Investigation on Rheological Properties and Microscopic Mechanisms of Sasobit/Buton Rock Asphalt Modified Asphalt
Abstract
1. Introduction
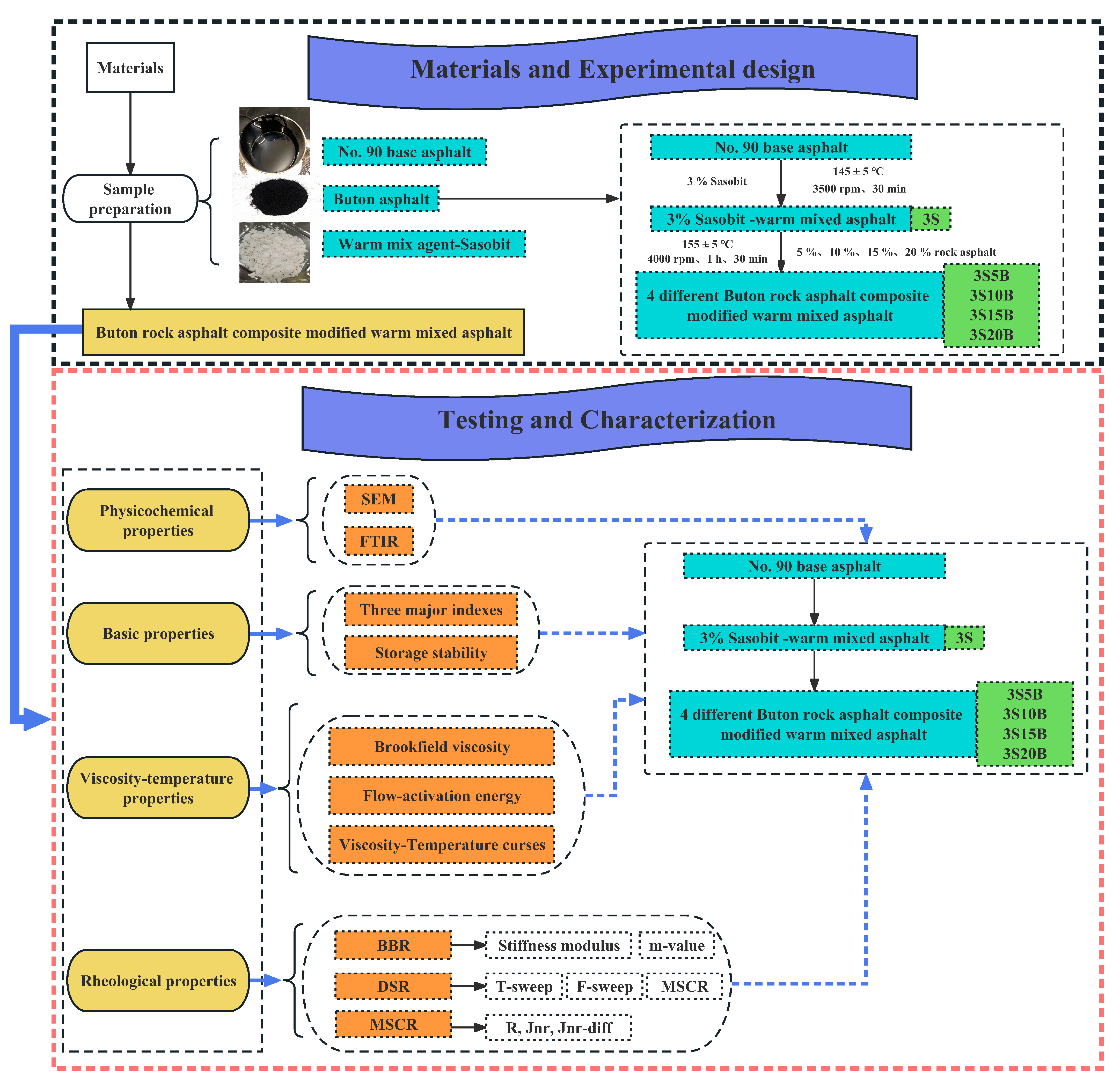
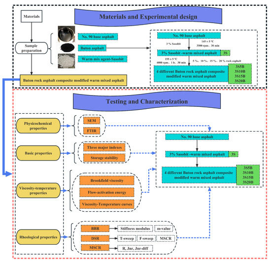
2. Materials and Methods
2.1. Materials
2.2. Preparation of BCMWMA
2.3. Methods
2.3.1. Fourier Transform Infrared Spectroscopy
2.3.2. Scanning Electron Microscope
2.3.3. Conventional Properties Test
2.3.4. Rotational Viscosity Test
2.3.5. Storage Stability Test
2.3.6. Rheological Performance Test
2.3.7. Multi-Stress Creep Recovery (MSCR) Test
