Improvement of Wind-Induced Responses of Twin Towers Using Modal Substructure Method with Link Bridges
Abstract
1. Introduction
- (1)
- Engineering design methods. These methods are employed for specific twin tower projects, using commercial finite element software to establish detailed building models and conduct modal analyses. By combining the generalized aerodynamic forces obtained from wind tunnel tests with the structural dynamic characteristics of the linked twin towers, the wind-induced responses and wind loads are calculated [8]. The advantage of this approach lies in obtaining highly reliable wind-induced responses that can directly guide engineering projects. However, its drawback is that the results obtained are only applicable to the specific project and are not efficient when used for analyzing different link conditions. Consequently, this method is not conducive to guiding wind-resistant design optimization for the linked twin towers.
- (2)
- Theoretical analysis methods. Common simplified calculation models for theoretical analysis include lumped mass models [9], rigid panel models [10,11], and cantilever beam models [12,13,14], among others. Using modal analyses of these simplified models, the natural frequencies and mode shapes of the twin towers are obtained. Utilizing hypothesized modal shapes, Lim et al. [4] introduced a 3D simplified theoretical model to assess the dynamic attributes of the linked twin towers. This model delved into the influence of link stiffness on the frequencies of these structures. While Lim’s model offers a concise equation for computing wind-induced responses of the linked twin towers, its prognostications for generalized forces and estimations of wind-induced responses entail certain ambiguities stemming from the overly simplified modal correction coefficients [15]. Addressing the limitations of Lim’s model, Song [10] proposed a more comprehensive 3D analysis model for the linked twin towers that does not require assumed modal shapes. Based on the rigid panel models, Song derived the mass and stiffness matrices of the linked twin towers and obtained their modal shapes by solving the characteristic equation. Huang [16] simplified the linked twin towers into a lumped-mass model and found that the variations in the link stiffness have minimal impact on the in-phase mode of the twin towers, but significantly affects the out-of-phase mode.
