Analysis of Spatial and Temporal Evolution of Regional Water Resources Carrying Capacity and Influencing Factors—Anhui Province as an Example
Abstract
1. Introduction
2. Methods
2.1. Study Area
2.2. Indicator Selection and Data Sources
2.3. Research Methodology
2.3.1. Composite Index Model
- (1)
- First, the indicators were categorized into positive and negative indicators based on the characteristics of water resources carrying capacity. Subsequently, the indicators were made dimensionless according to their attributes;For positive indicators:For negative indicators:where denotes the i-th study subject, represents the j-th indicator, signifies the raw data, and refers to the standardized data.
- (2)
- Calculate the entropy weight of indicators . The entropy weight depends on the degree of indicator dispersion. The more dispersed an indicator is, the more information it carries, resulting in a higher weight for that indicator. The calculation process is as follows:where denotes the entropy value of the j-th indicator and , represents the entropy weight of the j-th indicator;
- (3)
- Calculate the CRITIC weight of indicators . The CRITIC weight model is an objective weight model that uses the confrontation and conflict between indicators to describe their importance of things, which can take into account the interrelationship within the indicators and reduce the impact of the extreme values of the weight of a data indicator on the totality of the study, calculated by the formula:where denotes the correlation coefficient between indicator and , represents the variance of the j-th indicator, and signifies the weight of the j-th indicator under the CRITIC weighting model;
- (4)
- Calculate the comprehensive weight. According to the research of relevant scholars and combined with the water resources carrying capacity index system, the entropy weight and CRITIC weight of the j-th index are expressed by , , respectively; then, the comprehensive weight is defined as follows:where α represents a constant and, herein, α = 0.5 is taken according to the research results of related scholars [31].
