Remote Work in Post-Pandemic Reality—Multi-Criteria Evaluation of Teleconferencing Software
Abstract
1. Introduction
2. Literature Review
- Functionality (number of participants allowed, file, content and screen sharing, application integrations, etc.);
- Usability (ease of use, user interface, etc.);
- Effective communication (chat support, video and audio feeds, etc.);
- Multi-platform (multiplatform, mobile application, etc.);
- Security and Privacy (malware attacks, face recognition attacks, confidentiality of personal data, security, etc.);
- Technical performance (hardware requirements, network requirements, bandwidth consumption, communication delay, scalability, performance, quality of video and audio, etc.);
- Support (support system, help desk, etc.);
- Pricing (cost of software, cost of service, cost of equipment, etc.).
- Capturing multi-expert ratings, aggregating those ratings, and exploring consensus among experts.
- The ability to capture qualitative assessments, quantifiable and uncertain values.
3. Materials and Methods
3.1. NEAT F-PROMETHEE
3.2. PROSA GDSS
3.3. GAIA
4. Result
5. Discussion
5.1. Consensus among Experts
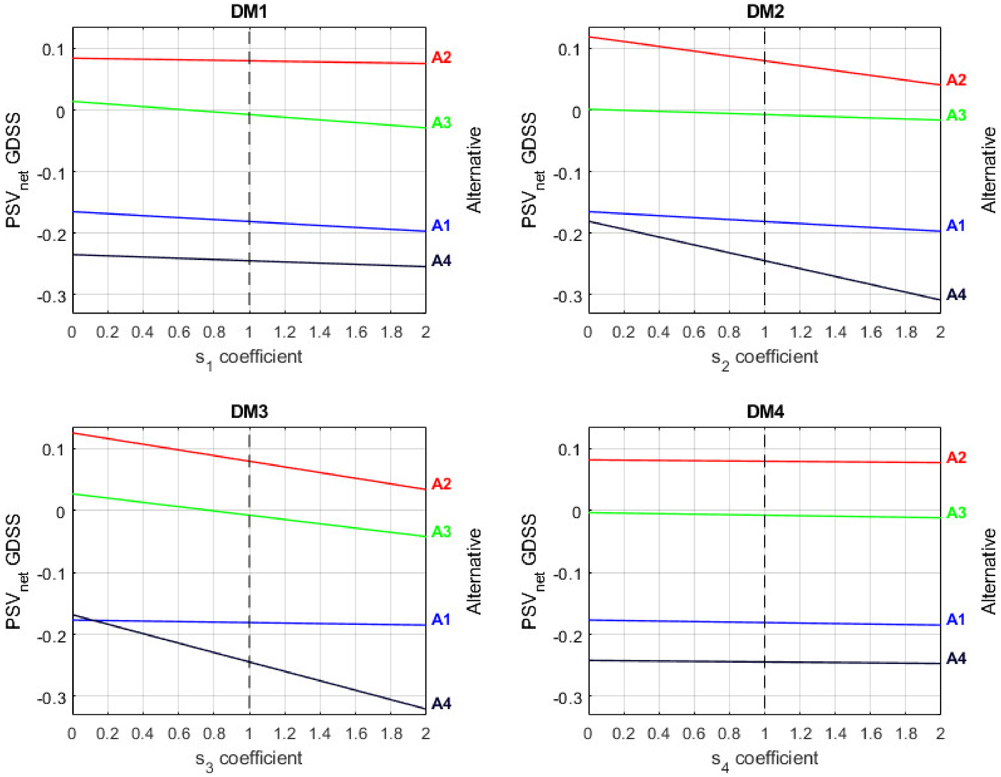
5.2. Sensitivity Analysis to Changes in Criteria Weights
5.3. Objective Validation
6. Conclusions
Author Contributions
Funding
Institutional Review Board Statement
Informed Consent Statement
Data Availability Statement
Conflicts of Interest
References
- Bick, A.; Blandin, A.; Mertens, K. Work from Home before and after the COVID-19 Outbreak; Federal Reserve Bank of Dallas: Dallas, TX, USA, 2022. [CrossRef]
- Dingel, J.I.; Neiman, B. How Many Jobs Can Be Done at Home? J. Public Econ. 2020, 189, 104235. [Google Scholar] [CrossRef] [PubMed]
- Arntz, M.; Ben Yahmed, S.; Berlingieri, F. Working from Home and COVID-19: The Chances and Risks for Gender Gaps. Intereconomics 2020, 55, 381–386. [Google Scholar] [CrossRef]
- Ghislieri, C.; Dolce, V.; Sanseverino, D.; Wodociag, S.; Vonthron, A.-M.; Vayre, É.; Giunchi, M.; Molino, M. Might Insecurity and Use of ICT Enhance Internet Addiction and Exhaust People? A Study in Two European Countries during Emergency Remote Working. Comput. Hum. Behav. 2022, 126, 107010. [Google Scholar] [CrossRef] [PubMed]
- Okubo, T. Spread of COVID-19 and Telework: Evidence from Japan. Covid Econ. 2020, 32, 1–25. [Google Scholar]
- Lockton Global Compliance. New Remote Working Legislation around the World. Available online: https://globalnews.lockton.com/new-remote-working-legislation-around-the-world/ (accessed on 18 February 2022).
