Combining Data-Driven and Model-Driven Approaches for Optimal Distributed Control of Standalone Microgrid
Abstract
1. Introduction
1.1. Motivation and Bibliographic Review
1.2. Aim and Contribution
- A new distributed secondary control scheme for voltage and frequency control and active and reactive power exchange of MGs is proposed without relying on the traditional hierarchical droop control strategy, removing the need to rely on the output impedance of inverter and communication links between primary and secondary control. One of the best and most promising solutions to ensuring grid stability is through new secondary control with the attribute of controlling fluctuations in electrical demand and renewable generation, unlike the conventional centralized secondary control, which is prone to a single point of failure.
- The stability of MGs is analysed through the proposed secondary control, which refers to a decentralised approach for smooth power output from DERs. Distributed secondary control works on ML technology to make self-control decisions by gathering information from neighbouring DGs. The suggested approach offers multiple advantages, such as increased reliability and robustness to dynamic grid conditions and interactions. It should also be emphasised that the proposed methodology developed in this paper can give better results by ensuring the stability of the whole system despite the communication failure.
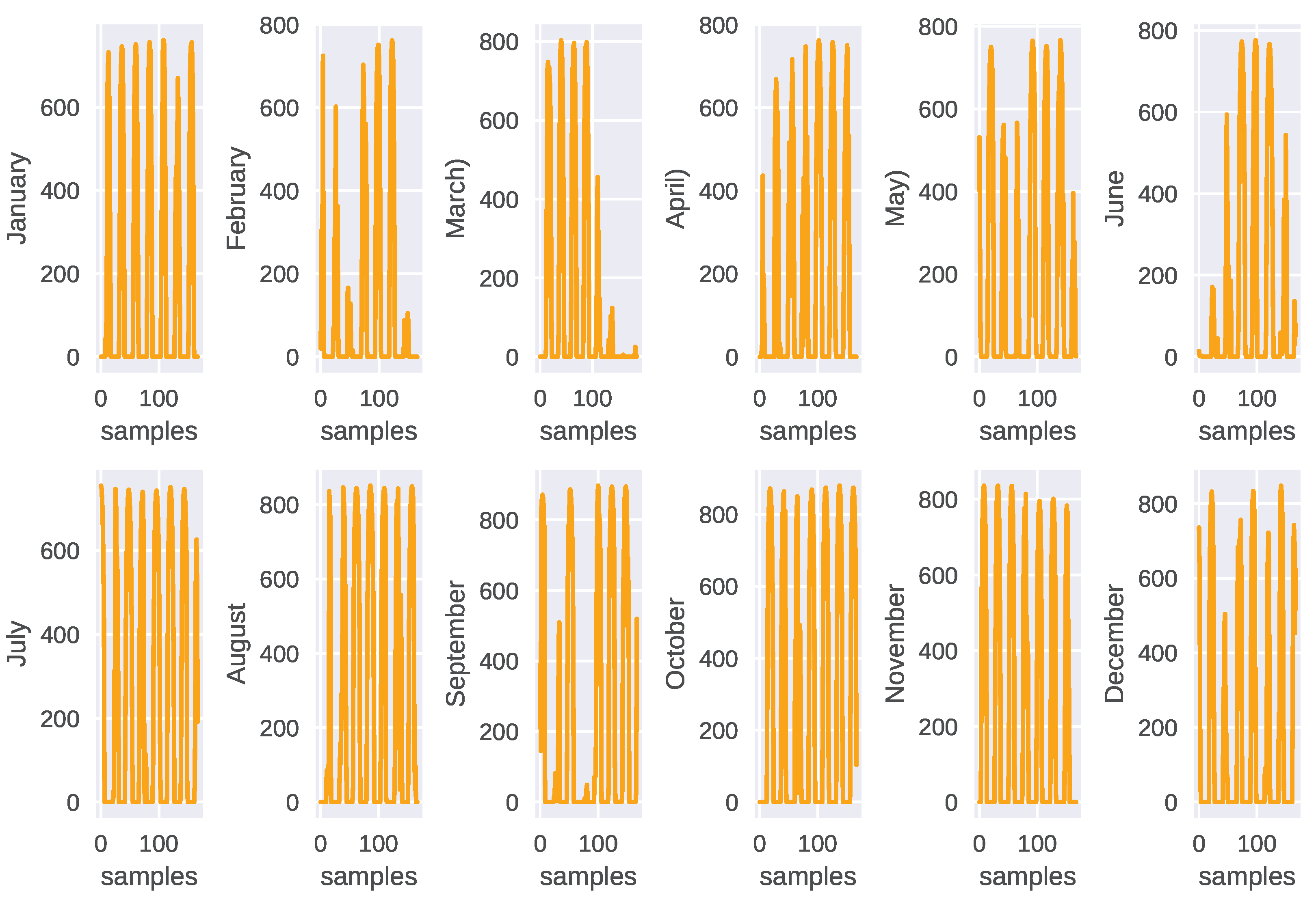
- A ML-based LSTM approach is proposed for forecasting hourly PV power output using historical as well as real-time data. The area selected is our institute campus, where currently no solar rooftop system has been erected or is operational. Figure 2 illustrates the hourly load demand profile for one complete year, encompassing both days and nights, totaling 8760 h. However, for simplicity and ease of understanding, the 8760 data points have been down-sampled to only 365 samples. This down-sampled representation is based on historical data taken from local substation and serves to visualise the inherent randomness in the load profile for the proposed location.
- The steady-state data of the novel secondary control is utilised for estimating the future disturbance size in the proposed system.
2. Methodology Framework
- Data collection. System data, including irradiance, ambient temperature, wind speed, and weather data, are collected.
- Data preprocessing. The collected data is cleaned, normalised, and transformed into a form suitable for training and testing.
- Model development. Mathematical models are developed to predict renewable generation, load demand, and eventually the system’s behaviour.
