Microplastic in the Snow on Sledding Hills in Green Areas of Krakow
Abstract
:1. Introduction
2. Materials and Methods
2.1. Study Area and Snow Sampling
2.2. Laboratory Analysis
2.3. Statistical Analysis
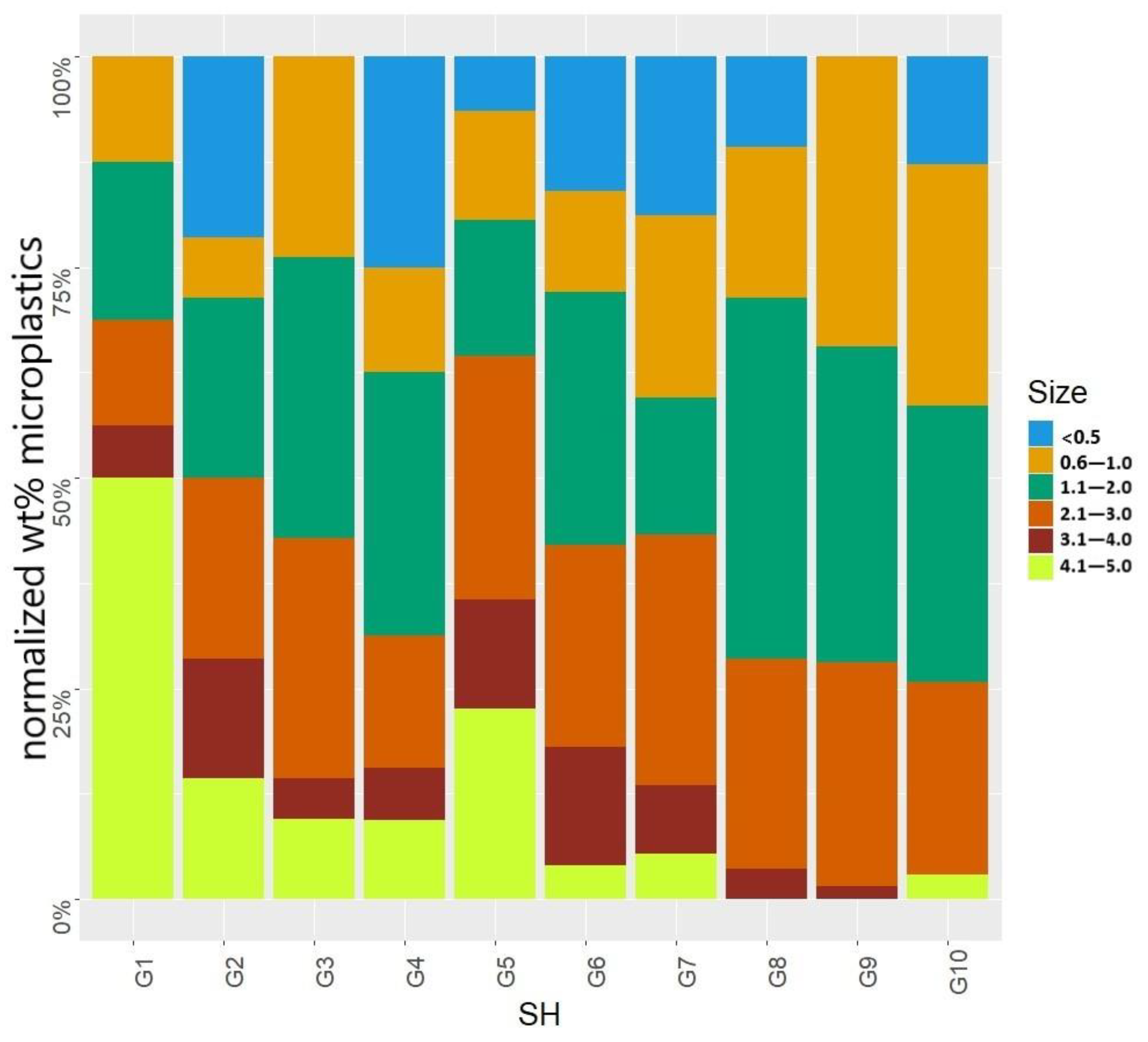
3. Results
4. Discussion
5. Conclusions
Supplementary Materials
Author Contributions
Funding
Institutional Review Board Statement
Informed Consent Statement
Data Availability Statement
Acknowledgments
Conflicts of Interest
References
- Akdogan, Z.; Guven, B. Microplastics in the environment: A critical review of current understanding and identification of future research needs. Environ. Pollut. 2019, 254, 113011. [Google Scholar] [CrossRef]
- Escalona-Segura, G.; Borges-Ramírez, M.M.; Estrella-Canul, V.; Rendón-von Osten, J. A methodology for the sampling and identification of microplastics in bird nests. Green Anal. Chem. 2022, 3, 100045. [Google Scholar] [CrossRef]
- Parker, B.; Britton, J.R.; Pabortsava, K.; Barrow, M.; Green, I.D.; Almela, V.D.; Andreou, D. Distinct microplastic patterns in the sediment and biota of an urban stream. Sci. Total Environ. 2022, 838, 156477. [Google Scholar] [CrossRef] [PubMed]
- Österlund, H.; Blecken, G.; Lange, K.; Marsalek, J.; Gopinath, K.; Viklander, M. Microplastics in urban catchments: Review of sources, pathways, and entry into stormwater. Sci. Total Environ. 2023, 858, 159781. [Google Scholar] [CrossRef] [PubMed]
- Zhang, B.; Yang, X.; Chen, L.; Chao, J.; Teng, J.; Wang, Q. Microplastics in soils: A review of possible sources, analytical methods and ecological impacts. J. Chem. Technol. Biotechnol. 2019, 95, 2052–2068. [Google Scholar] [CrossRef]
- Cole, M.; Lindeque, P.; Halsband, C.; Galloway, T.S. Microplastics as contaminants in the marine environment: A review. Mar. Pollut. Bull. 2011, 62, 2588–2597. [Google Scholar] [CrossRef]
- Hidalgo-Ruz, V.; Gutow, L.; Thompson, R.C.; Thiel, M. Microplastics in the Marine Environment: A Review of the Methods Used for Identification and Quantification. Environ. Sci. Technol. 2012, 46, 3060–3075. [Google Scholar] [CrossRef]
- Vijayan, A.; Österlund, H.; Magnusson, K.; Marsalek, J.; Viklander, M. Microplastics (MPs) in urban roadside snowbanks: Quantities, size fractions and dynamics of release. Sci. Total Environ. 2022, 851, 158306. [Google Scholar] [CrossRef] [PubMed]
- Rillig, M.C.; Lehmann, A. Microplastic in terrestrial ecosystems research shifts from ecotoxicology to ecosystem effects and Earth system feedbacks. Science 2020, 368, 1430–1431. [Google Scholar] [CrossRef]
- Geyer, R.; Jambeck, J.R.; Law, K.L. Production, use, and fate of all plastics ever made. Sci. Adv. 2017, 3, e1700782. [Google Scholar] [CrossRef]