2.3.8. Bending Beam Rheometer (BBR) Test
3. Results and Discussions
3.1. Physicochemical Properties of BCMWMA
3.2. Basic Properties of BCMWMA
3.3. Viscosity-Temperature Properties of BCMWMA
3.3.1. Brookfield Viscosity
3.3.2. Flow Activation Energy
3.3.3. Effect of Warm Mixing
3.4. Rheology Properties of BCMWMA
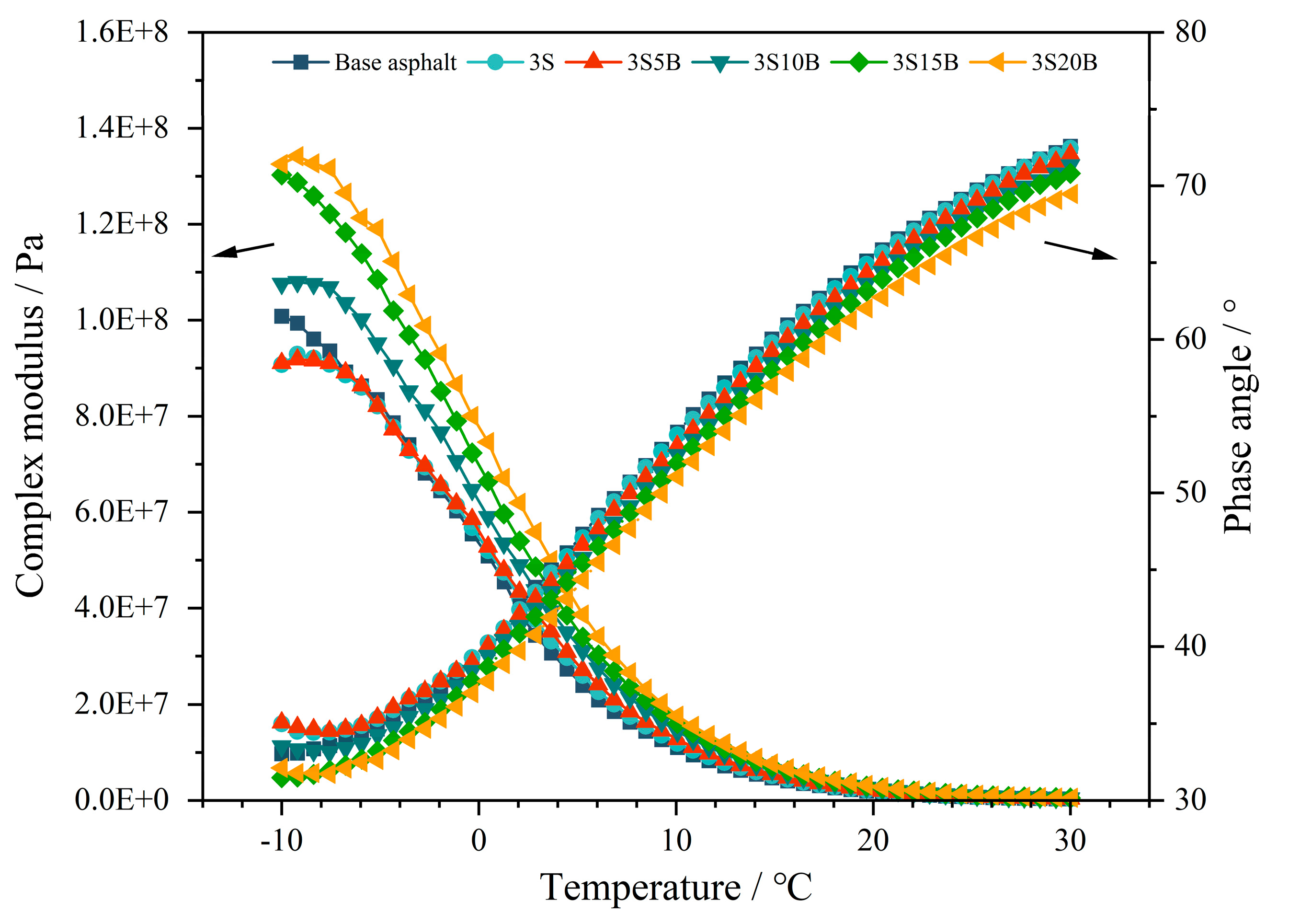
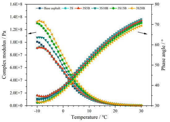
BBR Test Results
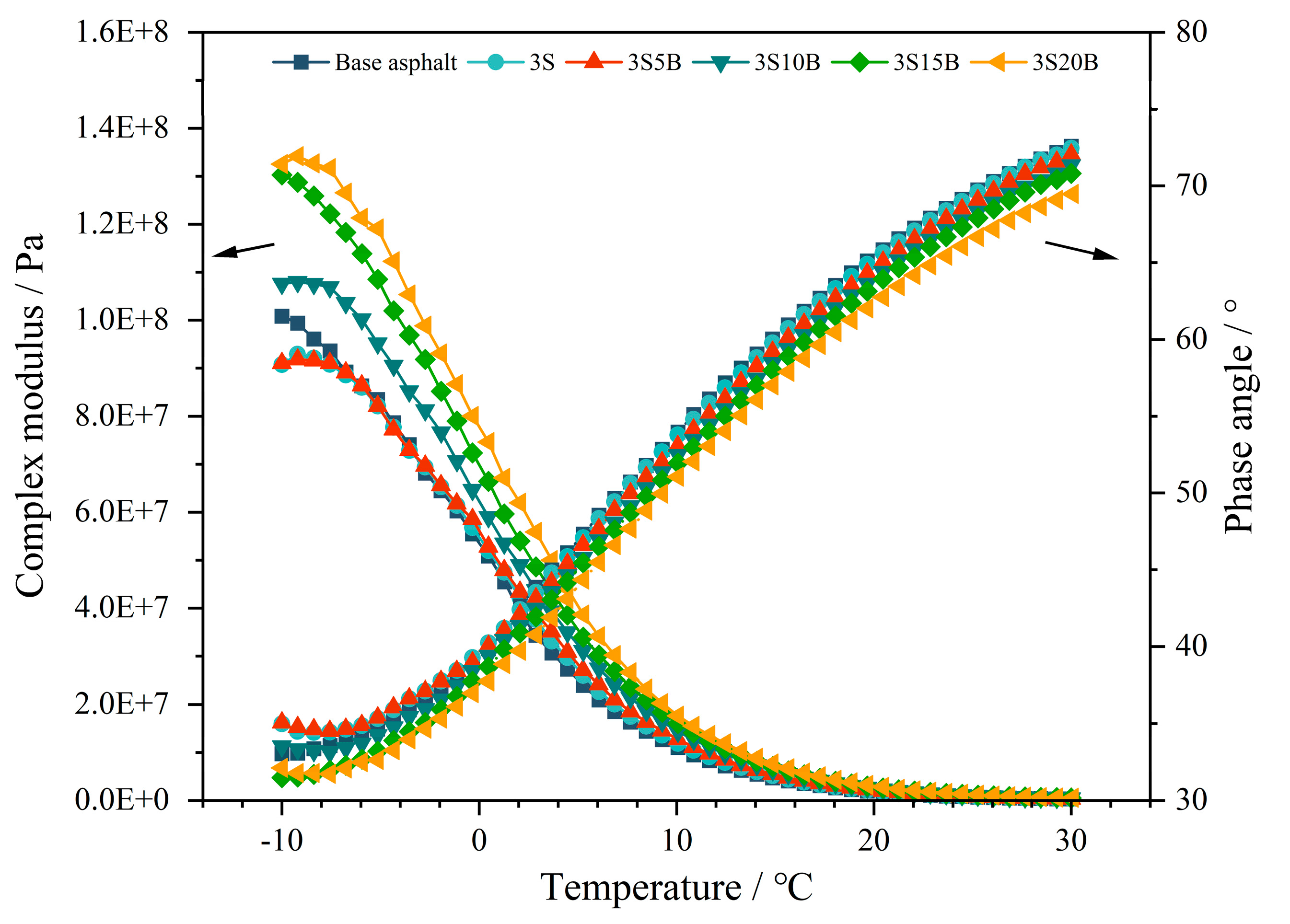
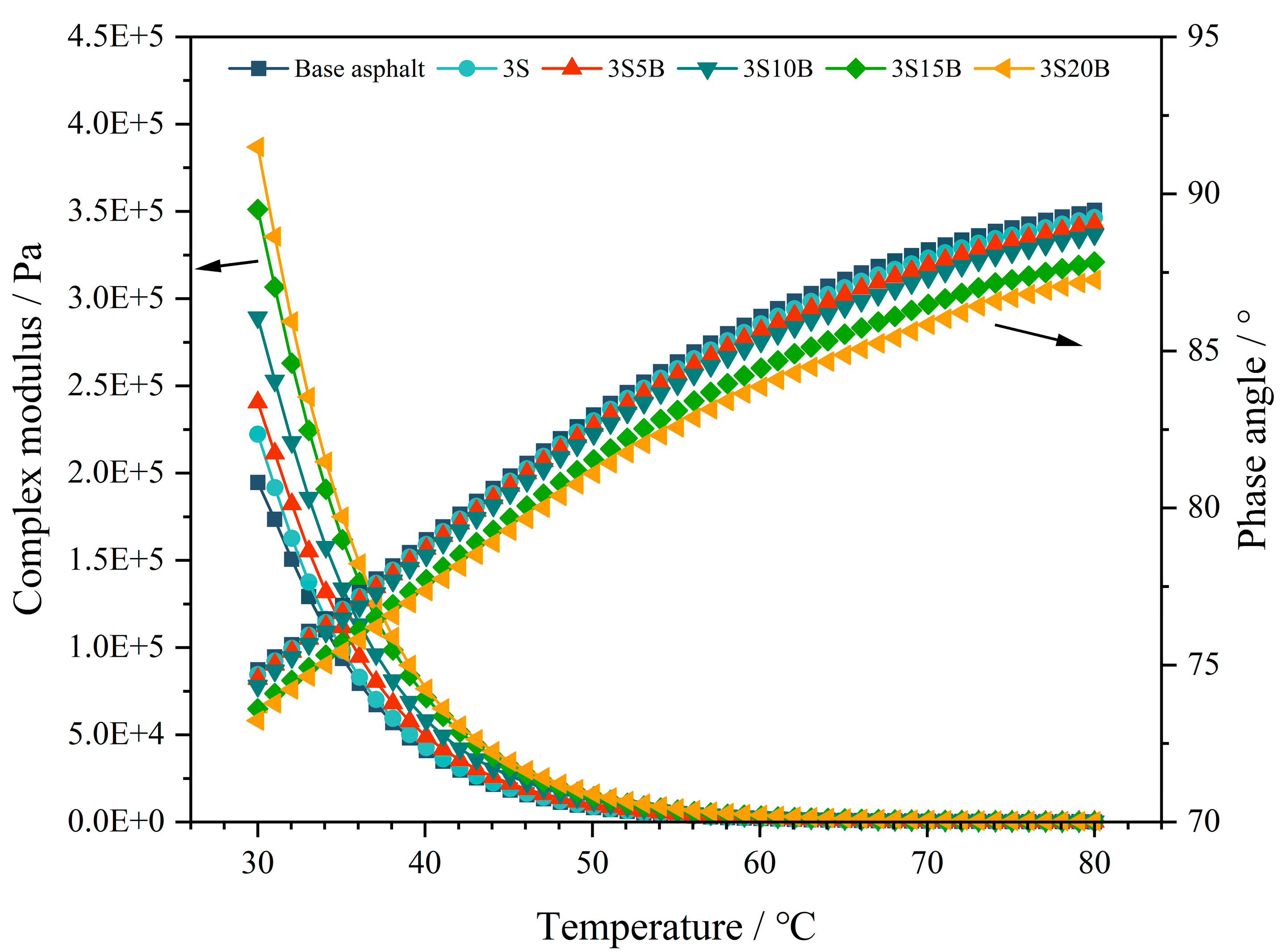
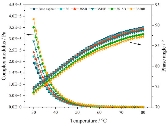
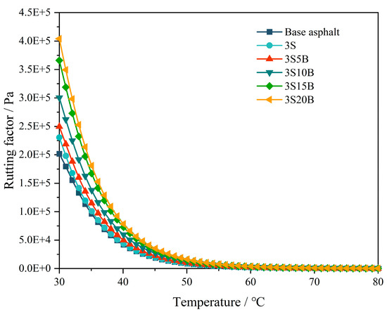
