Research on Evolutionary Game and Simulation of Information Sharing in Prefabricated Building Supply Chain
Abstract
1. Introduction
2. Literature Review
2.1. PBSC
2.2. IS in the Supply Chain
2.3. Evolutionary Game Theory and Scale-Free Networks
2.4. Research Gap
- The existing research mainly focuses on the game between two or three subjects in the supply chain. However, with the development of information-sharing technologies, more and more PBSC subjects participate in IS. The interaction between enterprises and the network structure of the supply chain are also more complex.
- In addition to the influence of information-sharing subjects and information-sharing resources on IS decisions among enterprises, government policies and the development of social support technologies also have a significant impact on IS. Most studies consider government policies but ignore the evolution of IS in prefabricated buildings under social support and technological development.
- Existing research mainly focuses on analyzing enterprises’ IS decisions through classical game theory but fails to consider the topological characteristics of real networks, which is a lack of scientificity and authenticity. In addition, the research methods also lack the use of a scale-free network evolutionary game to study IS in PBSC.
3. Construction of Scale-Free Network Game Model
3.1. Problem Raising
3.2. Basic Assumptions
3.3. Game Model Establishment
3.3.1. Information-Sharing Benefits
3.3.2. Information-Sharing Costs
3.3.3. Information-Sharing Risks
3.3.4. Information-Sharing Penalties
3.4. Evolution Rules of Scale-Free Networks
3.4.1. Density of Information Sharers
3.4.2. Game Enterprise Information Penetration Mechanism
3.4.3. Game Enterprise Strategy Update Rules
3.4.4. Broken Edge Reconnection Mechanism of the Information-Sharing Network in PBSC
4. Results
4.1. Design of Simulation Experiment
4.2. Parameter Description
4.3. Simulation and Sensitivity Analysis
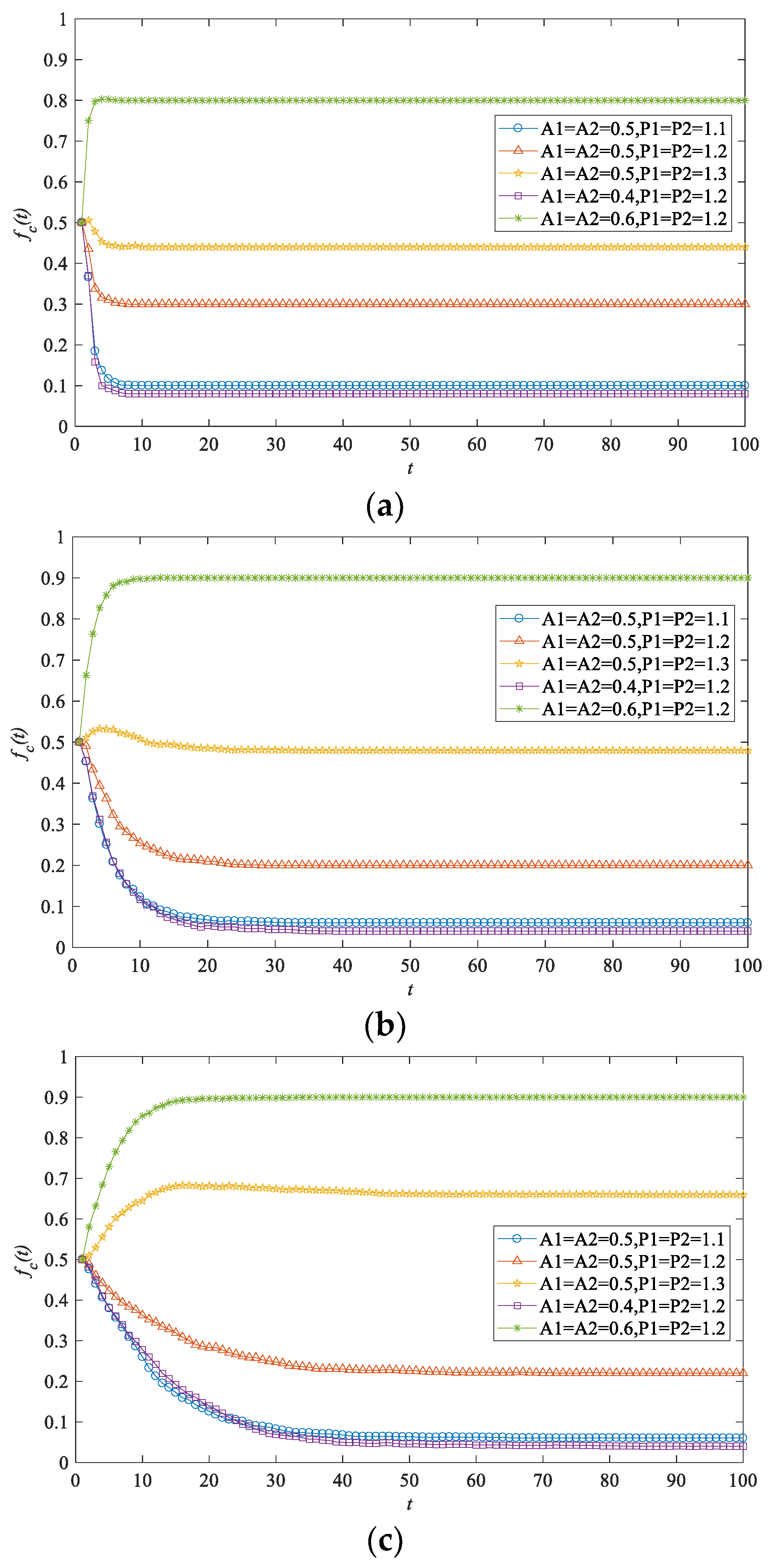
4.3.1. Influence of Information-Sharing Subjects on Network Evolution
4.3.2. Influence of Information-Sharing Resources on Network Evolution
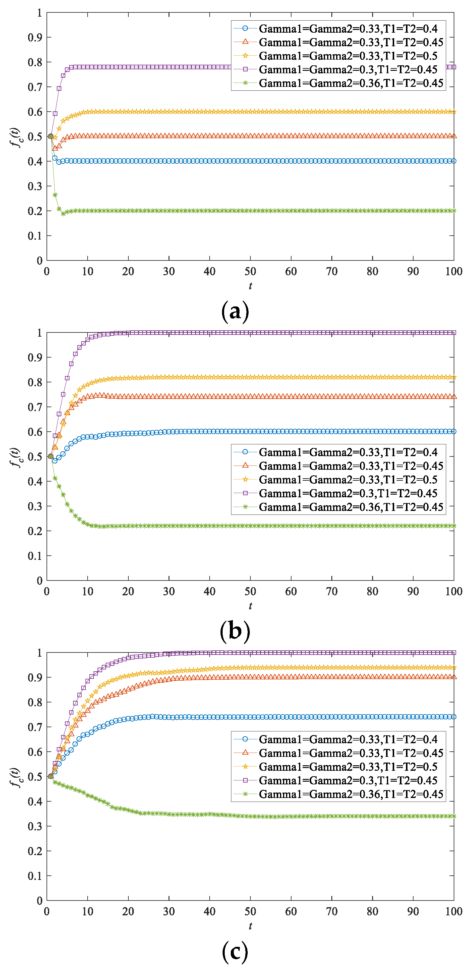
4.3.3. Influence of Information-Sharing Technologies on Network Evolution
4.3.4. Influence of Information-Sharing Environment on Network Evolution
5. Discussion
5.1. Strengthen the Support of the Policy Environment and Social Environment
5.2. Set up the Demonstration Benchmark of Leading Construction Enterprises
5.3. Creating a Directional Information Resource Base
5.4. Improve the Information Technology and Risk Management System
6. Conclusions
6.1. Implications
6.1.1. Managerial Implications
6.1.2. Academic Contributions
6.2. Limitations and Further Directions
Author Contributions
