Next Article in Journal
Predictions of the Key Operating Parameters in Waste Incineration Using Big Data and a Multiverse Optimizer Deep Learning Model
Previous Article in Journal
Experimental and EOR Mechanism Study of Water Shutoff Effects on Fractured Tight Sand Gas Reservoirs Using Fuzzy Ball Fluids
 
 
Font Type:
Arial Georgia Verdana
Font Size:
Aa Aa Aa
Line Spacing:
Column Width:
Background:
Article

Computational Model of Water Distribution Network Life Cycle Deterioration

by
Leandro Alves Evangelista
*,
Gustavo Meirelles
and
Bruno Brentan
*
School of Engineering, Federal University of Minas Gerais (UFMG), Belo Horizonte 31270-901, Brazil
*
Authors to whom correspondence should be addressed.
Sustainability 2023, 15(19), 14529; https://doi.org/10.3390/su151914529
Submission received: 29 August 2023 / Revised: 29 September 2023 / Accepted: 5 October 2023 / Published: 6 October 2023

Abstract

:
Water distribution networks (WDNs) have a long life cycle, and understanding how infrastructure deteriorates over time can contribute to its efficient management. In this paper, a computational model is developed to simulate the deterioration of a WDN over its life cycle and analyze how its operation is affected, both hydraulically and economically. For this, four parameters are considered, changing over a 20-year life cycle: (1) an increase in water consumption due to population growth, modeled using statistical growth rates; (2) the deterioration of pipes, which increases according to a constant growth rate of internal roughness; (3) a change in leakage in the network, calculated based on population size, network length, and operating pressure; and (4) the deterioration of pumps, estimated according to their mechanical aging. The results point to maintenance services being essential for the efficient operation of WDNs, with leaks having the greatest impact on operating costs.

1. Introduction

Water distribution networks (WDNs) represent the largest infrastructure and operating costs in water supply systems. The length of the networks and the high energy consumption of pumping stations are the main contributors to the total costs of those systems. It is estimated that 2% to 7% of the electricity generated globally is consumed in water treatment and distribution and wastewater treatment [1,2,3].
WDNs are designed and operated to meet consumer demands in terms of quantity (flow) and quality (pressure). However, due to the dynamics of consumption, maintaining the operation of these systems at the maximum level of efficiency is a complex task. In addition, water losses due to leakages can significantly affect the demand of the network and, consequently, the energy costs of pumping. There is a strong relationship between water and energy consumption management in WDSs, and therefore, different approaches have been proposed to design and operate WDNs in an economically and technically feasible way.
Initially, an alternative to reduce design costs is to minimize pipe diameters while maintaining the minimum pressure required for network operation [4]. Although this approach seems interesting at first, different authors highlight that this strategy can have negative impacts on other parameters, such as water quality and network resilience [5,6,7]. Therefore, approaches that seek to optimize multiple objectives and balance the parameters for reasonable performance across all of them have also been evaluated [8,9].
With respect to network operation, the implementation of operational rules for pumps and valves can bring significant improvements to the hydraulic and energy efficiency of these systems [10,11,12]. However, due to the high energy consumption of pumping stations, the optimal operation of pumps is often formulated as a cost optimization problem [11,13]. Thus, there are several techniques addressed in the literature to optimize the operation, such as linear programming [14], dynamic programming [15], and meta-heuristic algorithms, such as the Genetic Algorithm [16] and Particle Swarm Optimization [17].
Even if an optimal solution is achieved for WDN design and operation, several conditions can lead to the deterioration of the infrastructure over its life cycle. Water quality, soil conditions, installation methods, pipe material, and pressure surges are just some of the parameters that can create failure conditions in these systems [18].
According to [19], the age and remaining service life of a WDN are important criteria to consider in systems management. The rupture of a pipe, for example, can be easily identified and corrected, even if it causes damage to the system. However, small leaks in several components of the infrastructure, such as pipes, joints, connections, reservoirs, and flow meters, are hard to detect due to the absence of visual signs [20]. Moreover, these leakages tend to increase as the WDN ages, as observed by [21] and supported by the findings of [22], who showed that the replacement of old pipes was more effective than pressure control in reducing leakages.
When WDNs require pumping stations, the design becomes even more complex. Pumping energy costs are inversely proportional to pipe costs, because larger diameters reduce head losses and consequently the power required for pumps, although they are more expensive. Reference [23] suggests simultaneously optimizing pipe diameters and pump selection, while [24] adds the pump location as part of the optimization process. In addition to these factors, the deterioration of other components, such as pipe roughness and leaks, can drastically affect the operating point of pumps, reducing their capacity and efficiency over the life cycle of the WDN.
Therefore, this study proposes a computational model to simulate the deterioration of a WDN over its life cycle and analyze the sensitivity of the network to some deterioration parameters, considering hydraulic and economic aspects. The model starts increasing the water consumption demand of the network proportionally to the population growth estimated by [25]. Pipe deterioration is modeled via increasing the internal roughness at a specific rate, as proposed by [26]. The leakage rate in the WDN and its increase over time is modeled considering two aspects: (1) an intrinsic water loss that is naturally present in WDNs due to the economic unfeasibility to fix them, estimated based on the network length and population size, according to [27]; and (2) a varying water loss, dependent on WDN pressure, calculated using the equations of an orifice with constant characteristics. Finally, the deterioration of the pumps is modeled according to a decrease in its capacity as proposed by [28]. The results show that maintenance services are essential for the efficient operation of WDNs, highlighting leaks as the main problem in economic terms.

