Abstract
The use of skylights in buildings introduces natural light into the interior space, thereby reducing the reliance on artificial lighting and aligning with the principles of low carbon and environmental sustainability. To ensure optimal indoor lighting quality, it is essential to optimize the arrangement of skylights to strike a balance between high average illumination and uniformity of illumination. Recent initiatives by the Chinese government have emphasized the construction and renovation of numerous gymnasiums. In this research, a novel approach based on optimized algorithms was employed to design skylights and improve the uniformity of indoor illuminance. Simulation results demonstrated that the skylight arrangements derived from the optimization algorithms exhibited significantly higher levels of illumination uniformity, while maintaining comparable average illumination and skylight areas, when compared to conventional designs. Additionally, the study employed genetic algorithms to optimize the skylight arrangement for a specific gymnasium, resulting in a remarkable 32% increase in illumination uniformity. The study also accounted for obstacles and seating in the skylight design, and the genetic algorithm generated desirable skylight arrangements with respective increases of 32% and 21% in illumination uniformity for scenarios involving obstacles and seating. Overall, this study underscores the potential of optimized algorithms in the design of skylights for green buildings, offering valuable insights for future research endeavors in this field.
1. Introduction
In the current global energy crisis, the significance of green buildings as environmentally sustainable structures is on the rise. Lighting accounts for 20% to 45% of the total energy consumption in buildings, and its growth rate has been around 20% since 2000 [1]. Green building principles can be applied to lighting designs through two primary approaches. Firstly, by utilizing energy-saving lighting fixtures, such as LED lights and intelligent lighting systems, energy consumption and carbon emissions can be reduced. Secondly, integrating skylight designs can maximize natural lighting and minimize the dependence on artificial lighting.
With the incorporation of natural light, energy consumption related to lighting in buildings can be significantly reduced. This approach enables buildings to operate in a more sustainable manner by optimizing the use of natural light, which promotes energy efficiency, reduces the environmental impact, and creates healthier and more sustainable living and working environments [2]. Daú, G. et al. [3] collected data from existing buildings to demonstrate the benefits of sustainable development through the integration of natural light. Liu, Z. et al. [4] and Feng, W. et al. [5] investigated numerous cases of near-zero-energy buildings, and observed an increasing trend in the utilization of natural light within building interiors. Moreover, there is a growing emphasis on ecologically friendly concepts in the design and construction of large structures, including airports, which prioritize the use of natural light to illuminate interior spaces [6,7,8].
Skylights can be arranged in three different ways. The exhaustive method is time-consuming, whereas combinatorial optimization and AI optimization algorithms offer greater efficiency. However, AI algorithms require extensive datasets and long training times, while combinatorial optimization is more scalable, applicable, and capable of solving NP-hard problems [9,10,11].
When it comes to skylight design, the uniformity of solar illumination is a crucial factor to consider. Traditional design methods that position skylights at the center of the roof can result in uneven indoor solar illumination, negatively impacting occupants’ visual comfort. Sudan, M. et al. [12] and Zhao, N. et al. [13] conducted studies on the influence of skylight-to-roof ratios and skylight distribution on the quality of interior light in large-scale buildings. Notably, ensuring solar illumination uniformity is an essential aspect of skylight design. Conventional practices that place skylights at the center of the roof often lead to non-uniform indoor solar illumination [14], necessitating additional artificial lighting to compensate for the lack of uniformity [15,16]. Futrell, B.J. et al. [17] evaluated daylighting using a suitable optimization metric, optimized a complex classroom design for annual daylighting performance, and assessed the performance of four optimization algorithms. Additionally, numerous studies have focused on evaluating retrofit strategies for existing buildings and exploring energy usage and green retrofitting [18,19].
Previous studies have used genetic algorithms to optimize the skylight arrangement of buildings. Shirzadnia, Z. et al. [20] and Marzouk, M. et al. [21] improved skylights based on existing buildings. Considering multi-floor scenarios and local sunshine conditions, their planning approach generated the most suitable skylight layout scheme. In the work of Yi, Y.K. et al. [22], the non-dominated sorting genetic algorithm II was used for a multi-objective optimization process; the structure integrity, daylight, and material cost were considered. Fernandez Bandera, C. et al. [23] analyzed the skylight arrangement of the School of Architecture at the University of Navarra to maximize the uptake of energy resources from the reference environment. In Table 1, a summary of these works is presented.
Table 1.
Genetic algorithm is used to compare skylight arrangement in different works.
The sun, similar to LED lighting, can be considered a linear light source. Therefore, research on indoor solar illumination can draw inspiration from investigations into the arrangement of indoor LEDs. Previous studies have explored two primary approaches to enhance the uniformity of indoor LED illumination: the use of additional tools and the modification of LED materials [24,25]. Furthermore, a proposed design employing a normal distribution has been shown to improve lighting and communication throughout the entire room [26]. Through extensive research and statistical analysis, the International Commission on Illumination (commonly known by its French acronym, CIE) has documented 15 models of sky brightness distribution, which were standardized globally in 2004. Known as the standard sky model, this internationally accepted light design model serves as a crucial reference for skylight design [27].