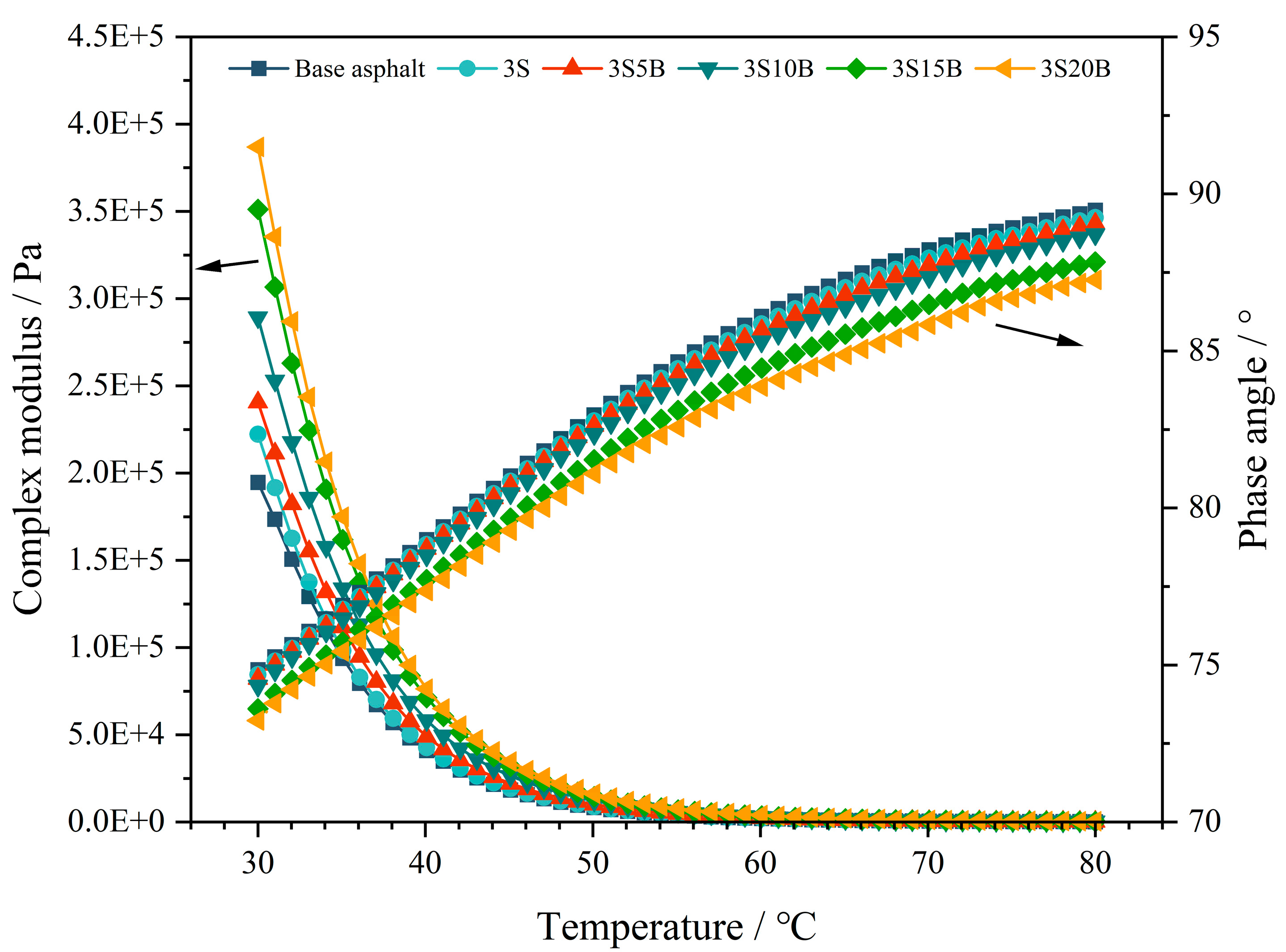
3.5. Temperature Sweep Test Results
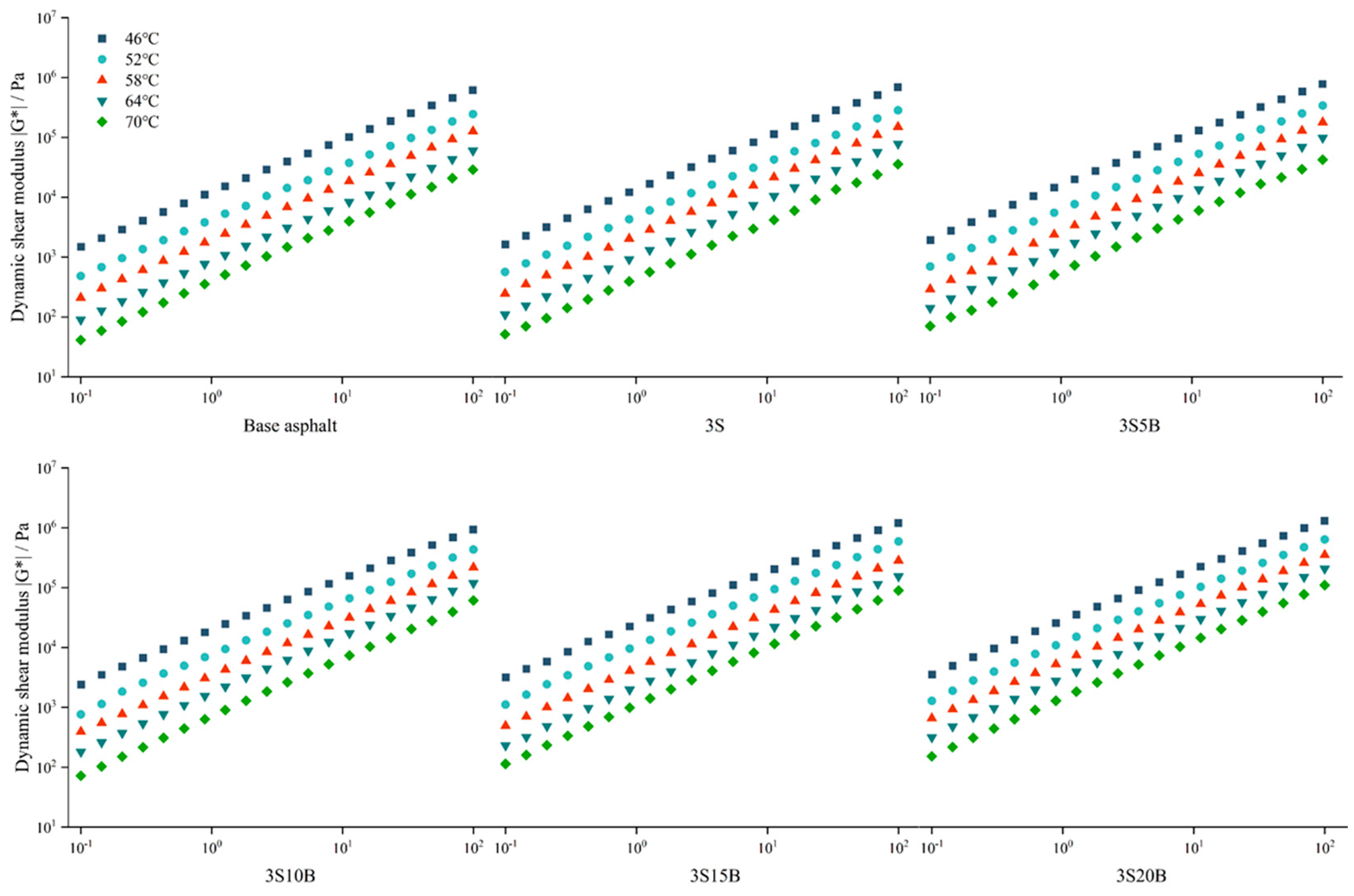
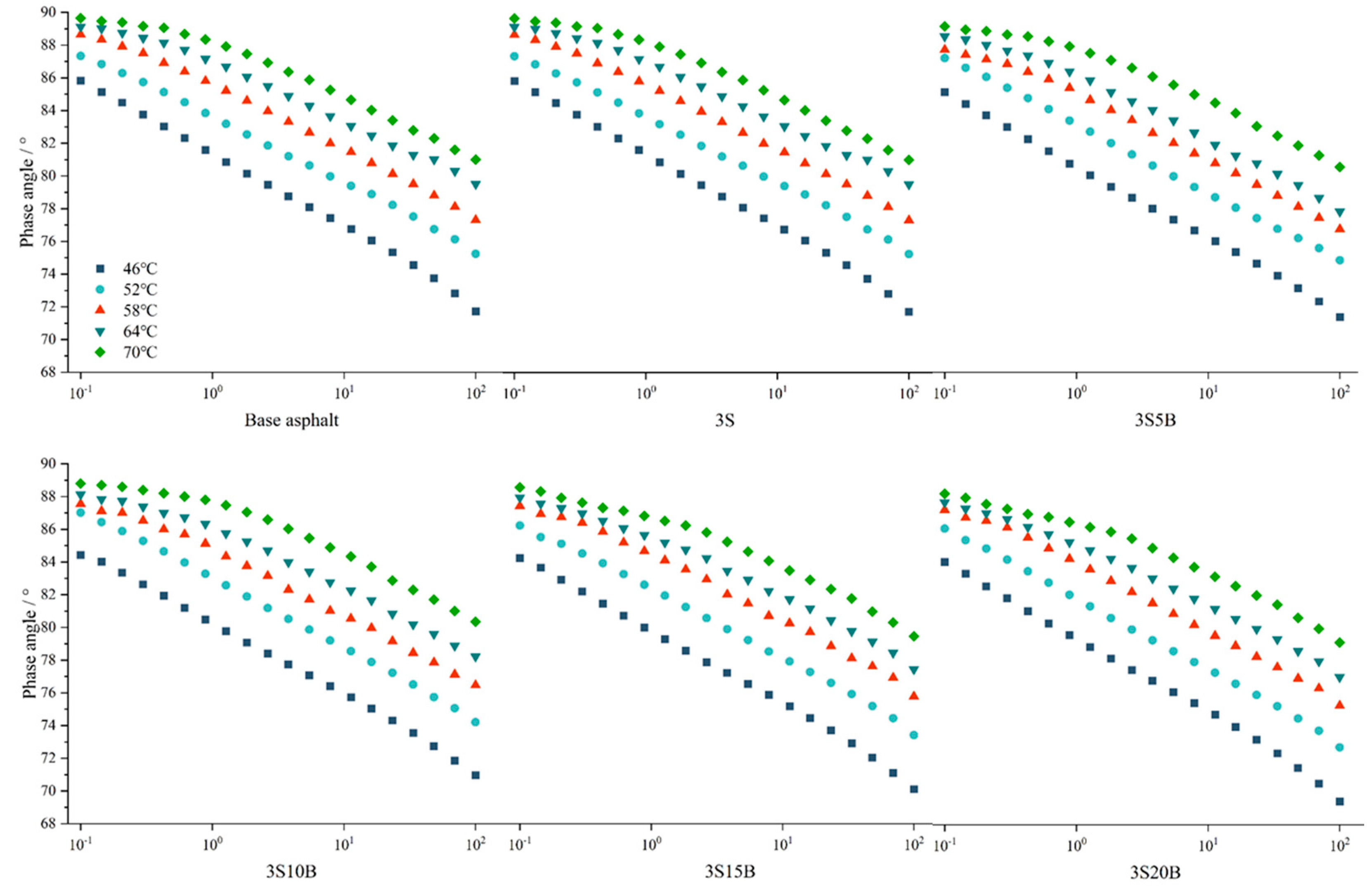
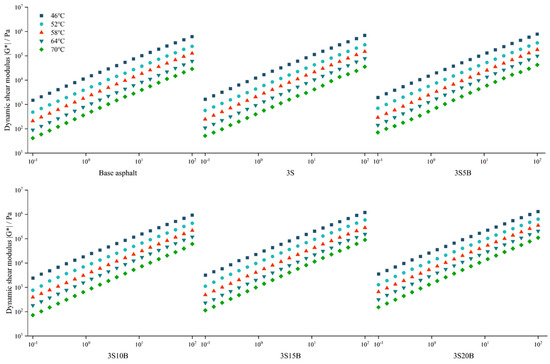
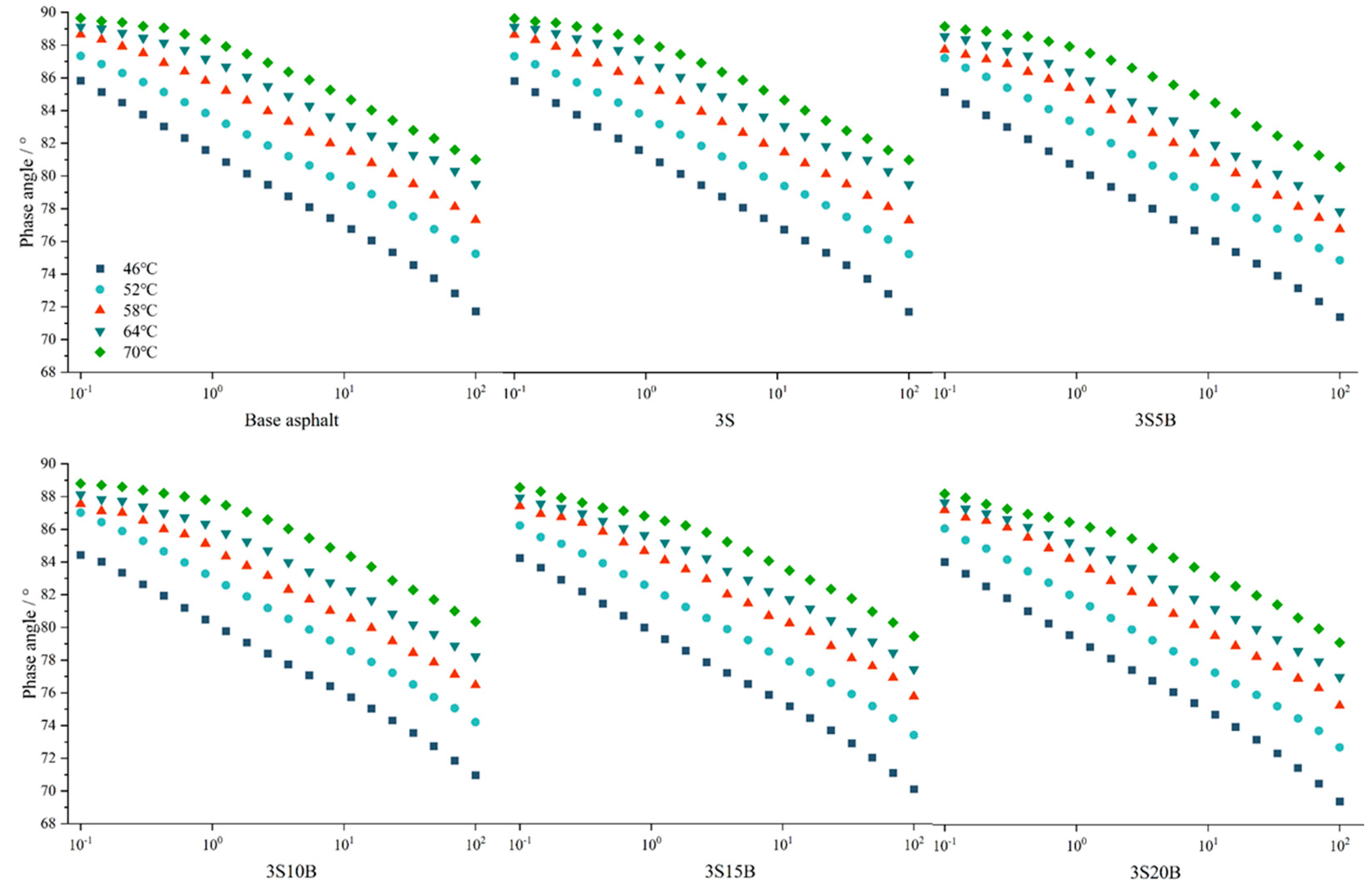
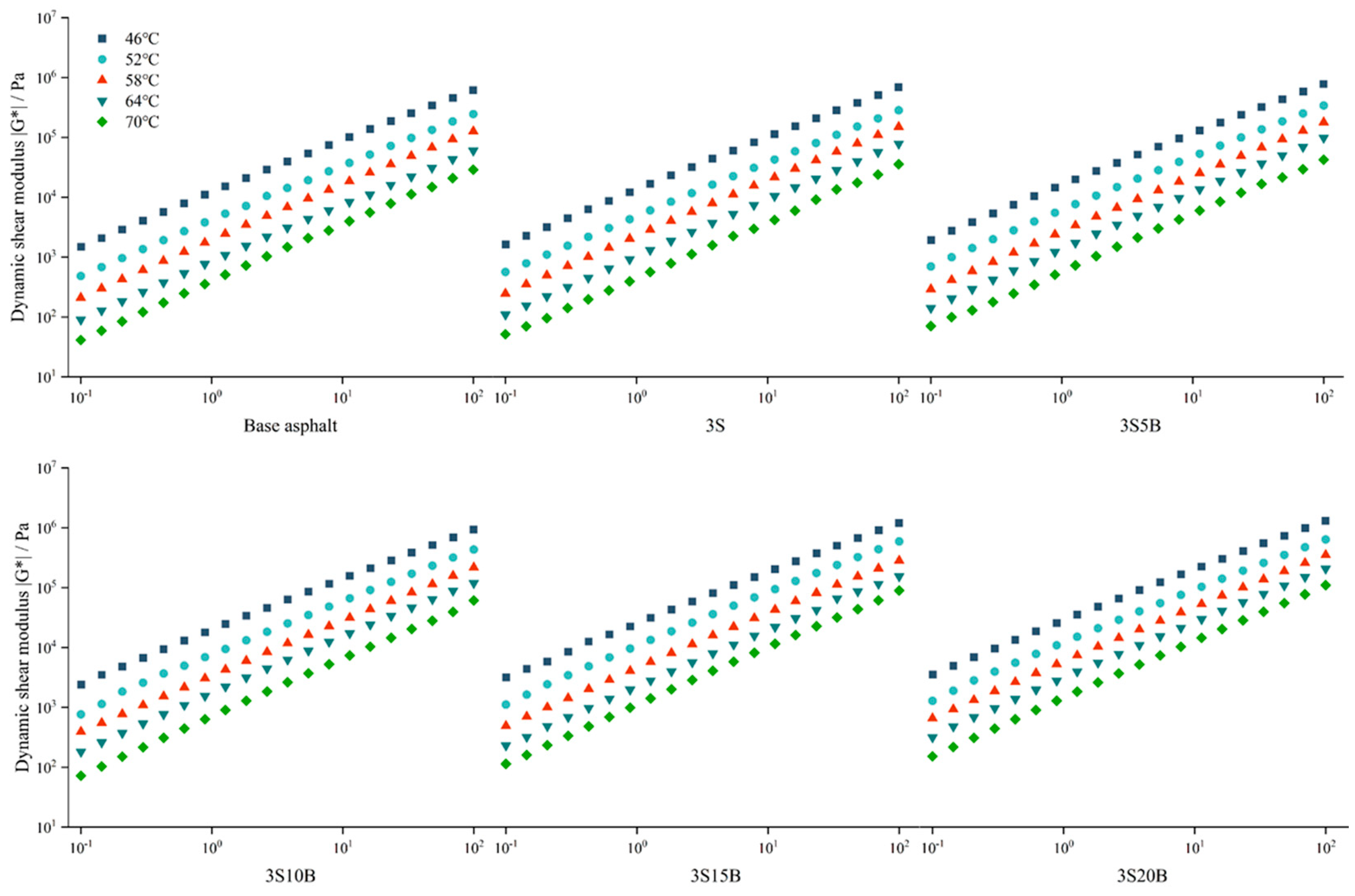
3.6. Frequency Sweep Test Results
3.7. MSCR Test Results
4. Conclusions
- (1)
- The FTIR spectral test results did not show any new characteristic peaks, indicating that the composite modification process involves physical co-mingling. The complex morphological characteristics of BRA particles are favorable for binding with asphalt, but the increase in BRA doping leads to enhanced ash agglomeration, which is unfavorable for the stability of the three-phase system in BCMWMA.
- (2)
- BRA reduced the ductility and penetration of WMA while increasing the viscosity and softening point. Furthermore, it negatively affected the storage stability of BCMWMA. However, doping amounts below 15 wt% indicate the existence of a suitable dosing for a multi-phase equilibrium.
- (3)
- BRA can enhance the high-temperature viscosity of WMA and increase the energy threshold required for to occur, while reducing the temperature sensitivity of WMA. BCMWMA, with BRA dosing at 15 wt% and below, exhibits a noticeable warm mixing effect.
- (4)
- The higher the BRA doping, the poorer the low-temperature performance becomes. The maximum allowed doping of BRA to meet the specification is 15 wt%, with a low temperature threshold of −12 °C. BRA enhances the stiffness of WMA across a wide temperature range and frequency domain. BCMWMA meets the requirements for standard traffic and heavy traffic loading according to the AASHTO M332 standard.
