Climate Assessment of Vegetable Oil and Biodiesel from Camelina Grown as an Intermediate Crop in Cereal-Based Crop Rotations in Cold Climate Regions
Abstract
:1. Introduction
2. Materials and Methods
2.1. LCA Goal, Scope, System Boundaries, and Functional Units
2.2. Allocation
2.3. Life Cycle Inventory Analysis
2.3.1. Camelina Cultivation in Sweden
2.3.2. Whole Crop Rotation
2.3.3. Soil Organic Carbon Modeling
2.3.4. Camelina Transport and Oilseed Pressing
2.3.5. Conversion to HVO
2.4. Climate Impact Assessment
2.5. Sensitivity Analysis
3. Results and Discussion
3.1. Crop Rotation Effects
3.1.1. Overall Production from Whole Crop Rotation
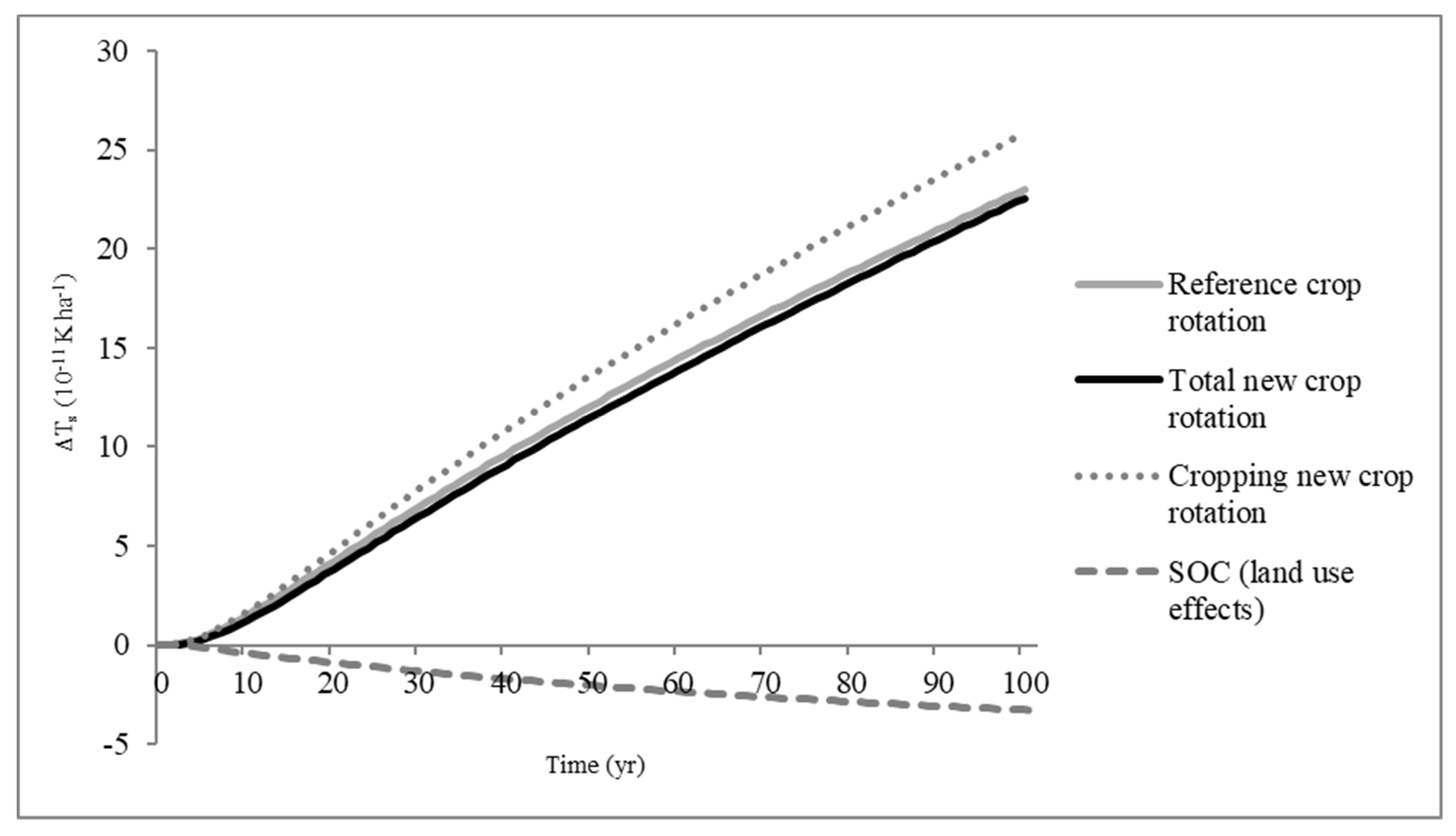
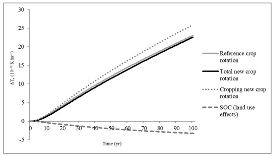
3.1.2. Climate Impact on the Whole Crop Rotation
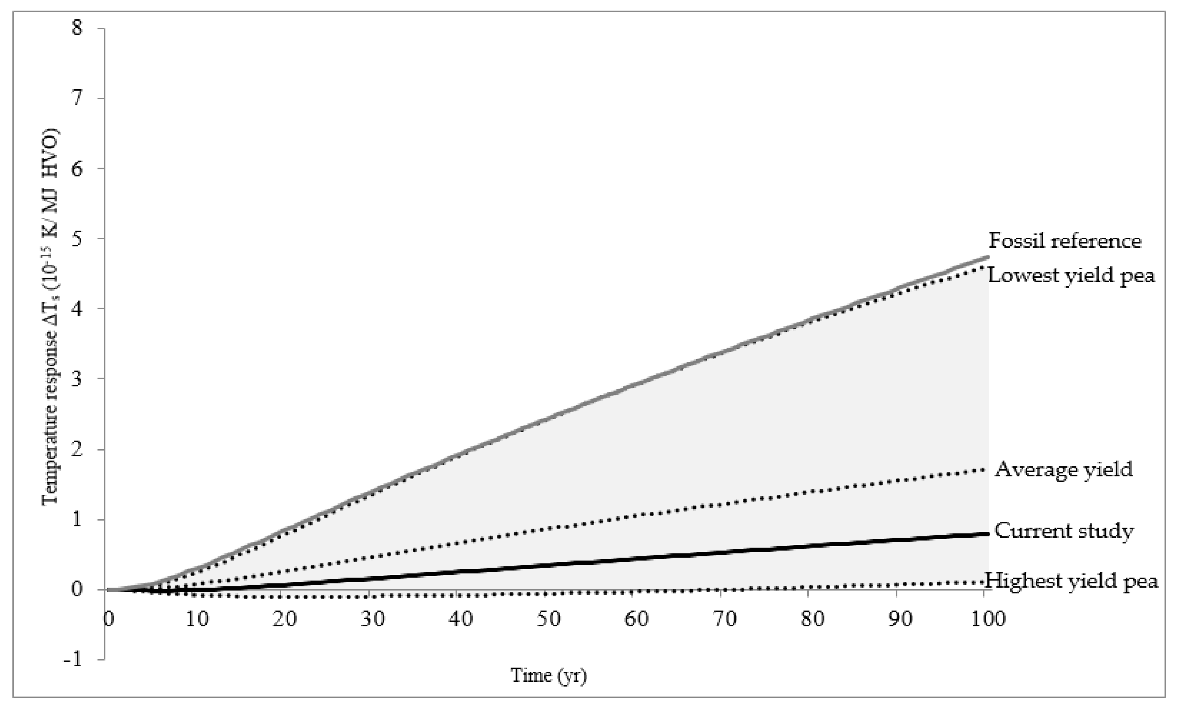
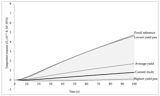
3.2. Climate Impact of Camelina Oil Production
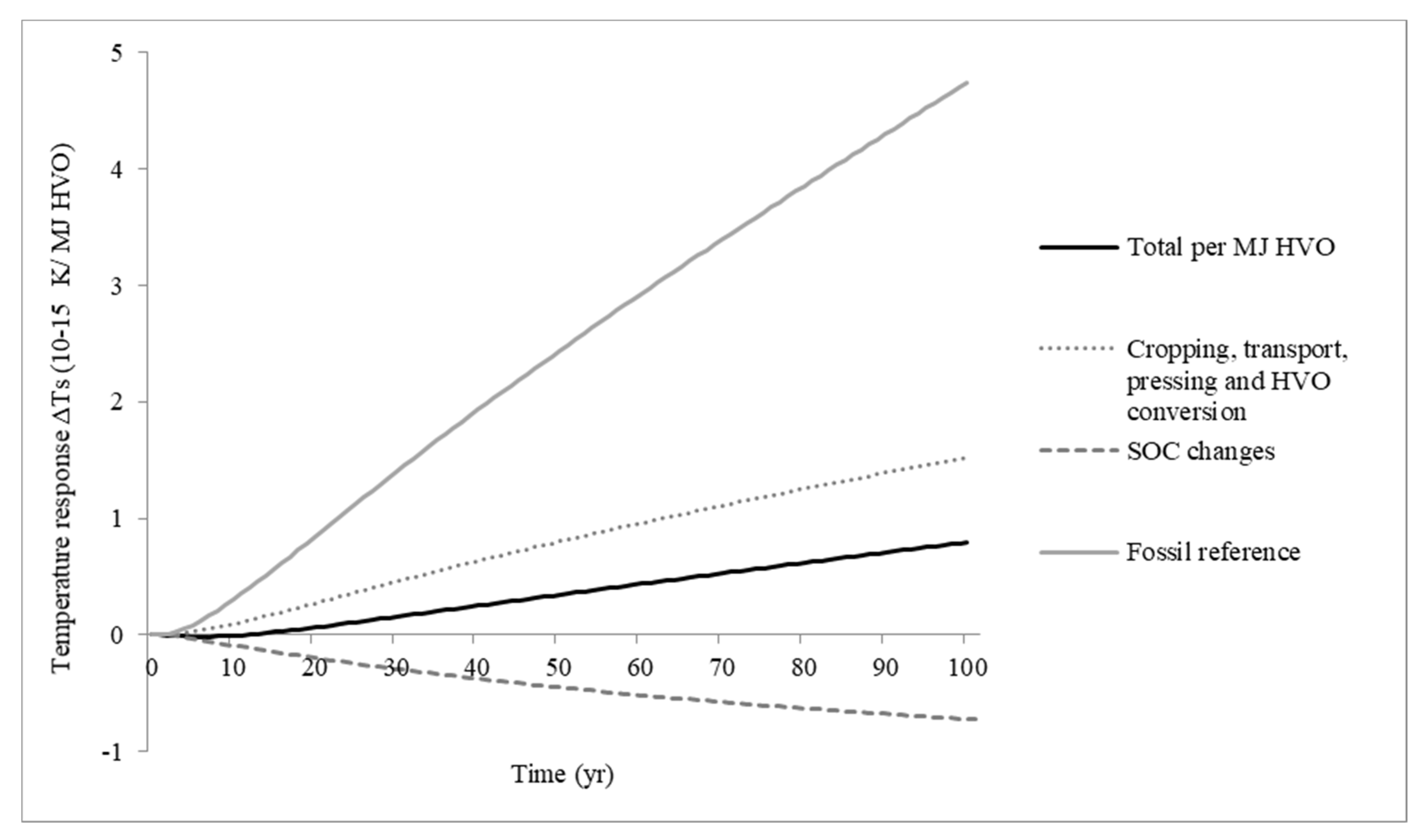
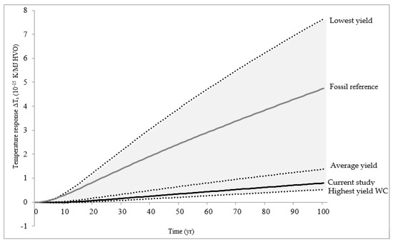
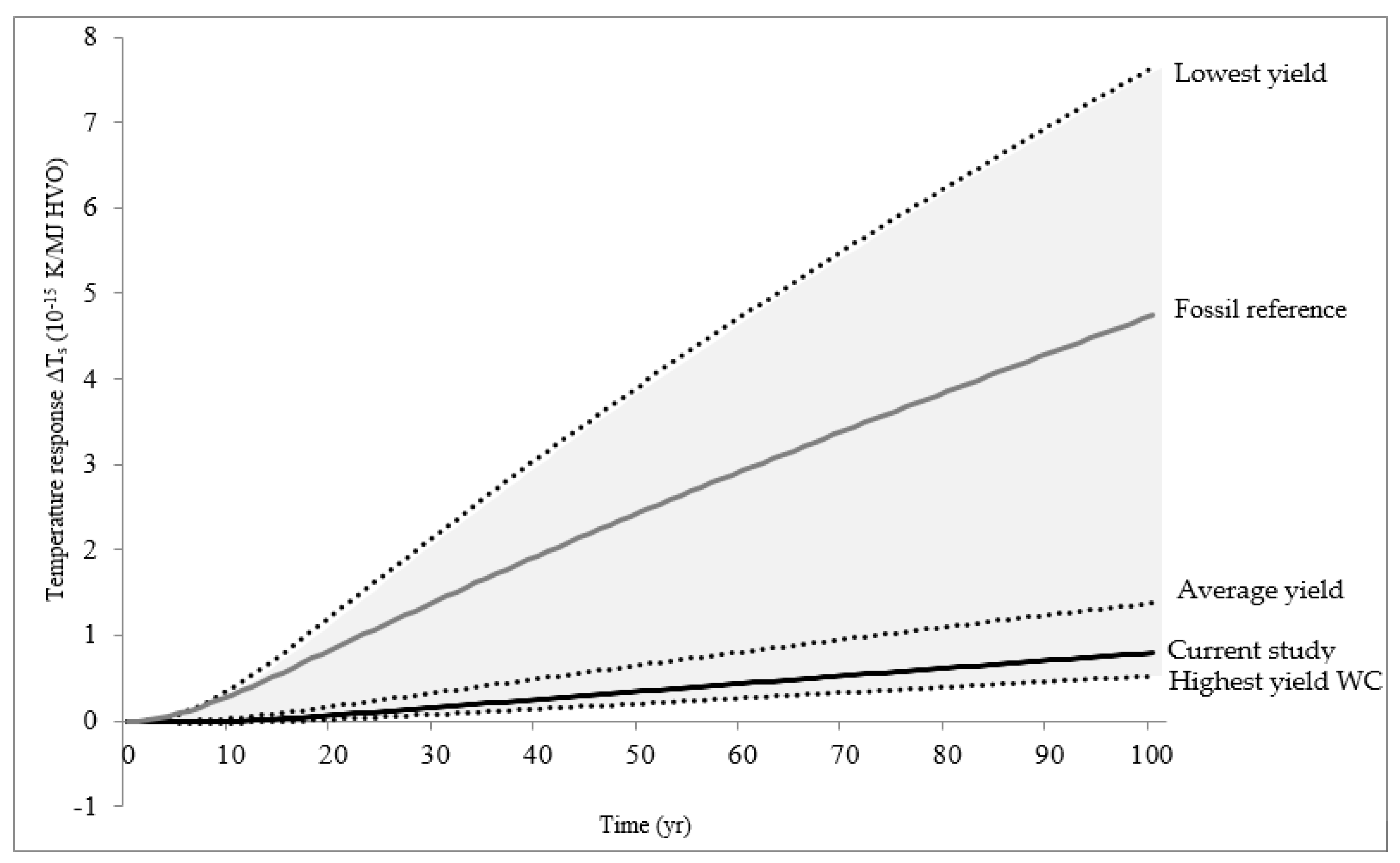
3.3. Climate Impact of HVO Production
3.4. Sensitivity Analysis
3.4.1. Crop Rotation Overall Production
3.4.2. Climate Impact of Oil and HVO
3.5. Other Environmental Impacts
