Analysis and Experiments on the Characteristics of Airflow and the Air Cleanliness Protection Region under Fan Filter Units in Cleanrooms
Abstract
1. Introduction
2. Experimental Setup
2.1. Estimated FFU Airflow Pattern
2.2. Experimental Cleanroom and Measurement Points
2.3. Instruments and Experimental Conditions
3. Results
3.1. Variation in Air Velocity along the Axial Direction
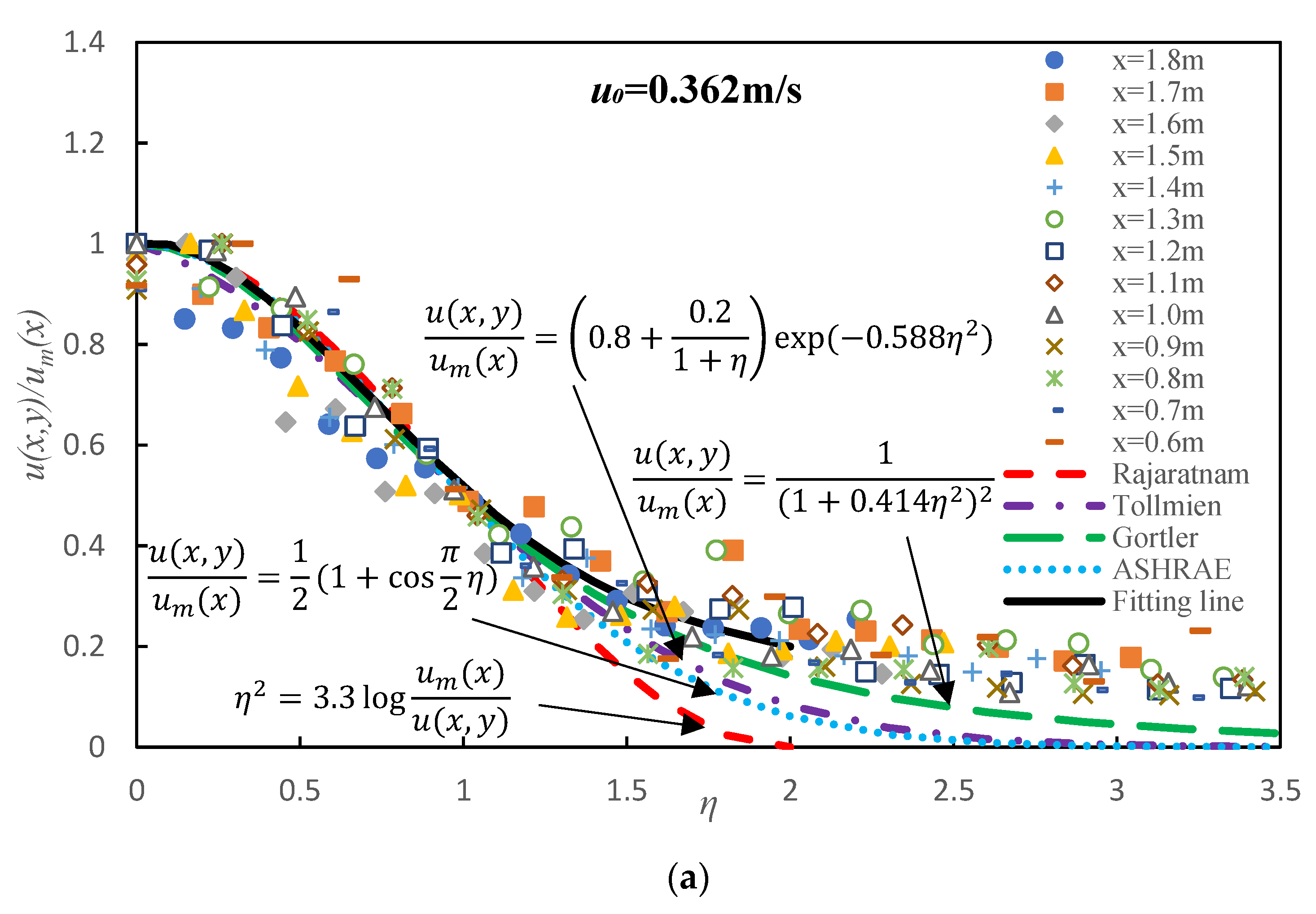
3.2. Lateral Air Velocity Distribution at Cross Sections
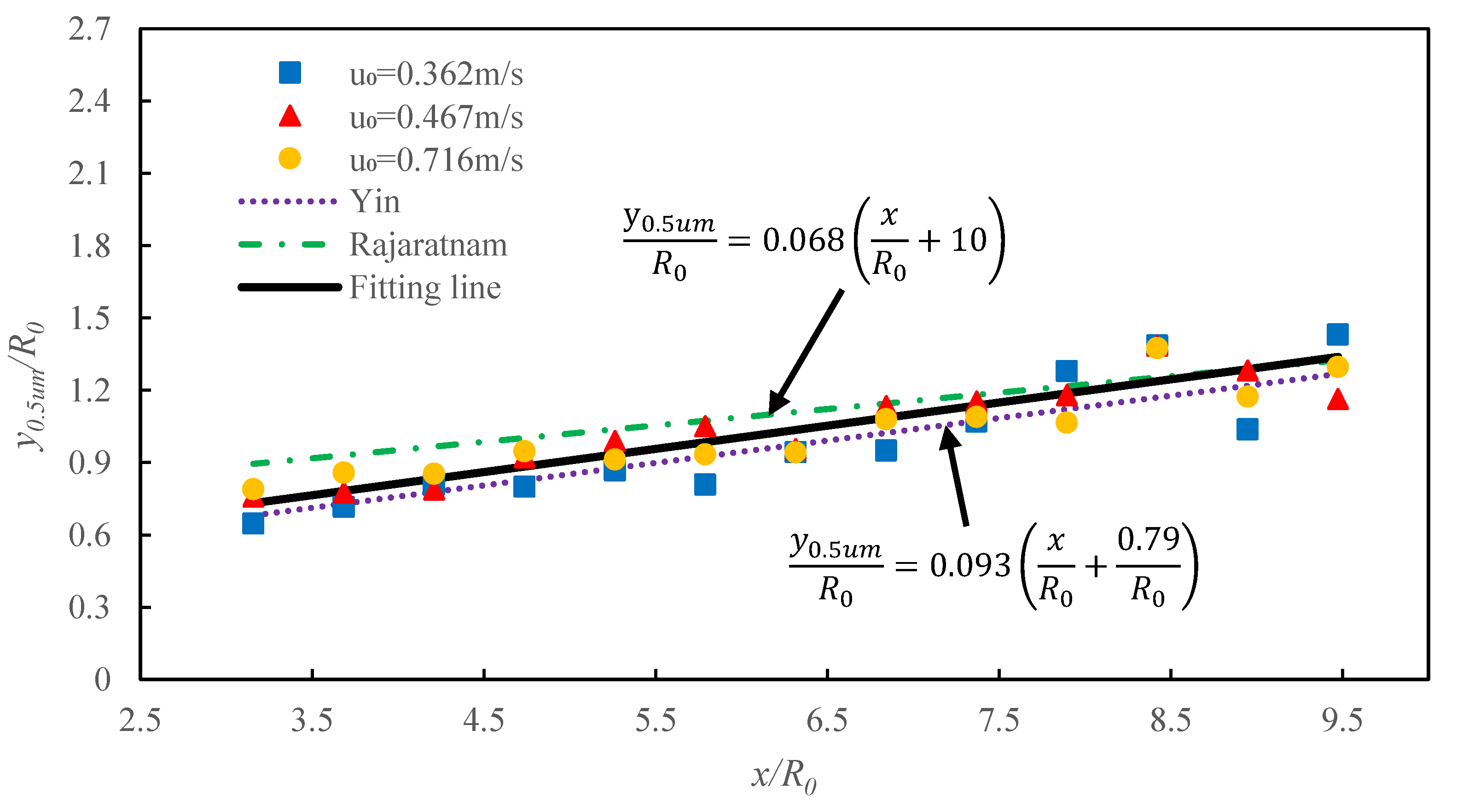
3.3. Width of Air Velocity Diffusion
3.4. Spread of FFU Clean Air along the Axial Direction
3.5. Spread of Clean Air from the FFU along the Lateral Direction
3.6. Width of the Clean Air Diffusion Boundary
4. Calculation Models for FFU Airflow Diffusion and Clean Air Spread
5. Integrated Effects of the FFU Outlet Size and Face Velocity on Clean Air Distribution
5.1. Velocity and Particulate Concentration Distribution Using the New Models
5.2. Boundaries of Clean Air Diffusion and the Cleanliness Protection Region
5.3. Methodology to Calculate the Required FFU Supply Volume for a Required Downstream Air Cleanliness Level with Known FFU Face Sizes
6. Summary and Conclusions
- (1)
- The air distribution provided by various supply air velocities is similar. Along the axial direction, the downstream air velocity of the FFU gradually attenuates with the increase in axial distance. The increase in supply air face velocity can decrease the downstream particle concentration significantly. When the supply air face velocity was increased by 10%, the particle concentration along the axial direction was reduced by about 21~34%. Since the FFU air velocity (less than 1 m/s) is generally much