Previous studies have made significant contributions to skylight arrangements; however, their models tend to be more complex. To the best of our knowledge, no one has simplified the daylighting model to a standard sky model. Therefore, in this study, we aimed to fill this gap by developing a mathematical model for skylight lighting based on the CIE standard sky model and a finite element model for skylight arrangement. Additionally, a comparison between the conventional geometric arrangement and the genetic algorithm-based combinatorial optimization algorithm arrangement was conducted. Our results clearly demonstrated the superior performance of the latter, in terms of skylight area and illumination uniformity. Furthermore, the genetic algorithm was applied to optimize the skylight arrangement in gymnasiums, highlighting its superiority over the conventional approach in improving lighting uniformity. Moreover, we conducted a quantitative evaluation to assess the impact of different arrangement methods on the efficiency and uniformity of indoor solar lighting.
2. Modeling of Skylight Arrangement
2.1. The Distribution of Natural Light in China
According to measurements of total horizontal irradiation and sunshine duration over a year, China can be roughly divided into four regions, as outlined in Table 2. The majority of solar energy resources are concentrated in northwest China, which offers ideal conditions for the construction of solar power plants, due to the region’s extended hours of sunlight and high intensity of sunlight. Conversely, the eastern regions experience seasonal variations in radiation, despite having abundant light. These areas are densely populated and heavily developed, posing challenges for the establishment of large-scale solar power stations. To address the energy demand and mitigate environmental impacts, the implementation of skylight arrangements in construction can be considered. This approach facilitates the optimal utilization of natural light resources, and minimizes the energy consumption associated with artificial lighting.
Table 2.
Annual natural light conditions in different regions of China [28].
2.2. Skylight Lighting Model
Indoor lighting analyses in architecture often involve comparing window-to-floor area ratios with building design standards, or utilizing software simulations and measurements to determine room daylight factors. However, conventional ray-tracing algorithms used in computer graphics rendering for light intensity calculations are complex. To simplify the daylighting model, this article proposes treating a small skylight as a point light source that emits natural light, providing constant illumination on the receiving surface without following the inverse square law.
Natural light is generated by sunlight scattering in all directions through the atmosphere. As mentioned in the introduction, the CIE standard sky model is commonly employed to calculate the illumination of natural light in architecture. This model represents the sky as a hemisphere, as shown in Figure 1.
Figure 1.
CIE standard sky hemisphere model.
The brightness of a face element at any position in the hemisphere is calculated as [29]:
where Lα is the luminance of a surface element in the hemisphere, Lz represents the luminance of the top surface element in the hemisphere, f(x) represents the scattering index of natural light at that point, and φ(x) is the luminance gradient function. The luminance gradient function can be calculated using Equation (2) [29]:
The scattering indicator function f(x) can be calculated using Equation (3) [30]:
The CIE overcast sky model provides the coefficients ag, bg, cg, dg, and eg for calculating the brightness of surface elements. Under completely overcast conditions, the coefficients are 4.0, −0.70, 0, −1.0, and 0, respectively. The brightness of a surface element equals the light intensity received by a planar surface parallel to the element on the building, and the brightness of the point light source projecting natural light onto the corresponding angle, without considering natural light attenuation. Based on the CIE overcast sky model [27], the brightness can be calculated using Equation (4), where z is the angle between the normal vector of the hemisphere and the line connecting the surface element and the center of the hemisphere.
In illumination calculations, diffuse reflection is always neglected, and only direct light on the reference plane is taken into account for simplicity. The second law of illumination provides a practical formula for natural light illumination on a reference plane element from a point light source, which is expressed in Equations (5) and (6). Equation (5) calculates the cosine value of the angle between the normal vector of the reference plane element and the line connecting the reference plane element and the point light source, while Equation (6) calculates the illumination of the reference plane element.
To estimate indoor illumination, it is possible to treat large skylights as an array of multiple point light sources. By integrating the light emitted from these sources, and dividing the result by the area of the reference plane, indoor illumination can be calculated. The daylighting of skylights can be modeled using Equations (7) and (8).
The presented model for skylight daylighting includes a coefficient a, the skylight area D, and the zenith brightness Lz, which is a function of outdoor illumination. The model assumes that the outdoor illumination represents the natural light illumination on the ground from the entire hemisphere. The value of Lz is calculated by integrating the model and determining its relationship with the outdoor illumination. This relationship is then used to estimate the indoor illumination.
2.3. Skylight Arrangement Model
To analyze a typical enclosed room (5 m × 5 m × 3 m), a simplified skylight model divides the roof into n × n cells and the reference plane into m × m elements, using the finite element method. The reference plane height is set at 0.85 m, with m = 100 and n = 10. Interior doors and side windows are ignored. See Figure 2 for details.
Figure 2.
The schematic of illuminance distribution model based on divided units. The yellow squares indicate skylights on the roof, and the blue represents the amount of light received at those positions on the reference plane. The dashed yellow lines illustrate the path of light.
The area coefficient k represents the ratio of the opening area to the entire skylight unit area. Equations (9) and (10) describe the illumination on a reference surface element at (xm, ym) from natural light projected by a skylight unit at (xn, yn). The distance from the building roof to the reference plane is denoted by h0.
