Research on Safety Design Strategy of Evacuation Stairs in Deep Underground Station Based on Human Heart Rate and Ascending Evacuation Speed
Abstract
1. Introduction
2. Methods
2.1. Experimental Methods
2.2. Experimental Subjects
2.3. Experimental Setup
2.3.1. Selection of Experimental Sites
2.3.2. Experimental Equipment
2.4. Experimental Procedure
2.5. Data Collection
2.5.1. Ascending Evacuation Speed Calculation
2.5.2. HR Measurement
3. Results
3.1. HR in Relation to Evacuation Speed
3.2. Analysis of HR and Ascending Evacuation Speed at Different Heights
3.3. Mathematical between HR and Ascending Evacuation Speed
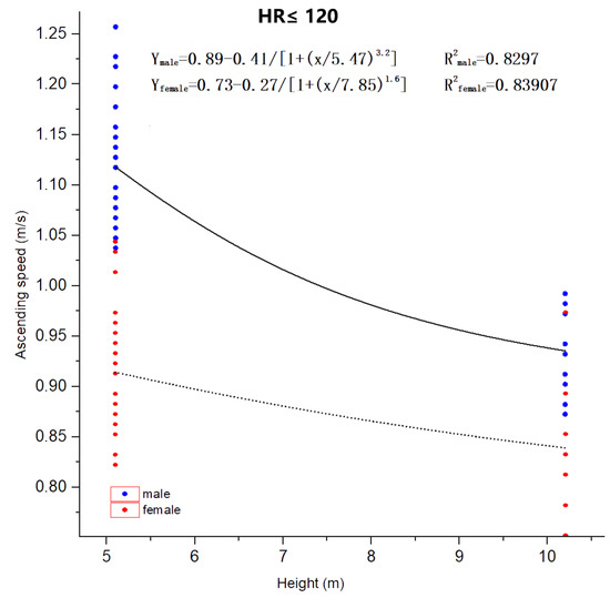
- when HR ≤ 120:Ymale = 0.89 − 0.41/[1 + (x/5.47)3.2] R2male = 0.8297when 120 < HR ≤ 140,Yfemale = 0.73 − 0.27/[1 + (x/7.85)1.6] R2female = 0.83907Ymale = 0.69 − 0.36/[1 + (x/19.41)3.03] R2male = 0.87447when 140 < HR ≤ 160,Yfemale = 0.72 − 0.3/[1 + (x/9.32)1.92] R2female = 0.91333Ymale= − 15.3 + 16.68/[1 + (x/2190.67)0.77] R2male = 0.93633when 160 < HR ≤ 180,Yfemale = 0.53 − 0.44/[1 + (x/20.94)3.5] R2female = 0.92236Ymale = 0.58 − 0.69/[1 + (x/25.64)4.06] R2male = 0.93461when HR > 180,Yfemale = 0.53 − 0.29/[1 + (x/31.24.96)4.15] R2female = 0.92586Ymale = 0.63 − 0.19/[1 + (x/40.53)10.61] R2male = 0.84344where R2male is the male variance, R2female is the female variance, x represents the upward evacuation height of the stairs (m), and y represents the upward heart rate (b/min).Yfemale = 0.59 − 0.07/[1 + (x/44.91)19.51] R2female = 0.85635
4. Discussion
4.1. Mathematical Relationship between HR and Ascending Evacuation Speed for Safe Evacuation Design of Stairs in Deep Underground Stations
4.2. Safety Design Strategy of Evacuation Stairs Rest Area
5. Conclusions
6. Limitations and Prospects
Author Contributions
Funding
Institutional Review Board Statement
Informed Consent Statement
Data Availability Statement
Acknowledgments
Conflicts of Interest
References
- Brussels, B. World Metro Figures 2018; The International Association of Public Transport: Bruxelles, Belgium, 2018. [Google Scholar]
- Marchant, E.W. Investigation into the King’s Cross Underground Fire. Fire Saf. J. 1988, 15, 107–109. [Google Scholar] [CrossRef]
- Okumura, T. The Tokyo Subway Sarin Attack: Disaster Management. Part II. Hospital Response. Acad. Emerg. Med. 2014, 5, 618–624. [Google Scholar] [CrossRef] [PubMed]
- The National Fire Protection Association NFPA130-2017 Standard for Fixed Guideway Transit and Passenger Rail Systems; The National Fire Protection Association: Batterymarch Park Quincy, MA, USA, 2017.