lower than the velocity range suitable for traditional jet empirical expression, there was a noticeable gap between the measured value and the predicted value using the existing empirical expression. At cross-sections downstream of the FFU, the influence of FFU velocity progressively weakened with the increase in lateral distance, and the particle concentration gradually approached the surrounding ambient concentration. The airstream velocity and particle concentration were close to the predicted values using the existing jet air expressions.
- (2)
- Using the established new calculation models, the supply air volume that satisfies cleanliness requirements was studied under different supply outlet sizes and velocities. This paper used the common definitions of airflow velocity diffusion boundary (lateral distance when the axial velocity reaches 50% of the FFU face velocity) and air cleanliness protection range boundary (lateral distance when the particulate concentration under the FFU reaches or exceeds 50% of the ambient particulate concentration). For the axial position at 0.8 m from the floor, if the particle concentration needs to be reduced to 30% of the surrounding ambient concentration, the three sizes of supply air outlets (0.38 m × 0.38 m, 0.5 m × 0.5 m, and 0.61 m × 0.61 m) required the respective airflow volumes of 334.2 m3/h, 437.7 m3/h, and 554.5 m3/h. In addition, the total width of their protection range increased from 0.4 m, 0.44 m, to 0.48 m, respectively.
- (3)
- In order to properly evaluate the particle concentration distribution and its variations under the FFU airstream, it is more effective to use the cleanliness protection range boundary than the air velocity diffusion boundary.