Author Contributions
Funding
Institutional Review Board Statement
Informed Consent Statement
Data Availability Statement
Acknowledgments
Conflicts of Interest
References
- Bíl, M.; Vodák, R.; Kubeček, J.; Bílová, M.; Sedoník, J. Evaluating Road Network Damage Caused by Natural Disasters in the Czech Republic between 1997 and 2010. Transp. Res. Part A Policy Pract. 2015, 80, 90–103. [Google Scholar] [CrossRef]
- Yadykova, A.Y.; Ilyin, S.O. Bitumen Improvement with Bio-Oil and Natural or Organomodified Montmorillonite: Structure, Rheology and Adhesion of Composite Asphalt Binders. Constr. Build. Mater. 2023, 364, 129919. [Google Scholar] [CrossRef]
- Huang, T.; Cao, Z.; Lv, S.; Yu, H.; Peng, X.; Jiang, H.; Wu, L. Road Behavior and Micro Characteristics of High-Performance Asphalt Based on Compound Modification Approach. Constr. Build. Mater. 2023, 371, 130622. [Google Scholar] [CrossRef]
- Sirin, O.; Paul, D.K.; Kassem, E. State of the Art Study on Aging of Asphalt Mixtures and Use of Antioxidant Additives. Adv. Civ. Eng. 2018, 2018, e3428961. [Google Scholar] [CrossRef]
- Yang, B.; Li, H.; Sun, Y.; Zhang, H.; Liu, J.; Yang, J.; Zhang, X. Chemo-Rheological, Mechanical, Morphology Evolution and Environmental Impact of Aged Asphalt Binder Coupling Thermal Oxidation, Ultraviolet Radiation and Water. J. Clean. Prod. 2023, 388, 135866. [Google Scholar] [CrossRef]
- Zhang, H.; Su, M.; Zhao, S.; Zhang, Y.; Zhang, Z. High and Low Temperature Properties of Nano-Particles/Polymer Modified Asphalt. Constr. Build. Mater. 2016, 114, 323–332. [Google Scholar] [CrossRef]
- Xie, J.; Chen, J.; Hu, L.; Wu, S.; Wang, Z.; Li, M.; Yang, C. Preparation, Thermochromic Properties and Temperature Controlling Ability of Novel Pellets in Ultra-Thin Wearing Course. Constr. Build. Mater. 2023, 389, 131797. [Google Scholar] [CrossRef]
- Li, J.; Yu, J.; Wu, S.; Xie, J. The Mechanical Resistance of Asphalt Mixture with Steel Slag to Deformation and Skid Degradation Based on Laboratory Accelerated Heavy Loading Test. Materials 2022, 15, 911. [Google Scholar] [CrossRef]
- Wang, K.; Cheng, X.; Zhu, Y.; Li, H. Study on Performance Deterioration Regularity of Hot Regenerated Asphalt Mixture under Multiple Aging Factors. Constr. Build. Mater. 2023, 369, 130568. [Google Scholar] [CrossRef]
- Yang, X.; Liu, G.; Zhang, H.; Meng, Y.; Peng, C.; He, X.; Liang, J. Aging Behavior of Polyphosphoric Acid/Styrene-Butadiene-Styrene-Modified Bio-Mixed Asphalt Based on High-Temperature Rheological Properties and Microscopic Mechanism. Constr. Build. Mater. 2023, 389, 131691. [Google Scholar] [CrossRef]
- Wang, C.; Huang, S.; Chen, Q.; Ji, X.; Duan, K. Materials, Preparation, Performances and Mechanism of Polyurethane Modified Asphalt and Its Mixture: A Systematic Review. J. Road Eng. 2023, 3, 16–34. [Google Scholar] [CrossRef]
- Zeng, G.; Shen, A.; Lyu, Z.; Kang, C.; Cui, H.; Ren, G.; Yue, G. Research on Anti-Aging Properties of POE/SBS Compound-Modified Asphalt in High-Altitude Regions. Constr. Build. Mater. 2023, 376, 131060. [Google Scholar] [CrossRef]
- Han, Y.; Cui, B.; Tian, J.; Ding, J.; Ni, F.; Lu, D. Evaluating the Effects of Styrene-Butadiene Rubber (SBR) and Polyphosphoric Acid (PPA) on Asphalt Adhesion Performance. Constr. Build. Mater. 2022, 321, 126028. [Google Scholar] [CrossRef]
- Nazari, H.; Naderi, K.; Moghadas Nejad, F. Improving Aging Resistance and Fatigue Performance of Asphalt Binders Using Inorganic Nanoparticles. Constr. Build. Mater. 2018, 170, 591–602. [Google Scholar] [CrossRef]
- Wang, R.; Xu, G.; Chen, X.; Zhou, W.; Zhang, H. Evaluation of Aging Resistance for High-Performance Crumb Tire Rubber Compound Modified Asphalt. Constr. Build. Mater. 2019, 218, 497–505. [Google Scholar] [CrossRef]
- Zhang, H.; Zhang, Y.; Chen, J.; Liu, W.; Wang, W. Effect of Desulfurization Process Variables on the Properties of Crumb Rubber Modified Asphalt. Polymers 2022, 14, 1365. [Google Scholar] [CrossRef]
- Yang, C.; Wu, S.; Xie, J.; Amirkhanian, S.; Zhao, Z.; Xu, H.; Wang, F.; Zhang, L. Development of Blending Model for RAP and Virgin Asphalt in Recycled Asphalt Mixtures via a Micron-Fe3O4 Tracer. J. Clean. Prod. 2023, 383, 135407. [Google Scholar] [CrossRef]
- Lu, W.; Peng, X.; Lv, S.; Yang, Y.; Wang, J.; Wang, Z.; Xie, N. High-Temperature Properties and Aging Resistance of Rock Asphalt Ash Modified Asphalt Based on Rutting Index. Constr. Build. Mater. 2023, 363, 129774. [Google Scholar] [CrossRef]
- Zhao, P.; Song, X.; Dong, M.; Sun, H.; Wu, W.; Zhang, R.; Sun, M.; Zhao, X. Preparation and Characterization of CQDs/SBS Composites and Its Application Performance as Asphalt Modifier. Constr. Build. Mater. 2022, 320, 126312. [Google Scholar] [CrossRef]
- Gong, X.; Liu, Q.; Wang, H.; Wan, P.; Chen, S.; Wu, J.; Wu, S. Synthesis of Environmental-Curable CO2-Based Polyurethane and Its Enhancement on Properties of Asphalt Binder. J. Clean. Prod. 2023, 384, 135576. [Google Scholar] [CrossRef]
- Lv, Y.; Wu, S.; Li, N.; Cui, P.; Wang, H.; Amirkhanian, S.; Zhao, Z. Performance and VOCs Emission Inhibition of Environmentally Friendly Rubber Modified Asphalt with UiO-66 MOFs. J. Clean. Prod. 2023, 385, 135633. [Google Scholar] [CrossRef]
- Cai, L.; Shi, X.; Xue, J. Laboratory Evaluation of Composed Modified Asphalt Binder and Mixture Containing Nano-Silica/Rock Asphalt/SBS. Constr. Build. Mater. 2018, 172, 204–211. [Google Scholar] [CrossRef]
- Huang, W.; Lv, Q.; Xiao, F. Investigation of Using Binder Bond Strength Test to Evaluate Adhesion and Self-Healing Properties of Modified Asphalt Binders. Constr. Build. Mater. 2016, 113, 49–56. [Google Scholar] [CrossRef]
- Yan, K.; Li, Y.; Long, Z.; You, L.; Wang, M.; Zhang, M.; Diab, A. Mechanical Behaviors of Asphalt Mixtures Modified with European Rock Bitumen and Waste Cooking Oil. Constr. Build. Mater. 2022, 319, 125909. [Google Scholar] [CrossRef]
- Anupam, K.; Akinmade, D.; Kasbergen, C.; Erkens, S.; Adebiyi, F. A State-of-the-Art Review of Natural Bitumen in Pavement: Underlining Challenges and the Way Forward. J. Clean. Prod. 2023, 382, 134957. [Google Scholar] [CrossRef]
- Wang, M.; Xing, C. Evaluation of Microstructural Features of Buton Rock Asphalt Components and Rheological Properties of Pure Natural Asphalt Modified Asphalt. Constr. Build. Mater. 2021, 267, 121132. [Google Scholar] [CrossRef]
- Lv, S.; Fan, X.; Yao, H.; You, L.; You, Z.; Fan, G. Analysis of Performance and Mechanism of Buton Rock Asphalt Modified Asphalt. J. Appl. Polym. Sci. 2019, 136, 46903. [Google Scholar] [CrossRef]
- Lv, S.; Peng, X.; Liu, C.; Qu, F.; Zhu, X.; Tian, W.; Zheng, J. Aging Resistance Evaluation of Asphalt Modified by Buton-Rock Asphalt and Bio-Oil Based on the Rheological and Microscopic Characteristics. J. Clean Prod. 2020, 257, 120589. [Google Scholar] [CrossRef]
- Lapian, F.E.P.; Ramli, M.I.; Pasra, M.; Arsyad, A. The Performance Modeling of Modified Asbuton and Polyethylene Terephthalate (PET) Mixture Using Response Surface Methodology (RSM). Appl. Sci. 2021, 11, 6144. [Google Scholar] [CrossRef]