The equation presented enables the computation of natural light illumination projected from each skylight unit onto the reference surface element. An area coefficient k is introduced, representing the opening area ratio of each skylight unit to its total area. The area coefficients and illumination values of each unit and surface element, respectively, can be consolidated into n-by-n and m-by-m matrices, establishing a mapping relationship between the two.
2.4. Objective Function
To achieve optimal solutions, the choice of objective function is critical. Minimizing the variance of illumination is desirable for achieving uniform illumination on the reference plane. To evaluate the uniformity of illumination, the variance ratio Q is employed, and it is computed using Equation (11).
The selected objective function plays a vital role in determining the quality of the solution. A more uniform distribution of illumination on the reference plane is achieved by minimizing the variance ratio, calculated using the average and variance of the illumination of all reference elements. The k-value represents the ratio of the skylight opening size to the total unit area and ranges from 0 to 1. Additionally, a window-to-floor area ratio of 1/6 is imposed as a constraint to ensure effective daylighting.
where s represents the area of the skylight unit, S denotes the area of the room ceiling, m denotes the average illumination on the reference plane, and c represents the expected value of the average illumination level. The optimal skylight arrangement is obtained by optimizing the model using an optimization algorithm to obtain the k-matrix.
3. Optimization Algorithm and Analysis of Optimization Results
3.1. Nonlinear Programming
Nonlinear programming is frequently employed to optimize nonlinear objective functions or constraints, aiming to obtain the optimal values of decision variables that minimize the objective function. In the case of a multidimensional function, the decision variables can be represented by a matrix x, while the objective function can be represented by F(x). If the objective function F(x) is smooth and differentiable, a Taylor expansion can be utilized to approximate it, as demonstrated in Equation (13) [31]:
where g is the matrix form of the first-order derivative, which is given by Equation (14).
H is the Hessian matrix, which can be described as Equation (15).
For the first-order derivative g, if there exists a solution xopt that satisfies g = 0, it can be calculated as shown in Equation (16):
In nonlinear programming, minimizing the objective function is accomplished by optimizing the values of decision variables, represented by a matrix x, using iterative methods. If the Hessian matrix H is positive-definite, the optimal solution xopt can be identified as a local minimum. To ensure the iteration’s effectiveness, a descent condition is introduced, and the direction that decreases F(x) needs to be calculated before each iteration. Equation (17) shows the transformation of the Taylor expansion to incorporate the descent condition [32]:
assuming the following equation is satisfied:
3.2. Principle of Genetic Algorithm
The genetic algorithm is an optimization technique inspired by natural selection in evolutionary theory. It utilizes genetic operators, such as selection, crossover, and mutations, to generate potential solutions represented as chromosomes. Each solution’s quality is evaluated using a fitness function. Initially, a population of potential solutions is created using random or heuristic methods. The fittest individuals from the population are selected, and undergo crossover and mutation operations to generate new solutions. This iterative process continues until the algorithm converges or a predefined stopping criterion is met. The best solution found throughout the iterations is considered the optimal solution. The flow of the algorithm is depicted in Figure 3.
Figure 3.
Genetic algorithm flow chart.
3.3. Analysis of Genetic Algorithm Optimization Simulation
The optimization of the skylight arrangement in a closed room involved exploring different configurations of a 10 × 10 skylight unit matrix. A nonlinear programming approach was used to generate an initial feasible solution that satisfied the constraints. Subsequently, a genetic algorithm was applied with specific parameters, including a population size of 65, 350 iterations, a crossover probability of 0.8, and a mutation probability of 0.01. The constraints imposed were to ensure that the average illumination level exceeded 450 lux. It was observed that nonlinear programming exhibited a faster performance compared to the genetic algorithm, indicating a higher level of complexity for the latter.
To assess the effectiveness of nonlinear programming and the genetic algorithm in achieving indoor illumination uniformity, three conventional skylight arrangements were evaluated: central square, vertical bars, and five-point. These arrangements are depicted in Figure 4, illustrating various skylight configurations in a typical closed room. The objective was to compare the performance of the two optimization strategies in achieving the desired uniformity of interior lighting, while maintaining a roughly equal skylight area for each design. The skylight arrangements obtained through nonlinear programming, and the genetic algorithm exhibited greater dispersion compared to the conventional arrangements, with smaller areas allocated to each skylight unit.
Figure 4.
Typical closed room skylight distribution diagram: (a) center square; (b) scattered vertical bars; (c) five-point square; (d) nonlinear programming; (e) genetic algorithm optimization.