Author Contributions
Funding
Institutional Review Board Statement
Informed Consent Statement
Data Availability Statement
Conflicts of Interest
Nomenclature
| A | coefficient in expression (4) |
| B | exponent in expression (4) |
| c(x,y) | local particulate concentration at a lateral distance y from the centerline of an FFU |
| c0 | air particulate concentration in the FFU discharge air |
| ce | particulate concentration in the surrounding environment |
| cm(x) | particulate concentration variable along axial distance |
| R0 | half width of the FFU face surface |
| u(x,y) | local velocity at an axial/centerline distance x downstream of the FFU and a lateral distance y from the FFU centerline |
| u0 | FFU face velocity |
| um(x) | local velocity at the vertical distance x from the FFU |
| x | axial (vertical) distance from the FFU |
| y | radial (horizontal) distance at the cross-section from the vertical axis |
| y0.1u0 | radial distance y where the velocity is 10% of the face velocity u0 is defined as y0.1u0 |
| y0.5ce | half protection range, the radial distance y where the downstream particulate concentration is 50% of the ambient particulate concentration ce |
| y0.5um | lateral distance y where the velocity is 50% of um |
| y0.9ce | lateral distance y where downstream particulate concentration at the cross-section reaches 90% of the ambient particulate concentration ce |
| yce | lateral distance y where the particulate concentration is equal to the ambient particulate concentration ce |
| η | dimensionless lateral distance y/y0.5um |
References
- Naughton, P. History of Cleanrooms. ASHRAE J. 2019, 61, 38–54. Available online: www.ashrae.org (accessed on 17 September 2021).