2. Materials and Methods

2.1. Deterioration Model

The deterioration model is developed using the Epanet hydraulic simulator [29] and the Epanet-Matlab Toolkit 2.2.2 developed by [30], allowing us to perform the hydraulic simulations with the necessary changes over the WDN life cycle and for the studied scenarios.
Four different deterioration scenarios are implemented to evaluate the impact of each deterioration parameter individually. The four scenarios elaborated are as follows: (1) a scenario (SC1) for evaluating consumption demand due to population growth; (2) a scenario (SC2) for evaluating the change in pipe roughness; (3) a scenario (SC3) for evaluating the change in leakage rate; and (4) a scenario (SC4) for evaluating pump deterioration. In addition to these four scenarios, two control scenarios are developed: an ideal scenario (CN1) and a real scenario (CN2). The ideal scenario is developed as a comparison parameter in relation to a hypothetical ideal situation, in which the network’s features do not change over time, i.e., it does not deteriorate. The only exception is the growth of the population, which also occurs in the other elaborated scenarios. The real scenario is developed to simulate a situation of deterioration of the WDN which is close to reality, in which the parameters under study suffer simultaneous changes over time, i.e., everything degrades over time.
Anytown WDN [31], shown in Figure 1, is used as a case study in all scenarios. This network consists of 40 pipes, 19 nodes, 2 tanks, 1 reservoir, and 1 pumping station.
A 20-year life cycle is considered in all scenarios, with the deterioration parameters modifying each year. However, the simulations are run over a horizon time of 24 h, hourly stamped. The data obtained represent the average of a typical day over an entire year. Thus, the simulation of the entire lifecycle of the WDN is reduced to 20 consecutive daily hydraulic simulations, where observed data on each day are approximately the annual average. WDN operating costs for the whole year are then calculated as the sum of the costs of daily operations.
The total operational costs of the WDN are calculated considering the costs of water lost due to leaks, as well as the costs of electric energy for the operation of the pump stations. When calculating the electricity costs, the tariff variations between peak and off-peak hours are taken into account, following the tariffs established by [32]. Production costs are used as a reference for water losses, as defined by [33]. Equation (1) presents the calculation methodology for the operational costs for a typical day, while Table 1 contains the tariff values.
C d a y = D E × P m a x + i = 1 24 P ( i ) × C E ( i ) + ( V ( i ) × C V   ( i ) )
where:
  • C d a y is the total cost during the year of operation [R$];
  • D E is the cost with electric power demand [R$/kW];
  • P m a x is the maximum power observed on the day [kW];
  • P ( i ) is the energy consumed in hour i [kWh];
  • C E ( i ) is the cost of electric energy during hour i [R$/kWh];
  • V ( i ) is the volume of water lost in hour i [m3];
  • C V ( i ) is the water production cost in hour i [R$/m3].
Table 1. Tariffs used to calculate total costs.
Table 1. Tariffs used to calculate total costs.
Off-Peak TimesPeak TimesWater Production Cost [R$/m3]
Electricity [R$/kWh]Demand [R$]Electricity [R$/kWh]Demand [R$]
0.3566613.950.5342543.850.30
Finally, the hydraulic performance of the WDN is evaluated based on the operating pressures of the critical nodes of the network in all scenarios. For each year, the critical pressure is recorded, which corresponds to the lowest value observed at any consumption node of the WDN during the 24 h simulation.

2.2. Scenario with Changes in Consumption Demand (SC1)

To assess the growth in water demand due to consumption, it is considered that this demand increases at the same rate as the observed growth in population. The consuming population of the WDN is initially estimated based on the original demand. Then, a third-degree polynomial adjustment is used to perform population forecasts. This adjustment takes into account demographic component methods, where demographic variables such as mortality, birth, and immigration rates, among others, are used to project the population for a given period. Based on these data, the curve in Equation (2) is established to estimate population growth, as defined by the Brazilian Institute of Geography and Statistics (IBGE) and the United Nations (UN) [25,34].
Y = a X 3 + b X 2 + c X + d
where:
  • Y is the consumer population [people];
  • X is the year;
  • a ,   b ,   c ,   a n d   d are the parameters estimated using the method of least squares, being, respectively, a = 0.0000004335; b = −0.0000023355; c = −0.0007653779; d = 1.0003835392.
To evaluate the uncertainties related to the population growth projection and the impact of these uncertainties on consumption, the population growth rate obtained through Equation (3) varies from 95 to 105% according to Table 2.

2.3. Scenario with Changes in Pipe Roughness (SC2)

Pipe deterioration can be classified into two categories: structural deterioration, which reduces the ability of the pipes to resist mechanical stresses, and functional deterioration, associated with the increase in the roughness of the internal surface of the pipes, resulting in a decrease in their hydraulic capacity [35,36]. Functional deterioration, related to the head loss in pipes, can be attributed to several factors, such as age, manufacturing material, diameter, and the type of surrounding soil, among others.
In this study, only the functional deterioration of the pipes is considered, i.e., the increase in their internal roughness and the reduction in their capacity over time. The head loss resulting from this internal roughness was calculated using the Hazen–Williams Equation (3).
h = 10,653   Q C H W 1.85 D 4.87 L
where:
  • h is the head loss [m];
  • Q is the flow in the section [m3/s];
  • C H W is the Hazen–Williams head loss coefficient [ m 1.852 ( m 3 / s ) 1.852 ] ;
  • D is the pipe diameter [m];
  • L is the pipe length [m].
The increased roughness of the pipes impacts the pressure drop in the WDN, resulting in a reduction in the pressure available to consumers. To maintain pressures above the minimum required, it is necessary to adjust the system operating rules and increase hydraulic power, affecting energy consumption. To estimate the roughness growth, the methodology proposed by [26] is used. In this approach, the parameter C H W is calculated according to Equation (4).
C H W = 18.0 37.2 × l o g e 0 + a r t D
where:
  • e 0 is the initial absolute roughness [mm];
  • D is the pipe diameter [mm];
  • a r is the roughness increase rate [mm/year];
  • t is time [years].
The values assigned to the initial roughness and the rate of roughness increase are 0.18 mm and 0.094488 mm/year, respectively [26]. However, these values have several uncertainties due to the difficulty of direct measurement [35,37]. Therefore, in this scenario, different roughness growth rates were considered, as presented in Table 3, to evaluate different conditions of WDNs, where a higher or lower degree of functional deterioration of the pipes can be found.