- Zeng, J.; Zhou, T.; Xie, R.; Yang, R. Pedestrians’selection Behavior between Stairways and Escalators in Subway Stations during Emergencies. Archit. Tech. 2022, 28, 111–113. [Google Scholar]
- Shi, R.J.; Ding, Y.; Bai, Y.; Xu, Q.; Li, M.G. Modeling and Analysis of Pedestrian Choice between Stairway and Escalator in Urban Rail Transit Station. J. Transp. Syst. Eng. Inf. Technol. 2015, 15, 185–190. [Google Scholar]
- Zeng, Y.; Song, W.; Jin, S.; Ye, R.; Liu, X. Experimental Study on Walking Preference during High-Rise Stair Evacuation under Different Ground Illuminations. Phys. A Stat. Mech. Its Appl. 2017, 479, 26–37. [Google Scholar] [CrossRef]
- Fang, T.; Yu, J.; Wang, J. Study of Staircase Design Effects on Evacuation in Architectural Plane Design. J. Appl. Fire Sci. 2012, 22, 69–80. [Google Scholar] [CrossRef]
- Roys, M.S. Serious Stair Injuries Can Be Prevented by Improved Stair Design. Appl. Ergon. 2001, 32, 135–139. [Google Scholar] [CrossRef]
- Japanese, N.R. Detailed Explanation of Subway Fire Prevention Regulations; China Architecture & Building Press: Beijing, China, 2009. [Google Scholar]
- Henderson, L.F. On the Fluid Mechanics of Human Crowd Motion. Transp. Res. 1974, 8, 509–515. [Google Scholar] [CrossRef]
- Boyce, K.E.; Purser, D.A.; Shields, T.J. Experimental Studies to Investigate Merging Behaviour in a Staircase. Fire Mater. 2012, 36, 383–398. [Google Scholar] [CrossRef]
- Pauls, J.L.; Fruin, J.J.; Zupan, J.M. Minimum Stair Width for Evacuation, Overtaking Movement and Counterflow—Technical Bases and Suggestions for the Past, Present and Future; Springer: Berlin/Heidelberg, Germany, 2007. [Google Scholar]
- Templer, J. The Staircase. Studies of Hazards, Falls, and Safer Design; MIT Press: Cambridge, MA, USA, 1992. [Google Scholar]
- Yang, L.; Rao, P.; Zhu, K.; Liu, S.; Zhan, X. Observation Study of Pedestrian Flow on Staircases with Different Dimensions under Normal and Emergency Conditions. Saf. Sci. 2012, 50, 1173–1179. [Google Scholar] [CrossRef]
- Blaich, P.W. The Benefits of Behavioral Research to The Fire Service; iUniverse: Bloomington, IN, USA, 2008. [Google Scholar]
- Zypman, F.R. Density of States on a Staircase. Am. J. Phys. 2001, 69, 1156–1159. [Google Scholar] [CrossRef]
- Chen, J.; Hao, Y.; Wang, J.; Wang, P.; Liu, X.; Lin, P. An Experimental Study of Ascent and Descent Movement of People on Long Stair with High Occupant Density. Fire Technol. 2018, 54, 1683–1704. [Google Scholar] [CrossRef]
- Fujiyama, T.; Tyler, N. An Explicit Study on Walking Speeds of Pedestrians on Stairs. In Proceedings of the International Conference on Mobility & Transport for Elderly & Disabled People, Hamamatu, Japan, 23–26 May 2004; pp. 148–158. [Google Scholar]
- Wei, C. Study on Up-Going Evacuation Efficiency of Slope of Stair in Underground Space; Chongqing University: Chongqing, China, 2020. [Google Scholar]