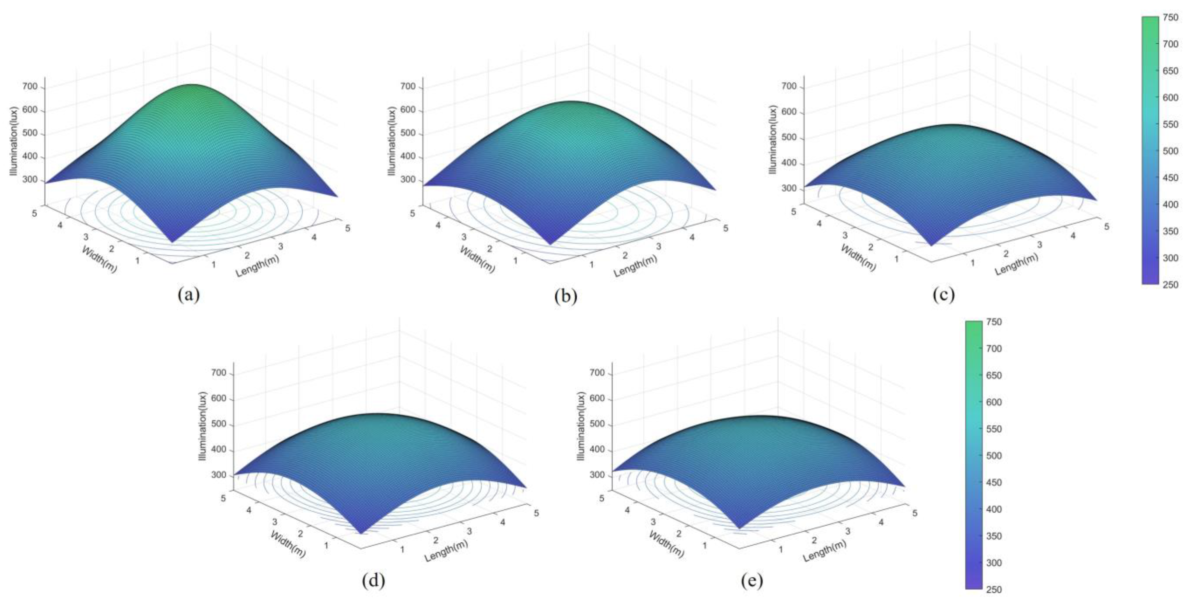
Investigating the illumination distribution on a 100 × 100 reference plane within the room for each skylight arrangement, as depicted in Figure 5, showed a prominent convex peak at the center of the room, indicating the highest illumination value at that location. However, it is worth noting that employing an optimization algorithm to plan the placement of skylights can be viewed as an approach to enhance the uniformity of indoor lighting throughout the room.
Figure 5.
Diagram of the variation of illumination in a typical closed room with different skylight arrangement: (a) center square; (b) scattered vertical bars; (c) five-point square; (d) nonlinear programming; (e) genetic algorithm optimization.
The illumination curves extracted along the vertical direction through the center are presented in Figure 6 to compare the illumination levels of different skylight arrangements. The results indicate that the skylight arrangement optimized using the genetic algorithm exhibited the highest uniformity, followed by the nonlinear programming approach. Compared to the conventional central square arrangement, the dispersed vertical arrangement showed some improvement in uniformity. The five-point arrangement was found to be similar to the nonlinear programming and genetic-algorithm-optimized arrangements.
Figure 6.
Illumination curves through the central section of the room.
Table 3 provides a summary of the simulated average, maximum, and minimum illuminations, as well as the variance rates for each skylight arrangement. The analysis of the illumination distribution matrices for the various scheduling methods aimed to compare their effectiveness in achieving lighting uniformity. The results showed that the genetic algorithm optimization resulted in a smaller variance compared to conventional methods. The variance from the nonlinear programming approach was similar to that of the five-point square arrangement. Specifically, the genetic-algorithm-optimized skylight arrangement reduced the variance by 78% compared to the central square arrangement, and 24% compared to the five-point arrangement. Moreover, the genetic algorithm optimization achieved a reduction in the average illumination by 11.8% compared to the central square arrangement, while still meeting the minimum recommended illumination level of 300 lux. Due to the concentrated or dispersed exposure of natural light, the genetic algorithm optimization demonstrated significant reductions in both the maximum and minimum illuminations. When compared to the nonlinear programming approach, the genetic algorithm optimization achieved equal average illumination with better uniformity and a smaller variance rate. Based on these findings, the genetic algorithm optimization was considered the preferred approach for this model.
Table 3.
Comparison of skylight arrangement results for a typical closed room.
4. Practical Scenario Application of Optimization Algorithm
4.1. Analysis of the Ideal Gymnasium
In this study, an ideal gymnasium was selected as the research object for creating a model of an enclosed room with large-scale skylights. The ideal gymnasium was represented as a cuboid with dimensions of 70 m in length, 50 m in width, and 11.5 m in height. For simplicity, the equipment in the gymnasium was ignored. To streamline the computation process, the skylight unit matrix was designed to be symmetric around the center, and the number of units was reduced by using integer values for the independent variable. The optimized model successfully achieved satisfactory illumination levels within the acceptable range of standard guidelines.
To compare the performance of different skylight arrangements in gymnasiums, three conventional methods were considered: uniform dispersion, dispersed vertical strip, and X-shaped arrangements. These conventional arrangements were compared to the optimized arrangement obtained using the genetic algorithm. Figure 7 illustrates the skylight unit layouts for each method, presented as a 50 × 70 matrix. The comparative analysis depicted in Figure 7 clearly shows that the optimized skylight arrangement exhibited a more dispersed pattern compared to the conventional skylight arrangements. This optimized arrangement aligned with the results obtained from optimizing the model in an enclosed room.
Figure 7.
Diagram of the distribution of skylights in the gymnasium: (a) uniform dispersion; (b) dispersed vertical bars; (c) X-shape arrangement; (d) genetic algorithm optimization.
