M.; Ganeshpurkar, A.; Bansal, D.; Dubey, N. Protective effect of Euphorbia neriifolia extract on experimentally induced thrombosis in murine model. Niger. J. Exp. Clin. Biosci. 2014, 2, 86–89. [Google Scholar] [CrossRef]
- Li, J.; Feng, X.; Liu, D.; Zhang, Z.; Chen, X.; Li, R.; Li, H. Diterpenoids from Euphorbia neriifolia and Their Related Anti-HIV and Cytotoxic Activity. Chem. Biodivers. 2019, 16, e1900495. [Google Scholar] [CrossRef]
- Chang, S.S.; Huang, H.-T.; Lin, Y.-C.; Chao, C.-H.; Liao, G.-Y.; Lin, Z.-H.; Huang, H.-C.; Kuo, J.C.-L.; Liaw, C.-C.; Tai, C.-J.; et al. Neritriterpenols A-G, euphane and tirucallane triterpenes from Euphorbia neriifolia L. and their bioactivity. Phytochemistry 2022, 199, 113199. [Google Scholar] [CrossRef] [PubMed]
- Watt, G. A Dictionary of Economic Products of India; Cosmo Publication: New Delhi, India, 1972; Volume III. [Google Scholar]
- Sharma, V.; Sharma, G.K.; Chandrul, K.K. Anti-microbial activity of Euphorbia neriifolia: A pharmacological review. Eur. J. Biomed. Pharm. Sci. 2019, 6, 159–166. Available online: https://storage.googleapis.com/journal-uploads/ejbps/article_issue/volume_6_june_issue_6/1559282346.pdf (accessed on 6 June 2019).
- Aditya, S. A Revision of Geophytic Euphorbia Species from India. Euphorbia World 2010, 6, 18–21. [Google Scholar]
- Vattakaven, T.; George, R.; Balasubramanian, S.; Rejou-Méchain, M.; Ramesh, B.; Prabhakar, R. Indian biodiversity portal: An integrated, interactive and participatory biodiversity informatics platform. BDJ 2016, 4, e10279. [Google Scholar] [CrossRef]
- Ahmed, S.A.; Nazim, S.; Siraj, S.; Siddik, P.M.; Wahid, A.C. Euphorbia neriifolia Linn: A phytopharmacological review. Int. Res. J. Pharm. 2011, 2, 41. [Google Scholar]
- Hooker, J.D. The Flora of British India; Chenopodiaceae to Orchideae. London, L. Reeve; 1890; Volume 5, p. 914. Available online: https://www.biodiversitylibrary.org/item/13818 (accessed on 6 June 2019).
- Gupta, S.; Acharya, R. A critical review on snuhi (Euphorbia neriifolia linn.) with special reference to ayurvedic nighantus (lexicons). Int. J. Res. Ayurveda Pharm. 2017, 8, 98–103. [Google Scholar] [CrossRef]
- Burkill, I.H. A Dictionary of the Economic Products of the Malay Peninsula; Crown Agents for the Colonies: London, UK, 1936; Volume 1–2. [Google Scholar]
- Nadkarni, A.K. Indian Matreria Medica; Popular Prakashan: Bombay, India, 1954; Volume 1, pp. 424–426. [Google Scholar]
- Shri Ambasta, S.P. The Useful Plants of India; CSIR Publication: New Delhi, India, 1994; Volume 213, p. 270. [Google Scholar]
- Chatterjee, A.; Pakrashi, S.C. The Treatise on Indian Medicinal Plants; Council of Scientific and Industrial Research: New Delhi, India, 1994; Volume 3. [Google Scholar]
- Sharma, V.; Janmeda, P.; Singh, L. A Review on Euphorbia neriifolia (Sehund). Spatulla DD 2011, 1, 107–111. [Google Scholar] [CrossRef]
- Chaudhary, P.; Janmeda, P. Sehund: Poison or medicine. Agric. Food E-Newsl. 2021, 3, 254–256. [Google Scholar]
- Shamim, S.A.; Fatima, L. Pharmacological actions and therapeutic benefits of thuhar (Euphorbia neriifolia): A review. Pharma Innov. Int. J. 2018, 7, 221–222. [Google Scholar]
- Raza, A.K. Tazkeratul Hind (Yadgare Razayee); Shamshul Islam Press: Hyderabad, India, 1938; pp. 300–302. [Google Scholar]
- Thorat, B.R.; Bolli, V. Review on Euphorbia neriifolia Plant. Biomed. J. Sci. Tech. Res. 2017, 1, 001–0010. [Google Scholar] [CrossRef]
- Dundappa, C.P.; Amarprakash, D. A comprehensive review on snuhikshir (latex of Euphorbia nerifolia Linn.). Int. Ayurvedic Med. J. 2017, 5, 2936–2945. [Google Scholar]
- Bigoniya, P.; Rana, A.C. A comprehensive phyto-pharmacological review of Euphorbia neriifolia Linn. Phcog. Rev. 2008, 2, 57–66. [Google Scholar]
- Upadhyaya, C.; Sathish, S. A review on Euphorbia neriifolia plant. Int. J. Pharm. Chem. Res. 2017, 3, 149–154. [Google Scholar]
- Pullaiah, T. Medicinal Plants of India; Department of Botany, Sri Krishnsdevaraya University: Anantapur, India, 2002; Volume 1, pp. 245–246. [Google Scholar]
- Shah, J.J.; Jani, P.M. The shoot apex of Euphorbia neriifolia Linn. Proc. Nat. Inst. Sci. India 1963, 30, 81–91. [Google Scholar]
- Arumugasamy, K.; Subramanian, R.B.; Inamdar, J.A. Cyathial nectarines of Euphorbia neriifolia L.: Ultrastructure and Secretion. Phytomorphology 1990, 40, 281–288. [Google Scholar]
- Bigoniya, P.; Shukla, A.; Singh, C.S. Dermal irritation and sensitization study of Euphorbia neriifolia latex and its anti-inflammatory efficacy. Int. J. Phytomed. 2010, 2, 240–254. [Google Scholar]
- Pracheta, S.V. Microscopic studies and preliminary pharmacognostical evaluation of Euphorbia neriifolia L. leaves. Indian J. Nat. Prod. Resour. 2013, 4, 348–357. [Google Scholar]
- Tandon, N.; Sharma, P. Quality Standard of Indian Medicinal Plants; Indian Council of Medicinal Research: New Delhi, India, 2013; Volume XI. [Google Scholar]
- Benjamaa, R.; Moujanni, A.; Kaushik, N.; Choi, E.H.; Essamadi, A.K.; Kaushik, N.K. Euphorbia species latex: A comprehensive review on phytochemistry and biological activities. Front. Plant Sci. 2022, 13, 1008881. [Google Scholar] [CrossRef]
- Rudall, P.J. Laticifers in Euphorbiaceae-a conspectus. Bot. J. Linn. Soc. 1987, 94, 143–163. [Google Scholar] [CrossRef]
- Mallavadhani, U.V.; Satyanarayana, K.V.S.; Mahapatra, A.; Sudhakar, A.V.S.; Narasimhan, K.; Pandey, D.K.; Thirunavokkarasu, M. Development of Diagnostic Microscopic and Chemical Markers of Some Euphorbia Latexes. J. Integr. Plant Biol. 2006, 48, 1115–1121. [Google Scholar] [CrossRef]
- Ramdas, W.P.; Madhav, P.S.; Sagar, N. Comprehensive study of Sthavar Visha Snuhi Ksheera (Euphorbia neriifolia Linn.) and its detoxification. Int. J. Res. Ayurveda Med. Sci. 2019, 2, 40–43. [Google Scholar]
- Prashanth, B.K. Anuhi Sehund: Euphorbia neriifolia Uses, Side Effect, Research. 2017. Available online: https://www.easyayurveda.com/2017/04/16/snuhi-euphorbia-neriifolia-uses/ (accessed on 6 June 2019).
- Mali, P.Y.; Panchal, S.S. Pharmacognostical and Physico-chemical Standardization of Euphorbia neriifolia Leaves. Pharmacogn. J. 2017, 9, 696–705. [Google Scholar] [CrossRef]
- Sajwan, S.; Ansari, S.A.; Khan, A.S. Pharmacognostic studies and quality control parameters of Euphorbia neriifolia L. IJCRT 2022, 10, 574–580. [Google Scholar]
- Rahman, M.B.; Talukdar, S.N.; Paul, S.; Rajbongshi, S. Evaluation of pharmacognostical, phytochemical, and ethnobotanical properties of Euphorbia neriifolia. Bioj Sci. Technol. 2015, 2, 1–18. Available online: https://bio-journal.com/content/article/2015/09/evaluation-of-pharmacognostical-properties-of-euphorbia (accessed on 6 June 2019).