3.5.1. Biodiversity Impacts
3.5.2. Eutrophication
4. Conclusions
Author Contributions
Funding
Data Availability Statement
Acknowledgments
Conflicts of Interest
References
- IEA International Energy Agency. Renewables 2021 Analysis and Forecast to 2026. 2021. Available online: https://iea.blob.core.windows.net/assets/5ae32253-7409-4f9a-a91d-1493ffb9777a/Renewables2021-Analysisandforecastto2026,pdf (accessed on 15 May 2023).
- Panoutsou, C. Sustainable Biomass Availability in the EU, to 2050; Imperial Collage London Consultants: London, UK, 2021. [Google Scholar]
- Bajželj, B.; Laguzzi, F.; Röös, E. The role of fats in the transition to sustainable diets. Lancet Planet. Health 2021, 5, e644–e653. [Google Scholar] [CrossRef] [PubMed]
- Swedish Energy Agency. Drivmedel 2021. ISSN 1403-1892. 2022. Available online: https://www.energimyndigheten.se (accessed on 15 May 2023).
- Karlsson Potter, H.; Poulikidou, S.; Henryson, K.; Hammar, T.; Hansson, J. HVO Produced from Swedish Raw Materials—Current and Future Potentials. Report No. FDOS 07:2020. 2020. Available online: https://f3centre.se/en/renewable-transportationfuels-and-systems/ (accessed on 1 January 2023).