- Whyte, W. Cleanroom Technology; John Wiley & Sons, Ltd.: Chichester, UK, 2001. [Google Scholar] [CrossRef]
- Kircher, K.; Shi, X.; Patil, S.; Zhang, K.M. Cleanroom energy efficiency strategies: Modeling and simulation. Energy Build. 2010, 42, 282–289. [Google Scholar] [CrossRef]
- Liu, J.; Zhang, L.; Yang, J.; Chen, Y.; Zhang, X. Study on pressure control and energy saving of cleanroom in purification air conditioning system. Energy Build. 2021, 253, 111502. [Google Scholar] [CrossRef]
- Ma, Z.; Liu, X.; Zhang, T. Measurement and optimization on the energy consumption of fans in semiconductor cleanrooms. Build. Environ. 2021, 197, 107842. [Google Scholar] [CrossRef]
- Fedotov, A. Saving energy in cleanrooms. Cleanroom Technol. 2014, 22, 14–18. [Google Scholar]
- Whyte, W.; Lenegan, N.; Eaton, T. Calculation of airborne cleanliness and air supply rate for non-unidirectional airflow cleanrooms. Eur. J. Parenter. Pharm. Sci. 2016, 21, 79–88. [Google Scholar]
- Zhou, L.; Sun, W.; Wu, C.; Li, H.; Zou, Z.; Huang, C. General particle concentration model and experimental validation for cleanrooms. Sādhanā 2020, 45, 198. [Google Scholar] [CrossRef]
- Sun, W.; Mitchell, J.; Flyzik, K.; Hu, S.C.; Liu, J.; Vijayakumar, R.; Fukuda, H. Development of cleanroom required airflow rate model based on establishment of theoretical basis and lab validation. ASHRAE Trans. Am. Soc. Heat. Refrig. Air-Cond. Eng. (ASHRAE) 2010, 116, 87–97. [Google Scholar]
- Whyte, W.; Whyte, W.; Eaton, T.; Lenegan, N. Calculation of air supply rates for nonunidirectional airflow cleanrooms. Eur. J. Parenter. Pharm. Sci. 2014, 19, 121–129. [Google Scholar]
- Whyte, W.; Lenegan, N.; Eaton, T. Equations for predicting airborne cleanliness in non-unidirectional airflow cleanrooms. Eur. J. Parenter. Pharm. Sci. 2016, 21, 38–43. [Google Scholar]
- Goldstein, K.; Divelbiss, J. Design of Cleanroom Airflows for Particle Control Using CFD Analysis: Case Studies. In Particles in Gases and Liquids 3; Springer: Boston, MA, USA, 1993; pp. 171–187. [Google Scholar] [CrossRef]
- Whyte, W.; Hejab, M.; Whyte, W.M.; Green, G. Experimental and CFD airflow studies of a cleanroom with special respect to air supply inlets. Int. J. Vent. 2010, 9, 197–209. [Google Scholar] [CrossRef]
- Loomans, M.G.L.C.; Molenaar, P.C.A.; Kort, H.S.M.; Joosten, P.H.J. Energy demand reduction in pharmaceutical cleanrooms through optimization of ventilation. Energy Build. 2019, 202, 109346. [Google Scholar] [CrossRef]
- Zhao, J.; Shao, X.; Li, X.; Liang, C.; Wang, H.; Xu, W. Theoretical expression for clean air volume in cleanrooms with non-uniform environments. Build. Environ. 2021, 204, 108168. [Google Scholar] [CrossRef]
- ISO 14644-16; Cleanrooms and Associated Controlled Environments—Part 16: Energy Efficiency in Cleanrooms and Separative Devices. ISO: Genevan, Switzerland, 2019.