- Kasote, D.M.; Katyare, S.S.; Hegde, M.V.; Bae, H. Significance of Antioxidant Potential of Plants and its Relevance to Therapeutic Applications. Int. J. Biol. Sci. 2015, 11, 982–991. [Google Scholar] [CrossRef]
- Mohan, V.; Pradeepa, R. Epidemiology of type 2 diabetes in India. Indian, J. Ophthalmol. 2021, 69, 2932. [Google Scholar] [CrossRef]
- Kirtikar, K.R.; Basu, B.D. Indian Medicinal Plants; International Book Distributors: Dehradun, India, 1996; Volume II, p. 1581. [Google Scholar]
- Sharma, D.K. Bioprospecting for Drug Research and functional foods for the prevention of diseases- Role of flavonoids in drug development. J. Sci. Indust. Res. 2006, 65, 391–401. [Google Scholar]
- Al Mahtab, M.; Akbar, S.M.F.; Pramanik, E.A.; Miah, M.M.Z.; Ahmed, I.; Hossain, A.M.; Ali, M.N.; Haque, J.; Islam, A.M.; Jahan, R.A.; et al. Euphorbia neriifolia Leaf Juice on Mild and Moderate COVID-19 Patients: Implications in OMICRON Era. Euroasian J. Hepato-Gastroenterol. 2022, 12, 10–18. [Google Scholar] [CrossRef]
- Burkill Ivor, H.; Haniff, M. Malay Village Medicine. Gard. Bull. Straits Settl. 1930, 6, 167–282. [Google Scholar]
- Oudhia, P.; Medicinal Herbs of Chhattisgarh. India Having Less Known Traditional Uses, VII. Thura (Euphorbia neriilofia, family: Euphorbiaceae), Research Note. 2003. Available online: http://www.botanical.com (accessed on 9 May 2005).
- Yadav, R.P.; Patel, A.K.; Jagannadham, M. Purification and biochemical characterization of a chymotrypsin-like serine protease from Euphorbia neriifolia Linn. Process Biochem. 2011, 46, 1654–1662. [Google Scholar] [CrossRef]
- Azam, R.M.; Ibraheem, M.; Khana, K.; Taraqqi, A. Urdu Bazar, Jama Masjid; Delhi Press: Delhi, India, 1895; Volume 2, pp. 264–279. [Google Scholar]
- Ghani, M.N. Khazaenul Advia; Barqi Press Lahore: Lahore, Pakistan, 1926; Volume 2,4,5, p. 1002. [Google Scholar]
- Jagannath, K.R. Ayurvedic Pharmacopea. Edara-e-mat-boat-e-sulaimani, Rehmani Printers; Ghazni street Urdu Bazar: Lahore, Pakistan, 1983; Volume 288, pp. 1–202. [Google Scholar]
- Sultana, A.; Hossain, J.; Kuddus, R.; Rashid, M.A.; Zahan, M.S.; Mitra, S.; Roy, A.; Alam, S.; Sarker, M.R.; Mohamed, I.N. Ethnobotanical Uses, Phytochemistry, Toxicology, and Pharmacological Properties of Euphorbia neriifolia Linn. against Infectious Diseases: A Comprehensive Review. Molecules 2022, 27, 4374. [Google Scholar] [CrossRef] [PubMed]
- Anonymous. The Wealth of India, A Dictionary of Indian Raw Materials and Industrial Products (Raw materials). Central Institute of Medicinal and Aromatic Plants: New Delhi, India, 2003; Volume III (D–E), pp. 226–228. [Google Scholar]
- Gray, S.F. A Supplement to the Pharmacopeia, and Treatise on Pharmacology in General: Including not Only the Drugs and Preparations Used by Practitioners of Medicine, but Also Most of Those Employed in the Chemical Art: Together with a Collection of the Most Useful Medical Formula. Materia Medica. longman, Rees, Orme, Brown, Green, and Longman, London, Great Britain, 6th ed.; 1836; Available online: https://www.biodiversitylibrary.org/item/76371 (accessed on 6 June 2019).
- Ilyas, M.; Parveen, M.; Amin, K.M.Y. Neriifolione, a triterpene from Euphorbia neriifolia. Phytochemistry 1998, 48, 561–563. [Google Scholar] [CrossRef]
- Kemboi, D.; Peter, X.; Langat, M.; Tembu, J. A Review of the Ethnomedicinal Uses, Biological Activities, and Triterpenoids of Euphorbia Species. Molecules 2020, 25, 4019. [Google Scholar] [CrossRef] [PubMed]
- Magozwi, D.; Dinala, M.; Mokwana, N.; Siwe-Noundou, X.; Krause, R.; Sonopo, M.; McGaw, L.; Augustyn, W.; Tembu, V. Flavonoids from the Genus Euphorbia: Isolation, Structure, Pharmacological Activities and Structure–Activity Relationships. Pharmaceuticals 2021, 14, 428. [Google Scholar] [CrossRef] [PubMed]
- Yeoh, H.H.; Wee, Y.C.; Paesawat, C.; Khng, Y.W. Characterising latex enzyme profiles of tropical species using the Api Zym system. Physiol. Mol. Biol. Plants 1995, 1, 187–189. [Google Scholar]
- Seshagirirao, K.; Prasad, M. Purification and partial characterization of a lectin from E. neriifolia latex. Biochem. Mol. Biol. Int. 1995, 35, 1199–1204. [Google Scholar]
- Mallavadhani, U.V.; Satyanarayana, K.; Mahapatra, A.; Sudhakar, A. A new tetracyclic triterpene from the latex of Euphorbia nerifolia. Nat. Prod. Res. 2004, 18, 33–37. [Google Scholar] [CrossRef]
- Sharma, V.; Janmeda, P. Protective assessment of Euphorbia neriifolia and its isolated flavonoid against N-nitrosodiethylamine-induced hepatic carcinogenesis in male mice: A histopathological analysis. Toxicol. Int. 2014, 21, 38–43. [Google Scholar] [CrossRef][Green Version]
- Husain, I.; Bala, K.; Khan, I.A.; Khan, S.I. A review on phytochemicals, pharmacological activities, drug interactions, and associated toxicities of licorice (Glycyrrhiza sp.). Food Front. 2021, 2, 449–485. [Google Scholar] [CrossRef]
- Bigoniya, P. Hemolytic and in-vitro antioxidant activity of saponin isolated from Euphorbia neriifolia leaf. In Recent Progress in Medicinal Plants: Natural Products-II, 1st ed.; Govil, J.N., Ed.; Studium Press LLC: Houston, TX, USA, 2006; Chapter 20. [Google Scholar]
- Bigoniya, P.; Rana, A.C. Protective effect of Euphorbia neriifolia saponin fraction on CCl4- induced acute heapatotoxicity. Afr. J. Biotechnol. 2010, 9, 7148–7156. [Google Scholar]
- Bigoniya, P. Immunomodulatory activity of Euphorbia neriifolia leaf hydro-alcoholic extract in rats. Indian Drug. 2008, 45, 90–97. [Google Scholar]
- Liao, J.; Wu, F.; Lin, W.; Huang, Z. Taraxerol exerts potent anticancer effects via induction of apoptosis and inhibition of Nf-kB signalling pathway in human middle ear epithelial cholesteatoma cells. Trop. J. Pharm. Res. 2018, 17(6), 1011–1017. [Google Scholar] [CrossRef]
- Chang, F.R.; Yen, C.T.; Ei-Shazly, M.; Lin, W.H.; Yen, M.H.; Lin, K.H.; Wu, Y.C. Anti-human coronavirus (anti-HCoV) triterpenoids from the leaves of Euphorbia neriifolia. Nat. Prod. Commun. 2012, 7, 1415–1417. [Google Scholar] [CrossRef] [PubMed]
- Chen, A.Y.; Chen, Y.C. A review of the dietary flavonoid, kaempferol on human health and cancer chemoprevention. Food Chem. 2013, 138, 2099–2107. [Google Scholar] [CrossRef] [PubMed]
- Mali, P.Y.; Goyal, S. HPTLC Densitometric Quantification of Kaempferol from Leaves of Euphorbia neriifolia. Indian J. Pharm. Educ. Res. 2020, 54, s586–s592. [Google Scholar] [CrossRef]
- Zhao, H.; Sun, L.; Kong, C.; Mei, W.; Dai, H.; Xu, F.; Huang, S. Phytochemical and pharmacological review of diterpenoids from the genus Euphorbia Linn (2012–2021). J. Ethnopharmacol. 2022, 298, 115574. [Google Scholar] [CrossRef]
- Choodej, S.; Pudhom, K. Cycloartane triterpenoids from the leaves of Euphorbia neriifolia. Phytochem. Lett. 2019, 35, 1–5. [Google Scholar] [CrossRef]
- Batiha, G.E.S.; Beshbishy, A.M.; Ikram, M.; Mulla, Z.S.; El-Hack, M.E.A.; Taha, A.E.; Algammal, A.M.; Elewa, Y.H.A. The Pharmacological Activity, Biochemical Properties, and Pharmacokinetics of the Major Natural Polyphenolic Flavonoid: Quercetin. Foods 2020, 9, 374. [Google Scholar] [CrossRef] [PubMed]
- Ganeshpurkar, A.; Saluja, A.K. The Pharmacological Potential of Rutin. Saudi Pharm. J. 2016, 25, 149–164. [Google Scholar] [CrossRef]
- Gao, Y.; Zhou, J.-S.; Liu, H.-C.; Zhang, Y.; Yin, W.-H.; Liu, Q.-F.; Wang, G.-W.; Zhao, J.-X.; Yue, J.-M. Phorneroids A–M, diverse types of diterpenoids from Euphorbia neriifolia. Phytochemistry 2022, 198, 113142. [Google Scholar] [CrossRef]
- Gao, Y.; Zhou, J.-S.; Liu, H.-C.; Zhang, Y.; Yin, W.-H.; Liu, Q.-F.; Wang, G.-W.; Zhao, J.-X.; Yue, J.-M. Phonerilins A–K, cytotoxic ingenane and ingol diterpenoids from Euphorbia neriifolia. Tetrahedron 2022, 123, 132955. [Google Scholar] [CrossRef]