2.3.2. Spatial Kernel-Density Estimation
2.3.3. Dagum Gini Coefficient Decomposition
2.3.4. Markov Chain Model
3. Results
3.1. Analysis of the Evolutionary Trend of WRCC in Anhui Province
3.2. Kernel-Density Estimation of WRCC in Anhui Province
3.2.1. Conventional Kernel-Density Estimation
3.2.2. Unconditional Kernel-Density Estimation
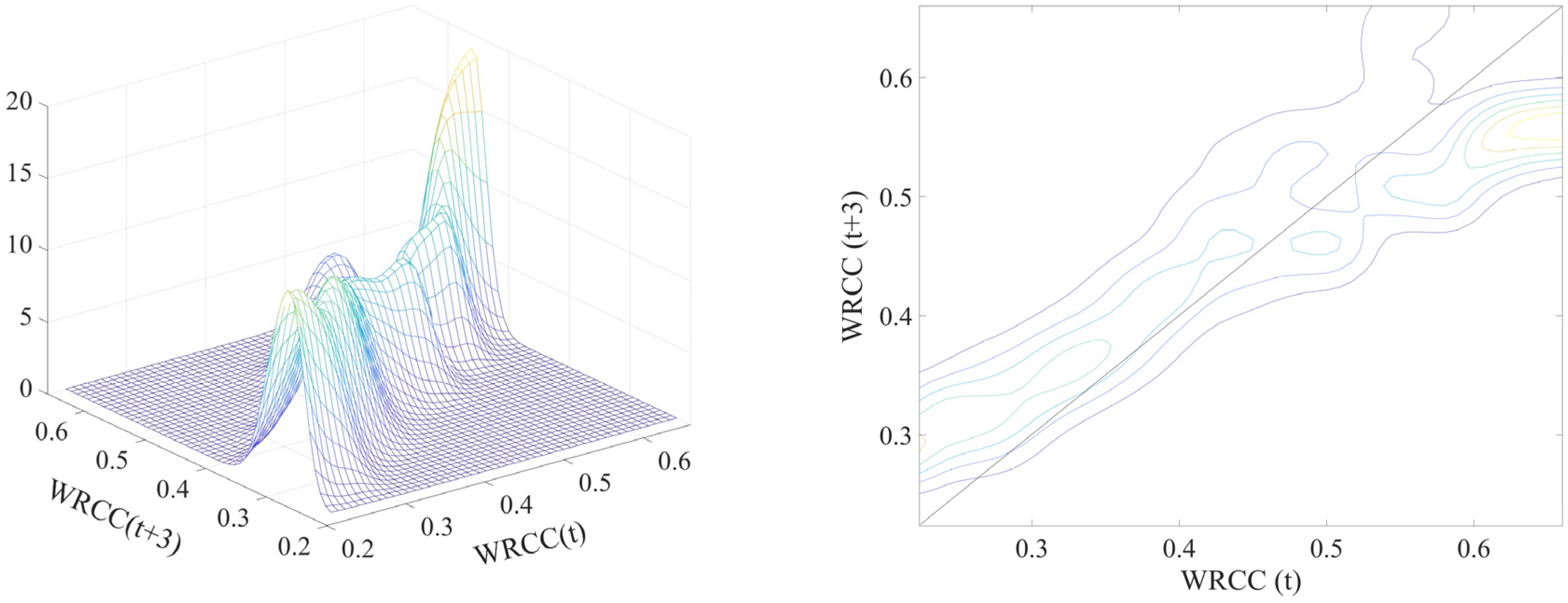
3.2.3. Static Kernel-Density Estimation under Spatial Conditions
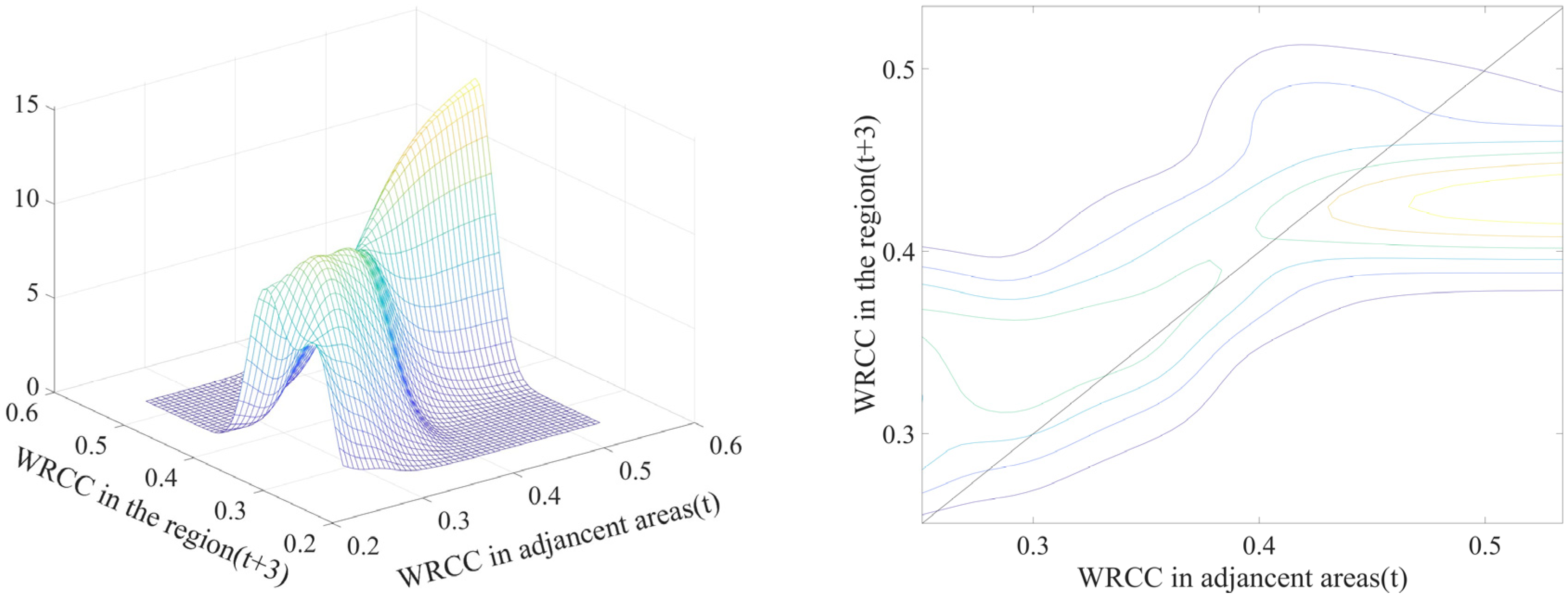
3.2.4. Dynamic Kernel-Density Estimation under Spatial Conditions
3.3. Decomposition of Dagum Gini Coefficient of WRCC of Anhui Province
3.4. Markov Chain Analysis of WRCC in Anhui Province
4. Discussion
- (1)
- To promote high-quality economic development, it is recommended that Anhui Province vigorously develop science and technology, drive the transformation of regional economic structure through the utilization of high technology, and increase the proportion of tertiary industry. As the economy serves as the driving force of social development, it is necessary to prioritize the social and environmental aspects to improve the carrying capacity of water resources, given the inevitable limitations imposed by natural conditions;
- (2)
- To enhance the carrying capacity of water resources, the government should develop policy paths that take into account the different locational characteristics. In the northern region of Anhui, the focus should be on economic transformation, reducing dependence on mineral resources and heavy industry, and promoting the development of green industries and environmental technology. Efforts should also be made to address environmental pollution issues, such as declining water quality. In central Anhui, the role of radiation should be strengthened, with a focus on delivering high-tech industries to surrounding areas and driving their development in tandem with the region’s own