Abstract
The surfaces of hydraulic structures are vulnerable to damage and cracking, which can result in high-pressure reservoir water entering cracks and endangering the safety of the structures. Therefore, it is necessary to strengthen the anti-seepage treatment and protection on the surfaces of the structures. In this paper, we explore the tensile and high-water-pressure breakdown resistance properties of polyurea coating material. To do so, we independently designed and manufactured a high-water-pressure breakdown test device for coating. Our experimental results indicated that the thickness of the polyurea coating decreased with an increase in elongation. Furthermore, we found that the breakdown resistance of the polyurea coating was related to the coating thickness and the bottom free section width. We then fitted the stress–strain curve obtained from the experimental test using the Ogden constitutive model. Based on this, we numerically simulated the high-water-pressure breakdown performance of the polyurea coating using the finite element software ABAQUS 2022. We obtained the relationships among maximum displacement, free section width, and coating thickness under high water pressure. Our numerical findings indicated that the vertical displacement of the midpoint increased linearly with width in the case of the same coating thickness under water pressure load. Conversely, for the same free section width, the vertical displacement decreased with increasing coating thickness.
1. Introduction
Significant progress has been made in the anti-seepage technology of hydraulic structure surfaces with the advancement of construction and reinforcement technologies. The surfaces of hydraulic structures, such as power stations [1], concrete structures [2,3,4] and water conveyance structures [5], are relatively weakly zoned during operation periods, resulting in various secondary disasters caused by hydraulic fracturing and high-pressure reservoir water entering cracks, endangering the safety of hydraulic structures [6,7,8,9]. Therefore, it is extremely necessary to strengthen the anti-seepage treatment and protection.
As a modern building material, spray polyurea elastomer [10] is of particular interest due to its environmental protection, excellent protection performance, and advanced construction technology. It is widely utilized as a protective coating in various industrial applications [11]. Several studies [12,13] have conducted in-depth research on the mechanical and physical properties of polyurea materials. For instance, Wang et al. [14] studied the mechanical response of high-tensile polyurea elastomers at different strain rates through experiments, theoretical analysis, and numerical simulation. Additionally, Wang et al. [11] conducted a sequence of compression and tensile tests on spray polyurea, resulting in the acquisition of the uniaxial compression and tensile stress–strain curves. Furthermore, Mohotti et al. [15] developed a novel model based on the Mooney–Rivlin model by raising the strain rate and successfully validated it using dynamic compression experimental data of polyurea at high strain rates. Li et al. [16] studied the underwater resistance of polyurea-coated aluminum plates through experiments, monitoring the dynamic deformation process and analyzing the effects of peak shock wave, polyurea coating thickness, and application method on the dynamic deformation of the aluminum plate. Arunkumar and Ramachandran [17] carried out tensile tests on polyurea coatings to study the ultimate tensile strength and Young’s modulus. The authors inferred from the tensile results that a polyurea coating could withstand maximal loads and had a high degree of ductility. Overall, previous research shows that spray polyurea is a highly nonlinear and large deformation material with an elongation of more than 300%, making it very suitable for major construction projects.
In order to solve the anti-seepage problem caused by structural cracking, based on the experience of flexible anti-seepage system in practical engineering, polyurea spraying material is currently the most reliable material for protecting and anti-seepage of hydraulic structures [1,5,18,19]. Many studies have utilized polyurea materials to be laid on the structural surface to meet the needs of anti-seepage. For example, Feng et al. [20] have found that polyurea coatings can enhance the crack resistance and impermeability of hydraulic structures. Consequently, these coatings have been utilized in concrete repair and protection projects, such as those in the “South-to-North Water Diversion Project” and high arch dams [21]. Some hydropower stations, such as Xinjiang and Fengman, have also utilized the polyurea coating to construct the dams as well [22]. In the practical engineering of China, the most prominent application of Xiaowan arch dam requires that the anti-seepage material should be able to open 8 mm under the action of 300 m water head without water leakage for a long time [23]. Huang et al. [24] conducted research on the use of pure polyurea spraying technology for protecting concrete in water conservancy projects, concluding that this material could guarantee the safety and long-term functionality of hydraulic structures. The flexible anti-seepage system mainly works after the cracks during the operation periods. If the structure is damaged, it must still be able to withstand high water pressure without collapsing. In order to ensure the realization of the design purpose, the anti-seepage system should meet the following requirements. The anti-seepage system is effective, reliable, and durable. In addition, the high-water-pressure breakdown resistance of the anti-seepage system should be able to withstand the corresponding water pressure to prevent high-pressure water splitting and crack sealing. At the same time, the anti-seepage system should be easy to construct, and the construction technology should be simple and feasible. However, the conducted conclusions of a polyurea coating in anti-seepage are only based on a few simple tests and rough qualitative evaluations, which still lack systematically measured test data and comprehensive quantitative analysis in the experimental investigations.
In recent years, numerical simulation has become an important auxiliary method extensively employed to investigate the dynamic responses of spray polyurea coatings under complex loadings. In the literature of Chen et al. [25], the quasi-static and dynamic uniaxial tensile properties of spray polyurea are evaluated, and a nonlinear viscoelastic model is further proposed. The drop hammer impact test of a sprayed polyurea-strengthened steel plate was verified by finite element software ABAQUS. In their study, Chen et al. [26] examined the mechanical properties of two polyurea elastomers under uniaxial tensile conditions at different strain rates through experimental methods. Subsequently, they developed a dynamic visco-hyperelastic constitutive model to describe the tensile mechanical properties of polyurea elastomers at different strain rates. The constitutive model they developed is then incorporated into the finite element software LS-DYNA 17.2 to simulate the deformation and failure mode of polyurea elastomers under impact loads. This confirmed the accuracy of the proposed model in predicting the mechanical behavior of polyurea elastomers. However, the above literature only briefly overviews existing research on the use of polyurea elastomers as protective coatings, with a particular focus on mechanical behaviors and numerical response analyses. There is no focus on the anti-seepage research of polyurea coating at the hydraulic structure surface. The specific challenge faced by the application of polyurea coatings on hydraulic structures is that the water pressure is particularly high due to the large water column. It is essential to analyze the effectiveness of a polyurea coating in the anti-seepage of a hydraulic structure. Furthermore, it is noticeable that its application in the anti-seepage treatment of hydraulic structures is still in its infancy, and the key performance and construction laying methods (including coating thickness, width, and so on) lack reliable theoretical and numerical results support.