Funding
Institutional Review Board Statement
Informed Consent Statement
Data Availability Statement
Conflicts of Interest
References
- Anbumozhi, V.; Kimura, F.; Thangavelu, S.M. Global Supply Chain Resilience: Vulnerability and Shifting Risk Management Strategies. In Supply Chain Resilience: Reducing Vulnerability to Economic Shocks, Financial Crises, and Natural Disasters; Anbumozhi, V., Kimura, F., Thangavelu, S.M., Eds.; Springer: Singapore, 2020; pp. 3–14. [Google Scholar]
- Du, J.; Sugumaran, V.; Gao, B. RFID and Multi-Agent Based Architecture for Information Sharing in Prefabricated Component Supply Chain. IEEE Access 2017, 5, 4132–4139. [Google Scholar] [CrossRef]
- Zhao, J.; Ding, S.Z. Information Sharing in Construction Supply Chain. Key Eng. Mater. 2010, 426–427, 249–253. [Google Scholar] [CrossRef]
- Pathak, S.D.; Dilts, D.M.; Biswas, G. On the Evolutionary Dynamics of Supply Network Topologies. IEEE Trans. Eng. Manag. 2007, 54, 662–672. [Google Scholar] [CrossRef]
- Bier, T.; Lange, A.; Glock, C.H. Methods for mitigating disruptions in complex supply chain structures: A systematic literature review. Int. J. Prod. Res. 2020, 58, 1835–1856. [Google Scholar] [CrossRef]
- Gao, Y.; Feng, Z.; Zhang, S. Managing supply chain resilience in the era of VUCA. Front. Eng. Manag. 2021, 8, 465–470. [Google Scholar] [CrossRef]
- Qin, H. Building Information Modelling Implementation in Prefabricated Building Research Field and Barriers Analysis. In Proceedings of the International Conference on Smart Transportation and City Engineering, Chongqing, China, 26–28 October 2021. [Google Scholar]
- Xu, Z.; Abualdenien, J.; Liu, H.; Kang, R. An IDM-Based Approach for Information Requirement in Prefabricated Construction. Adv. Civ. Eng. 2020, 2020, 8946530. [Google Scholar] [CrossRef]
- Bakhtiarizadeh, E.; Shahzad, W.M.; Poshdar, M.; Khalfan, M.; Rotimi, J.O. Blockchain and Information Integration: Applications in New Zealand’s Prefabrication Supply Chain. Buildings 2021, 11, 608. [Google Scholar] [CrossRef]
- Wang, L.X.; Jiao, X.L.; Hao, Q. Modeling the Incentive Mechanism of Information Sharing in a Dual-Channel Supply Chain. Discret. Dyn. Nat. Soc. 2021, 2021, 2769353. [Google Scholar] [CrossRef]
- Li, J.; Yi, L.; Xiao, Y. Research on Information Sharing Mechanism of Emission Reduction in Supply Chain Based on Blockchain under Information Asymmetry. Chin. J. Manag. Sci. 2021, 29, 131–139. [Google Scholar]
- Wang, E.K.; Li, Y.; Ye, Y.; Yiu, S.M.; Hui, L.C.K. A Dynamic Trust Framework for Opportunistic Mobile Social Networks. IEEE Trans. Netw. Serv. Manag. 2018, 15, 319–329. [Google Scholar] [CrossRef]
- Thonemann, U.W. Improving supply-chain performance by sharing advance demand information. Eur. J. Oper. Res. 2002, 142, 81–107. [Google Scholar] [CrossRef]