- European Agency for Safety and Health at Work. Regulating Telework in a Post-COVID-19 Europe; Publications Office: Luxembourg, 2021. [Google Scholar]
- Felce, C.; Tatiana, G.; Herrero, M.; Ribeiro, L.; Valdés, A.; Lombera, M.d.R.; Pizarro, M. COVID-19—Remote Working Latin America Guide; Baker & McKenzie LLP: Tokyo, Japan, 2020. [Google Scholar]
- Ipsen, C.; van Veldhoven, M.; Kirchner, K.; Hansen, J.P. Six Key Advantages and Disadvantages of Working from Home in Europe during COVID-19. Int. J. Environ. Res. Public Health 2021, 18, 1826. [Google Scholar] [CrossRef]
- Davis, G.B. Anytime/Anyplace Computing and the Future of Knowledge Work. Commun. ACM 2002, 45, 67–73. [Google Scholar] [CrossRef]
- Dolce, V.; Vayre, E.; Molino, M.; Ghislieri, C. Far Away, So Close? The Role of Destructive Leadership in the Job Demands–Resources and Recovery Model in Emergency Telework. Soc. Sci. 2020, 9, 196. [Google Scholar] [CrossRef]
- Charalampous, M.; Grant, C.A.; Tramontano, C.; Michailidis, E. Systematically Reviewing Remote E-Workers’ Well-Being at Work: A Multidimensional Approach. Eur. J. Work Organ. Psychol. 2019, 28, 51–73. [Google Scholar] [CrossRef]
- Jain, T.; Currie, G.; Aston, L. COVID and Working from Home: Long-Term Impacts and Psycho-Social Determinants. Transp. Res. Part A Policy Pract. 2022, 156, 52–68. [Google Scholar] [CrossRef]
- Haddad, H.; Lyons, G.; Chatterjee, K. An Examination of Determinants Influencing the Desire for and Frequency of Part-Day and Whole-Day Homeworking. J. Transp. Geogr. 2009, 17, 124–133. [Google Scholar] [CrossRef]
- Baudot, L.; Kelly, K. A Survey of Perceptions of Remote Work and Work Productivity in the United States during the COVID-19 Shutdown. SSRN Electron. J. 2020. [Google Scholar] [CrossRef]
- Kong, X.; Zhang, A.; Xiao, X.; Das, S.; Zhang, Y. Work from Home in the Post-COVID World. Case Stud. Transp. Policy 2022, 10, 1118–1131. [Google Scholar] [CrossRef] [PubMed]
- Green, N.; Tappin, D.; Bentley, T. Working from Home Before, During and After the COVID-19 Pandemic: Implications for Workers and Organisations. N. Z. J. Employ. Relat. 2020, 45, 5–16. [Google Scholar] [CrossRef]
- Đukanović, B.; Radovic Markovic, M.; Macanović, N.; Maksimović, A. Economic and Social Advantages and Limitations of Working from Home. IPSI Bgd. TIR 2022, 18, 6–17. [Google Scholar] [CrossRef]
- Anderson, A.J.; Kaplan, S.A.; Vega, R.P. The Impact of Telework on Emotional Experience: When, and for Whom, Does Telework Improve Daily Affective Well-Being? Eur. J. Work Organ. Psychol. 2015, 24, 882–897. [Google Scholar] [CrossRef]
- Hook, A.; Court, V.; Sovacool, B.K.; Sorrell, S. A Systematic Review of the Energy and Climate Impacts of Teleworking. Environ. Res. Lett. 2020, 15, 093003. [Google Scholar] [CrossRef]
- Moens, E.; Lippens, L.; Sterkens, P.; Weytjens, J. The COVID-19 Crisis and Telework: A Research Survey on Experiences, Expectations and Hopes. Eur. J. Health Econ. 2022, 23, 729–753. [Google Scholar] [CrossRef]
- Rubin, O.; Nikolaeva, A.; Nello-Deakin, S.; te Brömmelstroet, M. What Can We Learn from the COVID-19 Pandemic about How People Experience Working from Home and Commuting. Cent. Urban Stud. Univ. Amst. 2020, 1, 1–9. [Google Scholar]
- Akala, A. More Big Employers Are Talking about Permanent Work-from-Home Positions. 2020. Available online: https://www.cnbc.com/2020/05/01/major-companies-talking-about-permanent-work-from-home-positions.html (accessed on 30 October 2022).