- Ma, R.H. Study on simulation of airflow within the enclosure in the semiconductor factory cleanroom. Aerosol Sci. Technol. 2006, 40, 282–292. [Google Scholar] [CrossRef][Green Version]
- Eslami, J.; Abbassi, A.; Saidi, M.H.; Bahrami, M. Effect of supply/exhaust diffuser configurations on the contaminant distribution in ultra clean environments: Eulerian and Lagrangian approaches. Energy Build. 2016, 127, 648–657. [Google Scholar] [CrossRef]
- Abramovich, G.N. The Theory of Turbulent Jets; The MIT Press: Cambridge, MA, USA, 2003. [Google Scholar] [CrossRef]
- Rajaratnam, N. Turbulent Jets; Elsevier: Amsterdam, The Netherlands, 1976. [Google Scholar]
- Zou, Y. Velocity decay in air jets for HVAC applications. ASHRAE Trans. 2000, 106, 53. [Google Scholar]
- Ball, C.G.; Fellouah, H.; Pollard, A. The flow field in turbulent round free jets. Prog. Aerosp. Sci. 2012, 50, 1–26. [Google Scholar] [CrossRef]
- Yao, S.; Guo, Y.; Jiang, N.; Liu, J. An experimental study of a turbulent jet impinging on a flat surface. Int. J. Heat Mass Transf. 2015, 83, 820–832. [Google Scholar] [CrossRef]
- Dai, S.; Sun, H.; Liu, W.; Guo, Y.; Jiang, N.; Liu, J. Experimental study on characteristics of the jet flow from an aircraft gasper. Build. Environ. 2015, 93, 278–284. [Google Scholar] [CrossRef]
- Standard, A. ASHRAE Handbook Fundamentals 2017; Ashrae: Peachtree Corners, GA, USA, 2017; pp. 20.2–20.8. [Google Scholar]
- Yin, H.; Li, A.; Liu, Z.; Sun, Y.; Chen, T. Experimental study on airflow characteristics of a square column attached ventilation mode. Build. Environ. 2016, 109, 112–120. [Google Scholar] [CrossRef]
- Yin, H. Study on Design Procedures of Air Distribution by Air Curtain Ventilation with a Linear Slot Diffuser. Ph.D. Thesis, Xi’an University of Architecture and Technology, Xi’an, China, 2013. [Google Scholar]
- Laban, A.; Aleyasin, S.S.; Tachie, M.F.; Koupriyanov, M. Experimental investigation of nozzle spacing effects on characteristics of round twin free jets. J. Fluids Eng. Trans. ASME 2019, 141, 071201. [Google Scholar] [CrossRef]
- Tollmien, W. Berechnung turbulenter Ausbreitungsvorgänge. ZAMM—J. Appl. Math. Mech./Z. Für Angew. Math. Mech. 1926, 6. [Google Scholar] [CrossRef]
- Görtler, H. Berechnung von Aufgaben der freien Turbulenz auf Grund eines neuen Näherungsansatzes. ZAMM—J. Appl. Math. Mech./Z. Für Angew. Math. Mech. 1942, 22, 244–254. [Google Scholar] [CrossRef]















| Parameter | Unit | Case 1 | Case 2 | Case 3 | Case 4 |
|---|---|---|---|---|---|
| Average face velocity | m/s | 0.281 | 0.362 | 0.467 | 0.716 |
| Supply air volume | m3/h | 146 | 188 | 243 | 372 |
| Reynolds number | - | 6801 | 8761 | 11,303 | 17,330 |
| Test Case | Rajaratnam | Abramovich | ASHRAE | Fitted Expression (1) |
|---|---|---|---|---|
| u0 = 0.362 m/s | 23.7% | 27.3% | 11.1% | 9.4% |