2.4. Scenario for Leakage Rate Evaluation (SC3)

When assessing the impacts due to the rate of leakage in the WDN, two separate components are calculated. The first component is calculated using Equation (5), which is traditionally employed in orifice modeling. This formulation seeks to estimate the flow rate of leakages based on orifice conditions, taking into account the daily and seasonal pressure variations observed in WDNs.
q = C e h y
where:
  • q is the leakage flow [m3/s];
  • C e is the discharge coefficient [m3/s·m];
  • h is the pressure head on leakage [m];
  • y is the emission exponent.
The second component is calculated using Equation (6) proposed by [27]. In this equation, a minimum water loss present in every WDN is estimated. These are small leaks, such as those observed at household connections and pipe joints, that can be economically unfeasible to fix and/or too hard to identify. The formulation considers the length of the network and the number of consumers to estimate the minimum leakage values. Thus, this component will also increase with population growth.
q m i n = 54 + 2.7 N p L r
where:
  • q m i n is the total minimum leakage volume considered [m3/km];
  • N p is the number of consumers served;
  • L r is the total length of network pipes [km].
The leaks are modeled as the sum of the two components in order to calculate the total volume lost, taking into account both the pressure variations and the aging of the WDN. In addition, to evaluate the influence of the leakage rate in the WDN operation, the emission coefficient of Equation (5) is changed using different values, as presented in Table 4.

2.5. Pump Deterioration Scenario (SC4)

Pumps are subject to deterioration over their life cycle, especially if maintenance plans are not properly executed. Several factors, such as cavitation, corrosion, fouling, misalignment, and excessive vibration, can affect this deterioration process, reflecting on pump performance. In the cavitation phenomenon, steam bubbles appear due to the drop in water pressure below its vapor pressure. These bubbles collapse near the pump impeller blades, resulting in erosion and damage to the internal surface [38]. On the other hand, in situations of corrosion, degradation of the internal surface of the pump and other components is observed due to chemical reactions involving reagents present in the transported water. In addition, the precipitation of minerals and other impurities contained in the water can accumulate on the internal surface of the pump, obstructing the flow and reducing the efficiency of the system [39]. Misalignments between the pump and the motor are another source of concern, as they generate additional friction, resulting in a loss of efficiency for the assembly. These misalignments can also induce excessive vibrations, which in turn can lead to premature fatigue of components in the assembly [40]. In ref. [41], the authors suggest that the two main mechanisms that cause the decrease in pump performance are the development of internal flows due to mechanical clearances and the increase in pump internal surface roughness. To estimate the pump performance loss over its life cycle, the methodology proposed by [28] was used, in which the pump head is changed over time due to the two deterioration processes mentioned. Equation (7) presents the calculation for the corrected head at each considered time interval.
H P = ω 2 a Q + R ω 2 + b Q + R ω + c K T t a Q ω 2
where:
  • H P is the corrected pump head [m];
  • ω is the relative speed;
  • a ,   b ,   a n d   c are the pump curve coefficients;
  • Q is the pump flow [L/s];
  • R is the internal pump recirculation flow [L/s];
  • K T is the internal roughness increase rate [m·s2/L2·h];
  • t a is the cumulative operating time [h].
The pump’s internal recirculation flow (R) varies with the initial pump head and with the clearance in the wear ring of the pump’s rotor, according to Equation (8).
R = 2 γ D a H P 0.5 c a 3 75 × c a + L a c a 0 3 75 × c a 0 + L a
where:
  • γ equals 9.84 × 10−2 [m1.5/mm·s];
  • D a is the wear ring diameter [mm];
  • H P is the initial pump head [m];
  • c a is the wear ring clearance [mm];
  • L a is the axial wear ring length [mm];
  • c a 0 is the initial wear ring clearance [mm].
The pump impeller wear ring clearance increases with a deterioration parameter (β), according to Equation (9).
c a = c a 0 × l n β t a + e
where:
  • β is the wear ring deterioration parameter [h−1];
  • t a is the cumulative operating time [h].
The values used for K T and β rates are 1.0 × 10−9 m·s2/L2·h and 5 × 10−3 h−1, respectively [28]. In addition, in order to assess more and less intense deterioration, the K T and β parameters were varied, increasing them by up to 10 times the average value and reducing them by up to 10 times the average value. This variation implies that the deterioration of the pump is, respectively, 10 times more intense and 10 times less intense than the average value used. The values are shown in Table 5.

2.6. Ideal (CN1) and Real (CN2) Control Scenarios

The ideal scenario (CN1) is developed as a hypothetical situation in which the WDN does not deteriorate over time. However, population growth and the consequent increase in demand are considered, as this component is not controllable by WDN managers. Thus, the increase in consumption demand is proportional to the number of consumers.
In the real control scenario (CN2), the WDN is modeled in such a way that all the parameters discussed in this paper deteriorate over time simultaneously, representing what would be expected in a real case without interventions. This means that in this scenario, the population grows, the internal roughness of the pipes increases, the leakage rate increases, and the pump deteriorates over time. For all these parameters, the standard value is used.