- Vegh, G.; Sajedi, S.; Naybor, D. Long-Term Effects of COVID-19, and Its Impact on Business, Employees, and CO2 Emissions, a Study Using Arc-GIS Survey 123 and Arc-GIS Mapping. Sustainability 2022, 14, 13689. [Google Scholar] [CrossRef]
- Abubakar, L.; Salemcity, A.J.; Abass, O.K.; Olajuyin, A.M. The Impacts of COVID-19 on Environmental Sustainability: A Brief Study in World Context. Bioresour. Technol. Rep. 2021, 15, 100713. [Google Scholar] [CrossRef]
- Begum, H.; Alam, A.S.A.F.; Leal Filho, W.; Awang, A.H.; Ghani, A.B.A. The COVID-19 Pandemic: Are There Any Impacts on Sustainability? Sustainability 2021, 13, 11956. [Google Scholar] [CrossRef]
- Addas, A.; Maghrabi, A. The Impact of COVID-19 Lockdowns on Air Quality—A Global Review. Sustainability 2021, 13, 10212. [Google Scholar] [CrossRef]
- Sandhu, R.K.; Vasconcelos-Gomes, J.; Thomas, M.A.; Oliveira, T. Unfolding the Popularity of Video Conferencing Apps—A Privacy Calculus Perspective. Int. J. Inf. Manag. 2023, 68, 102569. [Google Scholar] [CrossRef]
- Toan, P.N.; Dang, T.-T.; Hong, L.T.T. Evaluating Video Conferencing Software for Remote Working Using Two-Stage Grey MCDM: A Case Study from Vietnam. Mathematics 2022, 10, 946. [Google Scholar] [CrossRef]
- Lima, A.; Soares, V.S. Multi Criteria Decision Making Models: An Overview on Electre Methods; Working Paper; CIGE: Porto, Portugal, 2011; pp. 3–41. Available online: http://wwwa.uportu.pt/siaa/Investigacao/WP_21_2011.pdf (accessed on 30 October 2022).
- Brans, J.P.; Vincke, P. A Preference Ranking Organisation Method: (The PROMETHEE Method for Multiple Criteria Decision-Making). Manag. Sci. 1985, 31, 647–656. [Google Scholar] [CrossRef]
- Munda, G. Multicriteria Evaluation in a Fuzzy Environment; Contributions to Economics; Physica-Verlag Heidelberg: Berlin/Heidelberg, Germany, 1995; ISBN 978-3-642-49997-5. [Google Scholar]
- Leclercq, J.P. Propositions d’extension de La Notion de Dominance En Presence de Relations d’ordre Sur Les Pseudo-Criteres: MELCHIOR. Rev. Belg. Rech. Oper. Stat. D’informatique 1984, 24, 32–46. [Google Scholar]
- Roubens, M. Preference Relations on Actions and Criteria in Multicriteria Decision Making. Eur. J. Oper. Res. 1982, 10, 51–55. [Google Scholar] [CrossRef]
- Hinloopen, E.; Nijkamp, P.; Rietveld, P. The Regime Method: A New Multicriteria Technique. In Essays and Surveys on Multiple Criteria Decision Making, Proceedings of the Fifth International Conference on Multiple Criteria Decision Making, Mons, Belgium, 9–13 August 1982; Hansen, P., Ed.; Springer: Berlin/Heidelberg, Germany, 1983; pp. 146–155. ISBN 978-3-642-46473-7. [Google Scholar]
- Vansnick, J.C. On the Problem of Weights in Multiple Criteria Decision Making (the Non-Compensatory Approach). Eur. J. Oper. Res. 1986, 24, 288–294. [Google Scholar] [CrossRef]
- Saaty, T. The Analytical Hierarchy Process; McGraw-Hill: New York, NY, USA, 1980. [Google Scholar]
- Saaty, T.L. Fundamentals of Decision Making and Priority Theory with the Analytic Hierarchy Process; AHP series; RWS Publications: Pittsburgh, PA, USA, 2000; ISBN 978-1-888603-15-6. [Google Scholar]
- Ziemba, P.; Wątróbski, J.; Jankowski, J.; Piwowarski, M. Research on the Properties of the AHP in the Environment of Inaccurate Expert Evaluations. In Proceedings of the Selected Issues in Experimental Economics; Nermend, K., Łatuszyńska, M., Eds.; Springer International Publishing: Berlin/Heidelberg, Germany, 2016; pp. 227–243. [Google Scholar]
- Saaty, T. Theory and Applications of the Analytic Network Process: Decision Making with Benefits, Opportunities, Costs and Risks; RWS Publications: Pittsburgh, PN, USA, 2005; ISBN 1-888603-06-2. [Google Scholar]