- Ren, J.; Xue, B.; Zhang, L.; Liu, W.; Li, D.; Xu, Y. Characterization and Prediction of Rutting Resistance of Rock Asphalt Mixture under the Coupling Effect of Water and High-Temperature. Constr. Build. Mater. 2020, 254, 119316. [Google Scholar] [CrossRef]
- Chang, S.-C.; Liao, M.-C.; Shen, D.-H. Evaluation of Engineering Properties of Rock-Modified Asphalt Concrete. J. Test. Eval. 2021, 49, 839–853. [Google Scholar] [CrossRef]
- Li, R.; Karki, P.; Hao, P. Fatigue and Self-Healing Characterization of Asphalt Composites Containing Rock Asphalts. Constr. Build. Mater. 2020, 230, 116835. [Google Scholar] [CrossRef]
- Qian, J.; Wang, Q.; Wu, W.; Zhang, H. Fatigue Performance of Gussasphalt Concrete Made from Modified AH-70# Asphalt. Mater. Des. 2013, 52, 686–692. [Google Scholar] [CrossRef]
- Li, T.; Guo, Z.; Liang, D.; Luo, S.; Zhang, Y.; Hong, B.; Lu, G.; Wang, D.; Oeser, M. Chemical and Physical Effects of Polyurethane-Precursor-Based Reactive Modifier on the Low-Temperature Performance of Bitumen. Constr. Build. Mater. 2022, 328, 127055. [Google Scholar] [CrossRef]
- Cheraghian, G.; Cannone Falchetto, A.; You, Z.; Chen, S.; Kim, Y.S.; Westerhoff, J.; Moon, K.H.; Wistuba, M.P. Warm Mix Asphalt Technology: An up to Date Review. J. Clean. Prod. 2020, 268, 122128. [Google Scholar] [CrossRef]
- Mazumder, M.; Sriraman, V.; Kim, H.H.; Lee, S.-J. Quantifying the Environmental Burdens of the Hot Mix Asphalt (HMA) Pavements and the Production of Warm Mix Asphalt (WMA). Int. J. Pavement Res. Technol. 2016, 9, 190–201. [Google Scholar] [CrossRef]
- Thives, L.P.; Ghisi, E. Asphalt Mixtures Emission and Energy Consumption: A Review. Renew. Sustain. Energy Rev. 2017, 72, 473–484. [Google Scholar] [CrossRef]
- Chen, B.; Dong, F.; Yu, X.; Ren, S.; Zheng, C. Chemo-Rheological Characterization of Aging Behaviors of Warm-Mix High-Viscosity Modified Asphalt. J. Mater. Civ. Eng. 2022, 34, 04022342. [Google Scholar] [CrossRef]
- Liu, H.; Zhang, Z.; Li, N.; Li, H.; Wang, P. Effect of Organic Montmorillonite on Rheological Properties of Sasobit Warm-Mix Asphalt and Analysis of Its Ultraviolet Aging Behaviors. J. Mater. Civ. Eng. 2022, 34, 04022339. [Google Scholar] [CrossRef]
- Xu, L.; Ni, H.; Zhang, Y.; Sun, D.; Zheng, Y.; Hu, M. Porous Asphalt Mixture Use Asphalt Rubber Binders: Preparation and Noise Reduction Evaluation. J. Clean. Prod. 2022, 376, 134119. [Google Scholar] [CrossRef]
- Ramesh, A.; Venkat Ramayya, V.; Sandeep Reddy, G.; Vinayaka Ram, V. Investigations on Fracture Response of Warm Mix Asphalt Mixtures with Nano Glass Fibres and Partially Replaced RAP Material. Constr. Build. Mater. 2022, 317, 126121. [Google Scholar] [CrossRef]
- Abdollahi, S.F.; Karimi, M.M.; Jahanbakhsh, H.; Tabatabaee, N. Cracking Performance of Rubberized RAP Mixtures with Sasobit. Constr. Build. Mater. 2022, 319, 126090. [Google Scholar] [CrossRef]
- Luo, S.; Qian, Z.; Yang, X.; Wang, H. Design of Gussasphalt Mixtures Based on Performance of Gussasphalt Binders, Mastics and Mixtures. Constr. Build. Mater. 2017, 156, 131–141. [Google Scholar] [CrossRef]
- Sobhi, S.; Yousefi, A.; Behnood, A. The Effects of Gilsonite and Sasobit on the Mechanical Properties and Durability of Asphalt Mixtures. Constr. Build. Mater. 2020, 238, 117676. [Google Scholar] [CrossRef]
- Sobhi, S.; Hesami, S.; Poursoltani, M.; Ayar, P.; Mullapudi, R.S. Coupled Effects of Gilsonite and Sasobit on Binder Properties: Rheological and Chemical Analysis. J. Mater. Civ. Eng. 2022, 34, 04021470. [Google Scholar] [CrossRef]
- Li, Y.; Chen, J.; Yan, J.; Guo, M. Influence of Buton Rock Asphalt on the Physical and Mechanical Properties of Asphalt Binder and Asphalt Mixture. Adv. Mater. Sci. Eng. 2018, 2018, 2107512. [Google Scholar] [CrossRef]
- ASTM International. D04 Committee Test Method for Penetration of Bituminous Materials; ASTM International: West Conshohocken, PA, USA, 2006. [Google Scholar]
- ASTM International. D08 Committee Test Method for Softening Point of Bitumen (Ring-and-Ball Apparatus); ASTM International: West Conshohocken, PA, USA, 2014. [Google Scholar]
- ASTM International. D04 Committee Test Method for Ductility of Asphalt Materials; ASTM International: West Conshohocken, PA, USA, 2018. [Google Scholar]
- ASTM International. D08 Committee Test Method for Viscosity Determination of Asphalt at Elevated Temperatures Using a Rotational Viscometer; ASTM International: West Conshohocken, PA, USA, 2023. [Google Scholar]
- ASTM International. D04 Committee Practice for Determining the Separation Tendency of Polymer from Polymer Modified Asphalt; ASTM International: West Conshohocken, PA, USA, 2020. [Google Scholar]
- ASTM International. D04 Committee Test Method for Multiple Stress Creep and Recovery (MSCR) of Asphalt Binder Using a Dynamic Shear Rheometer; ASTM International: West Conshohocken, PA, USA, 2020. [Google Scholar]
- ASTM International. D6648: Standard Test Method for Determining the Flexural Creep Stiffness of Asphalt Binder Using the Bending Beam Rheometer (BBR); ASTM International: West Conshohocken, PA, USA, 2016. [Google Scholar]
- Eltwati, A.; Putra Jaya, R.; Mohamed, A.; Jusli, E.; Al-Saffar, Z.; Hainin, M.R.; Enieb, M. Effect of Warm Mix Asphalt (WMA) Antistripping Agent on Performance of Waste Engine Oil-Rejuvenated Asphalt Binders and Mixtures. Sustainability 2023, 15, 3807. [Google Scholar] [CrossRef]
- Su, Y.; Hu, X.; Wan, J.; Wu, S.; Zhang, Y.; Huang, X.; Liu, Z. Physical Properties and Storage Stability of Buton Rock Asphalt Modified Asphalt. Materials 2022, 15, 3592. [Google Scholar] [CrossRef]
- Tembe, E.; Tamele, L.; Buonocore, G.; Madivate, C.; Muiambo, H. Rheological and Thermo-Oxidative Aging Properties of Asphalt Modified with a Combination of Sasobit and Linear Low-Density Polyethylene. Sustainability 2023, 15, 4460. [Google Scholar] [CrossRef]
- Zhao, Z.; Wu, S.; Liu, Q.; Xie, J.; Yang, C.; Wang, F.; Wan, P. Recycling Waste Disposable Medical Masks in Improving the Performance of Asphalt and Asphalt Mixtures. Constr. Build. Mater. 2022, 337, 127621. [Google Scholar] [CrossRef]
- ASTM International. D04 Committee Standard Viscosity-Temperature Chart for Asphalts; ASTM International: West Conshohocken, PA, USA, 2017. [Google Scholar]
- Liu, H.; Zhang, Z.; Xie, J.; Gui, Z.; Li, N.; Xu, Y. Analysis of OMMT Strengthened UV Aging-Resistance of Sasobit/SBS Modified Asphalt: Its Preparation, Characterization and Mechanism. J. Clean. Prod. 2021, 315, 128139. [Google Scholar] [CrossRef]
- Zheng, M.; Liu, Y.; Liu, X.; Zhang, W.; Wang, F.; Liu, S. Study on the Viscoelastic Behaviour of the Modified Asphalt Containing Multi-Walled Carbon Nanotubes (MWCNTs) and Crumb Rubber (CR). Constr. Build. Mater. 2021, 311, 125244. [Google Scholar] [CrossRef]
- Modifier for Asphalt Mixture. Part 5: Natural Asphalt. (JT/T 860.5-2014.). Available online: https://std.samr.gov.cn/hb/search/stdHBDetailed?id=8B1827F23807BB19E05397BE0A0AB44A (accessed on 14 June 2023).