In view of the above problems and challenges, based on the existing large-scale polyurea coating breakdown thickness test device, we propose a portable coating breakdown test device through technical improvement. The feasibility and effectiveness of the device are verified by the water pressure breakdown test of polyurea anti-seepage coating. Finally, the breakdown test of polyurea coating is numerically simulated by the Ogden constitutive model in the finite element software ABAQUS. The resulting data are then compared to experimental results. This study aims to further explore the performance of a sprayed polyurea elastomer applied in the anti-seepage of hydraulic structures, which will provide a substantial foundation for practical engineering.
2. Resistant to High-Water-Pressure Breakdown Test
Experimental design is an important prerequisite for studying the effectiveness of spraying polyurea elastomer anti-seepage coatings. The material testing comprised an assessment of the mechanical and physical properties of various polyurea formulations to determine their viability as anti-seepage coatings. Spray polyurea construction was completed by a dedicated host and spray gun. With the help of the high pressure generated by the main engine, the raw materials were pushed into the mixing chamber of the spray gun for mixing, atomization, and ejection. At the same time, reaching the base layer, the coating almost gelled, and, after 5~10 s, the coating completely cured. In addition, the seam was filled with foam material during spraying to avoid changes in the thicknesses of the key parts caused by the polyurea material entering the seam. The gel time, surface dry time, hard drying time, one-time spraying molding thickness, and allowed thickness error were set to ≤45 s, ≥45 s; ≤10 min, ≥60 s; and ≤30 min, 2 mm, ±0.3 mm, respectively.
2.1. Improvement of Test Device
There are diffused cracks on the surfaces of hydraulic structures, and the impermeability of a polyurea coating on the hydraulic structures at the cracks can be verified by a simulation test. The impermeability test was completed by the hydraulic system to load the coating with graded water pressure. The schematic diagram of the water pressure device is shown in Figure 1, and the physical photo of device is shown in Figure 2. The whole device consisted of three parts:
Figure 1.
Principles drawings of test device.
Figure 2.
Physical photo of test device. (a) The whole device. (b) Adjustable distance test table. (c) Circular pressure chamber. (d) Pressure source.
(1) Adjustable distance test table. As shown in Figure 2b, two 50 mm × 30 mm steel plates are installed horizontally on the test bench. One is welded and fixed with the test bench, and the other is installed with a lead screw on one side. By rotating the lead screw, the distance between the two plates can be adjusted.
(2) Circular pressure chamber. As shown in Figure 2c, the inner diameter of the steel cylindrical pressure chamber is 320 mm, and the height is 10 mm. A plexiglass observation window is arranged at the top to facilitate observation and recording in the test. A quick joint is installed on one side of the pressure chamber to quickly access the external pressure source. During installation, the pressure chamber is fixed on the test bench by 14 ϕ 18 mm bolts, and water is injected through the top ball valve. In order to facilitate lifting, the top of the pressure chamber is provided with a lifting hook.
(3) Pressure source. As shown in Figure 2d, the high-precision three-triaxial hydraulic servo system is used as the pressure source, which can provide a pressure range of 0~4 MPa, automatically control continuous pressurization and provide a stable pressure, and manually corrects the back pressure.
The specimen is made of whole steel plate with a size of 400 mm × 400 mm and a thickness of 4 mm. A certain width of slit should be reserved in the middle according to the test requirements. The seam edge of the coating layer is polished smoothly, and the aliphatic polyurea is sprayed on it. During installation, the coating layer faces upward, and the pressure chamber is sealed through the silicone ring, fixed on the test table with 14 ϕ 18 mm bolts. The specimen resistant to the high-water-pressure breakdown test is shown in Figure 3.
Figure 3.
The specimen resistant to the high-water-pressure breakdown test (mm). (a) Specimen design drawing: the red circles are the 14 ϕ 18 mm bolts. (b) Spray polyurea specimen.
2.2. Water Pressure Sealing Test
Appropriate sealing is very important to ensure the accuracy and reliability of the test results. We considered this item in the experiment, and the model could apply water pressure greater than the design water depth on the water surface of the coating and the remaining parts, except the cracks that remained sealed under the set water pressure. After the test device was installed, the water injection was carried out for a 0~3 MPa water pressure sealing test. Each stage was loaded with 0.5 MPa and stabilized for 30 min. For the possible leakage around the pressure chamber, the contact surface between the pressure chamber and the test bed, the bottom of the test bed, around the quick joint, ball valve, and other parts, the use of visual inspection and a water absorption paper strip were combined to find the seepage point. The results showed that the device had good sealing performance and could carry out the following coating breakdown resistance test. In the process of 0~3 MPa pressure, no water seepage point was found by visual inspection and the water absorption paper strip around the instrument. Figure 4 is the back pressure curve in the process of pressure loading. Due to the presence of bubbles in water, the back pressure phenomenon would occur after loading to a certain water pressure. The back pressure of each stage was recorded to adjust and correct the back pressure of each loading to ensure the accuracy of the pressure stabilization.
Figure 4.
Back pressure curve.
2.3. The Loading Approach and Impermeability Test Results
The test was divided into five groups, which were sprayed according to the combination of different crack widths and polyurea coating thicknesses, as shown in Table 1. The age of the specimen was greater than 15 d.
Table 1.
Test programs and results for resistant to high-water-pressure property.
The following loading control scheme was given: initial loading was 0.5 MPa, steady pressure was 20 min. Subsequently, each stage was 0.1 MPa, and stable pressure was 10 min; over 2.0 MPa, 0.2 MPa per stage, and steady pressure for 10 min. Considering the head and hydrodynamic pressure, the maximum water pressure was greater than 3 MPa, and the pressure was stabilized for more than 2 h.