- Jiang, M.; Xue, Y.; Li, J.; Rao, K.; Yan, S.; Li, H.; Chen, X.; Li, R.; Liu, D. PKCδ/MAPKs and NF-κB Pathways are Involved in the Regulation of Ingenane-Type Diterpenoids from Euphorbia neriifolia on Macrophage Function. J. Inflamm. Res. 2021, 14, 2681–2696. [Google Scholar] [CrossRef] [PubMed]
- Yan, S.-L.; Li, Y.-H.; Li, R.-T.; Chen, X.-Q. Diterpenes from stem bark of Euphorbia neriifolia. Chin. Tradit. Herb. Drugs 2017, 48, 3698–3704. [Google Scholar] [CrossRef]
- Yan, S.-L.; Li, Y.-H.; Chen, X.-Q.; Liu, D.; Chen, C.-H.; Li, R.-T. Diterpenes from the stem bark of Euphorbia neriifolia and their in vitro anti-HIV activity. Phytochemistry 2018, 145, 40–47. [Google Scholar] [CrossRef]
- Dutra, R.C.; da Silva, K.A.B.S.; Bento, A.F.; Marcon, R.; Paszcuk, A.F.; Meotti, F.C.; Pianowski, L.F.; Calixto, J.B. Euphol, a tetracyclic triterpene produces antinociceptive effects in inflammatory and neuropathic pain: The involvement of cannabinoid system. Neuropharmacology 2012, 63, 593–605. [Google Scholar] [CrossRef] [PubMed]
- Li, J.-C.; Dai, W.-F.; Liu, D.; Jiang, M.-Y.; Zhang, Z.-J.; Chen, X.-Q.; Chen, C.-H.; Li, R.-T.; Li, H.-M. Bioactive ent-isopimarane diterpenoids from Euphorbia neriifolia. Phytochemistry 2020, 175, 112373. [Google Scholar] [CrossRef] [PubMed]
- Li, J.-C.; Zhang, Z.-J.; Yang, T.; Jiang, M.-Y.; Liu, D.; Li, H.-M.; Li, R.-T. Six new ent-abietane-type diterpenoids from the stem bark of Euphorbia neriifolia. Phytochem. Lett. 2019, 34, 13–17. [Google Scholar] [CrossRef]
- Shinbori, C.; Saito, M.; Kinoshita, Y.; Satoh, I.; Kono, T.; Hanada, T.; Nanba, E.; Adachi, K.; Suzuki, H.; Yamada, M.; et al. N-hexacosanol reverses diabetic induced muscarinic hypercontractility of ileum in the rat. Eur. J. Pharmacol. 2006, 545, 177–184. [Google Scholar] [CrossRef]
- Toume, K.; Nakazawa, T.; Hoque, T.; Ohtsuki, T.; Arai, M.; Koyano, T.; Kowithayakorn, M.; Ishibashi, T. Cycloartane triterpenes and ingol diterpenes isolated from Euphorbia neriifolia in a screening program for death-receptor expression-enhancing activity. Planta Med. 2012, 78, 1370–1377. [Google Scholar] [CrossRef]
- Jaiswal, Y.S.; Guan, Y.; Moon, K.H.; Williams, L.L. Anthocyanins: Natural Sources and Traditional Therapeutic Uses. In Flavonoids-A Coloring Model for Cheering up Life; Badria, F.A., Ananga, A., Eds.; IntechOpen: London, UK, 2019. [Google Scholar] [CrossRef]
- Nakamura, S.; Tanaka, J.; Imada, T.; Shimoda, H.; Tsubota, K. Delphinidin 3,5-O-diglucoside, a constituent of the maqui berry (Aristotelia chilensis) anthocyanin, restores tear secretion in a rat dry eye model. J. Funct. Foods 2014, 10, 346–354. [Google Scholar] [CrossRef]
- Sawale, J.A.; Patel, J.A.; Kori, M.L. Antioxidant properties of cycloartenol isolated from Euphorbia neriifolia leaves. Indian J. Nat. Prod. 2019, 33, 60–64. [Google Scholar]
- Fujiwara, M.; Ijichi, K.; Tokuhisa, K.; Katsuura, K.; Shigeta, S.; Konno, K.; Wang, G.Y.; Uemura, D.; Yokota, T.; Baba, M. Mechanism of selective inhibition of human immunodeficiency virus by ingenol triacetate. Antimicrob. Agents Chemother. 1996, 40, 271–273. [Google Scholar] [CrossRef] [PubMed]
- Hammadi, R.; Kúsz, N.; Dávid, C.; Behány, Z.; Papp, L.; Kemény, L.; Hohmann, J.; Lakatos, L.; Vasas, A. Ingol and Ingenol-Type Diterpenes from Euphorbia trigona Miller with Keratinocyte Inhibitory Activity. Plants 2021, 10, 1206. [Google Scholar] [CrossRef] [PubMed]
- Urs, A.P.; Manjuprasanna, V.N.; Rudresha, G.V.; Hiremath, V.; Sharanappa, P.; Rajaiah, R.; Vishwanath, B.S. Thrombin-like serine protease, antiquorin from Euphorbia antiquorum latex induces platelet aggregation via PAR1-Akt/p38 signaling axis. Biochim. et Biophys. Acta (BBA) Mol. Cell Res. 2020, 1868, 118925. [Google Scholar] [CrossRef]
- Maury, G.; RodrÍguez, D.; Hendrix, S.; Arranz, J.; Boix, Y.; Pacheco, A.; Díaz, J.; Morris-Quevedo, H.; Dubois, A.; Aleman, E.; et al. Antioxidants in Plants: A Valorization Potential Emphasizing the Need for the Conservation of Plant Biodiversity in Cuba. Antioxidants 2020, 9, 1048. [Google Scholar] [CrossRef] [PubMed]
- Zulfiqar, F.; Ashraf, M. Antioxidants as modulators of arsenic-induced oxidative stress tolerance in plants: An overview. J. Hazard. Mater. 2021, 427, 127891. [Google Scholar] [CrossRef]
- Chunekar, K.C. Illustrated Dravyaguna Vijnana, 2nd ed.; Chaukhambha Orientalia: Varanasi, India, 2005; Volume II, pp. 924–925. [Google Scholar]
- Controller of Publications, Ministry of Health and Family Welfare, Department of Indian Systems of Medicine and Homoeopathy, Government of India. In The Ayurvedic Pharmacopoeia of India, 1st ed.; Part-I.; National Institute of Science Communication (CSIR): New Delhi, India, 2001; Volume I, p. 100.
- Chen, L.; Deng, H.; Cui, H.; Fang, J.; Zuo, Z.; Deng, J.; Li, Y.; Wang, X.; Zhao, L. Inflammtory responses and inflammation-associated diseases in organs. Oncotargets 2018, 9, 7204–7218. [Google Scholar] [CrossRef]
- Sasaki, M.; Matsubara, S. Free Radical Scavenging in Protection of Human Lymphocytes against Chromosome Aberration Formation by Gamma-ray Irradiation. Int. J. Radiat. Biol. Relat. Stud. Physics, Chem. Med. 1977, 32, 439–445. [Google Scholar] [CrossRef]
- Tripathy, J.P. Burden and risk factors of diabetes and hyperglycemia in India: Findings from the Global Burden of Disease Study 2016. Diabetes Metab. Syndr. Obesity Targets Ther. 2018, 11, 381–387. [Google Scholar] [CrossRef]
- Kumar, A.; Mahanty, B.; Goswami, R.C.D.; Barooah, P.K.; Choudhury, B. In vitro antidiabetic, antioxidant activities and GC–MS analysis of Rhynchostylis Retusa and Euphorbia neriifolia leaf extracts. 3 Biotech 2021, 11, 1–10. [Google Scholar] [CrossRef]
- Mushir, I.M.; Patel, V.M. Anti-diabetic potential of Euphorbia neriifolia Linn. in alloxan induced diabetic rats. J. Pharm. Res. 2012, 5, 2571–2573. [Google Scholar]
- Mirza, S.; Ali, S.A.; Sanghvi, I. Evaluation of methanolic extract of Euphorbia neriifolia stem bark sugar levels, serum and tissue lipids in a preclinical model. Univ. J. Pharm. Res. 2017, 2, 1–5. [Google Scholar] [CrossRef]
- Choudhary, M.; Kumar, V.; Malhotra, H.; Singh, S. Medicinal plants with potential anti-arthritic activity. J. Intercult. Ethnopharmacol. 2015, 4, 147–179. [Google Scholar] [CrossRef] [PubMed]
- Zhang, Q.-W.; Lin, L.-G.; Ye, W.-C. Techniques for extraction and isolation of natural products: A comprehensive review. Chin. Med. 2018, 13, 1–26. [Google Scholar] [CrossRef] [PubMed]
- Martel, J.; Ko, Y.-F.; Ojcius, D.M.; Lu, C.-C.; Chang, C.-J.; Lin, C.-S.; Lai, H.-C.; Young, J.D. Immunomodulatory Properties of Plants and Mushrooms. Trends Pharmacol. Sci. 2017, 38, 967–981. [Google Scholar] [CrossRef]
- Rahal, A.; Deb, R.; Latheef, S.K.; Sama, H.A.; Tiwari, R.; Verm, A.K.; Kumar, A.; Dhama, K. Immunomodulatory and Therapeutic Potentials of Herbal, Traditional/Indigenous and Ethnoveterinary Medicines. Pak. J. Biol. Sci. 2012, 15, 754–774. [Google Scholar] [CrossRef]
- Shukla, S.; Bajpai, V.K.; Kim, M. Plants as potential sources of natural immunomodulators. Rev. Environ. Sci. Bio/Technol. 2012, 13, 17–33. [Google Scholar] [CrossRef]
- Gaur, K.; Rana, A.C.; Chauhan, L.S.; Sharma, C.S.; Nema, R.K.; Kori, M.L. Investigation of immunomodulatory potential of Euphorbia neriifolia Linn. Against Betamethasone induced immunosuppression. Int. J. Pharmacog. Phytochem. Res. 2009, 1, 8–11. [Google Scholar]
- Ansar, W.; Ghosh, S. Inflammation and Inflammatory Diseases, Markers, and Mediators: Role of CRP in Some Inflammatory Diseases. In Biology of C Reactive Protein in Health and Disease; Springer: New Delhi, India, 2016; pp. 67–107. [Google Scholar] [CrossRef]
