High-Efficient Elimination of Spiramycin by Fe3O4/ZSM-5/Sch via Heterogeneous Photo-Fenton Oxidation at Neutral pH
Abstract
1. Introduction
2. Materials and Methods
2.1. Synthesis of the Catalysts
2.2. Photocatalytic Activity Experiments
2.3. Analytical Methods
2.4. Calculation
3. Results and Discussion
3.1. Characterization of Catalysts
3.2. Catalytic Activity for Heterogeneous Fenton
3.3. Mechanism Consideration of SPM Degradation
3.3.1. Identification of Active Species
3.3.2. Enhanced Mechanism for Catalytic Activity
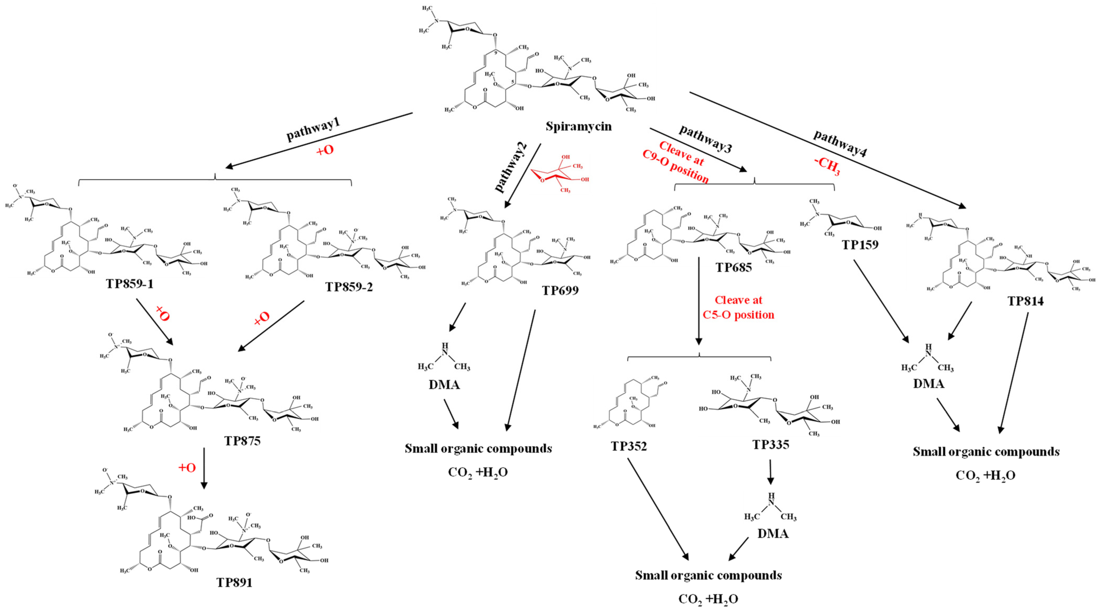
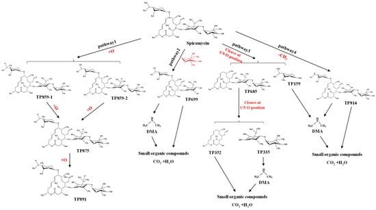
3.4. SPM Degradation Pathways
3.5. Reusability and Stability of the Fe3O4/ZSM-5/Sch Catalyst
4. Conclusions
Supplementary Materials
Author Contributions
Funding
Institutional Review Board Statement
Informed Consent Statement
Data Availability Statement
Conflicts of Interest
References
- Calcagnile, M.; Jeguirim, I.; Tredici, S.M.; Damiano, F.; Alifano, P. Spiramycin Disarms Pseudomonas aeruginosa without Inhibiting Growth. Antibiotics 2023, 12, 499. [Google Scholar] [CrossRef]
- Nasiri, A.; Mokhtari, S.; Jahani, R.; Daraie, B.; Yazdanpanah, H.; Faizi, M.; Kobarfard, F. Challenges for the determination of spiramycin in aqueous matrices using LC-MS/MS: Evidence for t-he solvent intrusion on the molecule integrity. RSC Adv. 2022, 12, 17096–17103. [Google Scholar] [CrossRef] [PubMed]
- Boti, V.; Toli, V.; Efthymiou, C.; Albanis, T. Screening of Commonly Used Antibiotics in Fresh and Saltwater Samples Impacted by Aquacultures: Analytical Methodology, Occurrence and Environmental Risk Assessment. Sustainability 2023, 15, 9199. [Google Scholar] [CrossRef]
- Wang, G.; Liu, H.; Wang, J.; Gong, P.; Cai, C.; Dai, X.; Wang, P. Pretreatment of spiramycin fermentation residue by thermally activated peroxydisulfate for improving biodegradability: Insights into matrix disintegration and antibiotics degradation. Chem. Eng. J. 2022, 427, 130973. [Google Scholar] [CrossRef]
- Xexaki, A.; Papadopoulos, D.K.; Alvanou, M.V.; Giantsis, I.A.; Papageorgiou, K.V.; Delis, G.A.; Petridou, E. Prevalence of Antibiotic Resistant E. coli Strains Isolated from Farmed Broilers and Hens in Greece, Based on Phenotypic and Molecular Analyses. Sustainability 2023, 15, 9421. [Google Scholar] [CrossRef]
- Kanjal, M.I.; Muneer, M.; Jamal, M.A.; Bokhari, T.H.; Wahid, A.; Ullah, S.; Mouni, L. A Study of Treatment of Reactive Red 45 Dye by Advanced Oxidation Processes and Toxicity Evaluation Using Bioassays. Sustainability 2023, 15, 7256. [Google Scholar] [CrossRef]
- Ren, Y.; Shi, M.; Zhang, W.; Dionysiou, D.D.; Lu, J.; Shan, C.; Pan, B. Enhancing the Fenton-like catalytic activity of nFe2O3 by MIL-53 (Cu) support: A mechanistic investigation. Environ. Sci. Technol. 2020, 54, 5258–5267. [Google Scholar] [CrossRef] [PubMed]