Before the test, a thin steel ruler was installed in the crack on the back surface to read the elevation of the coating. Water-soluble fluorescent test paper was pasted on the bottom of the coating, and absorbent paper was laid on the bottom of the test table. During the test, a digital camera was used to photograph the back surface of the coating and visually observe whether the coating was permeated. After the test, the morphological changes in polyurea coating at different time points were obtained by comparing and analyzing the images and observing the water-facing surface of the coating through the upper observation window. Considering the lack of indoor light, which was not conducive to photography and visual observation, auxiliary lighting torches were installed on the back of the crack coating.
Marked by continuous dripping on the back of the coating, the pressure was stopped, and the test is terminated. The indoor temperature and water temperature were 21 °C and 15 °C, respectively. The test site is shown in Figure 5.
Figure 5.
Resistant to high-water-pressure breakdown test. (a) Specimen with silicone seal ring. (b) device placement.
The test results are shown in Table 1. The tested water pressure values were all greater than 3 MPa, and the highest was 3.7 MPa. No permeation phenomenon was found in the polyurea coating of each scheme.
During the test, the appearances of groups ① and ② did not change when the pressure was greater than 3 MPa. When the pressure was increased to 1.9 MPa, the surface of the coating in group ③ caused a slight dent to appear, but the dent did not deepen significantly with the increase in water pressure, and the bottom of the coating convex was less than 1/2 mm after the pressure of 3 MPa. In group ④, the water pressure was 1.4 MPa when the indentation appeared, and there was no evident deepening thereafter. After the pressure of 3 MPa, the bulge at the bottom of the coating was less than 1/2 mm. In the test of group ⑤, the coating indentation appeared when the water pressure was loaded to 1.0 MPa. The indentation was significantly deepened at 1.4 MPa. When the pressure exceeded 3 MPa, the bulge at the bottom of the coating was less than 1 mm, and the indentation was still evident after unloading and disappeared after 2 d of observation.
The experimental phenomena are shown in Figure 6.
Figure 6.
Experimental phenomena (crack width 5 mm, polyurea coating thickness 4 mm). (a) The indentation of the coating surface observed by the observation window. (b) Indentation of coating after unloading.
According to the test results, spraying polyurea onto the surface of a cracked specimen caused the water surface of the coating to become concave and thin under the pressure of water. The ratio of coating thickness to crack width was used as the control quantity. When the thickness to width ratio was greater than 0.8, the polyurea coating could withstand the water pressure of 3 MPa without leakage. The polyurea had good anti-penetration performance. The thicknesses of 2 mm and 4 mm polyurea coatings could meet the impermeability requirements of 2 mm and 5 mm cracks under the action of 300 m head water pressure. As can be seen from Figure 6, under the action of water pressure, the coating would extend to the crack, but the phenomenon was not evident, and the largest convex coating of the coating was only about 1 mm. When the water pressure was greater than 3 MPa, there was no leakage or breakdown of the coating, indicating that the coating spraying thickness in the test design was too conservative.
3. Tensile Failure Performance and Test of Polyurea Coating
In this section, the tensile failure performances of the polyurea coatings are studied by simulating the breakdown resistances of the coatings under concrete cracking conditions, using a self-designed device for coating material breakdown testing, which lays the foundation for the numerical simulation in Section 4.
3.1. The Uniaxial Tensile Failure Test
The quasi-static tensile properties were tested according to Chinese standard “Test methods for building waterproofing coatings (GB/T16777-2008)” [27]. The specimen was cut by a dumbbell I cutter, and the specific size is shown in Figure 7.
Figure 7.
Geometry of tensile specimens (unit: mm).
The specimens were sprayed with a 2 mm thickness and left for 30 days. The tensile test was conducted using a Sansi UTM5000 microcomputer-controlled electronic universal testing machine which was purchased from Shenzhen Sansheng Technology Co., Ltd. in Shenzhen, China, with a tensile rate of 500 mm/min and an extensometer gauge of 20 mm (with a range of 10 mm) at an indoor temperature of (23 ± 2) °C.
Twenty specimens, labeled as 1–1 to 1–20, were subjected to tensile tests, and the field photos of uniaxial tensile test are shown in Figure 8. The recorded test data were load (N), displacement (mm), and extensometer deformation (mm), so as to obtain the stress–strain curve.
Figure 8.
Field photos of uniaxial tensile test. (a) Tensile specimen. (b) Install the extensometer. (c) Further displacement stretching beyond the extensometer deformation range. (d) The specimen after the test.