- Ziemba, P.; Wątróbski, J. Selected Issues of Rank Reversal Problem in ANP Method. In Proceedings of the Selected Issues in Experimental Economics; Nermend, K., Łatuszyńska, M., Eds.; Springer International Publishing: Berlin/Heidelberg, Germany, 2016; pp. 203–225. [Google Scholar]
- Gabus, A.; Fontela, E. World Problems, An Invitation to Further Thought Within the Framework of DEMATEL; Batelle Institute, Geneva Research Centre: Geneva, Switzerland, 1972. [Google Scholar]
- Bana e Costa, C.A.; Vansnick, J.-C.A. Theoretical Framework for Measuring Attractiveness by a Categorical Based Evaluation Technique (MACBETH). In Multicriteria Analysis, Proceedings of the XIth International Conference on MCDM, 1–6 August 1994, Coimbra, Portugal; Clímaco, J., Ed.; Springer: Berlin/Heidelberg, Germany, 1997; pp. 15–24. ISBN 978-3-642-60667-0. [Google Scholar]
- Edwards, W.; Newman, J.; Snapper, K.; Seaver, D. Multiattribute Evaluation; SAGE Publications: London, UK, 1982. [Google Scholar]
- Nermend, K.; Piwowarski, M.; Sałabun, W. Selected Methodological and Practical Aspects of the Multi-Criteria Method PVM. Procedia Comput. Sci. 2019, 159, 2267–2278. [Google Scholar] [CrossRef]
- Kannchen, M.; Ziemba, P.; Borawski, M. Use of the PVM Method Computed in Vector Space of Increments in Decision Aiding Related to Urban Development. Symmetry 2019, 11, 446. [Google Scholar] [CrossRef]
- Liang, X.; Meng, X. An Extended FTOPSIS Method for Freeway Route Selection in the Pre-Feasibility Study Stage. Phys. A Stat. Mech. Its Appl. 2019, 526, 120871. [Google Scholar] [CrossRef]
- Alamoodi, A.H.; Albahri, O.S.; Zaidan, A.A.; Alsattar, H.A.; Zaidan, B.B.; Albahri, A.S.; Ismail, A.R.; Kou, G.; Alzubaidi, L.; Talal, M. Intelligent Emotion and Sensory Remote Prioritisation for Patients with Multiple Chronic Diseases. Sensors 2023, 23, 1854. [Google Scholar] [CrossRef] [PubMed]
- Alamoodi, A.H.; Albahri, O.S.; Zaidan, A.A.; Alsattar, H.A.; Zaidan, B.B.; Albahri, A.S. Hospital Selection Framework for Remote MCD Patients Based on Fuzzy Q-Rung Orthopair Environment. Neural Comput. Appl. 2023, 35, 6185–6196. [Google Scholar] [CrossRef] [PubMed]
- Anojkumar, L.; Ilangkumaran, M.; Sasirekha, V. Comparative Analysis of MCDM Methods for Pipe Material Selection in Sugar Industry. Expert Syst. Appl. 2014, 41, 2964–2980. [Google Scholar] [CrossRef]
- Ziemba, P. Multi-Criteria Group Assessment of E-Commerce Websites Based on the New PROSA GDSS Method–the Case of Poland. IEEE Access 2021, 9, 126595–126609. [Google Scholar] [CrossRef]
- Ziemba, P. Multi-Criteria Approach to Stochastic and Fuzzy Uncertainty in the Selection of Electric Vehicles with High Social Acceptance. Expert Syst. Appl. 2021, 173, 114686. [Google Scholar] [CrossRef]
- Ziemba, P. Uncertain Multi-Criteria Analysis of Offshore Wind Farms Projects Investments—Case Study of the Polish Economic Zone of the Baltic Sea. Appl. Energy 2022, 309, 118232. [Google Scholar] [CrossRef]
- Battisti, E.; Alfiero, S.; Leonidou, E. Remote Working and Digital Transformation during the COVID-19 Pandemic: Economic–Financial Impacts and Psychological Drivers for Employees. J. Bus. Res. 2022, 150, 38–50. [Google Scholar] [CrossRef]
- Mariani, M.M.; Ek Styven, M.; Teulon, F. Explaining the Intention to Use Digital Personal Data Stores: An Empirical Study. Technol. Forecast. Soc. Chang. 2021, 166, 120657. [Google Scholar] [CrossRef]
- Van Laar, E.; van Deursen, A.J.A.M.; van Dijk, J.A.G.M.; de Haan, J. Determinants of 21st-Century Skills and 21st-Century Digital Skills for Workers: A Systematic Literature Review. SAGE Open 2020, 10, 2158244019900176. [Google Scholar] [CrossRef]