- Zhu, Y.; Zhu, R.; Xi, Y.; Zhu, J.; He, H. Strategies for Enhancing the Heterogeneous Fenton Cat-alytic Reactivity: A review. Appl. Catal. B Environ. 2019, 255, 117739. [Google Scholar] [CrossRef]
- Montoya-Bautista, C.V.; Avella, E.; Ramírez-Zamora, R.M.; Schouwenaars, R. Metallurgical wastes employed as catalysts and photocatalysts for water treatment: A review. Sustainability 2019, 11, 2470. [Google Scholar] [CrossRef]
- Bigham, J.M.; Schwertmann, U.; Traina, S.J.; Winland, R.L.; Wolf, M. Schwertmannite and the chemical modeling of iron in acid sulfate waters. Geochim. Cosmochim. Acta 1996, 60, 2111–2121. [Google Scholar] [CrossRef]
- Yan, S.; Zheng, G.; Meng, X.; Zhou, L. Assessment of catalytic activities of selected iron hydroxysulphates biosynthesized using Acidithiobacillus ferrooxidans for the degradation of phenol in heterogeneous Fenton-like reactions. Sep. Purif. Technol. 2017, 185, 83–93. [Google Scholar] [CrossRef]
- Zhang, Z.; Wang, L.; Zhou, B.; Wang, S.; Fan, L.; Hu, S.; Wu, Y. Adsorption performance and mechanism of synthetic schwertmannite to remove low-concentration fluorine in water. Bull. Environ. Contam. Toxicol. 2021, 107, 1191–1201. [Google Scholar] [CrossRef] [PubMed]
- Wang, X.; Ying, H.; Zhao, W.; Feng, X.; Tan, W.; Beyer, K.A.; Zhu, M. Molecular-scale understanding of sulfate exchange from schwertmannite by chromate versus arsenate. Environ. Sci. Technol. 2021, 55, 5857–5867. [Google Scholar] [CrossRef] [PubMed]
- Ma, S.; Jing, J.; Liu, P.; Li, Z.; Jin, W.; Xie, B.; Zhao, Y. High selectivity and effectiveness for removal of tetracycline and its related drug resistance in food wastewater through schwertmannite/graphene oxide catalyzed photo-Fenton-like oxidation. J. Hazard. Mater. 2020, 392, 122437. [Google Scholar] [CrossRef] [PubMed]
- Wang, X.; Chen, Y.; Li, T.; Liang, J.; Zhou, L. High-efficient elimination of roxarsone by MoS2@ Schwertmannite via heterogeneous photo-Fenton oxidation and simultaneous arsenic immobilization. Chem. Eng. J. 2021, 405, 126952. [Google Scholar] [CrossRef]
- Li, T.; Wang, X.; Chen, Y.; Liang, J.; Zhou, L. Producing ·OH, SO4·− and ·O2− in heterogeneous Fenton reaction induced by Fe3O4-modified schwertmannite. Chem. Eng. J. 2020, 393, 124735. [Google Scholar] [CrossRef]
- Meng, X.; Yan, S.; Wu, W.; Zheng, G.; Zhou, L. Heterogeneous Fenton-like degradation of phenanthrene catalyzed by schwertmannite biosynthesized using acidithiobacillus ferrooxidans. RSC Adv. 2017, 7, 21638–21648. [Google Scholar] [CrossRef]