- Zhao, N.; Miao, S.; Zhang, Y. A Novel Co-Evolution Model Based on Evolutionary Game about Social Network. Symmetry 2022, 14, 581. [Google Scholar] [CrossRef]
- Nandra, R.; Majumder, A.; Mishra, M. A multi-retailer sustainable supply chain model with information sharing and quality deterioration. Rairo-Oper. Res. 2021, 55, S2773–S2794. [Google Scholar] [CrossRef]
- Guo, B.; Luo, M. Allocation of control right between the participants of building information modeling–integrated project delivery project from the perspective of knowledge sharing. Int. J. Electr. Eng. Educ. 2020, 0020720920928536. [Google Scholar] [CrossRef]
- Tan, J.; Jiang, G.; Wang, Z. Evolutionary Game Model of Information Sharing Behavior in Supply Chain Network With Agent-Based Simulation. Int. J. Intell. Inf. Technol. 2019, 15, 54–68. [Google Scholar] [CrossRef]
- Wang, Z.; Hu, H.; Gong, J.; Ma, X.; Xiong, W. Precast supply chain management in off-site construction: A critical literature review. J. Clean. Prod. 2019, 232, 1204–1217. [Google Scholar] [CrossRef]
- O’Brien, W.J.; Fischer, M.A. Construction Supply-Chain Management: A Research Framework. Information Technology for Civil & Structural Engineers; Civil-Comp Press: Edinburgh, UK, 1993; pp. 61–64. [Google Scholar] [CrossRef]
- Du, Q.; Pang, Q.; Bao, T.; Guo, X.; Deng, Y. Critical factors influencing carbon emissions of prefabricated building supply chains in China. J. Clean. Prod. 2021, 280, 124398. [Google Scholar] [CrossRef]
- Sun, S.; Chen, Y.; Wang, A.; Liu, X. An Evaluation Model of Carbon Emission Reduction Effect of Prefabricated Buildings Based on Cloud Model from the Perspective of Construction Supply Chain. Buildings 2022, 12, 1534. [Google Scholar] [CrossRef]
- Xia, M.M.; Zhao, L.M.; Zhao, L. A Comprehensive Risk-Assessment Method for Prefabricated Buildings Using EPC: A Case Study from China. Sustainability 2022, 14, 1910. [Google Scholar] [CrossRef]
- Liu, Y.; Dong, J.; Shen, L. A Conceptual Development Framework for Prefabricated Construction Supply Chain Management: An Integrated Overview. Sustainability 2020, 12, 1878. [Google Scholar] [CrossRef]
- Kim, Y.-W.; Han, S.-H.; Yi, J.-S.; Chang, S. Supply chain cost model for prefabricated building material based on time-driven activity-based costing. Can. J. Civ. Eng. 2016, 43, 287–293. [Google Scholar] [CrossRef]
- Zarbakhshnia, N.; Soleimani, H.; Ghaderi, H. Sustainable third-party reverse logistics provider evaluation and selection using fuzzy SWARA and developed fuzzy COPRAS in the presence of risk criteria. Appl. Soft Comput. 2018, 65, 307–319. [Google Scholar] [CrossRef]
- Zhou, J.Y.; Ren, D.D. A hybrid model of external environmental benefits compensation to practitioners for the application of prefabricated construction. Environ. Impact Assess. Rev. 2020, 81, 106358. [Google Scholar] [CrossRef]
