Experiment Study of Stemming Length and Stemming Material Impact on Rock Fragmentation and Dynamic Strain
Abstract
:1. Introduction
2. Experimental Design and Method
2.1. Experimental Design
2.1.1. Mortar Test Block and Explosive Properties
2.1.2. Experimental Design
2.2. Evaluation Method
2.2.1. Fragment Size Analysis Method
- Total Weight
- 2.
- Mean Fragment Size
- 3.
- Fractal Dimension
2.2.2. Blasting Crater Size and Recoil Range
- Blasting Crater Area and Mean Radius
- 2.
- Recoil Range
2.2.3. Fragmentation Energy Consumption Utilization Rate
3. Experimental Results and Analysis
3.1. The Stemming Material Is Clay, Analyze the Stemming Length
3.1.1. Fragments, Crater Size, and Recoil Area
3.1.2. Dynamic Strain
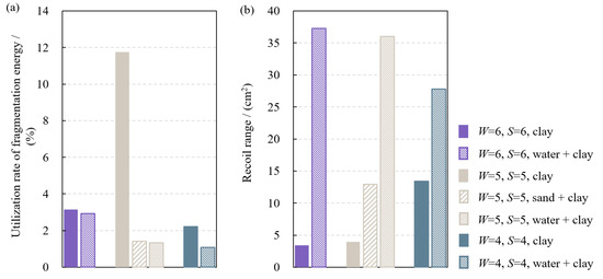
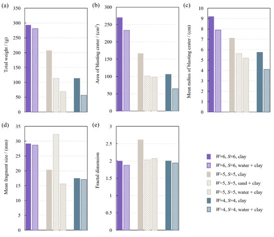
3.2. The Stemming Length Is the Same, Analyze the Stemming Material
3.2.1. Fragments, Crater Size, and Recoil Area
3.2.2. Dynamic Strain
4. Discussion
4.1. Characteristic Impedance of Stemming Materials
4.2. Impact of Burden
4.3. Applications
5. Conclusions
Author Contributions
Funding
Institutional Review Board Statement
Informed Consent Statement
Data Availability Statement
Acknowledgments
Conflicts of Interest
References
- Peng, J.; Zhang, F.; Du, C.; Yang, X. Effects of Confining Pressure on Crater Blasting in Rock-like Materials under Electric Explosion Load. Int. J. Impact Eng. 2020, 139, 103534. [Google Scholar] [CrossRef]
- Sanchidrián, J.A.; Segarra, P.; López, L.M. Energy Components in Rock Blasting. Int. J. Rock Min. Sci. 2007, 44, 130–147. [Google Scholar] [CrossRef]
- Ouchterlony, F.; Nyberg, U.; Olsson, M.; Bergqvist, I.; Granlund, L.; Grind, H. Where Does the Explosive Energy in Rock Blasting Rounds Go? Sci. Technol. Energ. 2004, 65, 53–64. [Google Scholar]
- Oates, T.E.; Spiteri, W. Stemming and Best Practice in the Mining Industry: A Literature Review. J. S. Afr. Inst. Min. Metall. 2021, 121, 1–11. [Google Scholar] [CrossRef]
- Zhang, Z. Rock Fracture and Blasting: Theory and Applications; Butterworth-Heinemann: Oxford, UK; Elsevier: Oxford, UK, 2016; ISBN 978-0-12-802688-5. [Google Scholar]
- Ur Rehman, A.; Emad, M.Z.; Khan, M.U. Improving the Environmental and Economic Aspects of Blasting in Surface Mining by Using Stemming Plugs. J. S. Afr. Inst. Min. Metall. 2021, 121, 369–377. [Google Scholar] [CrossRef]
- Boshoff, D.; Webber-Youngman, R.C.W. Testing Stemming Performance, Possible or Not? J. South. Afr. Inst. Min. Metall. 2011, 111, 871–874. [Google Scholar]
- Zhang, Z.; Hou, D.; Guo, Z.; He, Z. Laboratory Experiment of Stemming Impact on Rock Fragmentation by a High Explosive. Tunn. Undergr. Space Technol. 2020, 97, 103257. [Google Scholar] [CrossRef]
- Fourney, W.L.; Barker, D.B.; Holloway, D.C. Model Studies of Explosive Well Stimulation Techniques. Int. J. Rock Mech. Min. Sci. Geomech. Abstr. 1981, 18, 113–127. [Google Scholar] [CrossRef]