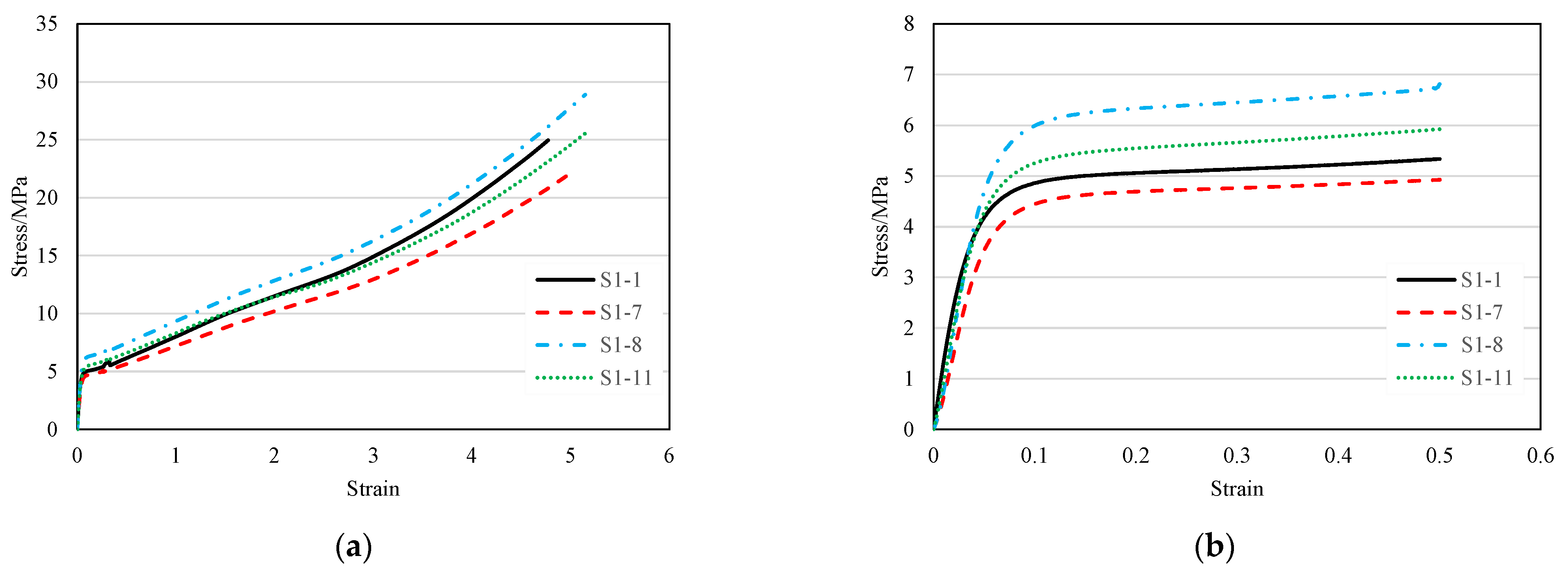
The resulting data were processed and used to generate curves for maximum tensile strength and elongation at break, illustrated in Figure 9a, whereas the remaining 16 sets of data fell within the envelope ranges of the four curves. Figure 9b is the magnification diagram of the Figure 9a curve in the strain range of 0~0.5.
Figure 9.
Tensile stress–strain curve and local magnification diagram. (a) Stress–strain curve. (b) Strain 0~0.5 local magnification diagram.
The results show that curves 1-1, 1-11 and 1-7, 1-8 corresponded to the two groups of maximum values of elongation at break and tensile strength, respectively. Furthermore, it was observed that the tensile strength of the material exceeded 22 MPa, and its elongation at break was greater than 450%. As shown in Figure 9b, the linear elastic region of material ranged from 0 to 0.1, with a corresponding elastic tensile strength of 4~6 MPa.
To explore the variation in thickness during stretching, 15 specimens were divided into three groups (A, B, and C) according to the different measurement points, as shown in Figure 7. In the middle part of the specimen, sections A, B, and C were taken as standard sections to read data. The thickness measurement point of group B was located at the midpoint of the stretching section, the measurement point of group A was 10 mm from the midpoint, and the measurement point of group C was 10 mm from the midpoint. Stretch was recorded at a specified elongation of 0~400%, the tensile rate was 500 mm/min, and the thickness of the measurement point was measured with a micrometer for every 50% increase in elongation. The average thickness curves and normalized curves of the three groups of specimens at different elongations are shown in Figure 10.
Figure 10.
Curves of polyuria coating (normalized) thickness with elongation. (a) Thickness vs. elongation. (b) Normalized thickness vs. elongation.
It was noticeable that the change in thickness of the tensile section of the specimen was almost consistent with the increase in elongation. The rate of thinning was first large and then small, and there was an inflection point between 100% and 150%. When the elongation was 100%, the thickness of the polyurea specimen was about 0.6 times of the initial thickness and about 0.5 times of the initial thickness at 300%.
3.2. Tensile Failure Test of Whole Polyurea Coating
The uniaxial tensile property test of polyurea material was not consistent with the actual multi-axial stress state; thus, the macroscopic characteristics of the material were different from the actual situation during tensile or failure, and the instantaneous fracture behavior was not good for observation and description. Therefore, it was necessary to conduct the whole tensile failure test of polyurea coating in order to obtain the macroscopic change characteristics of the material during the stretching and failure of the coating.
The test device was the test table in the resistant to high-water-pressure breakdown test device. As the two parallel plates of the test table could be adjusted telescopically, it could well simulate the cracking of cracks and accurately control the opening of cracks. The specimen was designed as a splicing type, consisting of two steel plates with a thickness of 4 mm and a size of 400 mm × 200 mm, with a 1 mm wide seam reserved between the plates, as shown in Figure 11. The steel plate was sprayed with polyurea coating with a thickness of 3 mm, and the age was 30 d. Additionally, the laboratory temperature was 21 °C.
Figure 11.
Experimental phenomena (crack width 5 mm, polyurea coating thickness 4 mm). (a) Specimen design drawing: the red circles are the 14 ϕ 18 mm bolts. (b) Spray polyurea specimen.
The coating was stretched by adjusting the seam width. The tensile test scheme was: the first stretch to 5 mm and stabilized for 10 min. After 5 mm, each stretch was 1 mm and stabilized for 10 min until the specimen was torn. The tensile rate was equal to or less than 0.1 mm/s. The description and results of the polyurea coating appearances for the tensile failure test are shown in Table 2.
Table 2.
Description of polyurea coating appearances for tensile failure test.
Post-test analysis revealed that the coating was well-bonded to the steel plate without any tearing. The results indicated that the tensile failure of the polyurea coating occurred as a gradual process. Once the coating had pinhole-like holes and developed perforations, its impermeability would be greatly reduced until fully lost. Therefore, the appearance of pinhole-like holes could be used as a sign of tensile failure of the coating. The elongation at perforation was about 500%, which was consistent with the result that the elongation at break was greater than 450%.
The tensile gradual failure of the whole polyurea coating is shown in Figure 12. After the test, the coating was well bonded to the steel plate without tearing. After tightening the splice plate for 24 h after the test, the polyurea coating did not fully recover, leaving evident residual deformation. The coating was cut along the crack, and there were no evident defects in the visual section.
Figure 12.
Tensile gradual failure of polyurea coating. (a) Holes appear on the surface. (b) Holes development. (c) Holes connected into a piece of tear. (d) Stretch to maximum crack width.