- Kohont, A.; Ignjatović, M. Organizational Support of Working from Home: Aftermath of COVID-19 from the Perspective of Workers and Leaders. Sustainability 2022, 14, 5107. [Google Scholar] [CrossRef]
- Almpanis, T.; Joseph-Richard, P. Lecturing from Home: Exploring Academics’ Experiences of Remote Teaching during a Pandemic. Int. J. Educ. Res. Open 2022, 3, 100133. [Google Scholar] [CrossRef]
- Zhao, K.; Yang, Q.; Ma, X. Exploration of An Open Online Learning Platform Based on Google Cloud Computing. Int. J. Emerg. Technol. Learn. 2017, 12, 17. [Google Scholar] [CrossRef]
- Reyna, J. Google Docs in Higher Education. In Cases on Online Learning Communities and Beyond: Investigations and Applications; IGI Global: Hershey, PA, USA, 2012; pp. 150–166. [Google Scholar] [CrossRef]
- Espinosa-Garza, G.; Loera-Hernández, I.; Antonyan, N. Functionality Design in Google Docs as an Interactive Platform. Procedia Manuf. 2017, 13, 1277–1283. [Google Scholar] [CrossRef]
- Großer, B.; Baumöl, U. Why Virtual Teams Work—State of the Art. Procedia Comput. Sci. 2017, 121, 297–305. [Google Scholar] [CrossRef]
- Biswas, S.; Pamucar, D.; Chowdhury, P.; Kar, S. A New Decision Support Framework with Picture Fuzzy Information: Comparison of Video Conferencing Platforms for Higher Education in India. Discret. Dyn. Nat. Soc. 2021, 2021, e2046097. [Google Scholar] [CrossRef]
- Qayyum, S.; Fan, X.; Faizan Ali, R. Feature-Based Selection for Open-Source Video Conferencing Software System Using Fuzzy Analytical Hierarchy Process (FAHP). In Proceedings of the 2021 13th International Conference on Machine Learning and Computing, Shenzhen, China, 26 February–1 March 2021; Association for Computing Machinery: New York, NY, USA, 2021; pp. 471–476. [Google Scholar]
- Singh, R.; Awasthi, S. Updated Comparative Analysis on Video Conferencing Platforms- Zoom, Google Meet, Microsoft Teams, WebEx Teams and GoToMeetings; EasyChair Preprint No. 4026. 2020. Available online: https://easychair.org/publications/preprint/Fq7T (accessed on 30 October 2022).
- Archibald, M.M.; Ambagtsheer, R.C.; Casey, M.G.; Lawless, M. Using Zoom Videoconferencing for Qualitative Data Collection: Perceptions and Experiences of Researchers and Participants. Int. J. Qual. Methods 2019, 18, 1609406919874596. [Google Scholar] [CrossRef]
- Walsh, M. The 7 Best Video Conferencing Software Platforms for 2023. 2023. Available online: https://www.dgicommunications.com/video-conferencing-software (accessed on 6 March 2023).
- Liu, W.-L.; Zhang, K.; Locatis, C.; Ackerman, M. Cloud and Traditional Videoconferencing Technology for Telemedicine and Distance Learning. Telemed. J. E-Health 2015, 21, 422–426. [Google Scholar] [CrossRef]
- Suduc, A.M.; Bizoi, M. AI Shapes the Future of Web Conferencing Platforms. Procedia Comput. Sci. 2022, 214, 288–294. [Google Scholar] [CrossRef]
- Correia, A.-P.; Liu, C.; Xu, F. Evaluating Videoconferencing Systems for the Quality of the Educational Experience. Distance Educ. 2020, 41, 429–452. [Google Scholar] [CrossRef]
- Piątkowska, A. Analysis of the Functionality of Voice and Video Communication Systems. J. Comput. Sci. Inst. 2022, 24, 210–217. [Google Scholar] [CrossRef]
- Leporini, B.; Buzzi, M.; Hersh, M. Video Conferencing Tools: Comparative Study of the Experiences of Screen Reader Users and the Development of More Inclusive Design Guidelines. ACM Trans. Access. Comput. 2022, 16, 3573012. [Google Scholar] [CrossRef]
- Çakır, E.; Ulukan, Z. Web Conferencing Software Selection with Interval-Valued Fuzzy Parameterized Intuitionistic Fuzzy Soft Sets. 3c Tecnol. 2021, 53–64. [Google Scholar] [CrossRef]