- Sindelar, A.J.; Schmer, M.R.; Gesch, R.W.; Forcella, F.; Eberle, C.A.; Thom, M.D.; Archer, D.W. Winter oilseed production for biofuel in the US Corn Belt: Opportunities and limitations. GCB Bioenergy 2017, 9, 508–524. [Google Scholar] [CrossRef]
- Chammoun, N.; Geller, D.P.; Das, K. Fuel properties, performance testing and economic feasibility of Raphanus sativus (oilseed radish) biodiesel. Ind. Crops Prod. 2013, 45, 155–159. [Google Scholar] [CrossRef]
- Krohn, B.J.; Fripp, M. A life cycle assessment of biodiesel derived from the “niche filling” energy crop camelina in the USA. Appl. Energy 2012, 92, 92–98. [Google Scholar] [CrossRef]
- Dönmez, E.O.; Belli, O. Urartian plant cultivation at Yoncatepe (Van), eastern Turkey. Econ. Bot. 2007, 61, 290–298. [Google Scholar] [CrossRef]
- Larsson, M. Cultivation and processing of Linum usitatissimum and Camelina sativa in southern Scandinavia during the Roman Iron Age. Veg. Hist. Archaeobotany 2013, 22, 509–520. [Google Scholar] [CrossRef]
- EU (2016) European Commission. Improving the Sustainability of Fatty Acid Methyl Esters (FAME—Biodiesel) Tender No. ENER/C2/2013/628. Available online: https://energy.ec.europa.eu/system/files/2016-07/Technical%2520report_0.pdf (accessed on 15 May 2023).
- Putnam, D.H.; Budin, J.T.; Field, L.A.; Breene, W.M. Camelina: A promising low-input oilseed. New Crops 1993, 314, 322. [Google Scholar]
- Li, H.; Barbetti, M.; Sivasithamparam, K. Hazard from reliance on cruciferous hosts as sources of major gene-based resistance for managing blackleg (Leptosphaeria maculans) disease. Field Crops Res. 2005, 91, 185–198. [Google Scholar] [CrossRef]
- Kakani, R.; Fowler, J.; Haq, A.-U.; Murphy, E.J.; Rosenberger, T.A.; Berhow, M.; Bailey, C.A. Camelina meal increases egg n-3 fatty acid content without altering quality or production in laying hens. Lipids 2012, 47, 519–526. [Google Scholar] [CrossRef]
- Shonnard, D.R.; Williams, L.; Kalnes, T.N. Camelina-derived jet fuel and diesel: Sustainable advanced biofuels. Environ. Prog. Sustain. Energy 2010, 29, 382–392. [Google Scholar] [CrossRef]
- Gesch, R.; Archer, D. Double-cropping with winter camelina in the northern Corn Belt to produce fuel and food. Ind. Crops Prod. 2013, 44, 718–725. [Google Scholar] [CrossRef]
- Berti, M.; Gesch, R.; Johnson, B.; Ji, Y.; Seames, W.; Aponte, A. Double-and relay-cropping of energy crops in the northern Great Plains, USA. Ind. Crops Prod. 2015, 75, 26–34. [Google Scholar] [CrossRef]
- Walia, M.K.; Zanetti, F.; Gesch, R.W.; Krzyżaniak, M.; Eynck, C.; Puttick, D.; Alexopoulou, E.; Royo-Esnal, A.; Stolarski, M.J.; Isbell, T.; et al. Winter camelina seed quality in different growing environments across Northern America and Europe. Ind. Crops Prod. 2021, 169, 113639. [Google Scholar] [CrossRef]
- Weyers, S.; Thom, M.; Forcella, F.; Eberle, C.; Matthees, H.; Gesch, R.; Ott, M.; Feyereisen, G.; Strock, J.; Wyse, D. Reduced potential for nitrogen loss in cover crop–soybean relay systems in a cold climate. J. Environ. Qual. 2019, 48, 660–669. [Google Scholar] [CrossRef] [PubMed]
- Cecchin, A.; Pourhashem, G.; Gesch, R.W.; Lenssen, A.W.; Mohammed, Y.A.; Patel, S.; Berti, M.T. Environmental trade-offs of relay-cropping winter cover crops with soybean in a maize-soybean cropping system. Agric. Syst. 2021, 189, 103062. [Google Scholar] [CrossRef]
- Berti, M.; Johnson, B.; Ripplinger, D.; Gesch, R.; Aponte, A. Environmental impact assessment of double-and relay-cropping with winter camelina in the northern Great Plains, USA. Agric. Syst. 2017, 156, 1–12. [Google Scholar] [CrossRef]
- Li, X.; Mupondwa, E. Life cycle assessment of camelina oil derived biodiesel and jet fuel in the Canadian Prairies. Sci. Total Environ. 2014, 481, 17–26. [Google Scholar] [CrossRef]
- Dangol, N.; Shrestha, D.S.; Duffield, J.A. Life cycle analysis and production potential of camelina biodiesel in the Pacific Northwest. Trans. ASABE 2015, 58, 465–475. [Google Scholar]
- EISA. Energy Independence and Security Act of 2007 (Public Law 110-140); U.S. Government Printing Office: Washington, DC, USA, 2007. Available online: www.gpo.gov/fdsys/pkg (accessed on 15 May 2023).