4. Numerical Simulation of Water Pressure Breakdown of Polyurea Coating
Based on determining the basic mechanical properties of polyurea, a suitable numerical method was used to simulate the breakdown resistance of the impermeable layer and was compared with the existing test results in Section 3. The numerical simulation and results of this section could provide reference for subsequent studies in practical engineering.
4.1. Selection of Numerical Model and Parameter Fitting
Developing a constitutive material model for finite element analysis has been the central focus of most related studies. Various hyperelastic models, such as the Neo-Hookean model [28], Mooney–Rivlin model [29,30], and Ogden model [31], based on strain energy functions, have been utilized in research to describe the constitutive behavior of polyurea materials. Both the Mooney–Rivlin model and the Neo-Hookean model have limitations when dealing with large deformations. These models are suitable for simple tests in small strain ranges and pre-studies of hyperelastic materials [32]. The Ogden strain energy density function was a simple model that has been proven to be suitable for use in engineering [33] and provides acceptable results under various strain rates [34]. The data fitting curves of the Ogden model for small deformation tensile, large deformation tensile, compression deformation, and pure shear values were in good agreement with the experimental data. Xia et al. [35] developed a second-order Ogden rubber model to characterize the hyperelastic behavior of polyurea. Subsequently, the constitutive models of polyurea and aluminum were combined to realize the numerical model of a polyurea-coated aluminum plate.
As the experimental data for elongation at break (maximum tensile strain) of the polyurea material in this study exceeded 450%, the Ogden model was employed to analyze the water breakdown resistance of the polyurea. The constitutive formula for the Ogden model, based on strain energy density, was as follows [36]:
where W represents the strain-energy density; λ1, λ2, and λ3 denote the principal stretches; and μi and αi are the material parameters that can be obtained by fitting experimental data.
The Cauchy stress in the loading direction can be expressed by the following equation.
where denotes the engineering stress. The water pressure ph represents the volume part that can be obtained by applying the boundary condition = = 0, related to the unconfined test, i.e., ph can be written as follows.
By substituting Equation (3) into Equation (2), the Cauchy stress in the loading direction can be obtained in the following form [36]:
where μi and αi are the Ogden model parameters that need to be fitted; and i represents the model order. We chose the four-order Ogden model.
To determine the parameters μi and αi, the experimental data in Section 3 were adopted. The characteristic points of the data of the uniaxial tensile test were selected, and the strain ranged from 0 to 4. The ranges of strain from 0 to 0.1 and 0.1 to 4 were taken with step sizes of 0.01 and 0.1, respectively. The average values of 20 feature point groups were taken, and then the Matlab R2020a software was used to fit by the least square optimization method. The obtained parameters of the four-order Ogden model are shown in Table 3. The fitting line is shown in Figure 13, and the correlation coefficient was 0.9997. The fitting results showed good consistency, and discrete points were evenly distributed around the fitting line.
Table 3.
Parameters of Ogden.
Figure 13.
Comparison between predicted results from Ogden model and experimental results.
4.2. Establishment of Finite Element Model
The primary loads on the polyurea coating were parallel to the cross-section of the coating and remained constant along the axial direction of the coating. Furthermore, the specimen model exhibited circumferential symmetry. Therefore, it could be simplified to be a plane strain problem. Based on the Ogden constitutive model in the ABAQUS finite element software and the four-node bilinear plane strain quadrilateral element CPE4RH, the simplified diagram model and finite element model of the water pressure breakdown resistance of the coating are shown in Figure 14. In this model, the vertical direction full constraint was applied to the bottom of the coating, except for the free area with the free section width of d, and the distributed water pressure of 0~3 MPa was exerted to the coating surface.
Figure 14.
The simplified model of high-water-pressure breakdown resistance for polyurea coating. (a) Diagram of model: the arrow is the water pressure, the pink represents polyurea coating, the blue represents the constraints. (b) The finite element model: the arrow is the water pressure, the green represents polyurea coating, the orange represents the constraints.
According to the test results, the working conditions with h = 4 mm and d = 5 mm had a certain margin against 3 MPa water pressure penetration breakdown. Considering that the single spraying thickness of polyurea coating was about 2 mm. Therefore, the calculation model of the coating design thickness h included 2 mm and 4 mm. The four available section design widths h for free selection were 5 mm, 6 mm, 8 mm, and 10 mm. The eight types of calculation conditions and model parameters are shown in Table 4. In addition, the water pressure of 0~3 MPa was loaded in 100 steps to ensure the convergence of calculation.
Table 4.
Calculation conditions and model parameters (unit: mm).
In terms of mesh element, as the polyurea elastomer material was a near-incompressible material, a hybrid unit was required. The deformation problem under high water pressure belonged to a large strain analysis, which involved the very large mesh distortion problem; thus, the CPE4RH element was used. The element used was a four-node bilinear plane strain quadrilateral element, which featured reduced integration and hourglass control for improved stability. The grid of the model was a 0.5 mm × 0.5 mm Lagrange grid, and it was refined to 0.25 mm × 0.25 mm in the free section and a 10 mm area on both sides to ensure the accurate reflection of the deformation. The Young’s modulus of elasticity for polyurea was 50 MPa, and its Poisson’s ratio was 0.4.
4.3. Analysis of Numerical Results
In this part, the Dynamic/Explicit model in ABAQUS was used to calculate the vertical displacement, stress, and strain. The maximum deformation would occur at the bottom vertex of the coating, i.e., the end point of the free section, and the displacement of this point was labeled as Umax. The relationship between Umax and N/Nmax (N represents the exerted water pressure, Nmax = 3 MPa) when h = 2 mm and d = 6 mm is shown in Figure 15. Under the eight working conditions, the vertical displacement of the midpoint of the free section Umax increased with the increase in N/Nmax, and the variation law was similar.
Figure 15.
Relationship between Umax and N/Nmax.