- Wang, Y. Research on the Influence of Staircase Handrail on the Safety and Efficiency of Ascending Evacuation of Underground Space; Chongqing University: Chongqing, China, 2020. [Google Scholar]
- Norén, J.; Delin, M.; Fridolf, K. Ascending Stair Evacuation: What Do We Know? Transp. Res. Procedia 2014, 2, 774–782. [Google Scholar] [CrossRef]
- Choi, J.H.; Galea, E.R.; Hong, W.H. Individual Stair Ascent and Descent Walk Speeds Measured in a Korean High-Rise Building. Fire Technol. 2014, 50, 267–295. [Google Scholar] [CrossRef]
- Lam, J.; Yuen, J.; Lee, E.; Lee, R. Experimental Study on Upward Movement in a High-Rise Building. Saf. Sci. 2014, 70, 397–405. [Google Scholar] [CrossRef]
- Wang, L. A Decay Model for the Fundamental Diagram of Pedestrian Movement. Phys. A Stat. Mech. Its Appl. 2019, 531, 121739. [Google Scholar] [CrossRef]
- Kretz, T.; Grünebohm, A.; Kessel, A.; Klüpfel, H.; Meyer-K?Nig, T.; Schreckenberg, M. Upstairs Walking Speed Distributions on a Long Stairway. Saf. Sci. 2008, 46, 72–78. [Google Scholar] [CrossRef]
- Li, J.; Qi, Z.; Li, Y.; Chow, W.-K.; Xie, F.; Dong, Q. Field Measurements of Free Ascending Behavior of Occupants along Medium-Long Stairway. Appl. Sci. 2022, 12, 10038. [Google Scholar] [CrossRef]
- Halder, A. Evaluation of Physical Work Capacity and Leg Muscle Fatigue during Exhaustive Stair Ascending Evacuation; Lund University: Lund, Sweden, 2017. [Google Scholar]
- Halder, A.; Kuklane, K.; Gao, C.; Miller, M.; Delin, M.; Norén, J.; Fridolf, K. Limitations of Oxygen Uptake and Leg Muscle Activity during Ascending Evacuation in Stairways. Appl. Ergon. 2018, 66, 52–63. [Google Scholar] [CrossRef]
- Ronchi, E.; Norén, J.; Delin, M.; Kuklane, K.; Fridolf, K. Ascending Evacuation in Long Stairways: Physical Exertion, Walking Speed and Behaviour; Lund University: Lund, Sweden, 2015. [Google Scholar]
- Velasco, A. The Effect of Fatigue during Deep Metro Evacuations and Its Implications on Evacuation Modelling Tools; Lund University: Lund, Sweden, 2017. [Google Scholar]
- Chen, J.; Wang, J.; Wang, J.; Liu, X.; Li, T.; Lin, P. An Experimental Study of Individual Ascent Speed on Long Stair. Fire Technol. 2017, 53, 283–300. [Google Scholar] [CrossRef]
- Zhu, K.; Wang, B.; Wang, J.; Guo, N.; Mei, P. Assessing Individual Evacuation Performance Moving on Long Stairs in a Subway Station: A Field Experiment. Fire Technol. 2021, 57, 2159–2179. [Google Scholar] [CrossRef]
- Chen, J.; Liu, R.; Wang, J.; Chen, Y. Experimental Influence of Pedestrian Load on Individual and Group Evacuation Speed in Staircases. Fire Technol. 2017, 53, 1745–1763. [Google Scholar] [CrossRef]
- Delin, M.; Noren, J.; Ronchi, E.; Kuklane, K.; Halder, A.; Fridolf, K. Ascending Stair Evacuation: Walking Speed as a Function of Height. Fire Mater. 2017, 41, 514–534. [Google Scholar] [CrossRef]