- Choudhary, B.S.; Rai, P. Stemming Plug and Its Effect on Fragmentation and Muckpile Shape Parameters. Int. J. Min. Miner. Eng. 2013, 4, 296–311. [Google Scholar] [CrossRef]
- Cui, Z.; Yuan, L.; Yan, C. Water–Silt Composite Blasting for Tunneling. Int. J. Rock Min. Sci. 2010, 47, 1034–1037. [Google Scholar] [CrossRef]
- Hong, Z.; Tao, M.; Cui, X.; Wu, C.; Zhao, M. Experimental and Numerical Studies of the Blast-Induced Overbreak and Underbreak in Underground Roadways. Undergr. Space 2023, 8, 61–79. [Google Scholar] [CrossRef]
- Kojovic, T. Influence of Aggregate Stemming in Blasting on the SAG Mill Performance. Miner. Eng. 2005, 18, 1398–1404. [Google Scholar] [CrossRef]
- Dally, J.W.; Fourney, W.L.; Holloway, D.C. Influence of Containment of the Bore Hole Pressures on Explosive Induced Fracture. Int. J. Rock Mech. Min. Sci. Geomech. Abstr. 1975, 12, 5–12. [Google Scholar] [CrossRef]
- Choudhary, B.S.; Agrawal, A. Minimization of Blast-Induced Hazards and Efficient Utilization of Blast Energy by Implementing a Novel Stemming Plug System for Eco-Friendly Blasting in Open Pit Mines. Nat. Resour. Res. 2022, 31, 3393–3410. [Google Scholar] [CrossRef]
- Sari, M.; Ghasemi, E.; Ataei, M. Stochastic Modeling Approach for the Evaluation of Backbreak Due to Blasting Operations in Open Pit Mines. Rock Mech. Rock Eng. 2014, 47, 771–783. [Google Scholar] [CrossRef]
- Chen, M.; Ye, Z.; Wei, D.; Lu, W.; Yan, P. The Movement Process and Length Optimization of Deep-Hole Blasting Stemming Structure. Int. J. Rock Min. Sci. 2021, 146, 104836. [Google Scholar] [CrossRef]
- Cevizci, H.; Ozkahraman, H.T. The Effect of Blast Hole Stemming Length to Rockpile Fragmentation at Limestone Quarries. Int. J. Rock Min. Sci. 2012, 53, 32–35. [Google Scholar] [CrossRef]
- Mpofu, M.; Ngobese, S.; Maphalala, B.; Roberts, D.; Khan, S. The Influence of Stemming Practice on Ground Vibration and Air Blast. J. S. Afr. Inst. Min. Metall. 2021, 121, 1–10. [Google Scholar] [CrossRef]
- Shahrin, M.I.; Abdullah, R.A.; Jeon, S.; Jeon, B.; Sa’ari, R.; Alel, M.N.A. Numerical Simulation on the Effect of Stemming to Burden Ratio on Rock Fragmentation by Blasting. In Proceedings of the International Symposium on Rock Engineering for Innovative Future, Okinawa, Japan, 1–4 December 2019. [Google Scholar]
- Prasad, S.; Choudhary, B.S.; Mishra, A.K. Effect of Stemming to Burden Ratio and Powder Factor on Blast Induced Rock Fragmentation—A Case Study. IOP Conf. Ser. Mater. Sci. Eng. 2017, 225, 012191. [Google Scholar] [CrossRef]
- Zhang, Z.; Qiao, Y.; Chi, L.; Hou, D. Experimental Study of Rock Fragmentation under Different Stemming Conditions in Model Blasting. Int. J. Rock Min. Sci. 2021, 143, 104797. [Google Scholar] [CrossRef]
- Sharma, S.K.; Rai, P. Investigation of Crushed Aggregate as Stemming Material in Bench Blasting: A Case Study. Geotech. Geol. Eng. 2015, 33, 1449–1463. [Google Scholar] [CrossRef]