- Bigoniya, P.; Siddique, F. Anti-inflammatory and anti-arthritic effect of triterpene fraction isolated from Euphorbia neriifolia L. Leaf. Photon. 2015, 124, 1007–1017. [Google Scholar]
- Ayertey, F.; Ofori-Attah, E.; Antwi, S.; Amoa-Bosompem, M.; Djameh, G.; Lartey, N.L.; Ohashi, M.; Kusi, K.A.; Appiah, A.A.; Appiah-Opong, R.; et al. Anti-inflammatory activity and mechanism of action of ethanolic leaf extract of Morinda lucida Benth. J. Tradit. Complement. Med. 2021, 11, 249–258. [Google Scholar] [CrossRef]
- Theoharides, T.C.; Alysandratos, K.-D.; Angelidou, A.; Delivanis, D.-A.; Sismanopoulos, N.; Zhang, B.; Asadi, S.; Vasiadi, M.; Weng, Z.; Miniati, A.; et al. Mast cells and inflammation. Biochim. et Biophys. Acta (BBA) Mol. Basis Dis. 2012, 1822,, 21–33. [Google Scholar] [CrossRef]
- Hörl, W.H. Nonsteroidal Anti-Inflammatory Drugs and the Kidney. Pharmaceuticals 2010, 3, 2291–2321. [Google Scholar] [CrossRef] [PubMed]
- Yang, G.; Lee, K.; Lee, M.; Ham, I.; Choi, H.-Y. Inhibition of lipopolysaccharide-induced nitric oxide and prostaglandin E2 production by chloroform fraction of Cudrania tricuspidata in RAW 264. 7 macrophages. BMC Complement. Altern. Med. 2012, 12, 250. [Google Scholar] [CrossRef] [PubMed]
- Amin, K.M.Y.; Faridi, M.A.; Asif, M.; Khan, N.A. The efficacy and safety of Euphorbia neriifolia-unani antiarthritic drug. Indian J. Pharma 1995, 27, 60. [Google Scholar]
- Chung, S.A.; Shum, A.K. Rare variants, autoimmune disease, and arthritis. Curr. Opin. Rheumatol. 2016, 28, 346–351. [Google Scholar] [CrossRef] [PubMed]
- Yap, H.-Y.; Tee, S.Z.-Y.; Wong, M.M.-T.; Chow, S.-K.; Peh, S.-C.; Teow, S.-Y. Pathogenic Role of Immune Cells in Rheumatoid Arthritis: Implications in Clinical Treatment and Biomarker Development. Cells 2018, 7, 161. [Google Scholar] [CrossRef] [PubMed]
- Singh, S.; Singh, T.G.; Mahajan, K.; Dhiman, S. Medicinal plants used against various inflammatory biomarkers for the management of rheumatoid arthritis. J. Pharm. Pharmacol. 2020, 72, 1306–1327. [Google Scholar] [CrossRef]
- Carvalho, A.M.; Heimfarth, L.; Santos, K.A.; Guimarães, A.G.; Picot, L.; Almeida, J.R.; Quintans, J.S.; Quintans-Júnior, L.J. Terpenes as possible drugs for the mitigation of arthritic symptoms—A systematic review. Phytomedicine 2018, 57, 137–147. [Google Scholar] [CrossRef]
- Gonzalez, A.C.D.O.; Costa, T.F.; de Araújo Andrade, Z.; Medrado, A.R.A.P. Wound Healing—A Literature Review. An. Bras. Dermatol. 2016, 91, 614–620. [Google Scholar] [CrossRef]
- Selvakumar, P.M. Plant-Derived Compounds for Wound Healing- A Review. Org. Med. Chem. Int. J. 2018, 5, 555653. [Google Scholar] [CrossRef]
- Darby, I.A.; Laverdet, B.; Bonté, F.; Desmouliere, A. Fibroblasts and myofibroblasts in wound healing. Clin. Cosmet. Investig. Dermatol. 2014, 7, 301–311. [Google Scholar] [CrossRef]
- Das, U.; Behera, S.S.; Pramanik, K. Ethno-Herbal-Medico in Wound Repair: An Incisive Review. Phytotherapy Res. 2017, 31, 579–590. [Google Scholar] [CrossRef] [PubMed]
- Thiriet, M. Cardiovascular Disease: An Introduction. Vasculopathies 2018, 8, 1–90. [Google Scholar] [CrossRef]
- Kirichenko, T.V.; Sukhorukov, V.N.; Markin, A.M.; Nikiforov, N.G.; Liu, P.-Y.; Sobenin, I.A.; Tarasov, V.V.; Orekhov, A.N.; Aliev, G. Medicinal Plants as a Potential and Successful Treatment Option in the Context of Atherosclerosis. Front. Pharmacol. 2020, 11, 403. [Google Scholar] [CrossRef] [PubMed]
- Kajal, A.; Kishore, L.; Kaur, N.; Gollen, R.; Singh, R. Therapeutic agents for the management of atherosclerosis from herbal sources. Beni-Suef Univ. J. Basic Appl. Sci. 2016, 5, 156–169. [Google Scholar] [CrossRef][Green Version]
- Reisz, J.A.; Bansal, N.; Qian, J.; Zhao, W.; Furdui, C.M. Effects of Ionizing Radiation on Biological Molecules—Mechanisms of Damage and Emerging Methods of Detection. Antioxid. Redox Signal. 2014, 21, 260–292. [Google Scholar] [CrossRef] [PubMed]
- Li, Y.-N.; Zhang, W.-B.; Zhang, J.-H.; Xu, P.; Hao, M.-H. Radioprotective effect and other biological benefits associated with flavonoids. Trop. J. Pharm. Res. 2016, 15, 1099. [Google Scholar] [CrossRef]
- Painuli, S.; Kumar, N. Prospects in the development of natural radioprotective therapeutics with anti-cancer properties from the plants of Uttarakhand region of India. J. Ayurveda Integr. Med. 2016, 7, 62–68. [Google Scholar] [CrossRef]
- Jagetia, G.C. Radioprotective Potential of Plants and Herbs against the Effects of Ionizing Radiation. J. Clin. Biochem. Nutr. 2007, 40, 74–81. [Google Scholar] [CrossRef]
- Paul, P.; Unnikrishnan, M.K.; Nagappa, A.N. Phytochemicals as radioprotective agents-a review. Indian J. Nat. Prod. Resour. 2011, 2, 137–150. [Google Scholar]
- Bandelow, B.; Michaelis, S.; Wedekind, D. Treatment of anxiety disorders. Dialog Clin. Neurosci. 2017, 19, 93–107. [Google Scholar] [CrossRef]
- Rahman, S.M.M.; Rana, S.; Islam, N.; Kumer, A.; Hassan, M.; Biswas, T.K. Atikullah Evaluation of Anxiolytic and Sedative-Like Activities of Methanolic Extract of Euphorbia hirta Leaves in Mice. Pharmacol. Pharm. 2019, 10, 283–297. [Google Scholar] [CrossRef][Green Version]
- Gupta, V.; Bansal, P.; Kumar, S.; Sannd, R.; Rao, M.M. Therapeutic efficacy of phytochemicals as anti-anxiety-A review. J. Pharm. Res. 2010, 3, 174–179. [Google Scholar]
- Chauhan, A.K.; Dobhal, M.P.; Joshi, B.C. A review of medicinal plants showing anticonvulsant activity. J. Ethnopharmacol. 1988, 22, 11–23. [Google Scholar] [CrossRef] [PubMed]
- Kinda, P.T.; Zerbo, P.; Guenné, S.; Compaoré, M.; Ciobica, A.; Kiendrebeogo, M. Medicinal Plants Used for Neuropsychiatric Disorders Treatment in the Hauts Bassins Region of Burkina Faso. Medicines 2017, 4, 32. [Google Scholar] [CrossRef] [PubMed]
- Stroup, T.S.; Gray, N. Management of common adverse effects of antipsychotic medications. World Psychiatry 2018, 17, 341–356. [Google Scholar] [CrossRef] [PubMed]
- Kumar, V.; Singh, A.; Diwaker, A.; Wai, A. Herbal drugs used in anti-psychotic activity: A review. Int. J. Sci. Res. 2022, 10, 734–741. [Google Scholar]
- Bigoniya, P.; Rana, A.C. Psychopharmacological profile of hydro-alcoholic extract of Euphorbia neriifolia leaves in mice and rats. J. Pharmacol. Exp. Ther. 2005, 43, 859–862. [Google Scholar]
- Badimon, L.; Padró, T.; Vilahur, G. Atherosclerosis, platelets and thrombosis in acute ischaemic heart disease. Eur. Hear. J. Acute Cardiovasc. Care 2012, 1, 60–74. [Google Scholar] [CrossRef]
- Hussain, F.; Islam, M.; Bulbul, L.; Moghal, M.R.; Hossain, M. In vitro thrombolytic potential of root extracts of four medicinal plants available in Bangladesh. Anc. Sci. Life 2014, 33, 160–164. [Google Scholar] [CrossRef]
- Bekemeier, H.; Hirschelmann, R.; Giessler, A.J. Carrageenan-induced thrombosis in rats and mice: A model for testing antithrombotic substances? Agents Actions 1985, 16, 446–551. [Google Scholar] [CrossRef]
- Wang, J.; Li, Z.; Sun, F.; Tang, S.; Zhang, S.; Lv, P.; Li, J.; Cao, X. Evaluation of dermal irritation and skin sensitization due to vitacoxib. Toxicol. Rep. 2017, 4, 287–290. [Google Scholar] [CrossRef]
- Bhatia, V.; Srivastava, G.; Garg, V.; Gupta, Y.; Rawat, S.; Singh, J. Study of laticiferous (latex-bearing) plants as potential petro-crops. Fuel 1983, 62, 953–955. [Google Scholar] [CrossRef]
- Kalita, D.; Saikia, C. Chemical constituents and energy content of some latex bearing plants. Bioresour. Technol. 2004, 92, 219–227. [Google Scholar] [CrossRef] [PubMed]
- Fan, S.-H.; Ali, N.A.; Basri, D.F. Evaluation of Analgesic Activity of the Methanol Extract from the Galls of Quercus infectoria (Olivier) in Rats. Evid.-Based Complement. Altern. Med. 2014, 2014, 1–6. [Google Scholar] [CrossRef] [PubMed]