| Gender | Number of People | Average Age | Average Height (cm) | Average Weight (kg) |
|---|---|---|---|---|
| Female | 27 | 23.15 | 1.63 | 53.48 |
| Male | 27 | 23.52 | 1.74 | 71.96 |
| Total | 54 | 23.33 | 1.69 | 62.72 |
| No. | Stairs Width (Clear Width, mm) | Number of Steps | Tread Depth (mm) | Flight Length (m) | Step Height (mm) | Flight Height (m) | Total Rise Height (Along the Stair Height, m) |
|---|---|---|---|---|---|---|---|
| T1 | 1500 | 17 | 300.00 | 4.80 | 150.00 | 2.55 | 2.55 |
| T2 | 1500 | 17 | 300.00 | 4.80 | 150.00 | 2.55 | 5.10 |
| T3 | 1500 | 17 | 300.00 | 4.80 | 150.00 | 2.55 | 7.65 |
| T4 | 1500 | 17 | 300.00 | 4.80 | 150.00 | 2.55 | 10.20 |
| T5 | 1500 | 17 | 300.00 | 4.80 | 150.00 | 2.55 | 12.75 |
| T6 | 1500 | 17 | 300.00 | 4.80 | 150.00 | 2.55 | 15.30 |
| T7 | 1500 | 11 | 300.00 | 3.00 | 145.45 | 1.60 | 16.90 |
| T8 | 1500 | 17 | 300.00 | 4.80 | 150.00 | 2.55 | 19.45 |
| T9 | 1500 | 17 | 300.00 | 4.80 | 150.00 | 2.55 | 22.00 |
| T10 | 1500 | 17 | 300.00 | 4.80 | 150.00 | 2.55 | 24.55 |
| T11 | 1500 | 17 | 300.00 | 4.80 | 150.00 | 2.55 | 27.10 |
| T12 | 1500 | 17 | 300.00 | 4.80 | 150.00 | 2.55 | 29.65 |
| T13 | 1500 | 17 | 300.00 | 4.80 | 150.00 | 2.55 | 32.20 |
| T14 | 1500 | 15 | 300.00 | 4.20 | 150.00 | 2.25 | 34.45 |
| T15 | 1500 | 15 | 300.00 | 4.20 | 150.00 | 2.25 | 36.70 |
| T16 | 1900 | 17 | 300.00 | 4.80 | 150.00 | 2.55 | 39.25 |
| T17 | 1900 | 17 | 300.00 | 4.80 | 150.00 | 2.55 | 41.80 |
| T18 | 1900 | 17 | 300.00 | 4.80 | 150.00 | 2.55 | 44.35 |
| T19 | 1900 | 17 | 300.00 | 4.80 | 150.00 | 2.55 | 46.90 |
| T20 | 1900 | 17 | 300.00 | 4.80 | 150.00 | 2.55 | 49.45 |
| T21 | 1900 | 17 | 300.00 | 4.80 | 150.00 | 2.55 | 52.00 |
| T22 | 1900 | 18 | 300.00 | 5.10 | 144.44 | 2.60 | 54.60 |
| H1 | H2 | H3 | H4 | H5 | H6 | H7 | H8 | H9 | H10 |
|---|---|---|---|---|---|---|---|---|---|
| 5.10 | 10.20 | 16.90 | 22.00 | 27.10 | 32.20 | 36.70 | 41.80 | 46.90 | 54.60 |
| Total (N = 54) | Correlation | Male (N = 27) | Correlation | Female (N = 27) | Correlation | |
|---|---|---|---|---|---|---|
| Age, years | 23.33 (1.59) | −0.200 | 23.52 (1.52) | −0.498 ** | 23.15 (1.63) | 0.392 * |
| Height, m | 1.69 (0.06) | 0.591 ** | 1.74 (0.03) | −0.214 | 1.63 (0.02) | −0.320 |
| Weight, kg | 62.72 (9.97) | 0.654 ** | 71.96 (4.32) | −0.050 | 53.48 (3.06) | −0.270 |
| Resting HR, b/min | 76.39 (7.17) | −0.404 ** | 71.81 (5.61) | 0.086 | 80.96 (5.42) | 0.185 |
| Average HR, b/min | 150.36 (6.24) | 0.042 ** | 145.99 (5.27) | 0.792 ** | 151.48 (5.52) | 0.536 ** |
| Maximum HR, b/min | 180.00 (4.95) | 0.377 ** | 180.00 (5.86) | 0.678 ** | 180.00 (3.83) | 0.509 ** |
| Ascending speed, m/s | 0.76 (0.07) | 0.042 ** | 0.82 (0.04) | 0.792 ** | 0.71 (0.05) | 0.536 ** |
| Evacuation time, s | 182.69 (16.09) | −0.955 ** | 170.19 (7.08) | −0.725 ** | 195.19 (12.45) | −0.506 ** |