- Yuan, X.F.; Wang, C.Y. Research on the formation mechanism of information cocoon and individual differences among researchers based on information ecology theory. Front. Psychol. 2022, 13, 1055798. [Google Scholar] [CrossRef] [PubMed]
- Winter, M.; Dopler, S.; Müller, J.M.; Zeisler, A. Information sharing and multi-tier supply chain management of SMEs in the context of Industry 4.0. Procedia Comput. Sci. 2023, 217, 1378–1385. [Google Scholar] [CrossRef]
- Wuni, I.Y.; Shen, G.Q. Stakeholder management in prefabricated prefinished volumetric construction projects: Benchmarking the key result areas. Built Environ. Proj. Asset Manag. 2020, 10, 407–421. [Google Scholar] [CrossRef]
- Ha, A.Y.; Tong, S.L. Contracting and information sharing under supply chain competition. Manag. Sci. 2008, 54, 701–715. [Google Scholar] [CrossRef]
- Wang, M.X.; Wang, Y.X.; Mardani, A. Empirical analysis of the influencing factors of knowledge sharing in industrial technology innovation strategic alliances. J. Bus. Res. 2023, 157, 113635. [Google Scholar] [CrossRef]
- Zhang, M.; Liu, Y.; Ji, B. Influencing Factors of Resilience of PBSC Based on Empirical Analysis. Buildings 2021, 11, 467. [Google Scholar] [CrossRef]
- Gao, M.Q.; Guo, Y.C.; Hou, H.T.; Wang, P.Y.; Wang, S.B. Assembly process based on supply chain management of prefabricated houses using BIM. Proc. Inst. Civ. Eng.-Struct. Build. 2023. [Google Scholar] [CrossRef]
- Shashi; Centobelli, P.; Cerchione, R.; Ertz, M.; Oropallo, E. What we learn is what we earn from sustainable and circular construction. J. Clean. Prod. 2023, 382, 135183. [Google Scholar] [CrossRef]
- Kamali, M.; Hewage, K. Life cycle performance of modular buildings: A critical review. Renew. Sustain. Energy Rev. 2016, 62, 1171–1183. [Google Scholar] [CrossRef]
- Wong, W.-P.; Tan, K.H.; Chuah, S.H.-W.; Tseng, M.-L.; Wong, K.Y.; Ahmad, S. Information sharing and the bane of information leakage: A multigroup analysis of contract versus noncontract. J. Enterp. Inf. Manag. 2021, 34, 28–53. [Google Scholar] [CrossRef]
- Hao, C.C.; Du, Q.; Huang, Y.D.; Shao, L.; Yan, Y.Q. Evolutionary Game Analysis on Knowledge-Sharing Behavior in the Construction Supply Chain. Sustainability 2019, 11, 5319. [Google Scholar] [CrossRef]
- Kong, X.; Xu, Q.; Zhu, T. Dynamic Evolution of Knowledge Sharing Behavior among Enterprises in the Cluster Innovation Network Based on Evolutionary Game Theory. Sustainability 2020, 12, 75. [Google Scholar] [CrossRef]
- Chauhan, R.; Kumar, V.; Jana, T.K.; Majumder, A. A Modified Customization Strategy in a Dual-Channel Supply Chain Model with Price-Sensitive Stochastic Demand and Distribution-Free Approach. Math. Probl. Eng. 2021, 2021, 5549882. [Google Scholar] [CrossRef]