In Figure 8, the illumination matrices obtained from all skylight arrangement methods exhibited a convex peak shape in the middle, indicating higher illumination towards the center of the room. However, there were differences between the methods. The X-shaped arrangement method showed lower illumination near the edges where no skylights were designed, and the corner of the dispersed vertical bar arrangement method had the smallest illumination value among all methods.
Figure 8.
Diagram of the variation in illumination of different skylight arrangements in the gymnasium: (a) uniform dispersion; (b) dispersed vertical bars; (c) X-shape arrangement; (d) genetic algorithm optimization.
Table 4 provides a comparison of the results. Among the conventional arrangements, the uniform dispersion method yielded the best results, with a significantly smaller illumination variance compared to that of the other two arrangements. However, when applying the genetic algorithm optimization, the Q value (a measure of illumination uniformity) decreased by 32% compared to that of uniform dispersion. Importantly, the genetic algorithm optimization did not require an increase in the skylight area, and the average illumination was only reduced by 3%.
Table 4.
Comparison of skylight arrangement results in gymnasium.
4.2. Analysis of the Gymnasium with Obstruction
When analyzing the distribution of illumination in large gymnasiums, it is crucial to consider the presence of load-bearing structures, air conditioning systems, ventilation ducts, and other large objects that may obstruct the entry of natural light through skylights. Figure 9 illustrates the cross-section of the gymnasium’s long side, highlighting the obstruction caused by individual air conditioning and ventilation ducts.
Figure 9.
Obscured cross-section analysis diagram. Incorporating skylights at location a results in an illuminated area a′. The dashed line represents light propagation, natural light at A is blocked by the ventilation duct. Variables d and h represent depth and height of the venue.
To accurately calculate the distribution of natural light, the impact of these obstructions must be considered. Figure 9 represents an air conditioning and ventilation duct as a black square, indicating its blockage of natural light to the right. The shading calculation considers the ratio of a to a′, where a represents the skylight unit area (50 × 70, 1 m2) and a′ represents the area obstructed by the duct. Figure 10 shows the positions of the air conditioning and ventilation ducts within the gymnasium, providing a visual reference for their placement.
Figure 10.
Design drawing of air conditioning and ventilation duct.
In the updated model, the design of air conditioning and ventilation ducts, as well as the shading effect caused by natural light, were considered. The shaded area was subtracted from the overall illumination, and a genetic algorithm and NSGA-II [33] (a kind of multi-objective genetic algorithm) were employed for optimization. Due to the centrosymmetry of the ducts’ design, the skylight cell matrix could be reduced to 1/4 of the top portion. The area factor of the skylight units blocked by the ducts was considered as 0, and was not included in the optimization calculation. Figure 11 illustrates the adjustment made to the conventional skylight arrangement to accommodate the duct obscuration. The top skylight units were arranged in a 50 × 70 matrix, while the remaining units were combined and calculated to reduce the computational workload.
Figure 11.
Diagram of the distribution of skylights in the gymnasium in sheltered conditions: (a) uniform dispersion; (b) dispersed vertical bars; (c) X-shape arrangement; (d) genetic algorithm optimization; (e) NSGA-II optimization.
By comparing different skylight unit arrangement methods, including the ideal and different genetic-algorithm-optimized methods, it can be observed that the latter exhibits a more dispersed distribution, although with a slightly reduced and concentrated area. The non-uniformity in illumination can be attributed to the installation of skylights in areas obstructed by air conditioning ducts. To achieve a more uniform distribution, it is necessary to reduce the skylight area.
Figure 12 illustrates the modification of the conventional skylight arrangement in the presence of air conditioning ventilation ducts. This modification aims to smooth out the curve and lower the peak of the bulge by avoiding and spreading out the covered sections. The X-shaped arrangement, however, was not adjusted, resulting in a raised peak shape in the illuminance distribution. Both the genetic-algorithm-optimized results and the X-shaped arrangement exhibited sudden changes in the illumination distribution, due to partial shading in a small part of the skylight design. Table 5 provides a quantitative comparison, showing that the genetic-algorithm-optimized skylight arrangement achieved a 65% decrease in the Q value compared to the dispersed vertical bars and the X-shaped arrangement. It also demonstrated a 22.4% decrease compared to the uniformly dispersed arrangement, indicating improved illumination uniformity. We then compared the single-objective genetic algorithm with the NSGA-II algorithm. As can be seen from Figure 12, the illuminance maps of the two genetic algorithms do not differ significantly. Meanwhile, as can be seen from Table 5, the average illumination obtained by the NSGA-II algorithm is larger and the Q value is smaller, but the overall change was modest.
Figure 12.
Diagram of the variation in illumination of different skylight arrangements in the gymnasium with shading: (a) uniform dispersion; (b) dispersed vertical bars; (c) X-shape arrangement; (d) genetic algorithm optimization; (e) NSGA-II optimization.
Table 5.
Comparison of skylight arrangement results in gymnasium with occlusion.
NSGA-II is suitable for dealing with multiple optimization objectives, and more considerations are needed in parameter setting and selection of appropriate genetic operations. In addition, due to the inherent complexity of the algorithm, its execution time will be longer. However, the proposed approach in this work is a general skylight arrangement method with relatively lower problem complexity, and the advantages of the NSGA-II algorithm are not apparent. Therefore, the use of single-objective genetic optimization is more appropriate.