2. Wind Tunnel Experimental Setups
2.1. Testing Model Configurations
2.2. Data Processing
3. Description of MSS Method
4. Application of MSS Method in Wind Resistance Design of Linked Twin Towers
4.1. Structural Design Parameters
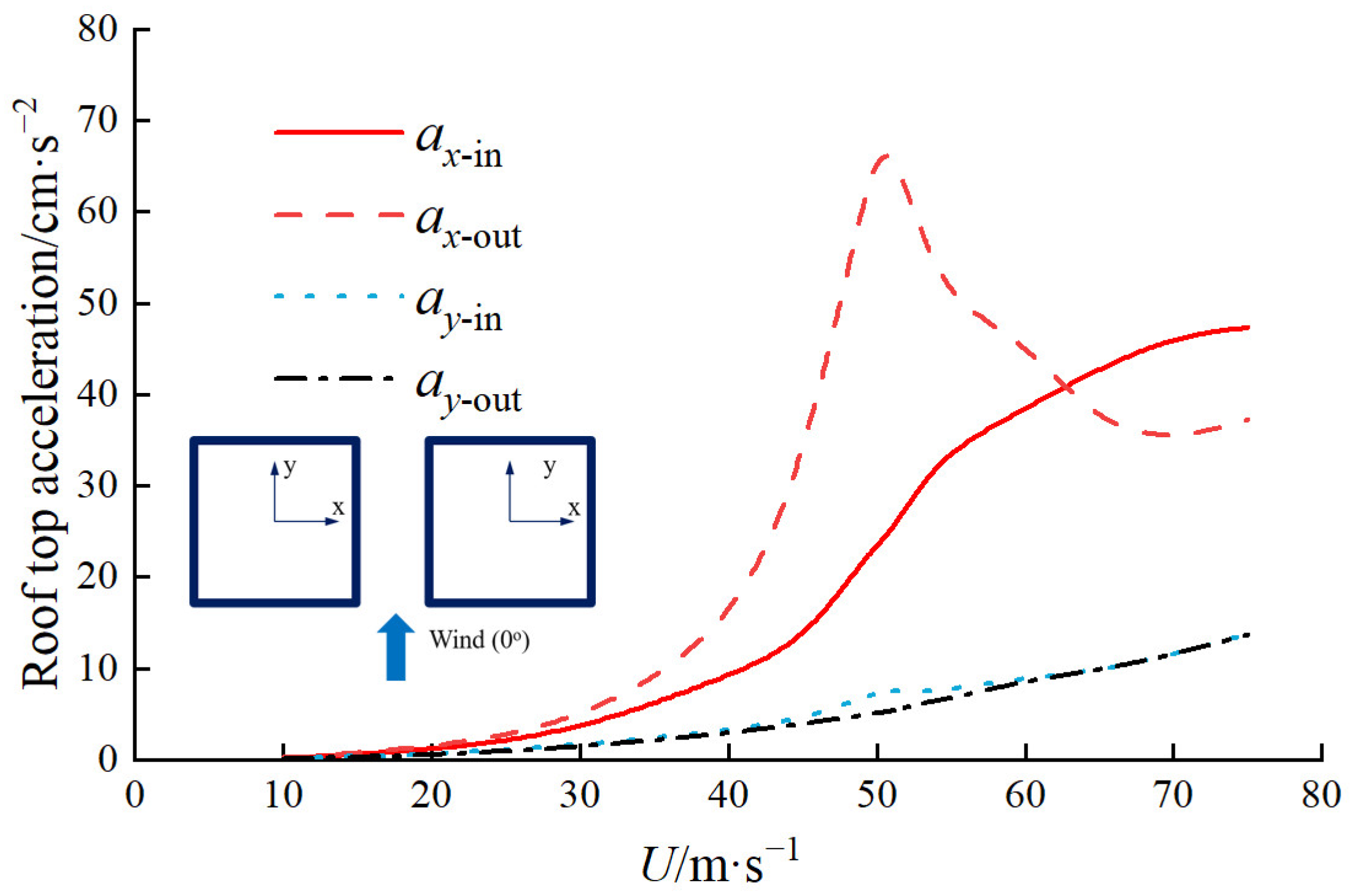
4.2. Improving the Wind-Induced Response in 0° Wind Direction
4.2.1. s/B = 2
4.2.2. s/B = 1
4.2.3. s/B = 0.5
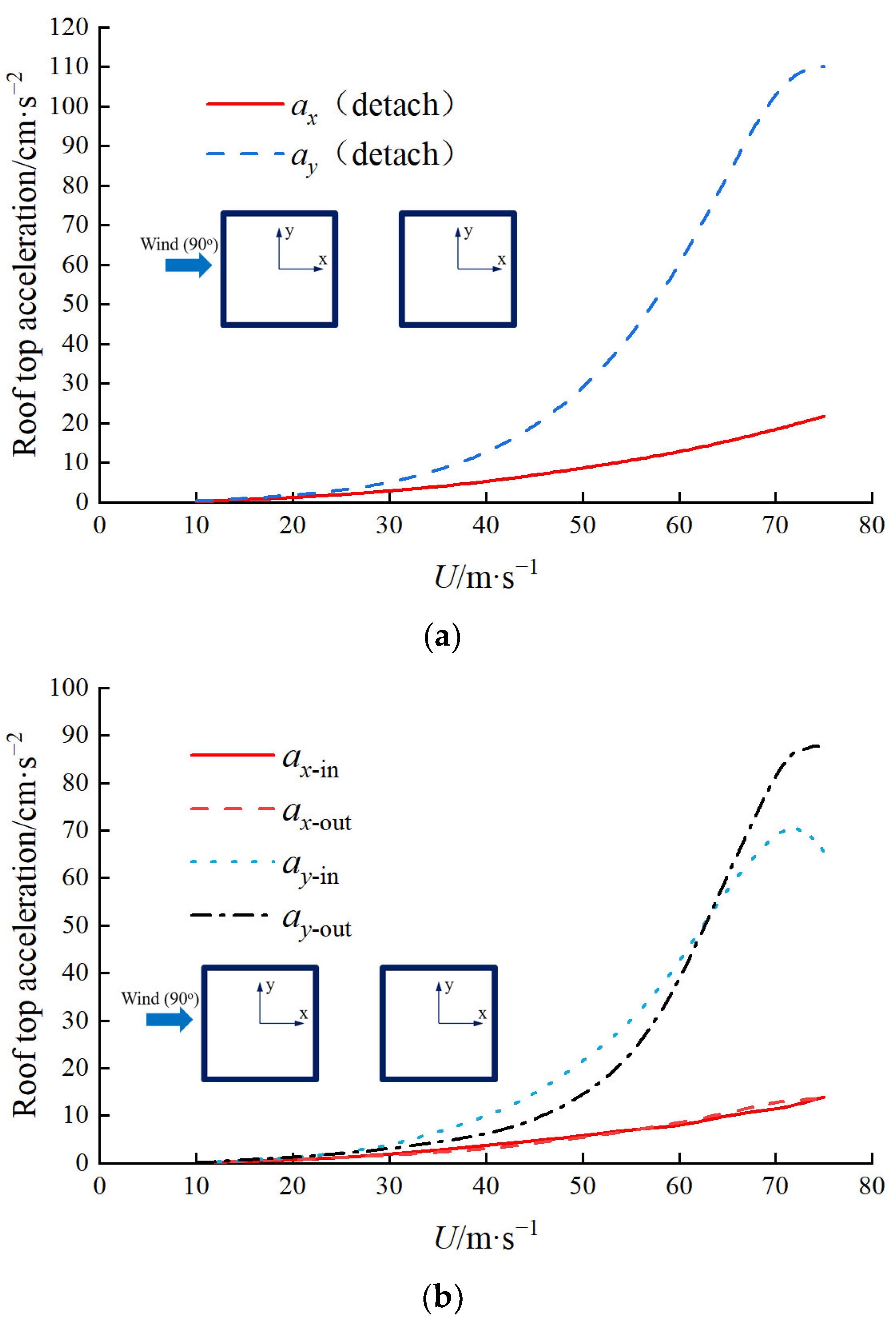
4.3. Improving the Wind-Induced Response in 90° Wind Direction
4.3.1. s/B = 2
4.3.2. s/B = 1 and 0.5
5. Discussion
6. Conclusions
Author Contributions
Funding
Institutional Review Board Statement
Informed Consent Statement
Data Availability Statement
Conflicts of Interest
References
- Sakamoto, H.; Hainu, H.; Obata, Y. Fluctuating forces acting on two square prisms in a tandem arrangement. J. Wind Eng. Ind. Aerodyn. 1987, 26, 85–103. [Google Scholar] [CrossRef]
- Khanduri, A.; Stathopoulos, T.; Bédard, C. Wind-induced interference effects on buildings—A review of the state-of-the-art. Eng. Struct. 1998, 20, 617–630. [Google Scholar] [CrossRef]
- Khanduri, A.C.; Stathopoulos, T.; Bedard, C. Generalization of wind-induced interference effects for two buildings. Wind Struct. 2000, 3, 255–266. [Google Scholar] [CrossRef]
- Lim, J.; Bienkiewicz, B. Wind-induced response of structurally coupled twin tall buildings. Wind Struct. 2007, 10, 383–398. [Google Scholar] [CrossRef]
- Lim, J.; Bienkiewicz, B. Wind tunnel investigation of correlation and coherence of wind loading on generic tall twin buildings in close proximity. Wind Struct. 2014, 18, 443–456. [Google Scholar] [CrossRef]
- Song, J.; Tse, K.; Tamura, Y.; Kareem, A. Aerodynamics of closely spaced buildings: With application to linked buildings. J. Wind Eng. Ind. Aerodyn. 2016, 149, 1–16. [Google Scholar] [CrossRef]
- Xie, J.; Irwin, P.A. Wind-induced response of a twin-tower structure. Wind Struct. 2001, 4, 495–504. [Google Scholar] [CrossRef]
- Huang, G.; Chen, X. Wind load effects and equivalent static wind loads of tall buildings based on synchronous pressure measurements. Eng. Struct. 2007, 29, 2641–2653. [Google Scholar] [CrossRef]