- Xu, J.Z.; Zhai, J.Q.; Li, F.E.; Lv, X.C. Research on Diffusion Mechanism of Green Innovation of Cloud Manufacturing Enterprises Based on BA Scale-Free Agglomeration Network Game. IEEE Access 2020, 8, 226907–226920. [Google Scholar] [CrossRef]
- Barabasi, A.L.; Albert, R. Emergence of scaling in random networks. Science 1999, 286, 509–512. [Google Scholar] [CrossRef]
- Qiu, T.; Liu, J.; Si, W.S.; Wu, D.O. Robustness Optimization Scheme With Multi-Population Co-Evolution for Scale-Free Wireless Sensor Networks. IEEE Acm Trans. Netw. 2019, 27, 1028–1042. [Google Scholar] [CrossRef]
- Broido, A.D.; Clauset, A. Scale-free networks are rare. Nat. Commun. 2019, 10, 1017. [Google Scholar] [CrossRef] [PubMed]
- Zhu, P.P.; Shen, J.; Xu, M. Study on the evolution of information sharing strategy for users of online patient community. Pers. Ubiquitous Comput. 2020, 27, 689–695. [Google Scholar] [CrossRef]
- Zhang, L.P.; Xue, L.; Zhou, Y. How do low-carbon policies promote green diffusion among alliance-based firms in China? An evolutionary-game model of complex networks. J. Clean. Prod. 2019, 210, 518–529. [Google Scholar] [CrossRef]
- Deng, S.; Zhou, D.; Wu, G.; Wang, L.; You, G. Evolutionary game analysis of three parties in logistics platforms and freight transportation companies’ behavioral strategies for horizontal collaboration considering vehicle capacity utilization. Complex Intell. Syst. 2023, 9, 1617–1637. [Google Scholar] [CrossRef]
- Cheng, H.L.; Li, J.; Lu, J.; Lo, S.L.; Xiang, Z.Y. Incentive-Driven Information Sharing in Leasing Based on a Consortium Blockchain and Evolutionary Game. J. Theor. Appl. Electron. Commer. Res. 2023, 18, 206–236. [Google Scholar] [CrossRef]
- Shi, P.Z.; Hao, Y.; Sun, C.L.; Zhang, L.J. Evolutionary game and simulation analysis on management synergy in China’s coal emergency coordination. Front. Environ. Sci. 2023, 11, 1062770. [Google Scholar] [CrossRef]
- Zhu, Q.; Zong, R.; Xu, M. Three-Party Stochastic Evolutionary Game Analysis of Supply Chain Finance Based on Blockchain Technology. Sustainability 2023, 15, 3084. [Google Scholar] [CrossRef]
- Shore, A.; Prena, K.; Cummings, J.J. To share or not to share: Extending Protection Motivation Theory to understand data sharing with the police. Comput. Hum. Behav. 2022, 130, 107188. [Google Scholar] [CrossRef]
- Jarvenpaa, S.L.; Staples, D.S. The use of collaborative electronic media for information sharing: An exploratory study of determinants. J. Strateg. Inf. Syst. 2000, 9, 129–154. [Google Scholar] [CrossRef]
- Berman, F.; Chien, A.; Cooper, K.; Dongarra, J.; Foster, I.; Gannon, D.; Johnsson, L.; Kennedy, K.; Kesselman, C.; Mellor-Crummey, J.; et al. The GrADS project: Software support for high-level grid application development. Int. J. High Perform. Comput. Appl. 2001, 15, 327–344. [Google Scholar] [CrossRef]