Figure 16 shows the deformation of the coating at the free section of the simulated crack under eight working conditions. As depicted in the figure, it was evident that the vertical displacement of the coating within the free section increased with the width of the free section at the same thickness, with the maximum vertical displacement occurring near the midline of the free section. Due to the coordinated deformation of the coating under the action of water pressure load, the area did not intersect with the bottom.
Figure 16.
The coating deformation of free section under 3 MPa water pressure (unit: mm). (a) h = 2 mm, d = 5 mm. (b) h = 2 mm, d = 6 mm. (c) h = 2 mm, d = 8 mm. (d) h = 2 mm, d = 10 mm. (e) h = 4 mm, d = 5 mm. (f) h = 4 mm, d = 6 mm. (g) h = 4 mm, d = 8 mm. (h) h = 4 mm, d = 10 mm.
The relationship between the simulated width d and the midpoint vertical displacement Umax under the same coating thickness is shown in Figure 17a. The results showed that the maximum vertical displacement at the midpoint was 5.25 mm when the thickness-width ratio (h/d, h = 2 mm, d = 10 mm) was the smallest, 0.2. When the maximum h/d (h = 4 mm, d = 5 mm) was 0.8, the minimum vertical displacement at the midpoint was 0.76 mm, which was basically consistent with the breakdown test results in Section 3. Under the same water load and coating thickness, the midpoint vertical displacement Umax and the width d had nearly the same linear relationship, and the linear slopes were 0.57 and 0.70, respectively. Figure 17b displays the correlation between coating thickness d and vertical displacement Umax under the same free section width. It was observed that the vertical displacement Umax at the midpoint of the coating decreased as the coating thickness increased under the same load and free section width d. The slopes of the fitting lines K decreased, which were 0.51, 0.68, 0.78, and 0.82, respectively. As the width d increased, the decreasing slope K also increased. The relationship trend line of K and d is shown in Figure 17c. The results showed that K and d had a nonlinear relationship. The rate increased first and then decrease, and the inflection point of the width was about 7 mm.
Figure 17.
Relationship between Umax and d, Umax and h, K and d. (a) Relationship between Umax and d. (b) Relationship between Umax and h. (c) Relationship between K and d.
The relationship between the vertical displacement at the midpoint of the free section Umax and the h/d value is shown in Figure 18a. It was evident that Umax decreased nonlinearly with the increase in h/d value. When the thickness was 2 mm, h/d = 0.4, the maximum displacement was 1.77 mm, whereas the maximum displacement was up to 3.61 mm when the thickness was 4 mm. The dynamic response was also different under the same h/d. Thus, the thickness/width ratio, as a controlling factor for the thickness of the sprayed polyurea coating on the crack surface, required further enhancement.
Figure 18.
Relationship between Umax and h/d. (a) Different coating thicknesses. (b) After translation.
After translating the curve of h = 4 mm in Figure 18a horizontally by 0.15 units, as can be seen in Figure 18b, the Umax-h/d curves of the different h values had very similar trends. It could be deduced that linear interpolation could be used to obtain the Umax-h/d curves of varying thicknesses.
The axial strain (LE11) is discussed, and the axial strain distribution nephograms of eight working conditions under the maximum water pressure of 3 MPa are shown in Figure 19a–h. From the distribution in the diagram, it can be seen that the highest axial strain value appeared at the top of the deformation, which was solely composed of tensile strains, except for the tips on either side of the free section. The maximum axial strains (LE11max) under eight working conditions are shown in Table 5. When h = 4 mm and d = 5 mm, the minimum value was 0.09, and the maximum value was 0.51 when h = 2 mm and d = 10 mm.
Figure 19.
Contours of axial strain under 3 MPa water pressure. (a) h = 2 mm, d = 5 mm. (b) h = 2 mm, d = 6 mm. (c) h = 2 mm, d = 8 mm. (d) h = 2 mm, d = 10 mm. (e) h = 4 mm, d = 5 mm. (f) h = 4 mm, d = 6 mm. (g) h = 4 mm, d = 8 mm. (h) h = 4 mm, d = 10 mm.
Table 5.
Maximum axial strain of polyurea coating in different working conditions under 3 MPa water pressure.
The axial stress distribution, as presented in Figure 20a–h, indicated that, aside from the concentrated stress located at the tips of either side of the free section, the highest axial stress value of the coating occurred at the outer region of the deformation, solely comprising tensile stress. The maximum axial stress (S11max) under eight working conditions is shown in Table 6. When h = 4 mm and d = 5 mm, the minimum axial stress was 1.54 MPa. When h = 2 mm and d = 10 mm, the maximum axial stress was 11.76 MPa, lower than the tensile strength of polyurea (the nominal maximum tensile stress) with 22 MPa.
Figure 20.
Contours of axial stress under 3 MPa water pressure (unit: MPa). (a) h = 2 mm, d = 5 mm. (b) h = 2 mm, d = 6 mm. (c) h = 2 mm, d = 8 mm. (d) h = 2 mm, d = 10 mm. (e) h = 4 mm, d = 5 mm. (f) h = 4 mm, d = 6 mm. (g) h = 4 mm, d = 8 mm. (h) h = 4 mm, d = 10 mm.
Table 6.
Maximum axial stress of polyurea coating in different working conditions under 3 MPa water pressure.
The maximum vertical strains (S22max) under eight working conditions are shown in Table 7. When h = 4 mm and d = 5 mm, the minimum value was 0.30 MPa. When h = 2 mm and d = 10 mm, the maximum value was 11.47 MPa, which was lower than the tensile strength of polyuria with 22 MPa.
Table 7.
Maximum vertical stress of polyurea coating in different working conditions under 3 MPa water pressure.
5. Conclusions
In order to thoroughly investigate the effectiveness of applying polyurea anti-seepage layers on hydraulic structures, several essential characteristics of the sprayed polyurea elastomer material were assessed through testing. This article presented the development and evaluation of a coating breakdown resistance test apparatus, along with the determination of constitutive model parameters via experimental analysis. Furthermore, a numerical simulation of water pressure breakdown of polyurea coating was performed using the ABAQUS finite element analysis software. The findings obtained from this research could be summarized as follows:
(1) An independent design and manufacturing of a high-water-pressure breakdown test device for coatings with high flexibility was carried out, enabling the rapid simulation of varying degrees of crack opening.