4.3. Analysis of the Gymnasium with Seating
In a gymnasium, the seating arrangement follows a ladder-shaped distribution on all sides, with the spectator stands positioned at a higher ground height than the normal level. To ensure uniform illumination, the reference plane for illumination can be chosen based on the region. In this case, the ground and the surrounding positions of the audience stands were selected as the reference planes. The spectator stands were distributed on all four sides, with each side measuring 10 m in width and comprising 10 layers, where each layer was 1 m in width and 0.5 m in height. Figure 13 provides a schematic cross-section of the spectator stands.
Figure 13.
Diagram of spectator stand section.
The skylight arrangement model can be customized according to the design of the spectator stands by adjusting the values of xm and ym in the calculation formula based on the different positions and heights. The optimized skylight arrangement was achieved using a genetic algorithm, while the occlusion model remained unchanged. The other parts of the model were processed according to the obstructed scenario discussed in the previous section. The conventional skylight arrangement methods resulted in low illumination values in the corners, due to the unique conditions of the gymnasium seating. To address this issue, a minimum illuminance constraint was set to 200 lux. The optimized skylight arrangement, shown in Figure 14, was obtained by considering this constraint.
Figure 14.
Diagram of the optimized skylight arrangement for the Gymnasium with seating.
The skylight distribution was modified to accommodate the design of the grandstand by employing the optimized skylight arrangement method obtained through the genetic algorithm. Additional skylights were strategically placed near the surrounding locations, while still maintaining a dispersed overall distribution. The impact of these adjustments on the illumination levels of the reference plane is illustrated in Figure 15. The stepped distribution of the stands and the varying elevations of the reference plane resulted in noticeable and discontinuous variations in the illuminance across the surrounding area, as depicted in the illuminance variation chart. However, it is important to note that considering the presence of the stands has a minimal effect on the illumination levels in the surrounding area, as compared to the scenario where the stands are not considered.
Figure 15.
Schematic diagrams of the change in illumination of different skylight arrangements for the comprehensive analysis of the gymnasium: (a) uniform dispersion; (b) dispersed vertical bars; (c) X-shape arrangement; (d) genetic algorithm optimization.
Table 6 shows the results of the analysis, indicating that the average illumination decreased for all four skylight arrangement methods, accompanied by an increase in the Q value. The maximum illumination remained relatively consistent among the methods, while the minimum illumination experienced a significant decrease. This is because the minimum illumination was typically concentrated in the four corner locations, while the maximum illumination was generally centered in the gymnasium. Compared to the evenly scattered arrangement with higher uniformity, the genetic-algorithm-optimized skylight layout achieved a 23.5% decrease in the Q value, indicating better uniformity among the four techniques. Furthermore, the genetic algorithm optimization resulted in the highest minimum illumination among the methods, with increased illumination around the corners, thereby reducing the need for artificial lighting.
Table 6.
Comparison of skylight arrangement results in gymnasium with seating.
5. Conclusions
In this work, a novel approach based on optimized algorithms was implemented for the design of skylights to improve the uniformity of indoor illuminance. A finite element model was established using the CIE standard sky model, and a Q value was introduced to evaluate the uniformity of indoor illuminance. Nonlinear programming and genetic algorithms were utilized to optimize the skylight arrangement, resulting in a significant improvement in illuminance uniformity. The genetic algorithm was particularly effective at optimizing the skylight arrangement for gymnasiums with and without obstacles and seating.
The optimized skylight arrangements obtained through both the nonlinear programming and genetic algorithms demonstrated a significant improvement in the uniformity of indoor illuminance compared to the conventional arrangements, without any significant increase in the skylight area or decrease in the absolute average illuminance. The genetic algorithm was subsequently applied in the optimized skylight design of a gymnasium. The Q value of the skylight arrangement obtained through the genetic algorithm decreased by 32% compared to the optimized conventional arrangement in an ideal gymnasium. The advantage of the genetic algorithm was also observed in the case of a gymnasium with obstacles and seating, where the Q value was decreased by 32% and 21%, respectively.
Looking ahead, there are several potential avenues for future development in this area. Firstly, a more accurate physical model for skylights and natural light could be established to further enhance the effectiveness of the algorithm optimization. Secondly, further research can be conducted to explore the integration of other optimization algorithms or hybrid approaches to enhance the efficiency and effectiveness of skylight arrangement optimization. Thirdly, the impact of different room geometries and configurations on the skylight arrangement can be investigated to provide more tailored solutions for specific architectural settings. Lastly, incorporating dynamic lighting control systems, and considering the interaction between artificial and natural lighting sources, can contribute to the development of more sophisticated and energy-efficient indoor lighting designs. We anticipate that the integration of the above strategies will enhance the congruity between our model and the practical context. Furthermore, it is imperative for us to adopt a focused data collection approach, encompassing factors such as the actual illuminance levels and seasonal changes based on building locations, to enable comprehensive assessments. Likewise, by conducting empirical experiments to analyze and enhance the efficacy of skylight configurations, we aim to attain results that more effectively address practical requirements.
Overall, this work demonstrated the optimization of the genetic algorithm on skylights to enhance indoor light uniformity. With continued research and innovation, there is great potential to apply genetic and other types of optimized algorithms to improve lighting quality, energy efficiency, and user experience in architectural spaces.