- Masella, P.; Galasso, I. A comparative cradle-to-gate life cycle study of bio-energy feedstock from Camelina sativa, an Italian case study. Sustainability 2020, 12, 9590. [Google Scholar] [CrossRef]
- ISO. ISO 14040: Environmental Management—Life Cycle Assessment—Principles and Framework; International Organization for Standardization: Geneva, Switzerland, 2006; p. 20. [Google Scholar]
- Goglio, P.; Brankatschk, G.; Knudsen, M.T.; Williams, A.G.; Nemecek, T. Addressing crop interactions within cropping systems in LCA. Int. J. Life Cycle Assess. 2018, 23, 1735–1743. [Google Scholar] [CrossRef]
- EU. Directive (EU) 2018/2001 of the European Parliament and of the Council of 11 December 2018 on the Promotion of the Use of Energy from Renewable Sources (Recast); The European Parliament and of the Council: Brussels, Belgium, 2018. [Google Scholar]
- SBA. Skörd av Spannmål, Trindsäd och Oljeväxter 2020, JO 19 SM 2001; Swedish Board of Agriculture: Jönköping, Sweden, 2020. [Google Scholar]
- Zanetti, F.; Gesch, R.W.; Walia, M.K.; Johnson, J.M.; Monti, A. Winter camelina root characteristics and yield performance under contrasting environmental conditions. Field Crops Res. 2020, 252, 107794. [Google Scholar] [CrossRef]
- Ott, M.A.; Eberle, C.A.; Thom, M.D.; Archer, D.W.; Forcella, F.; Gesch, R.W.; Wyse, D.L. Economics and agronomics of relay-cropping pennycress and camelina with soybean in Minnesota. Agron. J. 2019, 111, 1281–1292. [Google Scholar] [CrossRef]
- Johnson, G.A.; Wells, M.S.; Anderson, K.; Gesch, R.W.; Forcella, F.; Wyse, D.L. Yield tradeoffs and nitrogen between pennycress, camelina, and soybean in relay-and double-crop systems. Agron. J. 2017, 109, 2128–2135. [Google Scholar] [CrossRef]
- Gesch, R.; Archer, D.; Berti, M. Dual cropping winter camelina with soybean in the northern corn belt. Agron. J. 2014, 106, 1735–1745. [Google Scholar] [CrossRef]
- Zubr, J. Oil-seed crop: Camelina sativa. Ind. Crops Prod. 1997, 6, 113–119. [Google Scholar] [CrossRef]
- Statistics Sweden. Växtskyddsmedel i Jord-Och Trädgårdsbruket 2010, Användning i Grödor; Statistics Sweden: Örebro, Sweden, 2011. [Google Scholar]
- Lindgren, M.; Pettersson, O.; Hansson, P.-A.; Norén, O. Engine load pattern and engine exhaust gas emissions from off-road vehicles and methods to reduce fuel-consumption and engine exhaust gas emissions. Animal Husbandry 2002, 61, 89–97. [Google Scholar]
- Hergoualc’h, K.; Akiyama, H.; Bernoux, M.; Chirinda, N.; del Prado, A.; Kasimir, Å.; MacDonald, J.D.; Ogle, S.M.; Regina, K.; Weerden, T. N2O Emissions from Managed Soils, and CO2 Emissions from Lime and Urea Application; Intergovernmental Panel on Climate Change (IPCC): Geneva, Switzerland, 2019. [Google Scholar]
- Karlsson Potter, H.; Hammar, T.; Henryson, K.; Nyberg, T.; Nojponya, P.; Poulikidou, S.; Hansson, J. Environmental and Techno-Economic Assessment of Alternative Production Pathways for Swedish Domestic HVO Production; Publ. No. FDOS 20:2021; Swedish Energy Agency: Eskilstuna, Sweden, 2021. [Google Scholar]
- Moberg, E.; Andersson, M.W.; Säll, S.; Hansson, P.-A.; Röös, E. Determining the climate impact of food for use in a climate tax—Design of a consistent and transparent model. Int. J. Life Cycle Assess. 2019, 24, 1715–1728. [Google Scholar] [CrossRef]
- Krüger Persson, S. Livscykelanalys av Svenskproducerad Trindsäd; Department of Energy and Technology, SLU: Uppsala, Sweden, 2019. [Google Scholar]