- Fan, K.; Wang, S.Y.; Ren, Y.H.; Li, H.; Yang, Y.T. MedBlock: Efficient and Secure Medical Data Sharing Via Blockchain. J. Med. Syst. 2018, 42, 136. [Google Scholar] [CrossRef]
- Vest, J.R.; Gamm, L.D. Health information exchange: Persistent challenges and new strategies. J. Am. Med. Inform. Assoc. 2010, 17, 288–294. [Google Scholar] [CrossRef] [PubMed]
- Seraj, M. We Create, We Connect, We Respect, Therefore We Are: Intellectual, Social, and Cultural Value in Online Communities. J. Interact. Mark. 2012, 26, 209–222. [Google Scholar] [CrossRef]
- Li, X.; Wang, C.; Alashwal, A.; Bora, S. Game analysis on prefabricated building evolution based on dynamic revenue risks in China. J. Clean. Prod. 2020, 267, 121730. [Google Scholar] [CrossRef]
- Wang, T.; Li, J.; Li, Y. Optimal information sharing strategy for retailer under competitive manufacturers-innovation investment. Control Decis. 2020, 35, 3006–3016. [Google Scholar]
- Wu, J.; Zong, Y.; Liu, X. Cooperative Advertising in Dual-Channel Supply Chain Under Asymmetric Demand Information. Int. J. Electron. Commer. 2023, 27, 100–128. [Google Scholar] [CrossRef]
- Shen, Y.; Xu, M.; Lin, Y.; Cui, C.; Shi, X.; Liu, Y. Safety Risk Management of Prefabricated Building Construction Based on Ontology Technology in the BIM Environment. Buildings 2022, 12, 765. [Google Scholar] [CrossRef]
- Hoffmann, R.; Kittel, B.; Larsen, M. Information exchange in laboratory markets: Competition, transfer costs, and the emergence of reputation. Exp. Econ. 2021, 24, 118–142. [Google Scholar] [CrossRef] [PubMed]
- Lee, D.; Lee, S.H.; Masoud, N.; Krishnan, M.S.; Li, V.C. Integrated digital twin and blockchain framework to support accountable information sharing in construction projects. Autom. Constr. 2021, 127, 103688. [Google Scholar] [CrossRef]
- Gruzauskas, V.; Burinskiene, A.; Krisciunas, A. Application of Information-Sharing for Resilient and Sustainable Food Delivery in Last-Mile Logistics. Mathematics 2023, 11, 303. [Google Scholar] [CrossRef]
- Wu, Y.; Wang, D.; Ma, F. A study on the competitive dissemination of disinformation and knowledge on social media. Aslib J. Inf. Manag. 2023. ahead-of-print. [Google Scholar] [CrossRef]
- Xie, Y.; Chang, S.; Yan, M.; Zhang, Z.; Wang, X. Environmental influences on cooperation in social dilemmas on networks. Phys. A Stat. Mech. Appl. 2018, 492, 2027–2033. [Google Scholar] [CrossRef]
- Wang, X.; Luo, C.; Ding, S.; Wang, J. Imitating Contributed Players Promotes Cooperation in the Prisoner’s Dilemma Game. IEEE Access 2018, 6, 53265–53271. [Google Scholar] [CrossRef]