3. Results

3.1. Increased Consumer Demand

Figure 2a presents the total annual costs for different population growth rates, as well as the total costs for the control scenarios. There is a direct relation between the increase in population growth rate and operational costs and critical pressure. When the population grows at a higher rate, total costs also increase, and the critical pressures during the operation of the WDN are lower, as illustrated in Figure 2b. It is important to note that all scenarios show higher costs than the ideal scenario (CN1), indicating, as expected, that increasing consumption leads to higher operating costs. However, it is interesting to note that, even in the case of higher population growth (SC1D5), the costs are lower than the real scenario (CN2), which shows that there are other relevant factors to be considered.
The difference in operating pressure for each growth percentage is significant, reaching values of approximately 15 m, as shown in Figure 2b. This indicates that uncertainties related to population growth may result in different operating modes of the WDN over its lifetime. However, even with a higher population growth rate, the pressures are within acceptable supply limits and are significantly better than in the real scenario (CN2).

3.2. Pipe Deterioration

Figure 3a presents the total annual costs for each roughness increase rate, along with the control scenarios. The overlapping of the curves for the different rates indicates that their variations do not have a direct impact on the operational costs of the network, since the hydraulic simulations are demand-driven. Thus, the pump station operates at the same flow and head in all cases, according to its characteristic curve. However, the increased roughness affects the network’s head loss curve and can compromise the operational efficiency of the entire system, supplying water to the consumer with poor quality (low pressure), which is in line with observations made by [21,22]. When comparing the different rates with the control scenarios, it is observed that the operating costs are about 5% higher than the ideal scenario and approximately 12% lower than the real scenario.
Figure 3b presents the critical pressures of the WDN each year over its life cycle. It is evident that the different rates of deterioration caused significant changes in the critical pressures observed in the network each year, validating the application of the methodology proposed by [26]. The higher the roughness increase rate, the lower the critical pressure. With the rates used, a difference of approximately 12 m is observed in the pressure at the end of the network’s life cycle, and this difference increases with each year of operation.
Regarding the control scenarios, it is noted that for all the rates considered, the pressures are always lower than the ideal scenario (CN1), but higher than the real scenario (CN2). Moreover, in scenarios SC2R4 and SC2R5, the pressure reaches values below 10 m, which can seriously compromise the water supply.

3.3. Increase in the Leakage Rate

Figure 4a presents the total annual costs for the scenario in which the changes in the emission coefficient are evaluated, along with the control scenarios. It can be observed that the operational costs are significantly impacted, registering the highest total values among all the scenarios evaluated in this study. This occurs due to the increase in the volume of water lost due to different emission rates and the increase in the consumer population according to [27], which, in turn, considerably alters the pump operating point due to the increase in flow in the network. The increase in the volume of water lost over time also corroborates the observations of [21], which showed that the flow of leaks tends to increase with the aging of the WDN.
When analyzing the variations of this scenario in relation to the control scenarios, it is noted that all scenarios presented costs that are between 12% and 30% higher than the ideal scenario (CN1), and the curves SC3V3, SC3V4, and SC3V5 registered costs higher than the real scenario (CN2). These results indicates that the water loss in the network is one of the main factors in terms of operational cost, as it impacts both the water treatment costs and energy costs.
The observed critical pressures present significant variations between each of the evaluated scenarios, as illustrated in Figure 4b. This pressure difference occurs due to the higher flow on the network in cases where the emission coefficients are higher. In all scenarios, a slight reduction in pressure is observed over time, a result of population growth and increased minimum leakage.
When compared with the control scenarios, it is noted that the pressures are always lower than the ideal scenario (CN1) and, at most times, higher than the real scenario (CN2).

3.4. Pump Deterioration

Figure 5a presents the total annual costs for the scenario in which different pump deterioration rates were considered, in addition to the control scenarios. It can be observed that, as the deterioration rate increases, there is a slight decrease in operating costs. This counterintuitive behavior is because, when implementing the pump deterioration model, the head decreases at each time interval, resulting in less power required for the same flow rate and, consequently, in lower energy consumption. However, it is important to check the critical pressures in the network to ensure water supply, since the hydraulic load supplied is lower. In addition, pump deterioration can lead to supply failures due to other mechanical problems caused by wear and tear, which are not considered in this work.
Figure 5b presents the critical pressures in the network for each pump deterioration rate, along with the control scenarios. The critical pressures decrease similarly with time in all scenarios, even for the highest deterioration rate. Therefore, considering that the observed changes in costs and pressures are negligible within the period considered, the impact of pump wear on the network will only be significant if a mechanical failure occurs that prevents its operation. Thus, the importance of a preventive maintenance schedule to avoid this scenario is highlighted [42].