- Liu, H.; Zeiada, W.; Al-Khateeb, G.G.; Shanableh, A.; Samarai, M. Use of the Multiple Stress Creep Recovery (MSCR) Test to Characterize the Rutting Potential of Asphalt Binders: A Literature Review. Constr. Build. Mater. 2021, 269, 121320. [Google Scholar] [CrossRef]




















| Asphalt Properties | JTG E20-2011 | Test Results | Specification Limits |
|---|---|---|---|
| Penetration at 25 °C (0.1 mm) | T0604-2011 | 93 | 80–90 |
| Ductility at 15 °C (5 cm/min, cm) | T0605-2011 | 166.8 | ≥100 |
| Softenting point (°C) | T0606-2011 | 44.7/48.13 | ≥42 |
| Mass loss (%) | T0610 | 0.5 | ≤±0.8 |
| Residual penetration ratio (%) | T0604 | 62 | ≥57 |
| Residual ductility (%) | T0605 | 29 | ≥8 |
| Sasobit Properties | Test Results |
|---|---|
| Appearance | Milky white particles |
| Chemical composition | Long-chain aliphatic alkanes |
| Density at 25 °C (g/cm3) | 0.96 |
| Melting point (°C) | 115 |
| Flash point (°C) | 290 |
| Solubility | Water immiscible |
| BRA Properties | Specification Limits | Test Results |
|---|---|---|
| Asphalt content (%) | ≥20 | 30.5 |
| Ash (%) | ≤80 | 69.3 |
| Water content (%) | ≤2 | 0.76 |
| Solubility of TCE (%) | ≥18 | 28.53 |
| Density (g/cm3) | ≤1.9 | 1.76 |
| Flash point (°C) | ≥230 | 314 |
| Heat loss (%) | ≤2 | 0.23 |
| Appearance | Brown powder | Brown powder |
| Ingredient | MgO | Al2O3 | SiO2 | P2O5 | SO3 | K2O | CaO | TiO2 | MnO | Fe2O3 | SrO | ZrO2 |
|---|---|---|---|---|---|---|---|---|---|---|---|---|
| Percent | 1.199 | 2.268 | 8.317 | 0.068 | 4.179 | 0.379 | 33.391 | 0.328 | 0.207 | 6.488 | 0.221 | 0.048 |
| Test Items | Temperature Range | Loaded Strain/Stress | Rotor Diameter | Parallel Plate Clearance |
|---|---|---|---|---|
| High temperature scan test | 30~80 °C | 12% | 25 mm | 1 mm ± 0.05 mm |
| Medium temperature scan test | −10~30 °C | 0.5% | 8 mm | 2 mm ± 0.05 mm |
| Frequency scan test | 46 °C, 52 °C, 58 °C, 64 °C, 70 °C | 0.5% | 25 mm | 1 mm ± 0.05 mm |
| MSCR test | 58 °C | 0.1 kPa/3.2 kPa | 25 mm | 1 mm ± 0.05 mm |
| Asphalt | Fitting Line | R2 | Slope /R) | (kJ/mol) |
|---|---|---|---|---|
| Base asphalt | Y = 7247.31x − 18.73 | 0.998 | 7247.31 | 60.25 |
| 3S | Y = 7040.45x − 18.76 | 0.997 | 7040.45 | 58.53 |
| 3S5B | Y = 7354.69x − 19.08 | 0.997 | 7354.69 | 61.15 |
| 3S10B | Y = 7554.68x − 19.36 | 0.997 | 7554.68 | 62.81 |
| 3S15B | Y = 7689x − 19.52 | 0.997 | 7689 | 63.93 |
| 3S20B | Y = 7866.74x − 19.5 | 0.997 | 7866.74 | 65.4 |
| Asphalt | Equation | Slope | R2 |
|---|---|---|---|
| Base asphalt | Y = 8.64 − 3.15x | 3.15 | 0.986 |
| 3S | Y = 9.2 − 3.38x | 3.38 | 0.983 |
| 3S5B | Y = 8.88 − 3.25x | 3.25 | 0.989 |
| 3S10B | Y = 8.83 − 3.22x | 3.22 | 0.981 |
| 3S15B | Y = 8.78 − 3.2x | 3.2 | 0.984 |
| 3S20B | Y = 8.37 − 3.03x | 3.03 | 0.999 |
| Types | Base Asphalt | 3S | 3S5B | 3S10B | 3S15B | 3S20B |
|---|---|---|---|---|---|---|
| Mixing temperature | 150.6–156.9 | 137.7–143.3 | 148.1–154.1 | 153–159.1 | 156.6–162.8 | 168.3–175 |
| Compaction temperature | 138.8–143.8 | 127–131.5 | 136.6–141.5 | 141.3–146.3 | 144.8–149.8 | 155.5–160.9 |
| Traffic Levels | S | H | V | E |
|---|---|---|---|---|
| ≤4.5 | ≤2 | ≤1 | ≤0.5 |
Disclaimer/Publisher’s Note: The statements, opinions and data contained in all publications are solely those of the individual author(s) and contributor(s) and not of MDPI and/or the editor(s). MDPI and/or the editor(s) disclaim responsibility for any injury to people or property resulting from any ideas, methods, instructions or products referred to in the content. |
© 2023 by the authors. Licensee MDPI, Basel, Switzerland. This article is an open access article distributed under the terms and conditions of the Creative Commons Attribution (CC BY) license (https://creativecommons.org/licenses/by/4.0/).
Share and Cite
Liu, W.; Wu, S.; Jiang, Q.; Zhao, Z.; Yang, X.; Xie, J. Investigation on Rheological Properties and Microscopic Mechanisms of Sasobit/Buton Rock Asphalt Modified Asphalt. Sustainability 2023, 15, 10224. https://doi.org/10.3390/su151310224
Liu W, Wu S, Jiang Q, Zhao Z, Yang X, Xie J. Investigation on Rheological Properties and Microscopic Mechanisms of Sasobit/Buton Rock Asphalt Modified Asphalt. Sustainability. 2023; 15(13):10224. https://doi.org/10.3390/su151310224
Chicago/Turabian StyleLiu, Wei, Shaopeng Wu, Qi Jiang, Zenggang Zhao, Xinkui Yang, and Jun Xie. 2023. "Investigation on Rheological Properties and Microscopic Mechanisms of Sasobit/Buton Rock Asphalt Modified Asphalt" Sustainability 15, no. 13: 10224. https://doi.org/10.3390/su151310224
APA StyleLiu, W., Wu, S., Jiang, Q., Zhao, Z., Yang, X., & Xie, J. (2023). Investigation on Rheological Properties and Microscopic Mechanisms of Sasobit/Buton Rock Asphalt Modified Asphalt. Sustainability, 15(13), 10224. https://doi.org/10.3390/su151310224