- Kätterer, T.; Andrén, O.; Persson, J. The impact of altered management on long-term agricultural soil carbon stocks—A Swedish case study. Nutr. Cycl. Agroecosyst. 2004, 70, 179–188. [Google Scholar] [CrossRef]
- Andrén, O.; Kätterer, T. ICBM: The introductory carbon balance model for exploration of soil carbon balances. Ecol. Appl. 1997, 7, 1226–1236. [Google Scholar] [CrossRef]
- Andrén, O.; Kätterer, T.; Karlsson, T.; Eriksson, J. Soil C balances in Swedish agricultural soils 1990–2004, with preliminary projections. Nutr. Cycl. Agroecosyst. 2008, 81, 129–144. [Google Scholar] [CrossRef]
- Andrén, O.; Kätterer, T.; Karlsson, T. ICBM regional model for estimations of dynamics of agricultural soil carbon pools. Nutr. Cycl. Agroecosyst. 2004, 70, 231–239. [Google Scholar] [CrossRef]
- Mupondwa, E.; Li, X.; Tabil, L.; Falk, K.; Gugel, R. Technoeconomic analysis of camelina oil extraction as feedstock for biojet fuel in the Canadian Prairies. Biomass Bioenergy 2016, 95, 221–234. [Google Scholar] [CrossRef]
- Bréon, F.-M.; Collins, W.; Fuglestvedt, J.; Huang, J.; Koch, D.; Lamarque, J.-F.; Lee, D.; Mendoza, B.; Nakajima, T.; Robock, A.; et al. Anthropogenic and natural radiative forcing. In Climate Change 2013; Cambridge University Press: Cambridge, UK; New York, NY, USA, 2013. [Google Scholar]
- Kirkegaard, J.; Christen, O.; Krupinsky, J.; Layzell, D. Break crop benefits in temperate wheat production. Field Crops Res. 2008, 107, 185–195. [Google Scholar] [CrossRef]
- Eberle, C.A.; Thom, M.D.; Nemec, K.T.; Forcella, F.; Lundgren, J.G.; Gesch, R.W.; Riedell, W.E.; Papiernik, S.K.; Wagner, A.; Peterson, D.H.; et al. Using pennycress, camelina, and canola cash cover crops to provision pollinators. Ind. Crops Prod. 2015, 75, 20–25. [Google Scholar] [CrossRef]
- Klein, A.-M.; Vaissière, B.E.; Cane, J.H.; Steffan-Dewenter, I.; Cunningham, S.A.; Kremen, C.; Tscharntke, T. Importance of pollinators in changing landscapes for world crops. Proc. R. Soc. B Biol. Sci. 2007, 274, 303–313. [Google Scholar] [CrossRef] [PubMed]
- Van der Putten, W.H.; Mudgal, S.; Turbé, A.; de Toni, A.; Lavelle, P.; Benito, P. Ruiz Soil Biodiversity: Functions, Threats and Tools for Policy Makers; Bio Intelligence Service: Paris, France, 2010. [Google Scholar]
- Henryson, K.; Hansson, P.-A.; Sundberg, C. Spatially differentiated midpoint indicator for marine eutrophication of waterborne emissions in Sweden. Int. J. Life Cycle Assess. 2018, 23, 70–81. [Google Scholar] [CrossRef]
- Lal, R. Beyond Copenhagen: Mitigating climate change and achieving food security through soil carbon sequestration. Food Secur. 2010, 2, 169–177. [Google Scholar] [CrossRef]
- Bacenetti, J.; Restuccia, A.; Schillaci, G.; Failla, S. Biodiesel production from unconventional oilseed crops (Linum usitatissimum L. and Camelina sativa L.) in Mediterranean conditions: Environmental sustainability assessment. Renew. Energy 2017, 112, 444–456. [Google Scholar] [CrossRef]
- Aronsson, H.; Hansen, E.M.; Thomsen, I.K.; Liu, J.; Ogaard, A.F.; Kankanen, H.; Ulen, B. The ability of cover crops to reduce nitrogen and phosphorus losses from arable land in southern Scandinavia and Finland. J. Soil Water Conserv. 2016, 71, 41–55. [Google Scholar] [CrossRef]
- Ahlgren, S.; Hansson, P.-A.; Kimming, M.; Aronsson, P.; Lundkvist, H. Utsläpp av Växthusgaser vid Odling av Grödor för Biodrivmedel Samt Produktion av Biogas Från Gödsel—Tillämpning av Europaparlamentets och Rådets Direktiv om Främjandet av Användningen av Energi Från Förnybara Energikällor in Dnr SLU ua 12-4067/08; Sveriges Lantbruksuniversitet: Uppsala, Sweden, 2009. [Google Scholar]