- Cevizci, H. A Newly Developed Plaster Stemming Method for Blasting. J. S. Afr. Inst. Min. Metall. 2012, 112, 8. [Google Scholar]
- Cevizci, H. Comparison of the Efficiency of Plaster Stemming and Drill Cuttings Stemming by Numerical Simulation. J. S. Afr. Inst. Min. Metall. 2019, 119, 465–470. [Google Scholar] [CrossRef]
- Cevizci, H. Fragmentation, Cost and Environmental Effects of Plaster Stemming Method for Blasting at A Basalt Quarry. Arch. Min. Sci. 2014, 59, 835–846. [Google Scholar] [CrossRef]
- Wang, H.; Wang, Z.; Wang, J.; Wang, S.; Wang, H.; Yin, Y.; Li, F. Effect of Confining Pressure on Damage Accumulation of Rock under Repeated Blast Loading. Int. J. Impact Eng. 2021, 156, 103961. [Google Scholar] [CrossRef]
- Pu, C.; Yang, X.; Zhao, H.; Chen, Z.; Xiao, D. Numerical Investigation on Crack Propagation and Coalescence Induced by Dual-Borehole Blasting. Int. J. Impact Eng. 2021, 157, 103983. [Google Scholar] [CrossRef]
- Zhang, Z.; Hou, D.; Guo, Z.; He, Z.; Zhang, Q. Experimental Study of Surface Constraint Effect on Rock Fragmentation by Blasting. J. Rock Min. Sci. 2020, 128, 104278. [Google Scholar] [CrossRef]
- Chi, L.; Zhang, Z.; Aalberg, A.; Yang, J.; Li, C. Fracture Processes in Granite Blocks Under Blast Loading. Rock Mech. Rock Eng. 2019, 52, 853–868. [Google Scholar] [CrossRef]
- Yang, R.; Ding, C.; Yang, L.; Lei, Z.; Zheng, C. Study of Decoupled Charge Blasting Based on High-Speed Digital Image Correlation Method. Tunn. Undergr. Space Technol. 2019, 83, 51–59. [Google Scholar] [CrossRef]
- Tilert, D.; Svedbjörk, G.; Ouchterlony, F.; Nilsson, B.; Temun, A.; Mattsson, L. Measurement of Explosively Induced Movement and Spalling of Granite Model Blocks. Int. J. Impact Eng. 2007, 34, 1936–1952. [Google Scholar] [CrossRef]
- Johansson, D.; Ouchterlony, F. Shock Wave Interactions in Rock Blasting: The Use of Short Delays to Improve Fragmentation in Model-Scale. Rock Mech. Rock Eng. 2013, 46, 1–18. [Google Scholar] [CrossRef]
- Fourney, W.L.; Bihr, S.; Leiste, U. Borehole Pressures in an Air Decked Situation. Fragblast 2006, 10, 47–60. [Google Scholar] [CrossRef]
- Yan, P.; Zhou, W.; Lu, W.; Chen, M.; Zhou, C. Simulation of Bench Blasting Considering Fragmentation Size Distribution. Int. J. Impact Eng. 2016, 90, 132–145. [Google Scholar] [CrossRef]
- Ma, J.; Zhao, J.; Lin, Y.; Liang, J.; Chen, J.; Chen, W.; Huang, L. Study on Tamped Spherical Detonation-Induced Dynamic Responses of Rock and PMMA Through Mini-Chemical Explosion Tests and a Four-Dimensional Lattice Spring Model. Rock Mech. Rock Eng. 2023, 1–19. [Google Scholar] [CrossRef]
- Ma, J.; Chen, J.; Chen, W.; Huang, L. A Coupled Thermal-Elastic-Plastic-Damage Model for Concrete Subjected to Dynamic Loading. Int. J. Plasticity 2022, 153, 103279. [Google Scholar] [CrossRef]