- Optimisation. An optimisation algorithm is applied to the developed model to find the optimal operation strategy for the proposed MG system. The objective is to minimise the operation cost while ensuring that the energy demand is met and the system operates within the permissible limits.
- Control implementation. The optimized operation strategy is implemented by controlling the DERs, using novel distributed secondary control.
3. Applications of Data-Driven Approach
- Energy management. The actual monthly irradiance (kw/m) of the proposed location is shown in Figure 3. For ease of understanding, 720 h of every month have been down-sampled to 100 h only. Furthermore, the data-based actual and forecasted solar irradiance of the proposed location is shown in Figure 4. Data-driven approaches can be used to optimise energy management in smart MG systems. Real-time data from smart metres, weather forecasts, and other intelligent monitoring devices can be used to predict generation, energy demand, and the requirement for energy storage devices to regulate energy supply and demand.
- Fault detection and diagnosis. Data-driven techniques can be used to detect and diagnose faults in smart MG systems. Machine learning algorithms can be trained to identify anomalies at power generation, distribution, and consumption stages, which can help in identifying potential faults and help power system operators to take corrective measures.
- Renewable energy integration. Smart MGs can integrate RES such as solar and wind power on a large scale by using advanced techniques. Data-driven approaches can be used to optimise the use of these sources, taking into account weather conditions and energy demand.
- Load forecasting. Data-driven approaches can be used to forecast load and renewable generation in smart MG systems. ML-based algorithms can be trained to predict future energy consumption patterns based on historical data, which can help in planning power generation and distribution.
- Predictive maintenance. Data-driven approaches can be used to predict maintenance requirements for smart MG systems. ML algorithms can be trained to predict maintenance of different components such as batteries or inverters, which can help reduce downtime and extend component lifetimes.
- Energy trading. Data-driven approaches can be used to enable peer-to-peer energy trading in smart MG systems. Block-chain-based platforms can be used to securely trade energy between prosumers, which can help reduce energy costs and increase energy efficiency.
3.1. Forecasting and Anomaly Detection
- Forget gate. The forget gate determines what percentage of long-term memory to remember/forget.