economic and scientific, and technological strengths. In Southern Anhui, where the ecological environment is relatively superior but the total economic volume is relatively poor, it is important to make reasonable use of the region’s natural resource advantages and explore new paths of economic and social development;
- (3)
- Water resources carrying capacity is a multifaceted concept encompassing various aspects such as nature, economy, society, and environment. Therefore, it is necessary that future development in Anhui Province adopts a “five-in-one” coordinated approach, wherein the results of economic progress are leveraged to enhance the residents’ quality of life, participation, and happiness. Consequently, in the ongoing development of Anhui Province, our focus should be on achieving synergistic progress across all five dimensions, utilizing the dividends of economic growth to elevate residents’ well-being, foster increased engagement and contentment, enhance regional water resources carrying capacity, improve overall ecological sustainability, and, finally, achieve the objective of “high-quality development”.
5. Conclusions
- (1)
- During the period from 2003 to 2021, the water resources carrying capacity of Anhui Province exhibited an improvement, with an average increase of approximately 0.15 in the comprehensive index of water resources carrying capacity. Notably, the comprehensive index of economic and environmental systems demonstrated a steady growth, while the index of social systems remained relatively stable;
- (2)
- Between 2003 and 2021, the spatial difference characteristics of water resources carrying capacity in Anhui Province were evident. Specifically, the water resources carrying capacity gradually decreased from southern Anhui to northern Anhui, with the difference gradually diminishing after 2016. Notably, the intergroup Gini coefficient of the water resources carrying capacity in Anhui Province was significantly higher than the intragroup Gini coefficient.