Author Contributions
Conceptualization, B.J.; formal analysis, G.C. and B.W.; funding acquisition, N.X.; methodology, B.J.; project administration, N.X.; software, W.L., G.C. and W.S.; validation, W.S. and B.W.; writing—original draft, B.J. and W.L.; writing—review and editing, B.J. and N.X. All authors have read and agreed to the published version of the manuscript.
Funding
The authors would like to express their gratitude to National Key R&D Program of China (No. 2021ZD0114600) and Hubei Provincial Natural Science Foundation of China (No. 2021CFB054) for the financial support.
Institutional Review Board Statement
Not applicable.
Informed Consent Statement
Not applicable.
Data Availability Statement
Data is available on request.
Conflicts of Interest
The authors declare no conflict of interest.
References
- Doulos, L.; Kontadakis, A.; Madias, E.; Sinou, M.; Tsangrassoulis, A. Minimizing energy consumption for artificial lighting in a typical classroom of a Hellenic public school aiming for near Zero Energy Building using LED DC luminaires and daylight harvesting systems. Energy Build. 2019, 194, 201–217. [Google Scholar] [CrossRef]
- Gan, V.J.; Lo, I.M.; Ma, J.; Tse, K.T.; Cheng, J.C.; Chan, C.M. Simulation optimisation towards energy efficient green buildings: Current status and future trends. J. Clean. Prod. 2020, 254, 120012. [Google Scholar] [CrossRef]
- Daú, G.; Scavarda, A.; Scavarda, L.F.; Portugal, V.J.T. The healthcare sustainable supply chain 4.0: The circular economy transition conceptual framework with the corporate social responsibility mirror. Sustainability 2019, 11, 3259. [Google Scholar] [CrossRef]
- Liu, Z.; Liu, Y.; He, B.-J.; Xu, W.; Jin, G.; Zhang, X. Application and suitability analysis of the key technologies in nearly zero energy buildings in China. Renew. Sustain. Energy Rev. 2019, 101, 329–345. [Google Scholar] [CrossRef]
- Feng, W.; Zhang, Q.; Ji, H.; Wang, R.; Zhou, N.; Ye, Q.; Hao, B.; Li, Y.; Luo, D.; Lau, S.S.Y. A review of net zero energy buildings in hot and humid climates: Experience learned from 34 case study buildings. Renew. Sustain. Energy Rev. 2019, 114, 109303. [Google Scholar] [CrossRef]
- Gabriel Zougheib, R. The planning and design of Terminal buildings: A case study of Beirut international airport. Arts Archit. J. 2023, 4, 83–119. [Google Scholar] [CrossRef]
- Seo, D. Articulate Design Thinking for Sustainable Airport Environment: A Case Study of Singapore Changi Airport T3. Transp. Res. Procedia 2021, 56, 136–142. [Google Scholar] [CrossRef]
- Huihui, L. The advantages of C-pillars in the large space of the terminal: A case study of Beijng Daxing international airport terminal. Proc. IOP Conf. Ser. Mater. Sci. Eng. 2020, 780, 062035. [Google Scholar] [CrossRef]
- Laudis, L.L.; Ramadass, N.; Shyam, S.; Benschwartz, R.; Suresh, V. An Adaptive Symbiosis based Metaheuristics for Combinatorial Optimization in VLSI. Procedia Comput. Sci. 2020, 167, 205–212. [Google Scholar] [CrossRef]
- Drori, I.; Kharkar, A.; Sickinger, W.R.; Kates, B.; Ma, Q.; Ge, S.; Dolev, E.; Dietrich, B.; Williamson, D.P.; Udell, M. Learning to solve combinatorial optimization problems on real-world graphs in linear time. In Proceedings of the 2020 19th IEEE International Conference on Machine Learning and Applications (ICMLA), Miami, FL, USA, 14–17 December 2020; pp. 19–24. [Google Scholar]
- Shunmugathammal, M.; Christopher Columbus, C.; Anand, S. A novel B* tree crossover-based simulated annealing algorithm for combinatorial optimization in VLSI fixed-outline floorplans. Circuits Syst. Signal Process. 2020, 39, 900–918. [Google Scholar] [CrossRef]
- Sudan, M.; Tiwari, G.; Al-Helal, I. Dynamic analysis of daylight metrics and energy saving for rooftop window integrated flat roof structure of building. Sol. Energy 2015, 122, 834–846. [Google Scholar] [CrossRef]
- Zhao, N.; Fan, Z.; Liu, J. Daylight oriented optimization of photovoltaic integrated skylights for railway station waiting hall represented large space buildings in China. Energy Build. 2023, 285, 112777. [Google Scholar] [CrossRef]
- Isoardi, G.; Garcia Hansen, V.; Hirning, M. Evaluation of the luminous environment in open-plan offices with skylights. In Proceedings of the World Renewable Energy Forum (WREF) 2012, Denver, CO, USA, 13–17 May 2012; Volume 5, pp. 3818–3825. [Google Scholar]
- El-Abd, W.; Kamel, B.; Afify, M.; Dorra, M. Assessment of skylight design configurations on daylighting performance in shopping malls: A case study. Sol. Energy 2018, 170, 358–368. [Google Scholar] [CrossRef]