- Input gate. The input gate creates a potential for new long-term memory based on input and determines what percentage of that long-term memory is to be retained.
- Output gate. It uses a percentage of long-term memory (determined by input) to give an output.
3.2. Energy Management
3.3. Microgrid Operation and Control
4. Novel Control Strategy of Microgrid
- Management layer. This layer is responsible for monitoring the overall status of the MG and making high-level decisions. It includes functions such as load forecasting, energy management, and coordination with the main power grid.
- Control layer. This layer is responsible for maintaining the stability of the MG by regulating the power output of all DERs. It performs functions such as voltage regulation, frequency control, and power balancing.
- Device layer. This layer deals with the individual DERs and their controllers, which adjust their power output based on the signals received from the control layer. It includes functions such as inverter control, battery management, and generation control.
4.1. Data-Driven-Based MG Operation and Control
4.2. ML-Based Optimization
4.3. Other Aspects
5. Concluding Remarks and Future Research Directions
- Data-driven transactive energy for optimal operation of DERs;
- Data-driven demand response management;
- Data-based planning and control of modern grids;
- Data-based cyber security analysis in modern grids.
Author Contributions
Funding
Institutional Review Board Statement
Informed Consent Statement
Data Availability Statement
Acknowledgments
Conflicts of Interest
Abbreviations
| AMI | Advanced metering infrastructure |
| MG | Microgrid |
| DG | Distributed generation |
| ML | Machine learning |
| AI | Artificial intelligence |
| DRL | Deep reinforcement learning |
| ESD | Energy storage devices |
| DGS | Distributed generation system |
| SPV | Solar photo voltaic |
| SP | Supervised learning |
| UL | Unsupervised learning |
| DL | Deep learning |
| NN | Neural network |
| ANN | Artificial neural network |
| NREL | National renewable energy laboratory |
| SVM | Support vector machine |
| LSTM | Long short-term memory |
| PMU | Phasor measurement Unit |
| AMI | Advanced metering infrastructure |
| ESD | Energy storage devices |
| DDA | Data-driven method |
| EV | Electric vehicles |
| OPF | Optimal power flow |
| IBR | Inverter-based resources |
References
- Kroposki, B.; Johnson, B.; Zhang, Y.; Gevorgian, V.; Denholm, P.; Hodge, B.M.; Hannegan, B. Achieving a 100% renewable grid: Operating electric power systems with extremely high levels of variable renewable energy. IEEE Power Energy Mag. 2017, 15, 61–73. [Google Scholar] [CrossRef]
- Hou, Q.; Zhang, N.; Du, E.; Miao, M.; Peng, F.; Kang, C. Probabilistic duck curve in high PV penetration power system: Concept, modeling, and empirical analysis in China. Appl. Energy 2019, 242, 205–215. [Google Scholar] [CrossRef]
- Majumder, R. Some aspects of stability in microgrids. IEEE Trans. Power Syst. 2013, 28, 3243–3252. [Google Scholar] [CrossRef]
- Singh, K.; Amir, M.; Ahmad, F.; Refaat, S.S. Enhancement of Frequency Control for Stand-Alone Multi-Microgrids. IEEE Access 2021, 9, 79128–79142. [Google Scholar] [CrossRef]
- Gomez-Exposito, A.; Conejo, A.J.; Cañizares, C. Electric Energy Systems: Analysis and Operation; CRC Press: Boca Raton, FL, USA, 2018. [Google Scholar]
- Zhang, Y.; Xu, Y.; Dong, Z.Y. Robust ensemble data analytics for incomplete PMU measurements-based power system stability assessment. IEEE Trans. Power Syst. 2017, 33, 1124–1126. [Google Scholar] [CrossRef]
- Ren, C.; Xu, Y.; Zhang, Y. Post-disturbance transient stability assessment of power systems towards optimal accuracy-speed tradeoff. Prot. Control. Mod. Power Syst. Vol. 2018, 3, 19. [Google Scholar] [CrossRef]
- Lin, C.J.; Chen, A.T.; Chiou, C.Y.; Huang, C.H.; Chiang, H.D.; Wang, J.C.; Fekih-Ahmed, L. Dynamic load models in power systems using the measurement approach. IEEE Trans. Power Syst. 1993, 8, 309–315. [Google Scholar] [CrossRef]
- Duchesne, L.; Karangelos, E.; Wehenkel, L. Recent developments in machine learning for energy systems reliability management. Proc. IEEE 2020, 108, 1656–1676. [Google Scholar] [CrossRef]
- Wang, J.; Zhong, H.; Lai, X.; Xia, Q.; Wang, Y.; Kang, C. Exploring key weather factors from analytical modeling toward improved solar power forecasting. IEEE Trans. Smart Grid 2017, 10, 1417–1427. [Google Scholar] [CrossRef]
- National Renewable Energy Laboratory History. Available online: https://www.nrel.gov/docs/fy23osti/84180.pdf (accessed on 5 August 2023).