- Wan, L.; Cheng, H.; Liu, Y.; Shen, Y.; Liu, G.; Su, X. Global meta-analysis reveals differential effects of microplastics on soil ecosystem. Sci. Total Environ. 2023, 867, 161403. [Google Scholar] [CrossRef] [PubMed]
- Koutnik, V.S.; Leonard, J.; Alkidim, S.; DePrima, F.J.; Ravi, S.; Hoek, E.M.; Mohanty, S.K. Distribution of microplastics in soil and freshwater environments: Global analysis and framework for transport modeling. Environ. Pollut. 2021, 274, 116552. [Google Scholar] [CrossRef] [PubMed]
- Luo, Y.; Wang, L.; Cao, T.; Chen, J.; Lv, M.; Wei, S.; Lu, S.; Tian, X. Microplastics are transferred by soil fauna and regulate soil function as material carriers. Sci. Total Environ. 2023, 857, 159690. [Google Scholar] [CrossRef]
- De Souza Machado, A.A.; Kloas, W.; Zarfl, C.; Hempel, S.; Rillig, M.C. Microplastics as an emerging threat to terrestrial ecosystems. Glob. Chang. Biol. 2018, 24, 1405–1416. [Google Scholar] [CrossRef]
- Rillig, M.C.; Ziersch, L.; Hempel, S. Microplastic transport in soil by earthworms. Sci. Rep. 2017, 7, 1362. [Google Scholar] [CrossRef]
- Rillig, M.C. Microplastic Disguising As Soil Carbon Storage. Environ. Sci. Technol. 2018, 52, 6079–6080. [Google Scholar] [CrossRef]
- de Souza Machado, A.A.; Lau, C.W.; Kloas, W.; Bergmann, J.; Bachelier, J.B.; Faltin, E.; Becker, R.; Görlich, A.S.; Rillig, M.C. Microplastics Can Change Soil Properties and Affect Plant Performance. Environ. Sci. Technol. 2019, 53, 6044–6052. [Google Scholar] [CrossRef]
- Grima, S.; Bellon-Maurel, V.; Feuilloley, P.; Silvestre, F. Aerobic Biodegradation of Polymers in Solid-State Conditions: A Review of Environmental and Physicochemical Parameter Settings in Laboratory Simulations. J. Polym. Environ. 2000, 8, 183–195. [Google Scholar] [CrossRef]
- Europeans Chemicals Agency (ECHA). Annex XV Restriction Report. Proposal for a Restriction. Version 1.2. 2019. Available online: https://echa.europa.eu/documents/10162/05bd96e3-b969-0a7c-c6d0-44118289372 (accessed on 16 June 2021).
- Nielsen, M.B.; Clausen, L.P.W.; Cronin, R.; Hansen, S.F.; Oturai, N.G.; Syberg, K. Unfolding the science behind policy initiatives targeting plastic pollution. Microplastics Nanoplastics 2023, 3, 3. [Google Scholar] [CrossRef] [PubMed]
- Thushari, G.G.N.; Senevirathna, J.D.M.; Yakupitiyage, A.; Chavanich, S. Effects of microplastics on sessile invertebrates in the eastern coast of Thailand: An approach to coastal zone conservation. Mar. Pollut. Bull. 2017, 124, 349–355. [Google Scholar] [CrossRef]
- Bläsing, M.; Amelung, W. Plastics in soil: Analytical methods and possible sources. Sci. Total Environ. 2018, 612, 422–435. [Google Scholar] [CrossRef]