- Thakkar, V. Experimental study of Tubular Skylight and comparison with Artificial Lighting of standard ratings. Int. J. Enhanc. Res. Sci. Technol. Eng 2013, 2, 1–6. [Google Scholar]
- Futrell, B.J.; Ozelkan, E.C.; Brentrup, D. Optimizing complex building design for annual daylighting performance and evaluation of optimization algorithms. Energy Build. 2015, 92, 234–245. [Google Scholar] [CrossRef]
- Todorović, M.S.; Ećim-Đurić, O.; Nikolić, S.; Ristić, S.; Polić-Radovanović, S. Historic building’s holistic and sustainable deep energy refurbishment via BPS, energy efficiency and renewable energy—A case study. Energy Build. 2015, 95, 130–137. [Google Scholar] [CrossRef]
- Galatioto, A.; Ciulla, G.; Ricciu, R. An overview of energy retrofit actions feasibility on Italian historical buildings. Energy 2017, 137, 991–1000. [Google Scholar] [CrossRef]
- Shirzadnia, Z.; Goharian, A.; Mahdavinejad, M. Designerly approach to skylight configuration based on daylight performance; Toward a novel optimization process. Energy Build. 2023, 286, 112970. [Google Scholar] [CrossRef]
- Marzouk, M.; ElSharkawy, M.; Mahmoud, A. Optimizing daylight utilization of flat skylights in heritage buildings. J. Adv. Res. 2022, 37, 133–145. [Google Scholar] [CrossRef]
- Yi, Y.K.; Tariq, A.; Park, J.; Barakat, D. Multi-objective optimization (MOO) of a skylight roof system for structure integrity, daylight, and material cost. J. Build. Eng. 2021, 34, 102056. [Google Scholar] [CrossRef]
- Fernandez Bandera, C.; Muñoz Mardones, A.F.; Du, H.; Echevarria Trueba, J.; Ramos Ruiz, G. Exergy as a measure of sustainable retrofitting of buildings. Energies 2018, 11, 3139. [Google Scholar] [CrossRef]
- Hu, X.; Qian, K. Optimal design of optical system for LED road lighting with high illuminance and luminance uniformity. Appl. Opt. 2013, 52, 5888–5893. [Google Scholar] [CrossRef]
- Kim, B.; Kim, J.; Ohm, W.-S.; Kang, S. Eliminating hotspots in a multi-chip LED array direct backlight system with optimal patterned reflectors for uniform illuminance and minimal system thickness. Opt. Express 2010, 18, 8595–8604. [Google Scholar] [CrossRef] [PubMed]
- Musa, M.M.M.; Qiu, H. A Novel Illumination Distribution Arrangement for Indoor VLC Using 17 Locations of Light Source. Adv. Wirel. Commun. Netw. 2018, 4, 5. [Google Scholar] [CrossRef]
- Li, D.H.; Chau, T.; Wan, K.K. A review of the CIE general sky classification approaches. Renew. Sustain. Energy Rev. 2014, 31, 563–574. [Google Scholar] [CrossRef]
- Wind Energy and Solar Energy Center of China. Meteorological Adiministration. China Wind and Solar Energy Resiurces Annual Bulletin (2022). China Energy News 2023, 723, 13–15. [Google Scholar]
- Yun, S.-I.; Kim, K.-S. Sky luminance measurements using CCD camera and comparisons with calculation models for predicting indoor illuminance. Sustainability 2018, 10, 1556. [Google Scholar] [CrossRef]
- Chen, W.; Li, D.H.; Li, S.; Lou, S. Predicting diffuse solar irradiance on obstructed building façades under irregular skyline patterns for various ISO/CIE standard skies. J. Build. Eng. 2021, 40, 102370. [Google Scholar] [CrossRef]
- Biegler, L.T. New directions for nonlinear process optimization. Curr. Opin. Chem. Eng. 2018, 21, 32–40. [Google Scholar] [CrossRef]
- Li, Z.; Ma, L.; Long, X.; Chen, Y.; Deng, H.; Yan, F.; Gu, Q. Hardware-oriented algorithm for high-speed laser centerline extraction based on Hessian matrix. IEEE Trans. Instrum. Meas. 2021, 70, 1–14. [Google Scholar] [CrossRef]
- Yufka, M.; Ekici, B.; Cubukcuoglu, C.; Chatzikonstantinou, I.; Sariyildiz, I.S. Multi-Objective skylight optimization for a healthcare facility foyer space. In Proceedings of the 2017 IEEE Congress on Evolutionary Computation (CEC), Donostia, Spain, 5–8 June 2017; pp. 1008–1014. [Google Scholar]
Disclaimer/Publisher’s Note: The statements, opinions and data contained in all publications are solely those of the individual author(s) and contributor(s) and not of MDPI and/or the editor(s). MDPI and/or the editor(s) disclaim responsibility for any injury to people or property resulting from any ideas, methods, instructions or products referred to in the content. |
© 2023 by the authors. Licensee MDPI, Basel, Switzerland. This article is an open access article distributed under the terms and conditions of the Creative Commons Attribution (CC BY) license (https://creativecommons.org/licenses/by/4.0/).