- Ma, J.; Chen, J.; Guan, J.; Lin, Y.; Chen, W.; Huang, L. Implementation of Johnson-Holmquist-Beissel Model in Four-Dimensional Lattice Spring Model and Its Application in Projectile Penetration. Int. J. Impact Eng. 2022, 170, 104340. [Google Scholar] [CrossRef]
- Qiu, X.; Shi, X.; Zhang, S.; Liu, B.; Zhou, J. Experimental Study on the Blasting Performance of Water-Soil Composite Stemming in Underground Mines. Adv. Mater. Sci. Eng. 2018, 2018, 3523509. [Google Scholar] [CrossRef]
- Chen, H.; Qiu, X.; Shi, X.; Zhang, J.; Huo, X.; Li, D. Experimental Study on Fracturing Characteristics of Double-Hole Blasting Under Static Stresses. Front. Earth Sci. 2022, 9, 829258. [Google Scholar] [CrossRef]
- Chi, Y.; Zhang, Z.; Aalberg, A.; Yang, J.; Li, C. Measurement of Shock Pressure and Shock-Wave Attenuation near a Blast Hole in Rock. Int. J. Impact Eng. 2019, 125, 27–38. [Google Scholar] [CrossRef]
- He, C.; Yang, J.; Yu, Q. Laboratory Study on the Dynamic Response of Rock under Blast Loading with Active Confining Pressure. Int. J. Rock Mech. Min. 2018, 102, 101–108. [Google Scholar] [CrossRef]
- Chi, L.; Wang, C.; Zhang, Z.; Xu, X.; Yang, J. Experimental Investigation of Decoupled Charge Effect on Rock Fragmentation by Blasting. Rock Mech. Rock Eng. 2022, 55, 3791–3806. [Google Scholar] [CrossRef]
- Zhang, F.; Yan, G.; Peng, J.; Qiu, Z.; Dai, X. Experimental Study on Crack Formation in Sandstone during Crater Blasting under High Geological Stress. Bull. Eng. Geol. Environ. 2020, 79, 1323–1332. [Google Scholar] [CrossRef]
- Li, X. Drilling and Blasting Engineering; Cent South Univ. Press: Changsha, China, 2011. (In Chinese) [Google Scholar]
- Yang, R.; Li, W.; Yang, G.; Ma, X. Experimental study on the blasting effects of rich-iron ore with different explosives. Explos. Shock Waves 2020, 40, 93–104. (In Chinese) [Google Scholar]
- Lei, Z.; Zhang, Z.; Huang, Y.; Zhou, J.; Bai, Y. An investigation of energy consumption variation in rock blasting breaking with the resistance line. Explos. Shock Waves 2021, 41, 151–160. (In Chinese) [Google Scholar]
- Zhang, Z.; Qiu, X.; Shi, X.; Luo, Z.; Chen, H.; Zong, C. Burden Effects on Rock Fragmentation and Damage, and Stress Wave Attenuation in Cut Blasting of Large Diameter Long-Hole Stopes. Rock Mech. Rock Eng. 2023. ahead of publish. [Google Scholar] [CrossRef]
- Wang, M.; Shi, X.; Zhou, J.; Qiu, X. Multi-Planar Detection Optimization Algorithm for the Interval Charging Structure of Large-Diameter Longhole Blasting Design Based on Rock Fragmentation Aspects. Eng. Optim. 2018, 50, 2177–2191. [Google Scholar] [CrossRef]
- Qiu, X.; Hao, Y.; Shi, X.; Hao, H.; Zhang, S.; Gou, Y. Numerical Simulation of Stress Wave Interaction in Short-Delay Blasting with a Single Free Surface. PLoS ONE 2018, 13, e0204166. [Google Scholar] [CrossRef] [PubMed]