- Dai, X. Influence of Connecting Style on Dynamic Performance and Seicmic Response of Double-Tower-Connected Structure. Master’s Thesis, Chongqing University, Chongqing, China, 2009. [Google Scholar]
- Song, J.; Tse, K.T. Dynamic characteristics of wind-excited linked twin buildings based on a 3-dimensional analytical model. Eng. Struct. 2014, 79, 169–181. [Google Scholar] [CrossRef]
- Song, J.; Tse, K.T.; Hu, G.; Liang, S.; Zou, L. Dynamic Properties of Wind-Excited Linked Tall Buildings Considering both Intrabuilding and Interbuilding Structural Couplings. J. Struct. Eng. 2018, 144, 06017007. [Google Scholar] [CrossRef]
- Chen, Y.; Ying, Z.; Shen, G. Exact solution of free vibration of adjacent buildings interconnected by visco-elastic dampers. Theor. Appl. Mech. Lett. 2020, 10, 132–140. [Google Scholar] [CrossRef]
- Chen, Y.; McFarland, D.; Spencer, B.; Bergman, L. A beam with arbitrarily placed lateral dampers: Evolution of complex modes with damping. J. Vib. Control. 2018, 24, 379–392. [Google Scholar] [CrossRef]
- Christenson, R.E.; Spencer, B.F., Jr.; Johnson, E.A.; Seto, K. Coupled building control considering the effects of building connector configuration. J. Struct. Eng. 2006, 132, 853–863. [Google Scholar]
- Zhou, Y.; Kareem, A.; Gu, M. Mode Shape Corrections for Wind Load Effects. J. Eng. Mech. 2002, 128, 15–23. [Google Scholar] [CrossRef]
- Huang, K. Static, Aseismic, and Wind-Resistant Analysis of the Double-Tower-Connected Structures. Ph.D. Thesis, Zhejiang University, Hangzhou, China, 2001. [Google Scholar]
- Holmes, J.D. Wind Loading of Structures; CRC Press: Boca Raton, FL, USA, 2001. [Google Scholar]
- Qin, W.-F.; Shi, J.-Y.; Yang, X.; Xie, J.; Zuo, S. Characteristics of wind loads on Twin-Tower structure in comparison with single tower. Eng. Struct. 2022, 251, 112780. [Google Scholar] [CrossRef]
- Ginsberg, J.; Seemann, W. Mechanical and Structural Vibration: Theory and Applications; Wiley: New York, NY, USA, 2001. [Google Scholar] [CrossRef]
- Qin, W. Aerodynamic Characteristics and Wind-Resistant Design Optimization of Super-Tall Twin Towers. Ph.D. Thesis, Zhejiang University, Hangzhou, China, 2022. [Google Scholar]




