- Forster, N.A.; Tighe, M.K.; Wilson, S.C. Microplastics in soils of wilderness areas: What is the significance of outdoor clothing and footwear? Geoderma 2020, 378, 114612. [Google Scholar] [CrossRef]
- Corradini, F.; Casado, F.; Leiva, V.; Huerta-Lwanga, E.; Geissen, V. Microplastics occurrence and frequency in soils under different land uses on a regional scale. Sci. Total Environ. 2021, 752, 141917. [Google Scholar] [CrossRef]
- Kunz, A.; Schneider, F.; Anthony, N.; Lin, H.-T. Microplastics in rivers along an urban-rural gradient in an urban agglomeration: Correlation with land use, potential sources and pathways. Environ. Pollut. 2023, 321, 121096. [Google Scholar] [CrossRef]
- Leitão, I.; van Schaik, L.; Ferreira, A.; Alexandre, N.; Geissen, V. The spatial distribution of microplastics in topsoils of an urban environment—Coimbra city case-study. Environ. Res. 2023, 218, 114961. [Google Scholar] [CrossRef]
- Diener, A.; Mudu, P. How can vegetation protect us from air pollution? A critical review on green spaces’ mitigation abilities for air-borne particles from a public health perspective—With implications for urban planning. Sci. Total Environ. 2021, 796, 148605. [Google Scholar] [CrossRef] [PubMed]
- Lopez, B.; Kennedy, C.; Field, C.; McPhearson, T. Who benefits from urban green spaces during times of crisis? Perception and use of urban green spaces in New York City during the COVID-19 pandemic. Urban For. Urban Green. 2021, 65, 127354. [Google Scholar] [CrossRef] [PubMed]
- Rackiewicz, I. Program Ochrony śRodowiska Dla Miasta Krakowana Lata 2012–2015 Z Uwzględnieniem Zadań Zrealizowanych W 2011 Roku Oraz Perspektywą NA Lata 2016–2019; Rada Miasta Krakowa: Kraków, Poland, 2012. [Google Scholar]
- Samandra, S.; Singh, J.; Plaisted, K.; Mescall, O.J.; Symons, B.; Xie, S.; Ellis, A.V.; Clarke, B.O. Quantifying environmental emissions of microplastics from urban rivers in Melbourne, Australia. Mar. Pollut. Bull. 2023, 189, 114709. [Google Scholar] [CrossRef] [PubMed]
- Mercy, F.T.; Alam, A.K.M.R.; Akbor, M.A. Abundance and characreristics of microplastics in major urban lakes of Dhaka, Bangladesh. Heliyon 2023, 9, e14587. [Google Scholar] [CrossRef]
- Cai, Y.; Li, C.; Zhao, Y. A review of the migration and transformation of micro plastics in inland water systems. Int. J. Environ. Res. Public Health 2022, 19, 148. [Google Scholar] [CrossRef]
- O’Brien, S.; Rauert, C.; Ribeiro, F.; Okoffo, E.D.; Burrows, S.D.; O’Brien, J.W.; Wang, X.; Wright, S.L.; Thomas, K.V. There’s something in the air: A review of sources, prevalence and behaviour of microplastics in the atmosphere. Sci. Total Environ. 2023, 874, 162193. [Google Scholar] [CrossRef]