- Xu, M.Y.; Ma, S.J.; Wang, G. Differential Game Model of Information Sharing among Supply Chain Finance Based on Blockchain Technology. Sustainability 2022, 14, 7139. [Google Scholar] [CrossRef]
- Zhao, D.; Ji, S.-f.; Wang, H.-p.; Jiang, L.-w. How do government subsidies promote new energy vehicle diffusion in the complex network context? A three-stage evolutionary game model. Energy 2021, 230, 120899. [Google Scholar] [CrossRef] [PubMed]
- Nozari, H.; Ghahremani-Nahr, J.; Szmelter-Jarosz, A. A multi-stage stochastic inventory management model for transport companies including several different transport modes. Int. J. Manag. Sci. Eng. Manag. 2023, 18, 134–144. [Google Scholar] [CrossRef]
- Tchouanguem Djuedja, J.F.; Abanda, F.H.; Kamsu-Foguem, B.; Pauwels, P.; Magniont, C.; Karray, M.H. An integrated Linked Building Data system: AEC industry case. Adv. Eng. Softw. 2021, 152, 102930. [Google Scholar] [CrossRef]












| Enterprise | |||
|---|---|---|---|
| IS | Information Non-Sharing | ||
| Enterprise | IS | = = | = = |
| Information Non-Sharing | = = | = 0 = 0 | |
| Dimensionality | Parameter | Parameter Values | ||||
|---|---|---|---|---|---|---|
| Information-sharing subjects | Information absorption capacity | 0.4 | 0.05 | 0.81 | - | × |
| 0.5 | 0.24 | 42 | ||||
| 0.6 | 0.87 | 20 | ||||
| Information conversion capacity | 1.1 | 0.07 | 0.45 | 42 | 2 | |
| 1.2 | 0.24 | 42 | ||||
| 1.3 | 0.53 | 44 | ||||
| Benefit distribution coefficient | 0.4 | 0.09 | 0.76 | - | × | |
| 0.5 | 0.62 | 31 | ||||
| 0.6 | 0.85 | 25 | ||||
| Collaborative coefficient | 0.6 | 0.49 | 0.18 | 32 | × | |
| 0.7 | 0.62 | 31 | ||||
| 0.8 | 0.67 | 29 | ||||
| Information-sharing resources | The total amount of information | 8 | 0.84 | −0.55 | 36 | × |
| 9 | 0.56 | 35 | ||||
| 10 | 0.29 | 41 | ||||
| Degree of IS | 0.4 | 0.99 | −0.98 | 23 | 17 | |
| 0.5 | 0.56 | 35 | ||||
| 0.6 | 0.01 | 40 | ||||
| Cost coefficient | 0.6 | 0.98 | −0.86 | 16 | 34 | |
| 0.7 | 0.75 | 34 | ||||
| 0.8 | 0.12 | 50 | ||||
| Spillover effect coefficient | 0.21 | 0.77 | −0.15 | 38 | × | |
| 0.42 | 0.75 | 34 | ||||
| 0.84 | 0.61 | 38 | ||||
| Information-sharing technologies | Information leakage risk coefficient | 0.3 | 0.93 | −0.67 | 27 | 6 |
| 0.33 | 0.71 | 30 | ||||
| 0.36 | 0.25 | 33 | ||||
| Degree of technology application | 0.4 | 0.58 | 0.21 | 40 | × | |
| 0.45 | 0.71 | 30 | ||||
| 0.5 | 0.79 | 33 | ||||
| Information-sharing environment | Reputation value coefficient | 0.4 | 0.09 | 0.89 | 46 | −14 |
| 0.45 | 0.80 | 44 | ||||
| 0.5 | 0.99 | 32 | ||||
| Penalty coefficient | 1 | 0.02 | 0.78 | 22 | 22 | |
| 2 | 0.80 | 0.81 | 44 |
| Dimensionality | Parameter | Number of Network Nodes | ||||
|---|---|---|---|---|---|---|
| Information-sharing subjects | Information absorption capacity | 50 | 0.39 | × | 8 | × |
| 200 | 0.38 | 26 | ||||