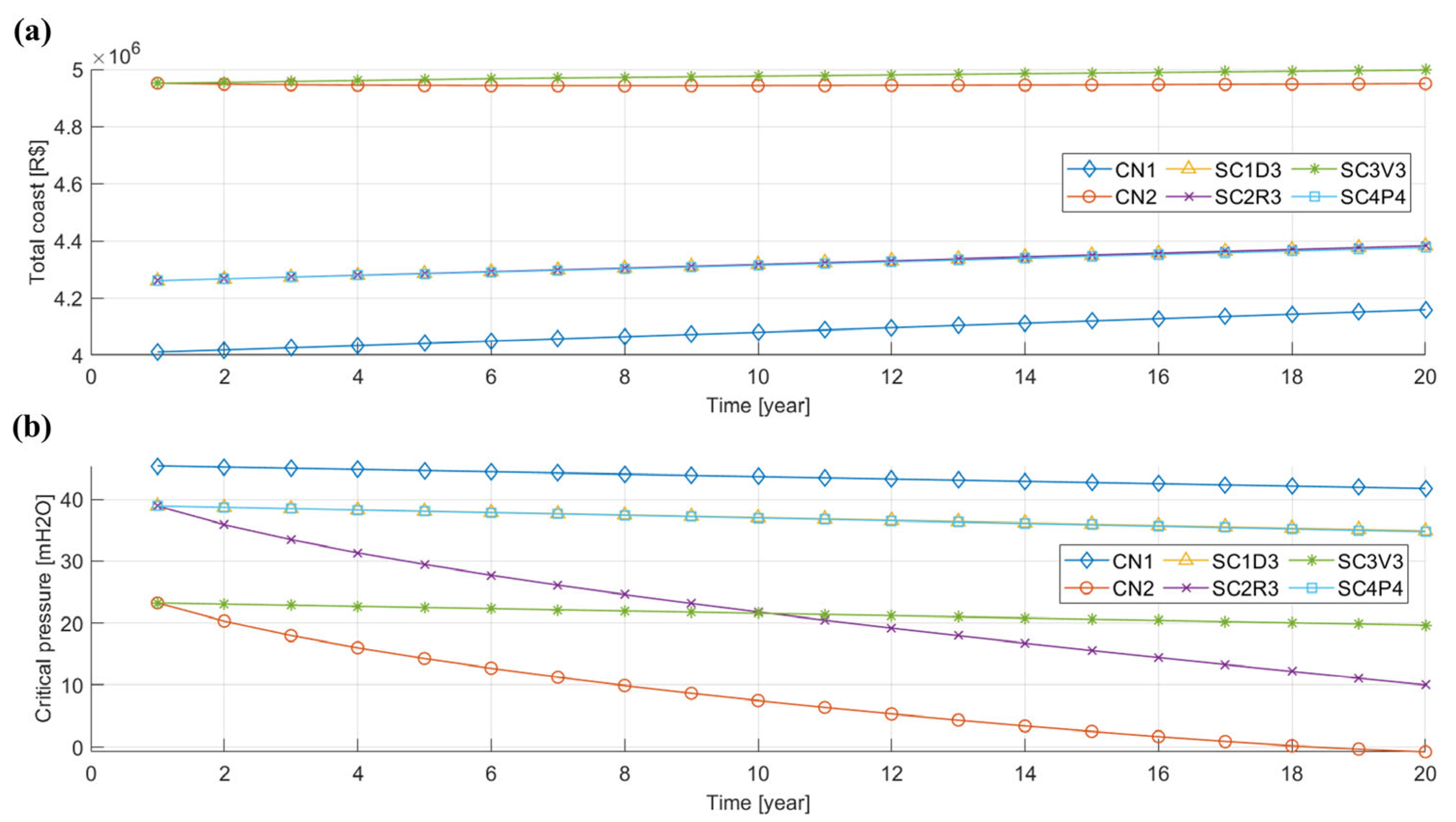
3.5. Evaluation between the Standard Scenarios

To perform a comparative evaluation between the proposed scenarios, Figure 6a presents the total annual costs, where the average values of the rates considered in each scenario studied were used. It is evident that the scenarios that take leaks into account (SC3V3 and CN2) have the highest operational costs. The loss of water due to leaks generates additional costs in production, besides significantly altering the pump’s operating point, making it less efficient for the network.
The total cost values in scenarios SC1D3, SC2R3, and SC4P4 are similar. However, it is worth noticing that deterioration of the pipes and pumps (SC2R3 and SC4P4) can generate additional costs due to age-related collapses, which are not considered in this study. The total costs of each scenario in the last year of its life cycle are shown in Table 6.
The total annual costs in the scenario that evaluates leakage (SC3V3) are approximately 14% higher compared to the scenarios that consider pipe roughness (SC2R3), population growth (SC1D3), and pump deterioration (SC4P4). Furthermore, they are 22% higher than the ideal scenario (CN1). These data emphasize the importance of interventions aimed at reducing water losses in the networks, corroborating those in study [43].
The critical pressures over the years are presented in Figure 6b. It can be observed that the scenarios that consider the increase in pipe roughness (SC2R3 and CN2) are the most hydraulically affected. In all scenarios, there is a decrease in pressure over time, but this decrease is more significant in the scenarios where the roughness of the pipes increases, which results in a higher head loss in the network.
In the real scenario (CN2), the combination of increased consumption demand, leaks, pipe roughness, and pump deterioration leads to the lowest critical pressures compared to all other scenarios.
When comparing scenarios SC2R3 and SC3V3, it can be seen that initially, the leaks in the network cause a more significant impact on the pressures. However, due to the growth rate of pipe roughness, this impact changes in the long term. In practical applications in real WDNs, the impact of the two changes occurs simultaneously, overlapping their effects and resulting in the values observed in the real scenario (CN2).

4. Conclusions

In this paper, a computational model is developed to simulate the deterioration of a WDN over its life cycle. The increase in water consumption demand, the functional deterioration of the pipes, the increase in the leakage rate, and the mechanical deterioration of the pump are considered. The model made it possible to individually change each parameter evaluated in this study, which allowed for the diversification of deterioration rates to account for uncertainties. Furthermore, through comparing each scenario with the control scenarios, it is possible to identify the most relevant parameters for possible interventions. From an economic point of view, leakage has been shown to be the main contributor to increase total costs. The increase in water demand due to leaks significantly affects the operating point of the pump station, resulting in an increase in energy consumption. In addition, a considerable portion of the produced water is wasted, generating additional costs for water treatment. From a hydraulic view, the operating pressures of the WDN are significantly affected by the increased roughness in the pipes. Considering that WDNs have a life cycle that often exceeds 20 years, the rehabilitation or replacement of pipe sections should be properly planned to ensure the efficient operation of the network. The results highlight the importance of monitoring the operation of the WDN to verify its efficiency and assist in decision making regarding the implementation of rehabilitation plans. Finally, given the relevance of leaks and pipe deterioration, it is recommended for future studies to implement different approaches to scale how these parameters deteriorate over time. In the case of leaks, it is important to consider the increase in orifice area and, consequently, the growth in leakage over time. Regarding pipe deterioration, a relevant point to be considered is the structural deterioration, which includes the possibility of total collapse of the pipe in certain situations.