- Li, Z.; Yang, Y.; Chen, X.; He, Y.; Bolan, N.; Rinklebe, J.; Lam, S.S.; Peng, W.; Sonne, C. A discussion of microplastics in soil and risks for ecosystems and food chains. Chemosphere 2023, 313, 137637. [Google Scholar] [CrossRef] [PubMed]
- Peixoto, D.; Pinheiro, C.; Amorim, J.; Oliva-Teles, L.; Guilhermino, L.; Vieira, M.N. Microplastic pollution in commercial selt for human consuption: A review. Estuar. Coast Shelf Sci. 2019, 219, 161–168. [Google Scholar] [CrossRef]
- Ryberg, M.W.; Hauschild, M.Z.; Wang, F.; Averous-Monnery, S.; Laurent, A. Global environmental losses of plastics across their value chains. Resour. Conserv. Recycl. 2019, 151, 104459. [Google Scholar] [CrossRef]
- Koutnik, V.S.; Leonard, J.; El Rassi, L.A.; Choy, M.M.; Brar, J.; Glasman, J.B.; Cowger, W.; Mohanty, S.K. Children’s playgrounds contain more microplastics than other areas in urban parks. Sci. Total Environ. 2023, 854, 158866. [Google Scholar] [CrossRef]
- He, S.; Sun, S.; Xue, H.; Kang, C.; Yu, S. Polypropylene microplastics aging under natural conditions in winter and summer and its effects on the sorption and desorption of nonylphenol. Environ. Res. 2023, 225, 115615. [Google Scholar] [CrossRef]
- Huang, C.; Ge, Y.; Yue, S.; Zhao, L.; Qiao, Y. Microplastics aggravate the joint toxicity to earthworm Eisenia fetida with cadmium by altering its availability. Sci. Total Environ. 2021, 753, 142042. [Google Scholar] [CrossRef]
- Cao, Y.; Ma, X.; Chen, N.; Chen, T.; Zhao, M.; Li, H.; Song, Y.; Zhou, J.; Yang, J. Polypropylene microplastics affect the distribution and bioavailability of cadmium by changing soil components during soil aging. J. Hazard. Mater. 2023, 443, 130079. [Google Scholar] [CrossRef]
- Černá, T.; Pražanová, K.; Beneš, H.; Titor, J.; Klubalová, K.; Filipová, A.; Kluson, P.; Cajthaml, T. Polycyclic aromatic hydrocarbon accumulation in aged and unaged polyurethane microplastics in contaminated soil. Sci. Total Environ. 2021, 770, 145254. [Google Scholar] [CrossRef]
- Rezaei, M.; Riksen, M.J.; Sirjani, E.; Sameni, A.; Geissen, V. Wind erosion as a driver for transport of light density microplastics. Sci. Total Environ. 2019, 669, 273–281. [Google Scholar] [CrossRef]
- Li, B.; Wan, H.; Cai, Y.; Peng, J.; Li, B.; Jia, Q.; Yuan, X.; Wang, Y.; Zhang, P.; Hong, B.; et al. Human activities affect the multidecadal microplastic deposition records in a subtropical urban lake, China. Sci. Total Environ. 2022, 820, 153187. [Google Scholar] [CrossRef] [PubMed]
- Zhang, Q.; Guo, W.; Wang, B.; Feng, Y.; Han, L.; Zhang, C.; Xie, H.; Liu, X.; Feng, Y. Influences of microplastics types and size on soil properties and cadmium adsorption in paddy soil after one rice season. Resour. Environ. Sustain. 2023, 11, 1000102. [Google Scholar] [CrossRef]