Author Contributions
Funding
Institutional Review Board Statement
Informed Consent Statement
Data Availability Statement
Conflicts of Interest
References
- Ke, S.; Wu, Y.; Cui, H.; Lu, X.; Ge, K.; Chen, D. The Temporal-Spatial Pattern and Coupling Coordination of the Green Transition of Farmland Use: Evidence from Hubei Province. Sustainability 2021, 13, 11892. [Google Scholar] [CrossRef]
- Sun, X.; Guo, C.; Cui, J. Research on evaluation method of water resources carrying capacity based on improved TOPSIS model. La Houille Blanche 2021, 106, 68–74. [Google Scholar] [CrossRef]
- Wu, H.J. The research on under water resources supporting capacity restraint in Xi’an city of the water sports. Desalination Water Treat. 2018, 121, 208–212. [Google Scholar] [CrossRef]
- Wen, Z.; Li, X.; Li, T. Comprehensive Study on Freshwater Ecosystem Health of Lancang River Basin in Xishuangbanna of China. Water 2020, 12, 1716. [Google Scholar] [CrossRef]
- Jin, J.; Dong, T.; Li, J.; Zhang, L.; Li, H. Water resources carrying capacity evaluation method under different carrying standards. Adv. Water Sci. 2018, 29, 31–39. (In Chinese) [Google Scholar]
- Jia, Y.; Wang, H. Study on Water Resource Carrying Capacity of Zhengzhou City Based on DPSIR Model. Int. J. Environ. Res. Public Health 2023, 20, 1394. [Google Scholar] [CrossRef]
- Yang, G.; Dong, Z.; Feng, S.; Li, B.; Sun, Y.; Chen, M. Early warning of water resource carrying status in Nanjing City based on coordinated development index. J. Clean. Prod. 2021, 284, 124696. [Google Scholar] [CrossRef]
- Wu, C.; Jiang, A.-D.; Zheng, W. Study on the Measures for Optimizing China’s Provincial Territorial Space Based on the Perspective of Resource and Environmental Carrying Capacity in the New Situation. Sustainability 2022, 14, 13754. [Google Scholar] [CrossRef]
- Su, Y.; Zheng, Q.; Liao, S. Spatio-Temporal Characteristics of Water Ecological Footprint and Countermeasures for Water Sustainability in Japan. Int. J. Environ. Res. Public Health 2022, 19, 10380. [Google Scholar] [CrossRef]
- Novoa, V.; Ahumada-Rudolph, R.; Rojas, O.; Munizaga, J.; Sáez, K.; Arumí, J.L. Sustainability assessment of the agricultural water footprint in the Cachapoal River basin, Chile. Ecol. Indic. 2019, 98, 19–28. [Google Scholar] [CrossRef]
- Zhang, Y.; Yang, P. Agricultural Productive Carrying Capacity Improve and Water Optimal Allocation under Uncertainty Based on Remote Sensing Data in Lancang County, Southwest China. Water 2022, 14, 3641. [Google Scholar] [CrossRef]
- Eymen, A. Determination of potentially irrigable agricultural lands using remote sensing and geographic information system: Case study of Yamula Basin. Int. J. Environ. Sci. Technol. 2019, 16, 5101–5106. [Google Scholar] [CrossRef]
- Yu, X.; Xie, J.; Jiang, R.; Zuo, G.; Liang, J. Assessment of water resource carrying capacity based on the chicken swarm optimization-projection pursuit model. Arab. J. Geosci. 2020, 13, 39. [Google Scholar] [CrossRef]
- Liu, Y.; Yang, R.; Sun, M.; Zhang, L.; Li, X.; Meng, L.; Wang, Y.; Liu, Q. Regional sustainable development strategy based on the coordination between ecology and economy: A case study of Sichuan Province, China. Ecol. Indic. 2021, 134, 108445. [Google Scholar] [CrossRef]