- Esmaeili, S.; Anvari-Moghaddam, A.; Jadid, S. Optimal operational scheduling of reconfigurable multi-microgrids considering energy storage systems. Energies 2019, 12, 1766. [Google Scholar] [CrossRef]
- Radosavljević, J.; Arsić, N.; Milovanović, M.; Ktena, A. Optimal placement and sizing of renewable distributed generation using hybrid metaheuristic algorithm. J. Mod. Power Syst. Clean Energy 2020, 8, 499–510. [Google Scholar] [CrossRef]
- Liu, P.; Cai, Z.; Xie, P.; Li, X.; Zhang, Y. A decomposition-coordination planning method for flexible generation resources in isolated microgrids. IEEE Access 2019, 7, 76720–76730. [Google Scholar] [CrossRef]
- Giraldo, J.S.; Castrillon, J.A.; Lopez, J.C.; Rider, M.J.; Castro, C.A. Microgrids energy management using robust convex programming. IEEE Trans. Smart Grid 2018, 10, 4520–4530. [Google Scholar] [CrossRef]
- Baltas, N.G.; Mazidi, P.; Ma, J.; de Asis Fernandez, F.; Rodriguez, P. A comparative analysis of decision trees, support vector machines and artificial neural networks for on-line transient stability assessment. In Proceedings of the 2018 International Conference on Smart Energy Systems and Technologies (SEST), Seville, Spain, 10–12 September 2018; IEEE Conference. pp. 1–6. [Google Scholar]
- He, M.; Zhang, J.; Vittal, V. Robust online dynamic security assessment using adaptive ensemble decision-tree learning. IEEE Trans. Power Syst. 2013, 28, 4089–4098. [Google Scholar] [CrossRef]
- Henao-Muñoz, A.C.; Saavedra-Montes, A.J.; Ramos-Paja, C.A. Energy management system for an isolated microgrid with photovoltaic generation. In Proceedings of the 2017 14th International Conference on Synthesis, Modeling, Analysis and Simulation Methods and Applications to Circuit Design (SMACD), Giardini Naxos, Italy, 12–15 June 2017; IEEE Conference. pp. 1–4. [Google Scholar]
- Ruiz-Cortes, M.; Gonzalez-Romera, E.; Amaral-Lopes, R.; Romero-Cadaval, E.; Martins, J.; Milanes-Montero, M.I.; Barrero-Gonzalez, F. Optimal charge/discharge scheduling of batteries in microgrids of prosumers. IEEE Trans. Energy Convers. 2018, 34, 468–477. [Google Scholar] [CrossRef]
- Nejabatkhah, F.; Li, Y.W.; Nassif, A.B.; Kang, T. Optimal design and operation of a remote hybrid microgrid. CPSS Trans. Power Electron. Appl. 2018, 3, 3–13. [Google Scholar] [CrossRef]
- Bani-Ahmed, A.; Rashidi, M.; Nasiri, A.; Hosseini, H. Reliability analysis of a decentralized microgrid control architecture. IEEE Trans. Smart Grid 2018, 10, 3910–3918. [Google Scholar] [CrossRef]
- Nguyen, H.P.; Baraldi, P.; Zio, E. Ensemble empirical mode decomposition and long short-term memory neural network for multi-step predictions of time series signals in nuclear power plants. Appl. Energy 2021, 283, 116346. [Google Scholar] [CrossRef]
- Karagiannopoulos, S.; Aristidou, P.; Hug, G. Data-driven local control design for active distribution grids using off-line optimal power flow and machine learning techniques. IEEE Trans. Smart Grid 2019, 10, 6461–6471. [Google Scholar] [CrossRef]
- Sun, X.; Qiu, J.; Zhao, J. Real-time volt/var control in active distribution networks with data-driven partition method. IEEE Trans. Power Syst. 2020, 36, 2448–2461. [Google Scholar] [CrossRef]

