- Su, R.; Xie, C.; Sikpaam, I.; Huang, S.; Chen, R.; Xiang, S.; Wang, Z.; Hang, L. Oxygen Reduction Reaction in the Field of Water Environment for Application of Nanomaterials. Nanomaterials 2020, 10, 1719. [Google Scholar] [CrossRef]
- Kasiri, M.B.; Aleboyeh, H.; Aleboyeh, A. Degradation of Acid Blue 74 using Fe-ZSM5 zeolite as a heterogeneous photo-Fenton catalyst. Appl. Catal. B Environ. 2008, 84, 9–15. [Google Scholar] [CrossRef]
- Regenspurg, S.; Brand, A.; Peiffer, S. Formation and stability of schwertmannite in acidic mining lakes. Geochim. Cosmochim. Acta 2004, 68, 1185–1197. [Google Scholar] [CrossRef]
- Mieritz, D.G.; Renaud, A.; Seo, D.K. Unusual Changes in Electronic Band-Edge Energies of the Nanostructured Transparent n-Type Semiconductor Zr-Doped Anatase TiO2 (Ti1-xZrxO2; x<0.3). Inorg. Chem. 2016, 55, 6574–6578. [Google Scholar] [CrossRef] [PubMed]
- Xia, H.; Zhang, Z.; Liu, J.; Deng, Y.; Zhang, D.; Du, P.; Zhang, S.; Lu, X. Novel Fe-Mn-O nanosheets/wood carbon hybrid with tunable surface properties as a superior catalyst for Fenton-like oxidation. Appl. Catal. B Environ. 2019, 259, 118058. [Google Scholar] [CrossRef]
- Yang, X.; Wang, F.; Wei, R.; Li, S.; Wu, Y.; Shen, P.; Wang, H.; Gao, L.; Xiao, G. Synergy effect between hierarchical structured and Sn-modified H [Sn, Al] ZSM-5 zeolites on the catalysts for glycerol aromatization. Microporous Mesoporous Mater. 2018, 257, 154–161. [Google Scholar] [CrossRef]
- Inagaki, S.; Shinoda, S.; Hayashi, S.; Wakihara, T.; Yamazaki, H.; Kondo, J.N.; Kubota, Y. Improvement in the catalytic properties of ZSM-5 zeolite nanoparticles via mechanochemical and chemical modifications. Catal. Sci. Technol. 2016, 6, 2598–2604. [Google Scholar] [CrossRef]
- Kim, J.; Choe, Y.J.; Kim, S.H.; Jeong, K. Enhancing the decomposition of refractory contaminants on SO42−-functionalized iron oxide to accommodate surface SO4·− generated via radical transfer from ·OH. Appl. Catal. B Environ. 2019, 252, 62–76. [Google Scholar] [CrossRef]
- Liu, Z.; Tian, J.; Yu, C.; Fan, Q.; Liu, X.; Yang, K.; Zeng, J.; Ji, H. Ultrasonic fabrication of SO42− doped g-C3N4/Ag3PO4 composite applied for effective removal of dyestuffs and antibiotics. Mater. Chem. Phys. 2020, 240, 122206. [Google Scholar] [CrossRef]
- Mamba, G.; Mishra, A.K. Graphitic carbon nitride (g-C3N4) nanocomposites: A new and exciting generation of visible light driven photocatalysts for environmental pollution remediation. Appl. Catal. B Environ. 2016, 198, 347–377. [Google Scholar] [CrossRef]
- Li, T.; Liang, J.; Zhou, L. Fabricating Fe3O4-schwertmannite as a Z-scheme photocatalyst with excellent photocatalysis-Fenton reaction and recyclability. J. Environ. Sci. 2020, 98, 186–195. [Google Scholar] [CrossRef]