Author Contributions

Conceptualization, L.A.E. and G.M.; Methodology, L.A.E. and G.M.; Software, L.A.E. and G.M.; Validation, L.A.E. and G.M.; Formal analysis, L.A.E., G.M. and B.B.; Writing—original draft preparation, L.A.E., G.M. and B.B.; Writing—review and editing, L.A.E., G.M. and B.B.; Supervision, G.M. and B.B. All authors have read and agreed to the published version of the manuscript.

Funding

The authors acknowledge the financial support from the National Council for Scientific and Technological Development (CNPq) through the Productivity Scholarship PQ-2 (CNPQ No. 305256/2021-1) and Universal Demand Project (CNPQ No. 404605/2021-4), and the Fundação de Amparo à Pesquisa do Estado de Minas Gerais (FAPEMIG) through the project APQ 01320 21.

Institutional Review Board Statement

Not applicable.

Informed Consent Statement

Not applicable.

Data Availability Statement

All data of the model used in this research can be requested to the corresponding author through the indicated e-mail.

Conflicts of Interest

The authors declare no conflict of interest.

References

  1. Meirelles, G.; Bretan, B.M. Uso racional de energia em sistemas de abastecimento de água. Rev. Univ. Fed. Minas Gerais 2019, 26, 108–135. [Google Scholar] [CrossRef]
  2. Wakeel, M.; Chen, B.; Hayat, T.; Alsaedi, A.; Ahmad, B. Energy consumption for water use cycles in different countries: A review. Appl. Energy 2016, 178, 868–885. [Google Scholar] [CrossRef]
  3. Yang, L.; Zeng, S.; Chen, J.; He, M.; Yang, W. Operational energy performance assessment system of municipal wastewater treatment plants. Water Sci. Technol. 2010, 62, 1361–1370. [Google Scholar] [CrossRef] [PubMed]
  4. Mala-Jetmarova, H.; Sultanova, N.; Savic, D. Lost in optimisation of water distribution systems? A literature review of system operation. Environ. Model. Softw. 2017, 93, 209–254. [Google Scholar] [CrossRef]
  5. Kapelan, Z.S.; Savic, D.A.; Walters, G.A. Multiobjective design of water distribution systems under uncertainty. Water Resour. Res. 2005, 41, WR003787. [Google Scholar] [CrossRef]
  6. Shokoohi, M.; Tabesh, M.; Nazif, S.; Dini, M. Water quality based multi-objective optimal design of water distribution systems. Water Resour. Manag. 2017, 31, 93–108. [Google Scholar] [CrossRef]
  7. Tanyimboh, T.T.; Kalungi, P. Multicriteria assessment of optimal design, rehabilitation and upgrading schemes for water distribution networks. Civ. Eng. Environ. Syst. 2009, 26, 117–140. [Google Scholar] [CrossRef]
  8. Farmani, R.; Walters, G.; Savic, D. Evolutionary multi-objective optimization of the design and operation of water distribution network: Total cost vs. reliability vs. water quality. J. Hydroinform. 2006, 8, 165–179. [Google Scholar] [CrossRef]
  9. Meirelles, G.; Melo Brentan, B.; Zuffo, A.C.; Luvizotto Junior, E. Dimensionamento de redes de distribuição de água por meio de análise multicriterial. Rev. DAE 2019, 221, 118–130. [Google Scholar] [CrossRef]
  10. Brentan, B.; Meirelles, G.; Luvizotto, E.; Izquierdo, J. Joint Operation of Pressure-Reducing Valves and Pumps for Improving the Efficiency of Water Distribution Systems. J. Water Resour. Plan. Manag. 2018, 144, 04018055. [Google Scholar] [CrossRef]
  11. Savic, D.A.; Walters, G.A.; Schwab, M. Multiobjective genetic algorithms for pump scheduling in water supply. In Evolutionary Computing; Corne, D., Shapiro, J.L., Eds.; Lecture Notes in Computer Science; Springer: Berlin/Heidelberg, Germany, 1997; Volume 1305, pp. 227–235. [Google Scholar] [CrossRef]
  12. Skworcow, P.; Paluszczyszyn, D.; Ulanicki, B.; Rudek, R.; Belrain, T. Optimisation of Pump and Valve Schedules in Complex Large-scale Water Distribution Systems Using GAMS Modelling Language. Procedia Eng. 2014, 70, 1566–1574. [Google Scholar] [CrossRef]
  13. Al-Ani, D.; Habibi, S. Optimal pump operation for water distribution systems using a new multi-agent Particle Swarm Optimization technique with EPANET. In Proceedings of the 2012 25th IEEE Canadian Conference on Electrical and Computer Engineering (CCECE), Montreal, QC, Canada, 29 April–2 May 2012; pp. 1–6. [Google Scholar] [CrossRef]
  14. Jowitt, P.W.; Germanopoulos, G. Optimal Pump Scheduling in Water-Supply Networks. J. Water Resour. Plan. Manag. 1992, 118, 406–422. [Google Scholar] [CrossRef]
  15. Zhuan, X.; Xia, X. Optimal operation scheduling of a pumping station with multiple pumps. Appl. Energy 2013, 104, 250–257. [Google Scholar] [CrossRef]
  16. Olszewski, P. Genetic optimization and experimental verification of complex parallel pumping station with centrifugal pumps. Appl. Energy 2016, 178, 527–539. [Google Scholar] [CrossRef]