- Moser, P.; Grasedieck, A. Rock Specific Breakage Energy Functions Derived from Lab Scale Blast Experiments. In Proceedings of the 30th Annual Conference on Explosives & Blasting Technique, New Orleans, LA, USA, 1–4 February 2004; pp. 41–52. [Google Scholar]
- Zhou, J.; Zhang, Z.; Wang, J.; Huang, Y.; Lei, Z. Energy Analysis on the Effect of Minimum Burden on Rock Fragmentation. Chin. J. Undergr. Space Eng. 2021, 17, 135–142. (In Chinese) [Google Scholar]
- Liu, L.; Katsabanis, P.D. Development of a Continuum Damage Model for Blasting Analysis. Int. J. Rock Mech. Min. 1997, 34, 217–231. [Google Scholar] [CrossRef]
- Hamdi, E.; du Mouza, J.; Fleurisson, J.A. Evaluation of the Part of Blasting Energy Used for Rock Mass Fragmentation. Fragblast 2001, 5, 180–193. [Google Scholar] [CrossRef]
- Zhang, Z.; Gong, F.; Kozlovskaya, E.; Aladejare, A. Characteristic Impedance and Its Applications to Rock and Mining Engineering. Rock Mech. Rock Eng. 2023, 56, 3139–3158. [Google Scholar] [CrossRef]














| Test Order | 1 | 2 | 3 | 4 | 5 | 6 | 7 | 8 | 9 | 10 | 11 | 12 | 13 | 14 | 15 |
|---|---|---|---|---|---|---|---|---|---|---|---|---|---|---|---|
| Burden W/(cm) | 6 | 5 | 4 | 6 | 5 | 4 | 5 | ||||||||
| Clay length/(cm) | 0 | 2 | 4 | 6 | 0 | 2 | 4 | 5 | 0 | 2 | 4 | 2 | 2 | 2 | 2 |
| Water length/(cm) | 4 | 3 | 2 | ||||||||||||
| Sand length/(cm) | 3 | ||||||||||||||
Disclaimer/Publisher’s Note: The statements, opinions and data contained in all publications are solely those of the individual author(s) and contributor(s) and not of MDPI and/or the editor(s). MDPI and/or the editor(s) disclaim responsibility for any injury to people or property resulting from any ideas, methods, instructions or products referred to in the content. |
© 2023 by the authors. Licensee MDPI, Basel, Switzerland. This article is an open access article distributed under the terms and conditions of the Creative Commons Attribution (CC BY) license (https://creativecommons.org/licenses/by/4.0/).
Share and Cite
Shi, X.; Zhang, Z.; Qiu, X.; Luo, Z. Experiment Study of Stemming Length and Stemming Material Impact on Rock Fragmentation and Dynamic Strain. Sustainability 2023, 15, 13024. https://doi.org/10.3390/su151713024
Shi X, Zhang Z, Qiu X, Luo Z. Experiment Study of Stemming Length and Stemming Material Impact on Rock Fragmentation and Dynamic Strain. Sustainability. 2023; 15(17):13024. https://doi.org/10.3390/su151713024
Chicago/Turabian StyleShi, Xiuzhi, Zongguo Zhang, Xianyang Qiu, and Zhihua Luo. 2023. "Experiment Study of Stemming Length and Stemming Material Impact on Rock Fragmentation and Dynamic Strain" Sustainability 15, no. 17: 13024. https://doi.org/10.3390/su151713024
APA StyleShi, X., Zhang, Z., Qiu, X., & Luo, Z. (2023). Experiment Study of Stemming Length and Stemming Material Impact on Rock Fragmentation and Dynamic Strain. Sustainability, 15(17), 13024. https://doi.org/10.3390/su151713024