- Yao, L.; Zhou, Y.; Guo, S.; Ma, Y.; Liu, D.; Jin, Z. Comparison of VOCs adsorption performance between Y and ZSM-5 zeolite. Chin. J. Environ. Eng. 2022, 16, 182–189. [Google Scholar] [CrossRef]
- Li, T.; Chen, Y.; Wang, X.; Liang, J.; Zhou, L. Modifying organic carbon in Fe3O4-loaded schwertmannite to improve heterogeneous Fenton activity through accelerating Fe(II) generation. Appl. Catal. B Environ. 2020, 285, 119830. [Google Scholar] [CrossRef]
- Gong, C.; Chen, F.; Yang, Q.; Luo, K.; Yao, F.; Wang, S.; Wang, X.; Wu, J.; Li, X.; Wang, D. Heterogeneous activation of peroxymonosulfate by Fe-Co layered doubled hydroxide for efficient catalytic degradation of Rhoadmine B. Chem. Eng. J. 2017, 321, 222–232. [Google Scholar] [CrossRef]
- Luo, Y.; Su, R.; Yao, H.; Zhang, A.; Xiang, S.; Huang, L. Degradation of trimethoprim by sulfate radical-based advanced oxidation processes: Kinetics, mechanisms, and effects of natural water matrices. Environ. Sci. Pollut. Res. 2021, 28, 62572–62582. [Google Scholar] [CrossRef]
- Su, R.; Chai, L.; Tang, C.; Li, B.; Yang, Z. Comparison of the degradation of molecular and ionic ibuprofen in a UV/H2O2 system. Water Sci. Technol. 2018, 77, 2174–2183. [Google Scholar] [CrossRef] [PubMed]
- Yan, S.; Zhan, L.; Meng, X.; Wang, D.; Wang, X.; Zheng, G.; Lu, J.; Zhou, L. Role of schwertmannite or jarosite in photocatalytic degradation of sulfamethoxazole in ultraviolet/peroxydisulfate system. Sep. Purif. Technol. 2021, 274, 118991. [Google Scholar] [CrossRef]
- Kader, S.; Al-Mamun, M.R.; Suhan, M.B.K.; Shuchi, S.B.; Islam, M.S. Enhanced photodegradation of methyl orange dye under UV irradiation using MoO3 and Ag doped TiO2 photocatalysts. Environ. Technol. Innov. 2022, 27, 102476. [Google Scholar] [CrossRef]
- Hao, H.; Lu, D.; Wang, Q. Photoelectrochemical study on charge separation mechanisms of Bi2WO6 quantum dots decorated g-C3N4. Int. J. Hydrogen Energy 2018, 43, 8824–8834. [Google Scholar] [CrossRef]
- Ye, Q.; Huang, Z.; Wu, P.; Wu, J.; Dang, Z. Promoting the photogeneration of hydrochar reactive oxygen species based on Fe-Al layered double hydroxide for diethyl phthalate degradation. J. Hazard. Mater. 2020, 388, 122120. [Google Scholar] [CrossRef] [PubMed]
- Xu, S.; Wang, M.; Saranya, G.; Chen, N.; Zhang, L.; He, Y.; Wu, L.; Gong, Y.; Yao, Z. Pressure-driven catalyst synthesis of Co-doped Fe3C@Carbon nano-onions for efficient oxygen evolution reaction. Appl. Catal. B Environ. 2020, 268, 118385. [Google Scholar] [CrossRef]
- Yu, J.; Ma, T.; Liu, S. Enhanced Photocatalytic Activity of Mesoporous TiO2 Aggregates by Embedding Carbon Nanotubes as Electron-Transfer Channel. Phys. Chem. Chem. Phys. 2011, 13, 3491–3501. [Google Scholar] [CrossRef] [PubMed]