| Hi (m) | Male | Female | ||||
|---|---|---|---|---|---|---|
| Mean Ascending Speed (SD) | HR (SD) | Correlation | Mean Ascending Speed (SD) | HR (SD) | Correlation | |
| 54.6 | 0.63 (0.04) | 180.00 (5.86) | 0.374 | 0.57 (0.04) | 180.00 (3.83) | 0.559 ** |
| 46.9 | 0.65 (0.04) | 178.00 (5.45) | 0.492 ** | 0.59 (0.04) | 178.00 (4.85) | 0.508 ** |
| 41.8 | 0.67 (0.04) | 174.00 (4.97) | 0.645 ** | 0.61 (0.05) | 176.00 (5.45) | 0.628 ** |
| 36.7 | 0.72 (0.03) | 170.00 (6.03) | 0.604 ** | 0.63 (0.05) | 173.93 (5.51) | 0.591 ** |
| 32.2 | 0.76 (0.04) | 161.92 (7.73) | 0.575 ** | 0.66 (0.06) | 169.11 (6.19) | 0.525 ** |
| 27.1 | 0.85 (0.05) | 155.00 (6.36) | 0.517 ** | 0.71 (0.06) | 164.67 (6.63) | 0.506 ** |
| 22.0 | 0.88 (0.06) | 145.69 (6.11) | 0.618 ** | 0.74 (0.06) | 156.38 (7.38) | 0.473 * |
| 16.9 | 0.93 (0.06) | 134.00 (6.98) | 0.677 ** | 0.82 (0.06) | 143.00 (5.48) | 0.412 * |
| 10.2 | 0.97 (0.06) | 120.38 (7.61) | 0.663 ** | 0.87 (0.07) | 128.00 (9.28) | 0.475 * |
| 5.1 | 1.12 (0.06) | 105.00 (7.29) | 0.447 * | 0.92 (0.07) | 109.00 (6.84) | 0.383 * |
Disclaimer/Publisher’s Note: The statements, opinions and data contained in all publications are solely those of the individual author(s) and contributor(s) and not of MDPI and/or the editor(s). MDPI and/or the editor(s) disclaim responsibility for any injury to people or property resulting from any ideas, methods, instructions or products referred to in the content. |
© 2023 by the authors. Licensee MDPI, Basel, Switzerland. This article is an open access article distributed under the terms and conditions of the Creative Commons Attribution (CC BY) license (https://creativecommons.org/licenses/by/4.0/).
Share and Cite
Pan, G.; Peng, M.; Zhou, T.; Wan, Z.; Liang, Z. Research on Safety Design Strategy of Evacuation Stairs in Deep Underground Station Based on Human Heart Rate and Ascending Evacuation Speed. Sustainability 2023, 15, 10670. https://doi.org/10.3390/su151310670
Pan G, Peng M, Zhou T, Wan Z, Liang Z. Research on Safety Design Strategy of Evacuation Stairs in Deep Underground Station Based on Human Heart Rate and Ascending Evacuation Speed. Sustainability. 2023; 15(13):10670. https://doi.org/10.3390/su151310670
Chicago/Turabian StylePan, Gao, Mingxi Peng, Tiejun Zhou, Zhanzhi Wan, and Zheng Liang. 2023. "Research on Safety Design Strategy of Evacuation Stairs in Deep Underground Station Based on Human Heart Rate and Ascending Evacuation Speed" Sustainability 15, no. 13: 10670. https://doi.org/10.3390/su151310670
APA StylePan, G., Peng, M., Zhou, T., Wan, Z., & Liang, Z. (2023). Research on Safety Design Strategy of Evacuation Stairs in Deep Underground Station Based on Human Heart Rate and Ascending Evacuation Speed. Sustainability, 15(13), 10670. https://doi.org/10.3390/su151310670