| 500 | 0.39 | × | ||||
| Information conversion capacity | 50 | 0.28 | × | 9 | 77 | |
| 200 | 0.25 | 32 | ||||
| 500 | 0.31 | 87 | ||||
| Benefit distribution coefficient | 50 | 0.33 | 0.36 | 9 | × | |
| 200 | 0.54 | 21 | ||||
| 500 | 0.69 | × | ||||
| Collaborative coefficient | 50 | 0.35 | 0.48 | 9 | 48 | |
| 200 | 0.65 | 26 | ||||
| 500 | 0.83 | 57 | ||||
| Information-sharing resources | The total amount of information | 50 | 0.53 | × | 8 | 64 |
| 200 | 0.59 | 33 | ||||
| 500 | 0.58 | 72 | ||||
| Degree of IS | 50 | 0.5 | 0.05 | 6 | 62 | |
| 200 | 0.52 | 24 | ||||
| 500 | 0.55 | 68 | ||||
| Cost coefficient | 50 | 0.5 | 0.21 | 7 | 52 | |
| 200 | 0.63 | 34 | ||||
| 500 | 0.71 | 59 | ||||
| Spillover effect coefficient | 50 | 0.53 | 0.35 | 9 | 54 | |
| 200 | 0.73 | 39 | ||||
| 500 | 0.87 | 63 | ||||
| Information-sharing technologies | Information leakage risk coefficient | 50 | 0.49 | 0.25 | 7 | 54 |
| 200 | 0.65 | 22 | ||||
| 500 | 0.75 | 61 | ||||
| Degree of technology application | 50 | 0.5 | 0.36 | 8 | 58 | |
| 200 | 0.72 | 28 | ||||
| 500 | 0.86 | 66 | ||||
| Information-sharing environment | Reputation value coefficient | 50 | 0.59 | 0.08 | 12 | 63 |
| 200 | 0.63 | 35 | ||||
| 500 | 0.67 | 75 | ||||
| Penalty coefficient | 50 | 0.27 | 0.2 | 27 | 35 | |
| 200 | 0.4 | 29 | ||||
| 500 | 0.47 | 62 |
Disclaimer/Publisher’s Note: The statements, opinions and data contained in all publications are solely those of the individual author(s) and contributor(s) and not of MDPI and/or the editor(s). MDPI and/or the editor(s) disclaim responsibility for any injury to people or property resulting from any ideas, methods, instructions or products referred to in the content. |
© 2023 by the authors. Licensee MDPI, Basel, Switzerland. This article is an open access article distributed under the terms and conditions of the Creative Commons Attribution (CC BY) license (https://creativecommons.org/licenses/by/4.0/).
Share and Cite
Zhang, R.; Li, L. Research on Evolutionary Game and Simulation of Information Sharing in Prefabricated Building Supply Chain. Sustainability 2023, 15, 9885. https://doi.org/10.3390/su15139885
Zhang R, Li L. Research on Evolutionary Game and Simulation of Information Sharing in Prefabricated Building Supply Chain. Sustainability. 2023; 15(13):9885. https://doi.org/10.3390/su15139885
Chicago/Turabian StyleZhang, Rumeng, and Lihong Li. 2023. "Research on Evolutionary Game and Simulation of Information Sharing in Prefabricated Building Supply Chain" Sustainability 15, no. 13: 9885. https://doi.org/10.3390/su15139885
APA StyleZhang, R., & Li, L. (2023). Research on Evolutionary Game and Simulation of Information Sharing in Prefabricated Building Supply Chain. Sustainability, 15(13), 9885. https://doi.org/10.3390/su15139885