- Pracheta, S.V.; Paliwal, R.; Sharma, S.; Singh, L.; Janmeda, B.S.; Panwar, S.; Yadav, S.; Sharma, S. Chemoprotective activity of hydro-ethanolic extract of Euphorbia neriifolia Linn. leaves against DENA-induced liver carcinogenesis in mice. Biol. Med. 2011, 3, 36–44. [Google Scholar]
- Vimala, G.; Shoba, F.G. A Review on Antiulcer Activity of Few Indian Medicinal Plants. Int. J. Microbiol. 2014, 2014, 1–14. [Google Scholar] [CrossRef] [PubMed]
- Lahon, L.C.; Lhanikor, H.N.; Ahmed, N. The preliminary study of local anaesthetic activity of Euphorbia neriifolia Linn. Ind. J. Pharm. 1979, 11, 239–240. [Google Scholar]
- Ki, V.; Rotstein, C. Bacterial Skin and Soft Tissue Infections in Adults: A Review of Their Epidemiology, Pathogenesis, Diagnosis, Treatment and Site of Care. Can. J. Infect. Dis. Med. Microbiol. 2008, 19, 173–184. [Google Scholar] [CrossRef]
- Mansour, S.C.; Pletzer, D.; de la Fuente-Núñez, C.; Kim, P.; Cheung, G.Y.; Joo, H.-S.; Otto, M.; Hancock, R.E. Bacterial Abscess Formation Is Controlled by the Stringent Stress Response and Can Be Targeted Therapeutically. eBioMedicine 2016, 12, 219–226. [Google Scholar] [CrossRef]
- Samresh, D.; SNS; CDS. Exploration of antimicrobial potential of methanolic extract of stems of Euphorbia neriifolia. Int. J. Pharm. 2013, 4, 271–273. [Google Scholar]
- Raghuwanshi, M.G.; Patil, P.S.; Shaikh, A.A.; Nazim, S.; Majaz, Q. Evaluation of antimicrobial activity of dried juice of Euphorbia neriifolia. J. Sci. Inf. 2013, 7, 51–55. [Google Scholar]
- Tauheed, U.H.; Rehman, U. Green synthesis and characterization of gold nanoparticles (Au-NPs) using stem extract of Euphorbia neriifolia L. and evaluation of their antibacterial and antifungal potential. Int. J. Nanosci. 2022, 21, 2250008. [Google Scholar] [CrossRef]
- Guo, F.-P.; Fan, H.-W.; Liu, Z.-Y.; Yang, Q.-W.; Li, Y.-J.; Li, T.-S. Brain Abscess Caused by Bacillus megaterium in an Adult Patient. Chin. Med. J. 2015, 128, 1552–1554. [Google Scholar] [CrossRef] [PubMed]
- Schaffer, J.N.; Pearson, M.M. Proteus mirabilis and Urinary Tract Infections. Microbiol. Spectr. 2015, 3, 0017–2013. [Google Scholar] [CrossRef] [PubMed]
- Thomas, B.S.; Okamoto, K.; Bankowski, M.J.; Seto, T.B. A Lethal Case of Pseudomonas putida Bacteremia Due to Soft Tissue Infection. Infect. Dis. Clin. Pract. 2013, 21, 147–213. [Google Scholar] [CrossRef]
- Latgé, J.-P. Aspergillus fumigatus and Aspergillosis. Clin. Microbiol. Rev. 1999, 12, 310–350. [Google Scholar] [CrossRef]
- Kovendan, K.; Murugan, K.; Vincent, S. Evaluation of larvicidal activity of Acalypha alnifolia Klein ex Willd. (Euphorbiaceae) leaf extract against the malarial vector, Anopheles stephensi, dengue vector, Aedes aegypti and Bancroftian filariasis vector, Culex quinquefasciatus (Diptera: Culicidae). Parasitol Res. 2011, 110, 571–581. [Google Scholar] [CrossRef]
- Nothias-Scaglia, L.-F.; Dumontet, V.; Neyts, J.; Roussi, F.; Costa, J.; Leyssen, P.; Litaudon, M.; Paolini, J. LC-MS2-Based dereplication of Euphorbia extracts with anti-Chikungunya virus activity. Fitoterapia 2015, 105, 202–209. [Google Scholar] [CrossRef]
- Barma, A.D.; Mohanty, J.P.; Bhuyan, N.R. A review on anti-venom activity of some medicinal plants. Indian J. Pharm. Sci. Res. 2014, 5, 1612. [Google Scholar] [CrossRef]
- Maiti, S.; Mishra, T.K. Anti-venom drugs of Santals, Savars and Mahatos of Midnapore district of West Bengal, India. Ethnobotany 2000, 12, 77–80. [Google Scholar]
- Tadesse, E.; Engidawork, E.; Nedi, T.; Mengistu, G. Evaluation of the anti-diarrheal activity of the aqueous stem extract of Lantana camara Linn (Verbenaceae) in mice. BMC Complement. Altern. Med. 2017, 17, 190. [Google Scholar] [CrossRef] [PubMed]
- Taur, D.J.; Patil, R.Y. Some medicinal plants with antiasthmatic potential: A current status. Asian Pac. J. Trop. Biomed. 2011, 1, 413–418. [Google Scholar] [CrossRef] [PubMed]
- Sawale, J.A.; Patel, J.R.; Kori, M.L. Evaluation of anti-asthmatic property of Euphorbia neriifolia. Asian J. Biomat. Res. 2017, 3, 39–48. [Google Scholar]
- Rina, M.; Manisha, M.; Ashish, T. Euphorbia neriifolia Linn.: Herbal tool for birth control. Int. Res. J. Pharm. 2013, 4, 153–155. [Google Scholar]
- Joshi, P. Fish stupefying plants employed by tribals of southerm rajasthan-a probe. Curr. Sci. 1986, 55, 647–650. [Google Scholar]
- Iqbal, J.; Abbasi, B.H.; Mahmood, T.; Kanwal, S.; Ali, B.; Shah, S.A.; Khalil, A.T. Plant-derived anticancer agents: A green anticancer approach. Asian Pac. J. Trop. Biomed. 2017, 7, 1129–1150. [Google Scholar] [CrossRef]
- Smith-Kielland, I.; Dornish, J.M.; Malterud, K.E.; Hvistendahl, G.; Rǿmming, C.; Bǿckmann, O.C.; Kolsaker, P.; Stenstrǿm, Y.; Nordal, A. Cytotoxiv triterpenoids from the leaves of Euphorbia pulcherrima. Planta Med. 1996, 62(4), 322–325. [Google Scholar] [CrossRef]
- Bigoniya, P.; Rana, A. Subacute effect of Euphorbia neriifolia on hematological, biochemical and antioxidant enzyme parameters of rat. Acad. J. Plant Sci. 2009, 2, 252–259. [Google Scholar]
- Kupchan, S.M.; Sigel, C.W.; Matz, M.J.; Gilmore, C.J.; Bryan, R.F. Tumor inhibitors. 111. Structure and stereochemistry of jatrophone, a novel macrocyclic diterpenoid tumor inhibitor. J. Am. Chem. Soc. 1976, 98, 2295–2300. [Google Scholar] [CrossRef]
- Padala, S.A.; Barsouk, A.; Thandra, K.C.; Saginala, K.; Mohammed, A.; Vakiti, A.; Rawla, P.; Barsouk, A. Epidemiology of Renal Cell Carcinoma. World J. Oncol. 2020, 11, 79–87. [Google Scholar] [CrossRef]
- Sharma, V. Pracheta Anti-carcinogenic potential of Euphorbia neriifolia leaves and isolated flavonoid against N-nitrosodiethylamine-induced renal carcinogenesis in mice. Indian J. Biochem. Biophys. 2013, 50, 521–528. [Google Scholar] [PubMed]
- Manosroi, A.; Akazawa, H.; Kitdamrongtham, W.; Akihisa, T.; Manosroi, W.; Manosroi, J. Potent Antiproliferative Effect on Liver Cancer of Medicinal Plants Selected from the Thai/Lanna Medicinal Plant Recipe Database “MANOSROI III”. Evid.-Based Complement. Altern. Med. 2015, 2015, 1–11. [Google Scholar] [CrossRef] [PubMed]
- Pracheta, S.V.; Paliwal, R.; Sharma, S. In vitro free radical scavenging and antioxidant potential of ethanolic extract of Euphorbia neriifolia Linn. Int. J. Pharm. Pharm. Sci. 2011, 3, 238–242. [Google Scholar]
- Pracheta, S.V.; Paliwal, R.; Sharma, S. Preliminary phytochemical screening and in vitro antioxidant potential of hydro-ethanolic extract of Euphorbia neriifolia Linn. Int J PharmTech Res. 2011, 3, 124–132. [Google Scholar]
- Priya, C.; Pracheta, J. Quantification of phytochemicals and in vitro antioxidant activities from various parts of Euphorbia neriifolia Lin. J. Appl. Biol. Biotechnol. 2022, 10, 1–4. [Google Scholar] [CrossRef]
- Datta, S.; Kar, B.; Mishra, G.; Nayak, S.S. Antidiabetic and hypolipidemic activity of Euphorbia neriifolia in streptozotocin induced diabetic rats. J. Nat. Prod. Plant Resour. 2015, 5, 12–17. [Google Scholar]
- Mansuri, M.I.; Patel, V.M. Evaluation of antidiabetic and antihyperlipidemic activity of Euphorbia in high fat diet-streptozotocin induced type-2 diabetic model. IJPRS 2013, 2, 83–89. [Google Scholar]
- Ilyas, M.; Perveen, M.; Muhaisen, M.M.H.; Basudan, O.A. A novel triterpene (Neriifolione) a potent anti-inflammatory and antiarthritic agent from Euphorbia neriifolia. Hamdard Med. 2003, XLIV, 97–102. [Google Scholar]
- Pattanaik, S.; Si, S.C.; Pal, A.; Panda, J.; Nayak, S.S. Wound healing activity of methanolic extract of the leaves of Crataeva magna and Euphorbia neriifolia in rats. J. Appl. Pharma Sci. 2014, 4, 46–49. [Google Scholar] [CrossRef]
- Rasik, A.M.; Shukla, A.; Patnaik, G.K.; Dhawan, B.N.; Kulshrestha, D.K.; Srivastava, S. Wound healing activity of latex of Euphorbia neriifolia Linn. Indian J. Pharma 1996, 28, 107–109. [Google Scholar]