| Design Parameter | Value |
|---|---|
| the tower height | 300 m |
| the tower width | 45 m |
| the floor height | 4 m |
| the floor mass | 2500 ton/floor |
| natural frequency of each tower | 0.125 Hz (in x & y direction) |
| damping ratio of each tower | 2% |
| the location of the link bridge | on the top floor |
| the mass of the link bridge | 1600 ton(about 1.5% generalized mass of the tower) |
| other design parameters of the link bridge | to be determined |
| The Parameters of in-Phase Mode | The Parameters of Out-of-Phase Mode |
|---|---|
| mass ratio μM = 0.015 | mass ratio μM = 0.015 |
| frequency ratio μω = 1 | frequency ratio μω = 8 |
| damping ratio ζB = 5% | damping ratio ζB = 0% |
Disclaimer/Publisher’s Note: The statements, opinions and data contained in all publications are solely those of the individual author(s) and contributor(s) and not of MDPI and/or the editor(s). MDPI and/or the editor(s) disclaim responsibility for any injury to people or property resulting from any ideas, methods, instructions or products referred to in the content. |
© 2023 by the authors. Licensee MDPI, Basel, Switzerland. This article is an open access article distributed under the terms and conditions of the Creative Commons Attribution (CC BY) license (https://creativecommons.org/licenses/by/4.0/).
Share and Cite
Qin, W.-f.; Tu, Z.; Yu, S.; Xie, J. Improvement of Wind-Induced Responses of Twin Towers Using Modal Substructure Method with Link Bridges. Sustainability 2023, 15, 12397. https://doi.org/10.3390/su151612397
Qin W-f, Tu Z, Yu S, Xie J. Improvement of Wind-Induced Responses of Twin Towers Using Modal Substructure Method with Link Bridges. Sustainability. 2023; 15(16):12397. https://doi.org/10.3390/su151612397
Chicago/Turabian StyleQin, Wei-feng, Zhibin Tu, Shice Yu, and Jiming Xie. 2023. "Improvement of Wind-Induced Responses of Twin Towers Using Modal Substructure Method with Link Bridges" Sustainability 15, no. 16: 12397. https://doi.org/10.3390/su151612397
APA StyleQin, W.-f., Tu, Z., Yu, S., & Xie, J. (2023). Improvement of Wind-Induced Responses of Twin Towers Using Modal Substructure Method with Link Bridges. Sustainability, 15(16), 12397. https://doi.org/10.3390/su151612397