  17. Zhao, F.; Feng, X. Evaluation strategy of particle swarm optimization and it’s application in pumping station system optimal operation. IOP Conf. Ser. Earth Environ. Sci. 2019, 240, 032034. [Google Scholar] [CrossRef]
  18. Malm, A.; Ljunggren, O.; Bergstedt, O.; Pettersson, T.J.; Morrison, G.M. Replacement predictions for drinking water networks through historical data. Water Res. 2012, 46, 2149–2158. [Google Scholar] [CrossRef]
  19. Burn, S.; Marlow, D.; Tran, D. Modelling asset lifetimes and their role in asset management. J. Water Supply Res. Technol.—AQUA 2010, 59, 362–377. [Google Scholar] [CrossRef]
  20. Trow, S.; Farley, M. Developing a strategy for leakage management in water distribution systems. Water Sci. Technol. Water Supply 2004, 4, 149–168. [Google Scholar] [CrossRef]
  21. Engelhardt, M.O.; Skipworth, P.J.; Savic, D.A.; Saul, A.J.; Walters, G.A. Rehabilitation strategies for water distribution networks: A literature review with a UK perspective. Urban Water 2000, 2, 153–170. [Google Scholar] [CrossRef]
  22. Lambert, A.O. International report: Water losses management and techniques. Water Sci. Technol. Water Supply 2002, 2, 1–20. [Google Scholar] [CrossRef]
  23. Geem, Z.W. Harmony search optimisation to the pump-included water distribution network design. Civ. Eng. Environ. Syst. 2009, 26, 211–221. [Google Scholar] [CrossRef]
  24. Wang, B.; Liang, Y.; Zhao, W.; Shen, Y.; Yuan, M.; Li, Z.; Guo, J. A continuous pump location optimization method for water pipe network design. Water Resour. Manag. 2021, 35, 447–464. [Google Scholar] [CrossRef]
  25. IBGE. Projeções da População: Brasil e Unidades da Federação, Revisão 2018, 2nd ed.; Séries Relatórios metodológicos; Instituto Brasileiro de Geografia e Estatística: Rio de Janeiro, Brazil, 2018; Volume 40.
  26. Sharp, W.W.; Walski, T.M. Predicting internal roughness in water mains. J. Am. Water Works Assoc. 1988, 80, 34–40. [Google Scholar] [CrossRef]
  27. Ahopelto, S.; Vahala, R. Cost–Benefit Analysis of Leakage Reduction Methods in Water Supply Networks. Water 2020, 12, 195. [Google Scholar] [CrossRef]
  28. Nault, J.; Papa, F. Lifecycle Assessment of a Water Distribution System Pump. J. Water Resour. Plan. Manag. 2015, 141, A4015004. [Google Scholar] [CrossRef]
  29. Rossman, L.A. EPANET 2 Users Manual; US EPA: Washington, DC, USA, 2000.
  30. Eliades, D.G.; Kyriakou, M.S.; Vrachimis, S.G.; Polycarpou, M. EPANET-MATLAB toolkit: An open-source software for interfacing EPANET with MATLAB. In Proceedings of the 14th International Conference on Computing and Control for the Water Industry (CCWI), Amsterdam, The Netherlands, 7–9 November 2016. [Google Scholar]
  31. Walski, T.M.; Brill, E.D.; Gessler, J.; Goulter, I.C.; Jeppson, R.M.; Lansey, K.; Lee, H.-L.; Liebman, J.C.; Mays, L.; Morgan, D.R.; et al. Battle of the Network Models: Epilogue. J. Water Resour. Plan. Manag. 1987, 113, 191–203. [Google Scholar] [CrossRef]
  32. Agencia Nacional de Energia Elétrica—ANEEL. Tarifa de Energia Elétrica. Available online: https://www.aneel.gov.br/tarifas (accessed on 25 July 2021).
  33. Sistema Nacional de Informações sobre Saneamento. Diagnóstico dos Serviços de Água e Esgotos 25; Ministério do Desenvolvimento Regional: Brasília, Brazil, 2019. Available online: http://www.snis.gov.br/diagnosticos (accessed on 18 July 2021).
  34. Da Silva Borges, A.; da Silva Marques, C.; de Brito, L.P.G.; da Silva, V.R.L.; de Martino Jannuzzi, P. Projeções Populacionais No Brasil: Subsídios Para Seu Aprimoramento; Brazilian Association of Population Studies: Campinas, Brazil, 2016; pp. 1–26. [Google Scholar]
  35. Abd Rahman, N.; Muhammad, N.S.; Abdullah, J.; Wan Mohtar, W.H.M. Model Performance Indicator of Aging Pipes in a Domestic Water Supply Distribution Network. Water 2019, 11, 2378. [Google Scholar] [CrossRef]
  36. Berardi, L.; Giustolisi, O.; Kapelan, Z.; Savic, D.A. Development of pipe deterioration models for water distribution systems using EPR. J. Hydroinform. 2008, 10, 113–126. [Google Scholar] [CrossRef]
  37. Kang, D.; Lansey, K. Demand and Roughness Estimation in Water Distribution Systems. J. Water Resour. Plan. Manag. 2011, 137, 20–30. [Google Scholar] [CrossRef]
  38. Binama, M.; Muhirwa, A.; Bisengimana, E. Cavitation effects in centrifugal pumps—A review. Int. J. Eng. Res. Appl. 2016, 6, 52–63. [Google Scholar]
  39. Patel, M.; Kumar, A.; Pardhi, B.; Pal, M. Abrasive, erosive and corrosive wear in slurry pumps—A review. Int. Res. J. Eng. Technol. 2020, 7, 2188–2195. [Google Scholar]