| Aspect | Data-Driven Approach | Model-Based Approach |
|---|---|---|
| Scability | 1. It can adapt to changing conditions and unforseen events. 2. Can learn from historical and real-time data. 3. Can predict future events. | 1. Static models cannot adapt to changing conditions. 2. Works on static models. 3. Cannot capture future events. |
| Learning capability | 1. Reliable for large systems. 2. Unfolds hidden information embedded in large datasets. 3. Suitable for online applications. | 1. Suitable for small-sized microgrids. 2. Suitable for offline applications. 3. Developing accurate models is challenging. |
| No need for exact system knowledge | 1. Data-driven models do not require precise understanding of all components. 2. Less Reliable for large systems. | 1. Require significant computational resources. 2. Accuracy of model can be time consuming. |
| Nature of model | 1. In data-driven approach, a dynamic model represents behaviour of a system over time. 2. Execution of method is easy, as time per iterations are least. 3. Intelligently controlled 4. Future power system will be data-driven. | 1. A static model gives time-invariant input–output relationship of a system. 2. Other approaches are needed to obtain the desired accuracy. 3. The application of a model-based approach will be less accurate. 4. Works on past experience. |
| S. No. | Models | Training Time | RMSE | MAPE | Convergence Time |
|---|---|---|---|---|---|
| 1 | LSTM | 66.219 s | 1.392% | 5.5% | 66 s |
| 2 | Regression learning | 132.838 s | 42.94% | 11.92% | 115 s |
Disclaimer/Publisher’s Note: The statements, opinions and data contained in all publications are solely those of the individual author(s) and contributor(s) and not of MDPI and/or the editor(s). MDPI and/or the editor(s) disclaim responsibility for any injury to people or property resulting from any ideas, methods, instructions or products referred to in the content. |
© 2023 by the authors. Licensee MDPI, Basel, Switzerland. This article is an open access article distributed under the terms and conditions of the Creative Commons Attribution (CC BY) license (https://creativecommons.org/licenses/by/4.0/).
Share and Cite
Ahangar, P.A.; Lone, S.A.; Gupta, N. Combining Data-Driven and Model-Driven Approaches for Optimal Distributed Control of Standalone Microgrid. Sustainability 2023, 15, 12286. https://doi.org/10.3390/su151612286
Ahangar PA, Lone SA, Gupta N. Combining Data-Driven and Model-Driven Approaches for Optimal Distributed Control of Standalone Microgrid. Sustainability. 2023; 15(16):12286. https://doi.org/10.3390/su151612286
Chicago/Turabian StyleAhangar, Parvaiz Ahmad, Shameem Ahmad Lone, and Neeraj Gupta. 2023. "Combining Data-Driven and Model-Driven Approaches for Optimal Distributed Control of Standalone Microgrid" Sustainability 15, no. 16: 12286. https://doi.org/10.3390/su151612286
APA StyleAhangar, P. A., Lone, S. A., & Gupta, N. (2023). Combining Data-Driven and Model-Driven Approaches for Optimal Distributed Control of Standalone Microgrid. Sustainability, 15(16), 12286. https://doi.org/10.3390/su151612286