- Xu, C.; Zhang, B.; Gu, C.; Shen, C.; Yin, S.; Aamir, M.; Li, F. Are we underestimating the sources of microplastic pollution in terrestrial environment? J. Hazard. Mater. 2020, 400, 123228. [Google Scholar] [CrossRef]
- Yang, L.; Zhang, Y.; Kang, S.; Wang, Z.; Wu, C. Microplastics in soil: A review on methods, occurrence, sources, and potential risk. Sci. Total Environ. 2021, 780, 146546. [Google Scholar] [CrossRef] [PubMed]
- Zhou, Y.; Wang, J.; Zou, M.; Jia, Z.; Zhou, S.; Li, Y. Microplastics in soils: A review of methods, occurrence, fate, transport, ecological and environmental risks. Sci. Total Environ. 2020, 748, 141368. [Google Scholar] [CrossRef] [PubMed]
- Rillig, M.C.; de Souza Machado, A.A.; Lehmann, A.; Klümper, U. Evolutionary implications of microplastics for soil biota. Environ. Chem. 2018, 16, 3–7. [Google Scholar] [CrossRef]
- Lin, D.; Yang, G.; Dou, P.; Qian, S.; Zhao, L.; Yang, Y.; Fanin, N. Microplastics negatively affect soil fauna but stimulate microbial activity: Insights from a field-based microplastic addition experiment. Proc. R. Soc. B Boil. Sci. 2020, 287, 20201268. [Google Scholar] [CrossRef]








| MCs Weight | ||
|---|---|---|
| F | p | |
| Size of sledding hill (S) | 5.8367 | 0.0236 |
| Location on sledding hill (L) | 7.9621 | 0.0022 |
| S × L | 4.4017 | 0.0235 |
Disclaimer/Publisher’s Note: The statements, opinions and data contained in all publications are solely those of the individual author(s) and contributor(s) and not of MDPI and/or the editor(s). MDPI and/or the editor(s) disclaim responsibility for any injury to people or property resulting from any ideas, methods, instructions or products referred to in the content. |
© 2023 by the authors. Licensee MDPI, Basel, Switzerland. This article is an open access article distributed under the terms and conditions of the Creative Commons Attribution (CC BY) license (https://creativecommons.org/licenses/by/4.0/).
Share and Cite
Lasota, J.; Piaszczyk, W.; Tabor, S.; Błońska, E. Microplastic in the Snow on Sledding Hills in Green Areas of Krakow. Sustainability 2023, 15, 12995. https://doi.org/10.3390/su151712995
Lasota J, Piaszczyk W, Tabor S, Błońska E. Microplastic in the Snow on Sledding Hills in Green Areas of Krakow. Sustainability. 2023; 15(17):12995. https://doi.org/10.3390/su151712995
Chicago/Turabian StyleLasota, Jarosław, Wojciech Piaszczyk, Sylwester Tabor, and Ewa Błońska. 2023. "Microplastic in the Snow on Sledding Hills in Green Areas of Krakow" Sustainability 15, no. 17: 12995. https://doi.org/10.3390/su151712995
APA StyleLasota, J., Piaszczyk, W., Tabor, S., & Błońska, E. (2023). Microplastic in the Snow on Sledding Hills in Green Areas of Krakow. Sustainability, 15(17), 12995. https://doi.org/10.3390/su151712995