- Wang, T.; Jian, S.; Wang, J.; Yan, D. Dynamic interaction of water–economic–social–ecological environment complex system under the framework of water resources carrying capacity. J. Clean. Prod. 2022, 368, e133132. [Google Scholar] [CrossRef]
- Tang, J.; Ding, W.; Li, W.; Liu, X. Study on evaluation of water resources carrying capacity and obstacle factors in the yellow river. Basin. Yellow River 2021, 43, 73–77. (In Chinese) [Google Scholar]
- Jiang, Z.; Wei, Z. Grassland resource evaluation based on improved bp network model and analytic hierarchy process. J. Intell. Fuzzy Syst. 2021, 40, 7109–7120. [Google Scholar] [CrossRef]
- Tan, S.; Liu, Q.; Han, S. Spatial-temporal evolution of coupling relationship between land development intensity and resources environment carrying capacity in China. J. Environ. Manag. 2022, 301, 113778. [Google Scholar] [CrossRef]
- Ji, J.; Qu, X.; Zhang, Q.; Tao, J. Predictive analysis of water resource carrying capacity based on system dynamics and improved fuzzy comprehensive evaluation method in Henan Province. Environ. Monit. Assess. 2022, 194, 500. [Google Scholar] [CrossRef]
- Gao, S.; Guo, H.; Yu, J. Urban Water Inclusive Sustainability: Evidence from 38 Cities in the Yangtze River Economic Belt in China. Sustainability 2021, 13, 2068. [Google Scholar] [CrossRef]
- Wang, D.; Li, Y.; Yang, X.; Zhang, Z.; Gao, S.; Zhou, Q.; Zhuo, Y.; Wen, X.; Guo, Z. Evaluating urban ecological civilization and its obstacle factors based on integrated model of PSR-EVW-TOPSIS: A case study of 13 cities in Jiangsu Province, China. Ecol. Indic. 2021, 133, 108431. [Google Scholar] [CrossRef]
- Swirepik, J.L.; Burns, I.C.; Dyer, F.J. Establishing Environmental Water Requirements for the Murray–Darling Basin, Australia’s Largest Developed River System. River Res. Appl. 2016, 32, 1153–1165. [Google Scholar] [CrossRef]
- Wu, C.; Zhou, L.; Jin, J.; Ning, S.; Zhang, Z.; Bai, L. Regional water resource carrying capacity evaluation based on multi-dimensional precondition cloud and risk matrix coupling model. Sci. Total Environ. 2020, 710, 136324. [Google Scholar] [CrossRef] [PubMed]
- Huang, Z.; Liu, Y.; Qiu, K.; López-Vicente, M.; Shen, W.; Wu, G.-L. Soil-water deficit in deep soil layers results from the planted forest in a semi-arid sandy land: Implications for sustainable agroforestry water management. Agric. Water Manag. 2021, 254, 106985. [Google Scholar] [CrossRef]
- Ahmed, Y.N.; Negm, M.M.; Alnafissa, M.; Hefnawy, F. An empirical analysis of irrigation modernization projects using the CGE model. Environ. Dev. Sustain. 2022, 1–18. [Google Scholar] [CrossRef]
- Hashemi, M.; Zadeh, H.M.; Arasteh, P.D.; Zarghami, M. Economic and Environmental Impacts of Cropping Pattern Elements Using Systems Dynamics. Civ. Eng. J. 2019, 5, 1020–1032. [Google Scholar] [CrossRef]
- Ahilan, S.; Guan, M.; Wright, N.; Sleigh, A.; Allen, D.; Arthur, S.; Haynes, H.; Krivtsov, V. Modelling the long-term suspended sedimentological effects on stormwater pond performance in an urban catchment. J. Hydrol. 2019, 571, 805–818. [Google Scholar] [CrossRef]
- Peng, T.; Deng, H. Comprehensive evaluation on water resource carrying capacity based on DPESBR framework: A case study in Guiyang, southwest China. J. Clean. Prod. 2020, 268, 122235. [Google Scholar] [CrossRef]
- Zhang, J.; Zhang, C.; Shi, W.; Fu, Y. Quantitative evaluation and optimized utilization of water resources-water environment carrying capacity based on nature-based solutions. J. Hydrol. 2019, 568, 96–107. [Google Scholar] [CrossRef]