- Chang, C.; Kan, L.; Mu, W.; Wang, Q.; Lu, S. Tetragonal/orthorhombic-bismuth tungstate homojunction formed through in situ bismuth induced phase transformation as highly efficient photocatalyst for pollutant degradation. J. Colloid Interface Sci. 2022, 607, 269–280. [Google Scholar] [CrossRef]
- Rayalu, S.S.; Dubey, N.; Labhsetwar, N.K.; Kagne, S.; Devotta, S. UV and visibly active photocatalysts for water splitting reaction. Int. J. Hydrogen Energy 2007, 32, 2776–2783. [Google Scholar] [CrossRef]
- Wang, L.; Yan, T.; Tang, R.; Ping, Q.; Li, Y.; Wang, J. Motivation of reactive oxidation species in peracetic acid by adding nanoscale zero-valent iron to synergic removal of spiramycin under ultraviolet irradiation: Mechanism and n-nitrosodimethylamine formation potential assessment. Water Res. 2021, 205, 117684. [Google Scholar] [CrossRef] [PubMed]
- Dou, Y.; Yan, T.; Zhang, Z.; Sun, Q.; Wang, L.; Li, Y. Heterogeneous activation of peroxydisulfate by sulfur-doped g-C3N4 under visible-light irradiation: Implications for the degradation of SPM and an assessment of N-nitrosodimethylamine formation potential. J. Hazard. Mater. 2021, 406, 124328. [Google Scholar] [CrossRef] [PubMed]








Disclaimer/Publisher’s Note: The statements, opinions and data contained in all publications are solely those of the individual author(s) and contributor(s) and not of MDPI and/or the editor(s). MDPI and/or the editor(s) disclaim responsibility for any injury to people or property resulting from any ideas, methods, instructions or products referred to in the content. |
© 2023 by the authors. Licensee MDPI, Basel, Switzerland. This article is an open access article distributed under the terms and conditions of the Creative Commons Attribution (CC BY) license (https://creativecommons.org/licenses/by/4.0/).
Share and Cite
Yi, J.; Xu, J.; Liu, J.; Zheng, Y.; Wang, Q. High-Efficient Elimination of Spiramycin by Fe3O4/ZSM-5/Sch via Heterogeneous Photo-Fenton Oxidation at Neutral pH. Sustainability 2023, 15, 12343. https://doi.org/10.3390/su151612343
Yi J, Xu J, Liu J, Zheng Y, Wang Q. High-Efficient Elimination of Spiramycin by Fe3O4/ZSM-5/Sch via Heterogeneous Photo-Fenton Oxidation at Neutral pH. Sustainability. 2023; 15(16):12343. https://doi.org/10.3390/su151612343
Chicago/Turabian StyleYi, Jiali, Junjun Xu, Jiatong Liu, Yue Zheng, and Qiong Wang. 2023. "High-Efficient Elimination of Spiramycin by Fe3O4/ZSM-5/Sch via Heterogeneous Photo-Fenton Oxidation at Neutral pH" Sustainability 15, no. 16: 12343. https://doi.org/10.3390/su151612343
APA StyleYi, J., Xu, J., Liu, J., Zheng, Y., & Wang, Q. (2023). High-Efficient Elimination of Spiramycin by Fe3O4/ZSM-5/Sch via Heterogeneous Photo-Fenton Oxidation at Neutral pH. Sustainability, 15(16), 12343. https://doi.org/10.3390/su151612343