- Kimata, M.; Shichijo, M.; Miura, T.; Serizawa, I.; Inagaki, N.; Nagai, H. Effects of luteolin, quercetin, and baicalein on immunoglobulin E-mediated mediator release from human cultured mast cells. Clin. Exp. Allergy. 2000, 30, 501–508. [Google Scholar] [CrossRef] [PubMed]
- Bigoniya, P.; Rana, A. Radioprotective and In-Vitro Cytotoxic Sapogenin from Euphorbia neriifolia (Euphorbiaceae) Leaf. Trop. J. Pharm. Res. 2010, 8, 521–530. [Google Scholar] [CrossRef]
- Gaur, K.; Rana, A.C.; Nema, R.K.; Kori, M.I.; Sharma, C.S. Anti-inflammatory and analgesic activity of hydro-alcoholic leaves extract of Euphorbia neriifolia Linn. Asian J. Pharm. Clin Res. 2009, 2, 26–29. [Google Scholar]
- Sharma, V.P.; Paliwal, R.; Singh, L.; Sharma, C.; Sharma, S. Elucidation of analgesic activity of hydroethanolic extract of Euphorbia neriifolia leaves in swiss albino mice. J. Plant Develop Sci. 2012, 4, 183–189. [Google Scholar]
- Bigoniya, P.; Rana, A. Pharmacological Screening of Euphorbia neriifolia Leaf Hydroalcoholic Extract. J. Appl. Pharm. 2010, 2, 1–17. [Google Scholar] [CrossRef]
- Kumara Swamy, M.; Pokharen, N.; Dahal, S.; Anuradha, M. Phytochemical and antimicrobial studies of leaf extract of Euphorbia neriifolia. J. Med. Plants Res. 2011, 5, 5785–5788. [Google Scholar]
- Sumathi, S.; Hamsa, D.; Dharani, B.; Sivaprabha, J.; Malathy, N.; Radha, P.; Padma, P.R. Isolation and characterization of chitin from prawn shell waste and incorporation into medical textiles. Int. J. Recent Sci. Res. 2012, 3, 676–680. [Google Scholar]
- Qi, W.; Xia, C.; An, R.; Gao, X.; Li, D.; Xu, H. Suppressive effects of lignans from Euphorbia neriifolia L. on esophageal dquamous cancer cell. J. China Pharm. Univ. 2022, 6, 93–98. [Google Scholar]
- Govindrao, A.G.; Vithalrao, N.A.; VenkatRao, P.U.; Pramodrao, A.M. Anticancer Activity of Upavisha Snuhi: A Comprehensive Update. J. Pharm. Sci. Innov. 2020, 9, 162–166. [Google Scholar] [CrossRef]
- Naga, A.; Jyothi, A.; Rajalakshmi, R. A review on upavisha-snuhi (Euphorbia neriifolia Linn). Int. Ayurvedic Med. J. 2016, 4, 1231–1234. Available online: https://www.iamj.in/posts/images/upload/1231_1234.pdf (accessed on 6 June 2019).










| Euphorbia neriifolia Classification | |
|---|---|
| Kingdom | Plantae—Plants |
| Subkingdom | Tracheobionta—Vascular plants |
| Super-division | Spermatophyta—Seed plants |
| Division | Magnoliophyta—Flowering plants |
| Class | Magnoliopsida—Dicotyledons |
| Subclass | Rosidae |
| Order | Malpighiales |
| Sub-order | Euphorbiales |
| Family | Euphorbiaceae |
| Sub-Family | Euphorbioideae |
| Tribe | Euphorbieae |
| Sub-Tribe | Euphorbiinae |
| Genus | Euphorbia |
| Species | neriifolia Linn. |
| Regions | Vernacular Names |
|---|---|
| Arabic | Dihu Minguta, Rumid, Lebbain, Azfurzukkum, Jauarulkalb |
| Bengal | Mansasij, Hijdaont, Hijdaona, Hildaona, Patashij, Tiktasij, Shij |
| Bombay | Nivadunga, Thohur |
| Burmese | Thassaung, Shasaung, Zizaung, Thazavn-mina, Shazawnminna |
| Deccan | Kuttekijibhkasend, Kuttekijibhkapatta |
| Different regions | Variable names |
| English | Hedge Euphorbia, Oleander Spurge, Milk hedge, Dog’s tongue, and Indian Spurge Tree |
| Goa | Nevulkanta |
| Gujarati | Thor, Tuaria, Kantaluthohar, Kantalo |
| Hindi | Thuhar, Sij, Sehund, Patton-ki-send, Danda-thuar, Danda-thor, Gangi-chhu |
| Ilocano | Carambuaya |
| Indochinese | Xuong rong, Xuong rong ta |
| Kannada | Muru Kanina Kalli, Yelekalli, Aelaegalli, Elekalli, Gootagalli, Irekalli, Yellegulla |
| Kashmiri | Kath |
| Konkani | Nivalkantem, Nivelkanti |
| Maharashtra | Vayinivadunga |
| Malaya | Sesudu |
| Malayalam | Kalli, Elakkalli, Ilakkalli |
| Marathi | Mingut, Newarang, Neya-dungra |
| Oriya | Siju, Kantalothor |
| Pampangan | Bait, Sosoro |
| Philippines | Lengua de perro, Carambuaya, Karimbuaya, Sobog-sobog, Sobo-soro |
| Punjabi | Gangichu, Thor |
| Rajputana | Thor, Patton ki send |
| Sanskrit | Snuhi, Sudha, Vijri, Snuk, Svarasana, Patrosnuhi, Sudhi, Nistrinsapatra, Pratrasnuk, Puttakarie, Sakhakanda, Samantadugdhaka, Seej, Vajra, Vajravrksa, Vujri, Ilai-kalli, Aranciruku, Caciyami, Camattuttaccam, Catakkai, Cinittam, Cunkatam, Katutittacam, Kunakki, Manar, Manca |
| Sinhalese | Paluk, Patuk |
| Tamil | Ilaikkalli, Kalli, Manjevi, Nadangi, Naynakki, Perumbukalli, Mucarcevi, Mutakapani, Mayurpelakkalli, Nakanay, Nalainkalli, Natanki, Nattanki, Naynakku, Payaca, Mulaittaci, Picakavayakkalli, Pilavaillolli, Punakam, Sadurakalli, Talaikkalli, Tapilika, Terravacceti, Ulokapantani, Vattampam, Vaccirakanta, Vannikaram |
| Telugu | Akujemudu, Kadajemudu |
| Thailand | Som chao |
| Tibetan | Snu-ha |
| Urdu | Zaqqum, Sendh, Send, Thuhar |
| Different Parts of Euphorbia neriifolia | Season of Collection | References |
|---|---|---|
| Leaf and branches | Spring (Vasantritu) and rainy season (Varsharitu) | [29] |
| Root | Late winter (Shishirritu) and summer (Grishmaritu) | |
| Latex, rhizome, and bark | Autumn (Sharadritu), heartwood (Sarabhaga), and early winter (Hemantritu) | |
| Fruit and flower | Ritu | |
| Plants with hot potency | Summer (Grishmaritu) | |
| Plants with cold potency | Late winter (Shishirritu) |
| Ayurvedic Medicines | Medicinal Uses |
|---|---|
| Abhaya lavana | Disorder of spleen and liver |
| Ayaskirti | Therapy of weight loss, dermal diseases, syndrome of irritable bowel, and anemia |
| Vishatinduka taila | Dermal skin diseases (discoloration), gout, and numbness. |
| Shanka dravaka | Diseases of spleen and liver, ascites, and indigestion |
| Agnivara Taila | Treatment of blisters and burns |
| Jalodarari rasa | Hepatic disorders and ascites |
| Ardraka ghrita | Gastritis treatment, indigestion treatment, and treatment of chronic diarrhea |
| Arsha kutara rasa | Hemorrhoid treatment |
| Madhusnuhi rasayana | Treatment of Rheumatoid arthritis, tumors, fistula, piles, diabetes, psoriasis, and skin diseases such as eczema |
| Plant Parts | Parameter | Value (%) | References |
|---|---|---|---|
| Leaves | Water soluble ash | 4.54 ± 0.11 | [8,9,23,36,43,44] |
| Acid insoluble ash | 0.82 ± 0.04 | ||
| Total ash | 7.36 ± 0.07 | ||
| pH | 6.1 ± 6.2 | ||
| Moisture content | 3.45 ± 0.09 | ||
| Water soluble extractives | 26.31 ± 0.12 | ||
| Alcohol soluble extractives | 14.32 ± 0.04 | ||
| Foreign organic matter | 0.87 ± 0.03 | ||
| Stem | Water soluble ash | 3.042 ± 0.017 | |
| Acid insoluble ash | 3.005 ± 0.004 | ||
| Total ash | 0.506 ± 0.015 | ||
| pH | 5.1 ± 5.5 | ||
| Moisture content | 10.8 ± 0.1 | ||
| Latex | Resinous matter | 18.32% | |
| pH | 5.20 ± 0.17 | ||
| Percent solid content | 10.95% | ||
| Weight per mL | 1.14 ± 0.08 gm | ||
| Refractive index | 1.41 ± 0.12 | ||
| Total ash value | 0.315 ± 0.003 | ||
| Water soluble ash value | 1.719 ± 0.196 | ||
| Acid insoluble ash value | 1.95 ± 0.045 | ||
| Sulfated ash value | 0.147 ± 0.001 | ||
| Moisture content | 16 ± 0.057 | ||
| Bark | Water soluble ash | 1.719 ± 0.196 | |
| Acid insoluble ash | 1.95 ± 0.045 | ||
| Total ash | 0.315 ± 0.003 | ||
| pH | 5.6 ± 5.9 | ||
| Moisture content | 16 ± 0.057 |
| Plant Parts | Used in | Applications | References |
|---|---|---|---|
| Whole plant | Anemia, fever, ulcer, inflammation, loss of consciousness, piles, delirium, bronchitis, and tumor | Whole plant juice as alexipharmic, carminative, and laxative | [9] |
| Vata-dosha disorders such as constipation, neuroglia, bloating, paralysis, induction of severe purgation, and for improving the strength of digestion | Whole plant | [32] | |
| Anal fistula | Whole plant as rubefacient and aphrodisiac | [32] | |
| Anorexia, fatigue, vomiting, weakness, spree syndrome, arthritis, and digestive tract disorder | Whole plant as one of the components of Dashmoolarishtam | [32] | |
| Insecticide | As a spray to kill insects | [57] | |