- Chai, N.; Zhou, W. The DPSIRM-Grey cloud clustering method for evaluating the water environment carrying capacity of Yangtze River economic Belt. Ecol. Indic. 2022, 136, 108722. [Google Scholar] [CrossRef]
- Fu, W.Z.; Chu, L.P. Research on the Evaluation of High-Quality Development of Manufacturing Industry from the Perspective of Integration of the Yangtze River Delta—TOPSIS Evaluation Model Based on Improved CRITICAL-Entropy Weight Method. Ind. Technol. Econ. 2020, 39, 145–152. [Google Scholar]
- Liu, H.J.; Qiao, L.C.; Sun, S.H. Spatial distribution and dynamic change of water use efficiency in the Yellow River Basin. Resour. Sci. 2020, 42, 57–68. [Google Scholar] [CrossRef]
- Yang, W.; Li, D. Spatio-temporal evolution of ecological environment quality in China from a concept of strong sustainability. Environ. Sci. Pollut. Res. 2022, 29, 28769–28787. [Google Scholar] [CrossRef]
- Chen, X.; Xu, Q.; Cai, J. Research on the urban water resources carrying capacity by using system dynamics simulation. Hydrol. Res. 2023, 54, 418–434. [Google Scholar] [CrossRef]
- He, N.; Li, J.Y.; Zhang, Y.Q. Research on the paths in the formation of collaborative behavior of multi-subject water environmental governance. J. Arid Land Resour. Environ. 2023, 37, 56–63. (In Chinese) [Google Scholar]









| Target Layer | System Layer | Indicator Layer | Properties | Weights |
|---|---|---|---|---|
| Water Resources Carrying Capacity | Nature | Water resources per capita | + | 0.1162 |
| Water production modulus | + | 0.0571 | ||
| Annual precipitation | + | 0.0479 | ||
| Water supply modulus | + | 0.0836 | ||
| Water consumption per capita | − | 0.0374 | ||
| Economy | Water consumption of 10,000 Yuan GDP | − | 0.0206 | |
| Tertiary industry share | + | 0.0424 | ||
| Water consumption of 10,000 Yuan industrial GDP | − | 0.0157 | ||
| GDP per capita | + | 0.0693 | ||
| Water consumption of 10,000 yuan of agricultural output | − | 0.0373 | ||
| Social | Total population | − | 0.0443 | |
| Natural population growth rate | − | 0.0189 | ||
| Domestic water | − | 0.0306 | ||
| Urbanization rate | + | 0.0491 | ||
| Urban public water | − | 0.0285 | ||
| Wastewater treatment facilities for 10,000 people | + | 0.0688 | ||
| Environment | Wan Yuan GDP sewage discharge | − | 0.0222 | |
| Ecological water | + | 0.0834 | ||
| Greening coverage of built-up areas | + | 0.0219 | ||
| Agriculture, forestry, and water account for the proportion of financial | + | 0.0533 | ||
| Green space per capita | + | 0.0291 | ||
| Nitrogen fertilizer application per unit of agricultural output | − | 0.0221 |
| Time | Gini Coefficient | ||||||
|---|---|---|---|---|---|---|---|
| Overall | CA | NA | SA | Intragroup | Intergroup | Hypervariable Density | |
| 2003 | 0.052 | 0.025 | 0.034 | 0.039 | 0.012 | 0.035 | 0.005 |
| 2004 | 0.069 | 0.031 | 0.042 | 0.04 | 0.014 | 0.052 | 0.004 |
| 2005 | 0.053 | 0.025 | 0.031 | 0.033 | 0.011 | 0.039 | 0.003 |
| 2006 | 0.068 | 0.037 | 0.047 | 0.046 | 0.015 | 0.047 | 0.005 |
| 2007 | 0.057 | 0.026 | 0.036 | 0.034 | 0.012 | 0.043 | 0.002 |
| 2008 | 0.078 | 0.027 | 0.036 | 0.049 | 0.014 | 0.06 | 0.004 |
| 2009 | 0.083 | 0.026 | 0.038 | 0.035 | 0.012 | 0.067 | 0.004 |
| 2010 | 0.097 | 0.031 | 0.038 | 0.051 | 0.015 | 0.081 | 0.001 |