| u0 = 0.467 m/s | 13.5% | 16.6% | 5.9% | 5.0% |
| u0 = 0.716 m/s | 9.3% | 10.4% | 9.2% | 8.1% |
| Average | 15.5% | 18.1% | 8.7% | 7.5% |
| Test Case | Rajaratnam | ASHRAE | Tollmien | Gortler | Fitted Expression (2) |
|---|---|---|---|---|---|
| u0 = 0.362 m/s | 27.3% | 18.4% | 16.0% | 12.2% | 11.7% |
| u0 = 0.467 m/s | 30.7% | 21.5% | 19.2% | 15.4% | 14.8% |
| u0 = 0.716 m/s | 26.9% | 24.2% | 15.1% | 10.7% | 11.3% |
| Average | 28.3% | 21.4% | 16.7% | 12.8% | 12.6% |
| Test Case | Rajaratnam | Yin | Fitted Expression (3) |
|---|---|---|---|
| u0 = 0.362 m/s | 20.0% | 7.5% | 11.1% |
| u0 = 0.467 m/s | 9.4% | 8.0% | 5.2% |
| u0 = 0.716 m/s | 10.5% | 7.0% | 6.3% |
| Average | 13.3% | 7.5% | 7.6% |
| Test Case | u0 = 0.281 m/s | u0 = 0.362 m/s | u0 = 0.467 m/s | u0 = 0.716 m/s |
|---|---|---|---|---|
| MAPE | 17.3% | 18.6% | 11.8% | 13.6% |
| Test Case | u0 = 0.281 m/s | u0 = 0.362 m/s | u0 = 0.467 m/s | u0 = 0.716 m/s |
|---|---|---|---|---|
| MAPE | 12.6% | 6.5% | 5.5% | 8.8% |
| Test Case | u0 = 0.281 m/s | u0 = 0.362 m/s | u0 = 0.467 m/s | u0 = 0.716 m/s |
|---|---|---|---|---|
| Air velocity (η ≤ 2) | - | 13.2% | 10.3% | 11.3% |
| Particulate concentration | 8.6% | 11.9% | 11.0% | 15.2% |
Disclaimer/Publisher’s Note: The statements, opinions and data contained in all publications are solely those of the individual author(s) and contributor(s) and not of MDPI and/or the editor(s). MDPI and/or the editor(s) disclaim responsibility for any injury to people or property resulting from any ideas, methods, instructions or products referred to in the content. |
© 2023 by the authors. Licensee MDPI, Basel, Switzerland. This article is an open access article distributed under the terms and conditions of the Creative Commons Attribution (CC BY) license (https://creativecommons.org/licenses/by/4.0/).
Share and Cite
Li, H.; Huang, C.; Yi, W.; Li, C. Analysis and Experiments on the Characteristics of Airflow and the Air Cleanliness Protection Region under Fan Filter Units in Cleanrooms. Sustainability 2023, 15, 13268. https://doi.org/10.3390/su151713268
Li H, Huang C, Yi W, Li C. Analysis and Experiments on the Characteristics of Airflow and the Air Cleanliness Protection Region under Fan Filter Units in Cleanrooms. Sustainability. 2023; 15(17):13268. https://doi.org/10.3390/su151713268
Chicago/Turabian StyleLi, Hao, Chen Huang, Weiqi Yi, and Chao Li. 2023. "Analysis and Experiments on the Characteristics of Airflow and the Air Cleanliness Protection Region under Fan Filter Units in Cleanrooms" Sustainability 15, no. 17: 13268. https://doi.org/10.3390/su151713268
APA StyleLi, H., Huang, C., Yi, W., & Li, C. (2023). Analysis and Experiments on the Characteristics of Airflow and the Air Cleanliness Protection Region under Fan Filter Units in Cleanrooms. Sustainability, 15(17), 13268. https://doi.org/10.3390/su151713268