- Banbury, A.; Nancarrow, S.; Dart, J.; Gray, L.; Parkinson, L. Telehealth Interventions Delivering Home-Based Support Group Videoconferencing: Systematic Review. J. Med. Internet Res. 2018, 20, e8090. [Google Scholar] [CrossRef]
- Chang, H.; Varvello, M.; Hao, F.; Mukherjee, S. A Tale of Three Videoconferencing Applications: Zoom, Webex, and Meet. IEEE/ACM Trans. Netw. 2022, 30, 2343–2358. [Google Scholar] [CrossRef]
- Lu, Y.; Zhao, Y.; Kuipers, F.; Van Mieghem, P. Measurement Study of Multi-Party Video Conferencing. In NETWORKING 2010; Crovella, M., Feeney, L.M., Rubenstein, D., Raghavan, S.V., Eds.; Lecture Notes in Computer Science; Springer: Berlin/Heidelberg, Germany, 2010; Volume 6091, pp. 96–108. ISBN 978-3-642-12962-9. [Google Scholar]
- Ziemba, P. NEAT F-PROMETHEE—A New Fuzzy Multiple Criteria Decision Making Method Based on the Adjustment of Mapping Trapezoidal Fuzzy Numbers. Expert Syst. Appl. 2018, 110, 363–380. [Google Scholar] [CrossRef]
- Ziemba, P. Selection of Electric Vehicles for the Needs of Sustainable Transport under Conditions of Uncertainty—A Comparative Study on Fuzzy MCDA Methods. Energies 2021, 14, 7786. [Google Scholar] [CrossRef]
- Ziemba, P.; Becker, J. Analysis of the Digital Divide Using Fuzzy Forecasting. Symmetry 2019, 11, 166. [Google Scholar] [CrossRef]
- Ziemba, P. Towards Strong Sustainability Management—A Generalized PROSA Method. Sustainability 2019, 11, 1555. [Google Scholar] [CrossRef]
- Ziemba, P. Multi-Criteria Stochastic Selection of Electric Vehicles for the Sustainable Development of Local Government and State Administration Units in Poland. Energies 2020, 13, 6299. [Google Scholar] [CrossRef]
- Ziemba, P.; Gago, I. Compromise Multi-Criteria Selection of E-Scooters for the Vehicle Sharing System in Poland. Energies 2022, 15, 5048. [Google Scholar] [CrossRef]
- Saaty, T.L.; Özdemir, M.S. How Many Judges Should There Be in a Group? Ann. Data Sci. 2014, 1, 359–368. [Google Scholar] [CrossRef]
- Saaty, T. Seven Is the Magic Number in Nature. Proc. Am. Philos. Soc. 2016, 160, 335–360. [Google Scholar]
- Tsvetkova, O.; Ouarda, T.B.M.J. A Review of Sensitivity Analysis Practices in Wind Resource Assessment. Energy Convers. Manag. 2021, 238, 114112. [Google Scholar] [CrossRef]
- Albahri, A.S.; Alnoor, A.; Zaidan, A.A.; Albahri, O.S.; Hameed, H.; Zaidan, B.B.; Peh, S.S.; Zain, A.B.; Siraj, S.B.; Alamoodi, A.H.; et al. Based on the Multi-Assessment Model: Towards a New Context of Combining the Artificial Neural Network and Structural Equation Modelling: A Review. Chaos Solitons Fractals 2021, 153, 111445. [Google Scholar] [CrossRef]
- Albahri, O.S.; Zaidan, A.A.; Albahri, A.S.; Zaidan, B.B.; Abdulkareem, K.H.; Al-qaysi, Z.T.; Alamoodi, A.H.; Aleesa, A.M.; Chyad, M.A.; Alesa, R.M.; et al. Systematic Review of Artificial Intelligence Techniques in the Detection and Classification of COVID-19 Medical Images in Terms of Evaluation and Benchmarking: Taxonomy Analysis, Challenges, Future Solutions and Methodological Aspects. J. Infect. Public Health 2020, 13, 1381–1396. [Google Scholar] [CrossRef] [PubMed]
- Kalid, N.; Zaidan, A.A.; Zaidan, B.B.; Salman, O.H.; Hashim, M.; Albahri, O.S.; Albahri, A.S. Based on Real Time Remote Health Monitoring Systems: A New Approach for Prioritization “Large Scales Data” Patients with Chronic Heart Diseases Using Body Sensors and Communication Technology. J. Med. Syst. 2018, 42, 69. [Google Scholar] [CrossRef] [PubMed]





| Parameters | Zoom | Microsoft Teams | Google Meet | Skype |
|---|---|---|---|---|
| Meeting Time Limits (Max time) | F: 40 min P: 30 h | F: 60 min P: 30 h | F: 60 min P: 24 h | F: 24 h |
| Most advanced Paid Plan | Enterprise | Microsoft 365 Business Standard | Business Plus | Microsoft Teams |