| 2011 | 0.058 | 0.024 | 0.028 | 0.028 | 0.009 | 0.046 | 0.002 |
| 2012 | 0.088 | 0.02 | 0.027 | 0.062 | 0.015 | 0.072 | 0.001 |
| 2013 | 0.071 | 0.021 | 0.029 | 0.047 | 0.012 | 0.057 | 0.001 |
| 2014 | 0.08 | 0.027 | 0.026 | 0.048 | 0.013 | 0.067 | 0.001 |
| 2015 | 0.096 | 0.024 | 0.029 | 0.073 | 0.017 | 0.078 | 0 |
| 2016 | 0.104 | 0.046 | 0.021 | 0.054 | 0.014 | 0.09 | 0 |
| 2017 | 0.069 | 0.033 | 0.019 | 0.052 | 0.013 | 0.056 | 0.001 |
| 2018 | 0.061 | 0.03 | 0.022 | 0.034 | 0.01 | 0.05 | 0.001 |
| 2019 | 0.065 | 0.036 | 0.022 | 0.042 | 0.012 | 0.051 | 0.002 |
| 2020 | 0.089 | 0.018 | 0.023 | 0.059 | 0.013 | 0.074 | 0.002 |
| 2021 | 0.053 | 0.035 | 0.027 | 0.023 | 0.009 | 0.041 | 0.003 |
| I | II | III | IV | |
|---|---|---|---|---|
| I | 0.7895 | 0.2105 | 0.0000 | 0.0000 |
| II | 0.0921 | 0.6711 | 0.2368 | 0.0000 |
| III | 0.0000 | 0.0556 | 0.6806 | 0.2639 |
| IV | 0.0000 | 0.0000 | 0.1094 | 0.8906 |
| A = 1 | WRCC Grade in Adjacent Areas | I | II | III | IV |
|---|---|---|---|---|---|
| I | I | 0.8889 | 0.1111 | 0.0000 | 0.0000 |
| II | 0.0588 | 0.8235 | 0.1176 | 0.0000 | |
| III | 0.0000 | 0.2500 | 0.7500 | 0.0000 | |
| IV | 0.0000 | 0.0000 | 0.0000 | 0.0000 | |
| II | I | 0.6452 | 0.3548 | 0.0000 | 0.0000 |
| II | 0.1500 | 0.7000 | 0.1500 | 0.0000 | |
| III | 0.0000 | 0.0000 | 0.7692 | 0.2308 | |
| IV | 0.0000 | 0.0000 | 0.0000 | 1.0000 | |
| III | I | 0.0000 | 0.0000 | 0.0000 | 0.0000 |
| II | 0.0000 | 0.4737 | 0.5263 | 0.0000 | |
| III | 0.0000 | 0.0698 | 0.6744 | 0.2558 | |
| IV | 0.0000 | 0.0000 | 0.1250 | 0.8750 | |
| IV | I | 0.0000 | 0.0000 | 0.0000 | 0.0000 |
| II | 0.0000 | 0.0000 | 0.0000 | 0.0000 | |
| III | 0.0000 | 0.0000 | 0.5833 | 0.4167 | |
| IV | 0.0000 | 0.0000 | 0.1064 | 0.8936 |
Disclaimer/Publisher’s Note: The statements, opinions and data contained in all publications are solely those of the individual author(s) and contributor(s) and not of MDPI and/or the editor(s). MDPI and/or the editor(s) disclaim responsibility for any injury to people or property resulting from any ideas, methods, instructions or products referred to in the content. |
© 2023 by the authors. Licensee MDPI, Basel, Switzerland. This article is an open access article distributed under the terms and conditions of the Creative Commons Attribution (CC BY) license (https://creativecommons.org/licenses/by/4.0/).
Share and Cite
Jiang, H.; He, G. Analysis of Spatial and Temporal Evolution of Regional Water Resources Carrying Capacity and Influencing Factors—Anhui Province as an Example. Sustainability 2023, 15, 11255. https://doi.org/10.3390/su151411255
Jiang H, He G. Analysis of Spatial and Temporal Evolution of Regional Water Resources Carrying Capacity and Influencing Factors—Anhui Province as an Example. Sustainability. 2023; 15(14):11255. https://doi.org/10.3390/su151411255
Chicago/Turabian StyleJiang, Huaiyin, and Gang He. 2023. "Analysis of Spatial and Temporal Evolution of Regional Water Resources Carrying Capacity and Influencing Factors—Anhui Province as an Example" Sustainability 15, no. 14: 11255. https://doi.org/10.3390/su151411255
APA StyleJiang, H., & He, G. (2023). Analysis of Spatial and Temporal Evolution of Regional Water Resources Carrying Capacity and Influencing Factors—Anhui Province as an Example. Sustainability, 15(14), 11255. https://doi.org/10.3390/su151411255