- Gesch, R.W.; Matthees, H.L.; Alvarez, A.L.; Gardner, R.D. Winter camelina: Crop growth, seed yield, and quality response to cultivar and seeding rate. Crop Sci. 2018, 58, 2089–2098. [Google Scholar] [CrossRef]
- Vollmann, J.; Eynck, C. Camelina as a sustainable oilseed crop: Contributions of plant breeding and genetic engineering. Biotechnol. J. 2015, 10, 525–535. [Google Scholar] [CrossRef] [PubMed]









| Yield (kg/ha) (%DM) | NP a K (kg/ha) | |
|---|---|---|
| Reference crop rotation | ||
| Spring barley | 4277 (86%) | 70-20-10 |
| Pea | 2851 (85%) | 0-10-20 |
| Spring barley | 4277 (86%) | 70-20-10 |
| Winter wheat | 5617 (86%) | 130-25-10 |
| Spring barley | 4277 (86%) | 70-20-10 |
| Winter wheat | 5617 (86%) | 130-25-10 |
| Camelina crop rotation | ||
| Spring barley | 4277 (86%) | 70-20-10 |
| Camelina b | 1560 (91%) | 80-15-35 |
| Pea b | 2138 (85%) | 0-10-20 |
| Spring barley | 4277 (86%) | 70-20-10 |
| Winter wheat | 5617 (86%) | 130-25-10 |
| Spring barley | 4277 (86%) | 70-20-10 |
| Winter wheat | 5617 (86%) | 130-25-10 |
| Min | Max | Mean | Present Study | |
|---|---|---|---|---|
| Yield of camelina | 214 | 2095 | 1008 (n = 28) | 1560 |
| Yield of following crop a | 3% | 105% | 51% (n = 32) | 75% |
| Allocation Method | ||||
|---|---|---|---|---|
| Energy | Mass | Economic | Macronutrient | |
| With SOC effects | ||||
| Present study | 0.49 | 0.60 | 0.87 | 0.47 |
| Min yield | 5.62 | 4.63 | 10.03 | 5.38 |
| Average yield | 0.92 | 0.94 | 1.64 | 0.88 |
| Max yield | 0.28 | 0.44 | 0.51 | 0.27 |
| Without SOC effects | ||||
| Present study | 1.00 | 0.76 | 1.78 | 0.95 |
| Min yield | 6.16 | 4.81 | 10.99 | 5.90 |
| Average yield | 1.43 | 1.10 | 2.56 | 1.37 |
| Max yield | 0.79 | 0.60 | 1.41 | 0.76 |
Disclaimer/Publisher’s Note: The statements, opinions and data contained in all publications are solely those of the individual author(s) and contributor(s) and not of MDPI and/or the editor(s). MDPI and/or the editor(s) disclaim responsibility for any injury to people or property resulting from any ideas, methods, instructions or products referred to in the content. |
© 2023 by the authors. Licensee MDPI, Basel, Switzerland. This article is an open access article distributed under the terms and conditions of the Creative Commons Attribution (CC BY) license (https://creativecommons.org/licenses/by/4.0/).
Share and Cite
Karlsson Potter, H.; Yacout, D.M.M.; Henryson, K. Climate Assessment of Vegetable Oil and Biodiesel from Camelina Grown as an Intermediate Crop in Cereal-Based Crop Rotations in Cold Climate Regions. Sustainability 2023, 15, 12574. https://doi.org/10.3390/su151612574
Karlsson Potter H, Yacout DMM, Henryson K. Climate Assessment of Vegetable Oil and Biodiesel from Camelina Grown as an Intermediate Crop in Cereal-Based Crop Rotations in Cold Climate Regions. Sustainability. 2023; 15(16):12574. https://doi.org/10.3390/su151612574
Chicago/Turabian StyleKarlsson Potter, Hanna, Dalia M. M. Yacout, and Kajsa Henryson. 2023. "Climate Assessment of Vegetable Oil and Biodiesel from Camelina Grown as an Intermediate Crop in Cereal-Based Crop Rotations in Cold Climate Regions" Sustainability 15, no. 16: 12574. https://doi.org/10.3390/su151612574
APA StyleKarlsson Potter, H., Yacout, D. M. M., & Henryson, K. (2023). Climate Assessment of Vegetable Oil and Biodiesel from Camelina Grown as an Intermediate Crop in Cereal-Based Crop Rotations in Cold Climate Regions. Sustainability, 15(16), 12574. https://doi.org/10.3390/su151612574