| Number of Participants | F: 100, P: 500 | F: 100, P: 300 | F: 100, P: 500 | F: 100 |
| Record Meetings | Users can record meeting | F: Options are limited | F: Options are limited | A |
| Cloud File Storage | P: Unlimited storage | 1 TB per organization plus 10 GB per license | P: 5 TB per user | 300 MB, OneDrive |
| Screen sharing | A | A | A | A |
| Live captions | A | A | A | A |
| Raise hand | A | A | A | A |
| Virtual Background | A | A | A | A |
| Breakout rooms | P: A | P: A | P: A | N |
| Calendar integration | A | A | A | A |
| Video Quality | F: 720p, P: 1080p | F: 1080p, P: 1080p | F: 720p, P: 720p | 1080p |
| Mobile application | A | A | A | A |
| Computer application | A | A | A | A |
| Join from browser | A | A | A | A |
| Track user engagement | A | A | A | N |
| Whiteboard | A | A | A (Google Jamboard) | N |
| Meeting attendance report | A | A | A | N |
| Private Chat | A | A | N | A |
| Co-Annotation on Screen | A | N | N | N |
| LMS (Learning Management System) integration | A | A | Pilot program | A |
| Remote control of another computer while talking | N | A | A (Chrome Remote Desktop) | N |
| Systems Compatibility | MacOS, Windows, iOS, Android, Linux | MacOS, Windows, iOS, Android, Linux | MacOS, Windows, iOS, Android, Linux | MacOS, Windows, iOS, Android, Linux |
| Safety and security | Encryption, passwords, waiting rooms | Advanced security and privacy measures | Encryption and security features | Encryption of all features |
| Price (per user for a month) | F: A, P: $19.99 | F: A, P: $12.50 | F: A, P: $18 | Free |
| Criteria | References |
|---|---|
| Number of participants allowed | [29,63] |
| Video feeds | [29,64,65,66,67] |
| Application Integrations | [29,67,68,69] |
| Effective communication | [64,66] |
| Special functions and features | [63,64,66,67,68,69] |
| Whiteboard | [65,67] |
| Chat support | [64,65,67,69,70,71,72] |
| Malware attacks/Face recognition attacks | [29,63] |
| Confidentiality of personal data | [29,65,66,67,68,69,70] |
| Security | [29,63,65,66,67,68,69,70,73,74] |
| Support System | [29,64,67,70,73,74] |
| Multiplatform/Mobile application | [29,67,69,73,75] |
| User interface | [66,67,68] |
| Ease of use | [29,63,64,66,67,69,70,74] |
| Portability/Flexibility | [64,70] |
| Quality of video/audio | [29,63,68,69,76] |
| Video recording capability | [29,63,64,65,67,68,69,73] |
| Performance | [29,64,73] |
| Compatibility | [63,65,67,73] |
| File, content and Screen Sharing | [63,64,65,66,67,69,71,72,73] |
| Hardware/Network requirements/Bandwidth consumption | [63,64,65,66,67,68,75] |
| Communication delay | [71,75,76] |
| Scalability | [67,68] |
| Calendaring | [67,72,75] |
| Cost of software/service | [29,63,66,67,68] |
| Cost of equipment | [29,63,68] |
| Criteria | Weight | A1 | A2 | A3 | A4 |
|---|---|---|---|---|---|
| C1—Functionality | VH | F | G | G | MP |
| C2—Usability | MH | F | G | MG | F |
| C3—Effective communication | H | MG | MG | MG | MP |
| C4—Multi-platform | M | F | G | MG | F |
| C5—Security and privacy | MH | MP | MG | G | MG |
| C6—Technical performance | M | MG | MP | MG | MG |
| C7—Support | L | MG | MG | F | MG |
| C8—Pricing [$per user for a month] | MH | 19.99 | 12.50 | 18 | 0 |
| Criteria | Weight | A1 | A2 | A3 | A4 |
|---|---|---|---|---|---|
| C1—Functionality | VH | G | VG | MG | VP |
| C2—Usability | VH | F | G | MG | F |
| C3—Effective communication | H | MG | G | MG | MP |
| C4—Multi-platform | M | MG | VG | MG | P |
| C5—Security and privacy | H | P | MG | MG | MP |
| C6—Technical performance | MH | G | F | G | P |
| C7—Support | L | F | MG | F | P |