(2) Polyurea elastomer materials underwent tensile testing, providing crucial data such as stress–strain curves, tensile strength, elongation at break, and thickness–elongation relationships for polyurea. The test results indicated that an increase in elongation corresponded with a decrease in polyurea thickness, with a rapid rate of reduction observed initially and a gradual slowing down thereafter.
(3) Through numerical analysis, the vertical displacement of the midpoint Umax, free section width d, and coating thickness h were analyzed quantitatively. When h was constant, Umax was found to increase linearly with d. Under the same condition, where d was constant, Umax had been found to decrease with an increase in h. Furthermore, the decreasing slope K demonstrated a linear relationship with an increase in d.
In this paper, a new idea of a setting flexible anti-seepage system of hydraulic structures was proposed. The design scheme and experimental numerical results could lay a foundation for practical engineering. However, there were also some investigations to be further resolved. First, the constraint effect of the materials on both sides of the crack on the polyurea bulge was not considered. Second, the coating did not show damage beyond stress or strain under eight working conditions. Third, we would consider the entire protective layer more. Future research will be further investigated.
Author Contributions
All authors contributed equally to this paper. B.L. designed the study and established test device, J.L. carried out test and numerical calculations, and X.Y. analyzed the numerical results and wrote the manuscript. All authors have read and agreed to the published version of the manuscript.
Funding
This work was supported by the Special Scientific Research Project of the China Institute of Water Resources and Hydropower Research, China (Grant No. SS110145B0022021) and Research Project of Baoding Yi County Pumped Storage Co., Ltd. (SGXYYY00GCJS2100035).
Institutional Review Board Statement
Not applicable.
Informed Consent Statement
Not applicable.
Data Availability Statement
Data sharing not applicable.
Conflicts of Interest
The authors declare no conflict of interest.
References
- Hu, K.; Chen, J.; Wang, D. Shear stress analysis and crack prevention measures for a concrete-face rockfill dam, advanced construction of a first-stage face slab, and a first-stage face slab in advanced reservoir water storage. Adv. Civ. Eng. 2018, 2018, 2951962. [Google Scholar] [CrossRef]
- Cui, L.; Chen, X.; Wang, J.; Qiang, Y.; Chen, D.; Xiang, T. Facile preparation of monolithic superhydrophobic concrete with excellent anti-corrosion property. Mater. Lett. 2023, 344, 134441. [Google Scholar] [CrossRef]
- Xiang, T.; Zhang, Y.; Cui, L.; Wang, J.; Chen, D.; Zheng, S. Synergistic inhibition of benzotriazole and sodium D-gluconate on steel corrosion in simulated concrete pore solution. Colloids Surf. A Physicochem. Eng. Asp. 2023, 661, 130918. [Google Scholar] [CrossRef]
- Zhang, Y.; Qiang, Y.; Ren, H.; Cao, J.; Cui, L.; Zong, Z. Inhibitor loaded functional HNTs modified coatings towards corrosion protection in reinforced concrete environment. Prog. Org. Coat. 2022, 170, 106971. [Google Scholar] [CrossRef]
- Li, K.; Qian, F.; Li, M.; Heng, S. Research on Application of Single Component Polyurea in Defect Treatment of Expansion Joints of Water Conveyance Structure. In Proceedings of the 2020 4th International Conference on Water Conservancy, Hydropower and Building Engineering, Lanzhou, China, 3–5 July 2020; IOP Conference Series: Earth and Environmental Science. IOP Publishing: Philadelphia, PA, USA, 2020; p. 012029. [Google Scholar]
- Fang, H.; Zhang, H.; Xue, B.; Gao, J.; Li, Y.; Gao, X.; Tian, A. Coordination characteristics analysis of deformation between polymer anti-seepage wall and earth dam under traffic load. Water 2022, 14, 1442. [Google Scholar] [CrossRef]
- Alonso, E.E.; Sondon, M.; Alvarado, M. Landslides and hydraulic structures. Eng. Geol. 2021, 292, 106264. [Google Scholar] [CrossRef]
- Moharrami, A.; Moradi, G.; Bonab, M.H.; Katebi, J.; Moharrami, G. Performance of cutoff walls under hydraulic structures against uplift pressure and piping phenomenon. Geotech. Geol. Eng. 2015, 33, 95–103. [Google Scholar] [CrossRef]
- Kamble, R.; Muralidhar, B.; Hanumanthappa, M.; Patil, A.; Edlabadkar, J. Multiple approaches to analyse and control seepage in hydraulic structures. ISH J. Hydraul. Eng. 2014, 20, 7–13. [Google Scholar] [CrossRef]
- Saji, V.S.; Meroufel, A.A.; Sorour, A.A. Corrosion and Fouling Control in Desalination Industry; Springer: Cham, Switzerland, 2020. [Google Scholar]
- Wang, H.; Deng, X.; Wu, H.; Pi, A.; Li, J.; Huang, F. Investigating the dynamic mechanical behaviors of polyurea through experimentation and modeling. Def. Technol. 2019, 15, 875–884. [Google Scholar] [CrossRef]
- Iqbal, N.; Tripathi, M.; Parthasarathy, S.; Kumar, D.; Roy, P. Polyurea spray coatings: Tailoring material properties through chemical crosslinking. Prog. Org. Coat. 2018, 123, 201–208. [Google Scholar] [CrossRef]
- Zhang, L.; Wang, Y.; Wang, X.; Ji, C.; Gu, J.; Zhao, C. Investigation on the influence mechanism of polyurea material property on the blast resistance of polyurea-steel composite plate. Structures 2022, 44, 1910–1927. [Google Scholar] [CrossRef]