| For fencing | As it is covered with spines | [57] | |
| Leaves | Asthma | Succus administration comprising leaf juice and simple syrup in a minimum dosage of 10–20 mL three times a day | [9] |
| Earache | Leaf juice | [9] | |
| Wound healing | Steamed leaves paste on the affected area for 4–5 days | [9,48] | |
| Arthritis, skin wart | Leaf juice | [49] | |
| Bleeding piles, ano-rectal fistula, bronchitis, cold, and cough | As a diuretic and aphrodisiac | [17] | |
| Stem | Direct expectoration of phlegm | Stem juice at a small dosage with honey and borax | [17] |
| Hydrophobia | Pulp of the stem mixed with fresh ginger | [17] | |
| Piles and fistula | Stem juice | [17] | |
| Chronic respiratory problem | Stem juice with black pepper | [57] | |
| Latex | Drastic cathartic condition | Latex juice | [20] |
| Piles | Latex juice with turmeric | [20] | |
| Warts | Latex juice | [51] | |
| Skin warts, arthritis, and earache. | Latex juice | [48] | |
| Opthalmia | Milky juice in combination with shoot | [20,48,58] | |
| Rheumatic infection | Milky juice in combination with margosa oil | [20,48,58] | |
| Unhealthy ulcer, glandular swelling, and scabies | EN latex juice with fresh butter | [20,48,52,58] | |
| Cracks in their foot soles | Boiling latex with castor oil and salt | [20,48,58] | |
| Wounds and burns | Milk of E. neriifolia latex | [20,48,58] | |
| Reduce swelling in piles, pain, and itching | Lukewarm extract | [20,48,58] | |
| Asthma | Five drops of latex juice containing gokaran root, agaba root, and madar flower with honey | [9] | |
| Vitiligo, fistula, and syphilis | Latex juice | [20,55,56,59] | |
| Leprosy, general anasarca, dropsy, syphilis, spleen and liver enlargement | Trivit root, chebulic myrobalans, long-peppers, clove soaked in latex juice for a month and then dried to form pills | [9] | |
| Ascites, anasarea, and tympanitis | Latex juice with chebulic myrobalan, trivit root, and long pepper | [20] | |
| Protection against herbivorous insects | Latex | [36] | |
| Bark | Semen passing with urine | Mixture of bark and leaves of Piper betle L. | [45] |
| Roots | Snake bites and scorpion stings | Root of E. neriifolia in combination with black pepper | [9,20,45] |
| Blood pressure | A small dosage may increase blood pressure and a high dosage may decrease blood pressure | [9,20,45] | |
| Dropsy | Boiled mixture of root-bark in water | [9,20] |
| Pharmacological Activity | Plant Parts | Mode of Actions | Dosage | References |
|---|---|---|---|---|
| Antioxidant activity | Leaf | Saponin showed better in vitro antioxidant activities compared to silymarin with a high bitterness index | 10 mg/mL | [35] |
| Leaf | Observed a good correlation among the antioxidant activity and physiochemical analysis and reported the maximum scavenging potential | 1 mg/mL | [177] | |
| Leaf | FRAP method determined the reducing capability of ferric ions with 149.2 ± 0.05 µmol concentration. At 1 mg/mL of extract concentration, superoxide scavenging activity was determined to be 50.06% and it was 76.15% in the DPPH assay. The capacities for metal chelation of the standard and extract were 85.37% and 73.24%, respectively. The percentages of hydrogen peroxide scavenging potential of BHT, ascorbic acid, and extract were determined to be 44.7%, 12.7%, and 69.015%, respectively | 1 mg/mL | [178] | |
| Leaf | In terms of metal chelation, reducing power, and scavenging activity, it was determined that the methanolic extract from different parts of E. neriifolia (leaves, stem, latex, and bark) possessed potential antioxidant activity | 1 mg/mL | [179] | |
| Leaf | Showed effective DPPH scavenging activity | 1 mg/mL | [91] | |
| Leaf | EN extract reduced the profile of serum lipid as well as of glucose by establishing its catabolic activity. It further raised the level of kidney and liver SOD along with catalase and decreased the lipid peroxidase in the liver. This represented that the E. neriifolia was considered to be safe and could be applied for the treatment of various ailments | 400 mg/kg bw | [172] | |
| Anti-diabetic activity | Stem | After administration of extract, there were decreases in fasting blood glucose level and in the oral glucose tolerance test after the time period of 60 min. The maximum reduction in the level of fasting blood glucose was found after 15 days of treatment at 400 mg/kg dosage. The profile of serum lipids was also found to be reduced compared to the control rat group | 400 mg/kg bw | [103] |
| Stem bark | It was found to suppress the levels of elevated blood lipids and glucose in diabetic rats. The results were determined to be comparable to the standard drug glibenclamide at 400 mg/kg of dosage. Thus, this study indicated the anti-diabetic and anti-hyperlipidemic activity of EN | 100, 200, and 400 mg/kg bw | [180] | |
| Stem | The serum triglyceride, cholesterol, and blood glucose content were significantly (p < 0.05) decreased in treated group, whereas there was elevation in the serum HDL cholesterol levels in response to the methanolic extract of the E. neriifolia stem. | 200 and 400 mg/kg bw | [180] | |
| Leaf | The ethanolic extract of E. neriifolia leaf with control produced 99.6 ± 2.540 mg/dl glucose drop at 400 mg/kg dosage after 60 min, whereas control resulted in 110.2 ± 3.01 mg/dl of glucose drop in streptozotocin-directed, high-fat diet type-2 diabetic animal model | 400 mg/kg bw | [181] | |
| Leaf | The effect of ethanolic extract of E. neriifolia on glucose oxidase model was found to be 43.23 ± 3.58 mg/dl at 400 mg/kg, whereas control group has shown 112.63 ± 4.68 mg/dl of effectiveness | 400 mg/kg bw | [172] | |
| Immunomodulatory activity | Leaf | Significantly raised the phagocytic index, differential leucocyte count, and total leucocyte count to provide protection against abdominal sepsis. It increased the cell-mediated immunity and hemagglutination antibody titer by facilitating the footpad thickness response in betamethasone-induced and normal immunosuppressed rats. Therefore, it can be stated that E. neriifolia can be utilized as a complementary therapeutic agent for the treatment of immunomodulatory diseases | 400 mg/kg bw | [110] |
| Anti-inflammation activity | Latex | Determined to have anti-inflammatory activity | 400 mg/kg bw | [182] |
| Leaf | EN caused inhibition in the inflammation of (1%) carrageenan-induced paw edema in rats | 400 mg/kg bw | [26] | |
| Stem bark | These compounds result in the inhibition of pro-inflammatory mediators in cases of LPS-directed RAW264.7 macrophages. Studies on the cellular signaling pathway showed that these compounds prevent IkBα degradation and NF-kB/p65 subunit translocation. Furthermore, the amounts of COX-2, TNF-α, and PGE2 increased dramatically under the impact of these compounds, which was closely associated to the activation of the mitogen activated protein kinase (MAPKs) signaling pathway or by the phosphorylation of protein kinase C δ (PKCδ). Thus, these compounds have shown multidirectional regulation in the immune function of macrophages and cytokines, along with better anti-inflammatory activity with the close regulation of NF-kB and PKCδ/MAPKs signaling pathway | 2.5 to 8 µM | [81] | |
| Latex | Determined to have potent anti-inflammatory activity in comparison to standard diclofenac sodium at 100 mg/mL dosage | 750 and 500 mg/kg bw | [35] | |
| Anti-arthritis activity | Leaf | Pre-treatment of this fraction significantly reduced the cytokine TNFα (p < 0.05) and paw edema (p < 0.001) in CFA-induced arthritic model after treatment for 28 days | _ | [112] |