| C8—Pricing [$per user for a month] | M | 19.99 | 12.50 | 18 | 0 |
| Criteria | Weight | A1 | A2 | A3 | A4 |
|---|---|---|---|---|---|
| C1—Functionality | VH | F | G | F | MG |
| C2—Usability | MH | F | F | F | F |
| C3—Effective communication | VH | F | F | F | MG |
| C4—Multi-platform | MH | MP | G | F | G |
| C5—Security and privacy | H | F | P | F | MP |
| C6—Technical performance | H | F | P | F | G |
| C7—Support | M | F | F | F | VP |
| C8—Pricing [$per user for a month] | VH | 19.99 | 12.50 | 18 | 0 |
| Criteria | Weight | A1 | A2 | A3 | A4 |
|---|---|---|---|---|---|
| C1—Functionality | VH | MG | VG | G | MP |
| C2—Usability | MH | G | G | MG | F |
| C3—Effective communication | H | MG | MG | MG | F |
| C4—Multi-platform | M | F | G | G | F |
| C5—Security and privacy | H | MP | G | G | G |
| C6—Technical performance | M | MG | F | MG | MG |
| C7—Support | ML | MG | MG | MG | G |
| C8—Pricing [$per user for a month] | MH | 19.99 | 12.50 | 18 | 0 |
| Alternative | DM1 | DM2 | DM3 | DM4 | ||||
|---|---|---|---|---|---|---|---|---|
| Rank | Rank | Rank | Rank | |||||
| A1 | −0.3062 | 4 | −0.1143 | 3 | −0.1852 | 4 | −0.2356 | 4 |
| A2 | 0.2829 | 1 | 0.4928 | 1 | −0.0167 | 2 | 0.2705 | 1 |
| A3 | 0.2219 | 2 | 0.1463 | 2 | −0.1140 | 3 | 0.1182 | 2 |
| A4 | −0.1967 | 3 | −0.5210 | 4 | 0.3197 | 1 | −0.1519 | 3 |
| A1 | A2 | A3 | A4 | |
|---|---|---|---|---|
| −0.1809 | 0.0797 | −0.0075 | −0.2444 | |
| Rank | 3 | 1 | 2 | 4 |
| Expert | Alternatives | Mean | Standard Deviation | Min | Max | Rank |
|---|---|---|---|---|---|---|
| DM1 | G1 = {A2, A3} | 0.2524 | 0.0431 | 0.2093 | 0.2955 | 1 |
| G2 = {A1, A4} | −0.2515 | 0.0774 | −0.3289 | −0.174 | 2 | |
| DM2 | G1 = {A2, A3} | 0.3196 | 0.2450 | 0.0745 | 0.5646 | 1 |
| G1 = {A1, A4} | −0.3177 | 0.2876 | −0.6052 | −0.0301 | 2 | |
| DM3 | G1 = {A2, A4} | 0.1515 | 0.2379 | −0.0864 | 0.3894 | 1 |
| G1 = {A1, A3} | −0.1496 | 0.0503 | −0.1999 | −0.0993 | 2 | |
| DM4 | G1 = {A2, A3} | 0.1944 | 0.1077 | 0.0867 | 0.3020 | 1 |
| G2 = {A1, A4} | −0.1938 | 0.0592 | −0.2529 | −0.1346 | 2 | |
| GDSS | G1 = {A2, A3} | 0.0361 | 0.0617 | −0.0256 | 0.0978 | 1 |
| G2 = {A1, A4} | −0.2127 | 0.0449 | −0.2576 | −0.1677 | 2 |
Disclaimer/Publisher’s Note: The statements, opinions and data contained in all publications are solely those of the individual author(s) and contributor(s) and not of MDPI and/or the editor(s). MDPI and/or the editor(s) disclaim responsibility for any injury to people or property resulting from any ideas, methods, instructions or products referred to in the content. |
© 2023 by the authors. Licensee MDPI, Basel, Switzerland. This article is an open access article distributed under the terms and conditions of the Creative Commons Attribution (CC BY) license (https://creativecommons.org/licenses/by/4.0/).
Share and Cite
Ziemba, P.; Piwowarski, M.; Nermend, K. Remote Work in Post-Pandemic Reality—Multi-Criteria Evaluation of Teleconferencing Software. Sustainability 2023, 15, 9919. https://doi.org/10.3390/su15139919
Ziemba P, Piwowarski M, Nermend K. Remote Work in Post-Pandemic Reality—Multi-Criteria Evaluation of Teleconferencing Software. Sustainability. 2023; 15(13):9919. https://doi.org/10.3390/su15139919
Chicago/Turabian StyleZiemba, Paweł, Mateusz Piwowarski, and Kesra Nermend. 2023. "Remote Work in Post-Pandemic Reality—Multi-Criteria Evaluation of Teleconferencing Software" Sustainability 15, no. 13: 9919. https://doi.org/10.3390/su15139919
APA StyleZiemba, P., Piwowarski, M., & Nermend, K. (2023). Remote Work in Post-Pandemic Reality—Multi-Criteria Evaluation of Teleconferencing Software. Sustainability, 15(13), 9919. https://doi.org/10.3390/su15139919