  40. Pham, H.T.; Weber, J. Theoretical and experimental analysis of the effect of misaligned ring gear on performance of internal gear motors/pumps. J. Mech. Sci. Technol. 2019, 33, 4049–4060. [Google Scholar] [CrossRef]
  41. Richardson, S.; Hodkiewicz, M. Modeling Tool to Support Budgeting and Planning Decisions for Pump Overhauls. J. Water Resour. Plan. Manag. 2011, 137, 327–334. [Google Scholar] [CrossRef]
  42. Song, D.; Lu, C.; Cheng, Y. A novel fault diagnosis for hydraulic pump based on EEMD-LTSA and PNN. Vibroeng. Procedia 2016, 10, 235–240. [Google Scholar]
  43. Osorio, D.A.J.; Lima, G.M.; Brentan, B.M. Hydraulic and economic analysis for rehabilitation of water distribution networks using pipes cleaning and replacement and leakage fixing. RBRH 2023, 28, e6. [Google Scholar] [CrossRef]
Figure 1. Anytown water distribution network [31].
Figure 1. Anytown water distribution network [31].
Sustainability 15 14529 g001
Figure 2. Results of different scenarios for consumption growth: (a) total costs and (b) critical pressures.
Figure 2. Results of different scenarios for consumption growth: (a) total costs and (b) critical pressures.
Sustainability 15 14529 g002
Figure 3. Results of the different scenarios of the internal roughness rate of the pipes: (a) total costs and (b) critical pressures.
Figure 3. Results of the different scenarios of the internal roughness rate of the pipes: (a) total costs and (b) critical pressures.
Sustainability 15 14529 g003
Figure 4. Results of different scenarios for leakage rate: (a) total costs and (b) critical pressures.
Figure 4. Results of different scenarios for leakage rate: (a) total costs and (b) critical pressures.
Sustainability 15 14529 g004
Figure 5. Results of the different scenarios for pump deterioration: (a) total costs and (b) critical pressures.
Figure 5. Results of the different scenarios for pump deterioration: (a) total costs and (b) critical pressures.
Sustainability 15 14529 g005
Figure 6. Results between the different average scenarios of the evaluated parameters: (a) total costs and (b) critical pressures.
Figure 6. Results between the different average scenarios of the evaluated parameters: (a) total costs and (b) critical pressures.
Sustainability 15 14529 g006
Table 2. Rates of change of population growth.
Table 2. Rates of change of population growth.
ScenarioSC1D1SC1D2SC1D3SC1D4SC1D5
Population 0.95 × Y 0.98 × Y 1.00 × Y 1.02 × Y 1.05 × Y
Table 3. Rates of increase in internal roughness of pipes.
Table 3. Rates of increase in internal roughness of pipes.
ScenarioSC2R1SC2R2SC2R3SC2R4SC2R5
Rate [mm/year]0.0472440.075590.0944880.1133860.141732
Table 4. Considered values in the emission coefficient.
Table 4. Considered values in the emission coefficient.
ScenarioSC3V1SC2V2SC2V3SC2V4SC2V5
Emission coefficient0.1250.3500.5000.6500.875
Table 5. Parameter change rates.
Table 5. Parameter change rates.
ScenarioSC4P1SC4P2SC4P3SC4P4SC4P5SC4P6SC4P7
K T × 10 9   [ m s 2 / L 2 h ] 0.10.20.51.02.05.010.0
β × 10 3 [ h 1 ] 0.51.02.55.010.025.050.0
Table 6. Total costs for the last year of the life cycle.
Table 6. Total costs for the last year of the life cycle.
ScenarioCN1CN2SC1D3SC2R3SC3V3SC4P4
Total cost × 106 [R$]4.1591304.9491604.3822504.3822504.9973004.375860
Disclaimer/Publisher’s Note: The statements, opinions and data contained in all publications are solely those of the individual author(s) and contributor(s) and not of MDPI and/or the editor(s). MDPI and/or the editor(s) disclaim responsibility for any injury to people or property resulting from any ideas, methods, instructions or products referred to in the content.

Share and Cite

MDPI and ACS Style

Evangelista, L.A.; Meirelles, G.; Brentan, B. Computational Model of Water Distribution Network Life Cycle Deterioration. Sustainability 2023, 15, 14529. https://doi.org/10.3390/su151914529

AMA Style

Evangelista LA, Meirelles G, Brentan B. Computational Model of Water Distribution Network Life Cycle Deterioration. Sustainability. 2023; 15(19):14529. https://doi.org/10.3390/su151914529

Chicago/Turabian Style

Evangelista, Leandro Alves, Gustavo Meirelles, and Bruno Brentan. 2023. "Computational Model of Water Distribution Network Life Cycle Deterioration" Sustainability 15, no. 19: 14529. https://doi.org/10.3390/su151914529

APA Style

Evangelista, L. A., Meirelles, G., & Brentan, B. (2023). Computational Model of Water Distribution Network Life Cycle Deterioration. Sustainability, 15(19), 14529. https://doi.org/10.3390/su151914529

Note that from the first issue of 2016, this journal uses article numbers instead of page numbers. See further details here.

Article Metrics

Back to TopTop