| Wound healing property | Leaf | Enhanced the epithelization. The content of protein and hydroxyproline was found to be increased along with the catalase activity, and the superoxide dismutase activity was determined in granular tissues. | 200 and 400 mg/kg bw | |
| Leaf | Showed efficacy of 100% and 85% in response to extract and control at 18th day in the excision wound model of rat | 500 mg/kg bw | [183] | |
| Latex | Cutaneous wounds produced by surgery were treated tropically. Thus, the extract helped the healing process by increasing the angiogenesis, epithelization, DNA content, and tensile strength, respectively | 1% and 0.5% | [184] | |
| Anti-atherosclerosis | Latex | Modulated the pathway related to inflammation in order to relieve atherosclerosis | _ | [185] |
| Radio-protective activity | Leaf | This compound exhibited moderate antioxidant activity with great reduction in the gamma-directed chromosomal abnormalities compared to gamma radiation alone. It also showed cytotoxic activity with an IC50 value of 173.78 µg/mL in a melanoma cell line. Thus, this compound can provide a scientific basis for the claim of radioprotective activity in EN | 173.78 µg/mL | [186] |
| Anti-anxiety, anti-convulsant, anti-psychotic activity | Leaf | Significant reduction in the apomorphine-induced stereotype in rats and mice and absence of cataleptic effect that suggested the modulated activity of specific dopaminergic receptors | 100, 200, and 400 mg/kg bw | [141] |
| Anti-thrombotic activity | Whole plant | The damage of the caudal vein was observed at 2 mg/kg dosage of carrageenan, whereas the ethanolic extract of E. neriifolia significantly (p < 0.01) reduced the thrombosis and increased the clotting and bleeding time of the animal | 400 mg/kg | [144] |
| Dermal irritation | Latex | Inhibited the paw edema, which was induced by carrageenan | 500 and 700 mg/kg bw | [35] |
| Latex | Showed thrombolytic activity | _ | [43] | |
| Hemolytic activity | Leaf | Reported to have hemolytic activity at varied concentrations such as silymarin at 100 µg/mL of concentration, triton at 100 g/mL of concentration, and saponin at 300 µg/mL | 300 µg/mL | [141] |
| Death receptor expression enhancing activity | Leaf | A novel ingol diterpene, 3-O-acetyl-8-O-tigloylingol (8), euphonerins A–G (1–7), and seven new cycloartane triterpenes were isolated from the methanolic fraction of E. neriifolia leaves, along with three known flavonols (11–13), (24R)-cycloartane-3β,24,25-triol (10), and 3,12-di-O-acetyl-8-O-tigloylingol. The structure of 1–8 compounds was made with the help of spectroscopic analysis. Among all compounds, 1–11 compounds have shown the death receptor expression enhancing activity | _ | [88] |
| Analgesic activity | Leaf | The increase in reaction time in response to the E. neriifolia extract showed the better analgesic activity against thermal, chemical, and mechanical stimuli | 100, 200, and 400 mg/kg bw | [187] |
| Leaf | Showed analgesic activity against acetic-acid-induced abdominal constriction in mice | 150, 300, and 400 mg/kg bw | [188] | |
| Anti-diuretic activity | Leaf | Indicated in the increase in urine volume up to three times in response to the extract as an effective hypernatremic and hyperchloremic diuretic compared to control with 6.65 mL urine in model of rat | 400 mg/kg bw | [149] |
| Anti-ulcer activity | Leaf | Showed anti-ulcer activity against ethanol-induced ulceration and pyloric-ligated ulceration | 400 mg/kg bw | [189] |
| Anesthetic activity | Stem | Possessed good anesthetic activity in the case of the intradermal wheal in guinea pig and in the case of foot-withdrawal in frog | _ | [151] |
| Anti-bacterial and Anti-fungal activity | Leaf | Exhibited greater anti-microbial activity against Proteus vulgaris with an 8 mm zone of inhibition | 50 mg/mL | [190] |
| Leaf | Showed anti-fungal activity against Fusarium oxysporum and Candida albicans with inhibition in their mycelial growth | 50 mg/mL | [190] | |
| Stem | Found to be effective against P. aeruginosa at 400 mg/mL dosage, whereas it showed more effectiveness against Staphylococcus aureus | 400 mg/mL | [154] | |
| Leaf | Inhibited the growth of K. pneumonia and P. vulgaris | 50 µg/mL | [190] | |
| Latex | Found to be effective against Klebsiella pneumoni and Salmonella typhi with an 8 mm inhibition zone. It showed a 7 mm inhibition zone at 50 µL concentration against P. aeruginosa. MIC showed more effectiveness against P. aeruginosa, K. pneumonia, and S. typhi high concentration | 60 and 50 µL | [191] | |
| Anti-viral activity | Stem bark | Showed moderate anti-HIV-1 activities | 24 and 34 mM | [83] |
| Whole plant | Exhibited better anti-HIV-1 activity | 6.4 and 6.6 µg/mL | [11] | |
| Whole plant | Exhibited moderate anti-HIV activity in comparison to standard azidothymidine | 3.58 and 7.40 µM | [57] | |
| Leaf | Determined that the 3β-Friedelanol exhibited better anti-viral activity in comparison to actinomycin D (control) against HCoVs | _ | [72] | |
| Anti-asthmatic activity | Whole plant | EN ethanolic extract caused no toxicity, whereas ethyl acetate extract has shown the most significant anti-asthmatic property in all models | 2000 mg/kg bw | [167] |
| Cytotoxic study | Leaf | Exhibited better cytotoxic activity against esophageal squamous cancer cells (KYSE-450 and KYSE-410 cells) and inhibited their proliferation | _ | [192,193] |
| Leaf | Showed in vitro cytotoxicity against the murine F1B16 melanoma cell line with 50% inhibition | 173.38 µg/mL | [69] | |
| Latex | Inhibition against EAC cells and DLA cells | 82 and 51 µg/mL | [174] | |
| Leaves and bark dried powder | In vitro anti-tumor activity with >50% inhibition rate in HepG2 cell line | 89.25% | [174] | |
| Whole plant | Induced differentiation in megakaryocytic cells, inhibited growth, and caused apoptosis to some extent in HEL and K562 human leukemia cell lines | _ | [174,193] | |
| Leaf | All compounds showed better cytotoxicity against the MCF-7 cell line | 13.14, 7.12, and 9.50 µM | [174,193] |
Disclaimer/Publisher’s Note: The statements, opinions and data contained in all publications are solely those of the individual author(s) and contributor(s) and not of MDPI and/or the editor(s). MDPI and/or the editor(s) disclaim responsibility for any injury to people or property resulting from any ideas, methods, instructions or products referred to in the content. |
© 2023 by the authors. Licensee MDPI, Basel, Switzerland. This article is an open access article distributed under the terms and conditions of the Creative Commons Attribution (CC BY) license (https://creativecommons.org/licenses/by/4.0/).
Share and Cite
Chaudhary, P.; Singh, D.; Swapnil, P.; Meena, M.; Janmeda, P. Euphorbia neriifolia (Indian Spurge Tree): A Plant of Multiple Biological and Pharmacological Activities. Sustainability 2023, 15, 1225. https://doi.org/10.3390/su15021225
Chaudhary P, Singh D, Swapnil P, Meena M, Janmeda P. Euphorbia neriifolia (Indian Spurge Tree): A Plant of Multiple Biological and Pharmacological Activities. Sustainability. 2023; 15(2):1225. https://doi.org/10.3390/su15021225
Chicago/Turabian StyleChaudhary, Priya, Devendra Singh, Prashant Swapnil, Mukesh Meena, and Pracheta Janmeda. 2023. "Euphorbia neriifolia (Indian Spurge Tree): A Plant of Multiple Biological and Pharmacological Activities" Sustainability 15, no. 2: 1225. https://doi.org/10.3390/su15021225
APA StyleChaudhary, P., Singh, D., Swapnil, P., Meena, M., & Janmeda, P. (2023). Euphorbia neriifolia (Indian Spurge Tree): A Plant of Multiple Biological and Pharmacological Activities. Sustainability, 15(2), 1225. https://doi.org/10.3390/su15021225



























































