- Wang, X.; Ji, H.; Li, X.; Sun, S.; Zhang, Q.; Shim, V. Static and dynamic compressive and tensile response of highly stretchable polyurea. Int. J. Impact Eng. 2022, 166, 104250. [Google Scholar] [CrossRef]
- Mohotti, D.; Ali, M.; Ngo, T.; Lu, J.; Mendis, P. Strain rate dependent constitutive model for predicting the material behaviour of polyurea under high strain rate tensile loading. Mater. Des. 2014, 53, 830–837. [Google Scholar] [CrossRef]
- Li, Y.; Chen, Z.; Zhao, T.; Cao, X.; Jiang, Y.; Xiao, D.; Fang, D. An experimental study on dynamic response of polyurea coated metal plates under intense underwater impulsive loading. Int. J. Impact Eng. 2019, 133, 103361. [Google Scholar] [CrossRef]
- Arunkumar, T.; Ramachandran, S. Investigation of morphological and mechanical features of polyurea. Appl. Mech. Mater. 2015, 766–767, 606–611. [Google Scholar] [CrossRef]
- Lin, P.; Liu, H.; Li, Q.; Hu, H. Effects of outlets on cracking risk and integral stability of super-high arch dams. Sci. World J. 2014, 2014, 312827. [Google Scholar] [CrossRef]
- Wang, X.; Luo, S.-Z.; Liu, G.-S.; Zhang, L.-C.; Wang, Y. Abrasion test of flexible protective materials on hydraulic structures. Water Sci. Eng. 2014, 7, 106–116. [Google Scholar]
- Feng, J.; Liao, L.M.; Chen, L.; Xiao, C.J.; Wang, S.F.; Li, H. Research on the formula of polyaspartic ester polyurea concrete coating and its application. Appl. Mech. Mater. 2013, 423–426, 1159–1163. [Google Scholar] [CrossRef]
- Liu, X.; Liu, G.; Li, T. Study on application technique standard of spraying polyurea as anti-seepage layer for high arch dams. In Earth and Space 2012: Engineering, Science, Construction, and Operations in Challenging Environments; American Society of Civil Engineers: Reston, VA, USA, 2012; pp. 996–1002. [Google Scholar]
- Shojaei, B.; Najafi, M.; Yazdanbakhsh, A.; Abtahi, M.; Zhang, C. A review on the applications of polyurea in the construction industry. Polym. Adv. Technol. 2021, 32, 2797–2812. [Google Scholar] [CrossRef]
- Jia, J.; Li, X. Dam heel cracking problem in high arch dams and new measure for solution. Shuili Xuebao 2008, 39, 1183–1188. (In Chinese) [Google Scholar]
- Huang, W.B.; Xiang, J.Y.; Lv, P.; Li, X.M. Study on mechanical properties aging of spray pure polyurea for hydraulic concrete protection. Adv. Mater. Res. 2012, 374–377, 1325–1329. [Google Scholar] [CrossRef]
- Chen, D.; Wu, H.; Wei, J.; Xu, S.; Fang, Q. Nonlinear visco-hyperelastic tensile constitutive model of spray polyurea within wide strain-rate range. Int. J. Impact Eng. 2022, 163, 104184. [Google Scholar] [CrossRef]
- Chen, Y.; Guo, H.; Sun, M.; Lv, X. Tensile mechanical properties and dynamic constitutive model of polyurea elastomer under different strain rates. Polymers 2022, 14, 3579. [Google Scholar] [CrossRef] [PubMed]
- GB/T16777-2008; TEST Methods for Building Waterproofing Coatings. China Communication Press: Beijing, China, 2008. (In Chinese)
- Treloar, L. Stresses and birefringence in rubber subjected to general homogeneous strain. Proc. Phys. Soc. 1948, 60, 135. [Google Scholar] [CrossRef]
- Rivlin, R.S. Large elastic deformations of isotropic materials IV. Further developments of the general theory. Philos. Trans. R. Soc. Lond. Ser. A Math. Phys. Sci. 1948, 241, 379–397. [Google Scholar]
- Mooney, M. A theory of large elastic deformation. J. Appl. Phys. 1940, 11, 582–592. [Google Scholar] [CrossRef]
- Ogden, R.W. Large deformation isotropic elasticity—On the correlation of theory and experiment for incompressible rubberlike solids. Proc. R. Soc. Lond. A Math. Phys. Sci. 1972, 326, 565–584. [Google Scholar] [CrossRef]
- Kim, B.; Lee, S.B.; Lee, J.; Cho, S.; Park, H.; Yeom, S.; Park, S.H. A comparison among Neo-Hookean model, Mooney-Rivlin model, and Ogden model for chloroprene rubber. Int. J. Precis. Eng. Manuf. 2012, 13, 759–764. [Google Scholar] [CrossRef]
- Gamonpilas, C.; McCuiston, R. A non-linear viscoelastic material constitutive model for polyurea. Polymer 2012, 53, 3655–3658. [Google Scholar] [CrossRef]
- Jebur, Q.; Jweeg, M.J.; Al-Waily, M. Ogden model for characterising and simulation of PPHR Rubber under different strain rates. Aust. J. Mech. Eng. 2021, 21, 911–925. [Google Scholar] [CrossRef]
- Xia, Y.; Shi, Z.; Zhou, Q.; Ao, W. Numerical investigation on polyurea coated aluminum plate subjected to low velocity impact. Int. J. Impact Eng. 2023, 177, 104516. [Google Scholar] [CrossRef]
- Li, C.; Lua, J. A hyper-viscoelastic constitutive model for polyurea. Mater. Lett. 2009, 63, 877–880. [Google Scholar] [CrossRef]
Disclaimer/Publisher’s Note: The statements, opinions and data contained in all publications are solely those of the individual author(s) and contributor(s) and not of MDPI and/or the editor(s). MDPI and/or the editor(s) disclaim responsibility for any injury to people or property resulting from any ideas, methods, instructions or products referred to in the content. |
© 2023 by the authors. Licensee MDPI, Basel, Switzerland. This article is an open access article distributed under the terms and conditions of the Creative Commons Attribution (CC BY) license (https://creativecommons.org/licenses/by/4.0/).



















