Exploring the Relationship between Urbanization and Ikization
Abstract
1. Introduction
2. Theoretical Framework
2.1. A Hypothesis of Ikization
2.2. Political and Economic Movements Resulting in Ikization
2.3. Urbanization and Ikization
2.4. Logistic Replacement
2.5. Step Replacement and Ikization
3. Methods and Results
3.1. Materials and Methodology
3.2. Empirical Results of Beijing
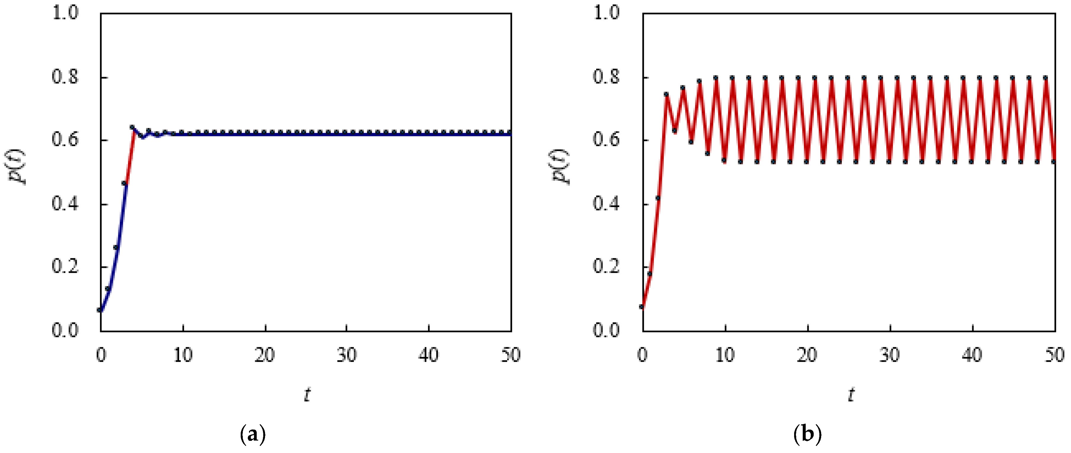
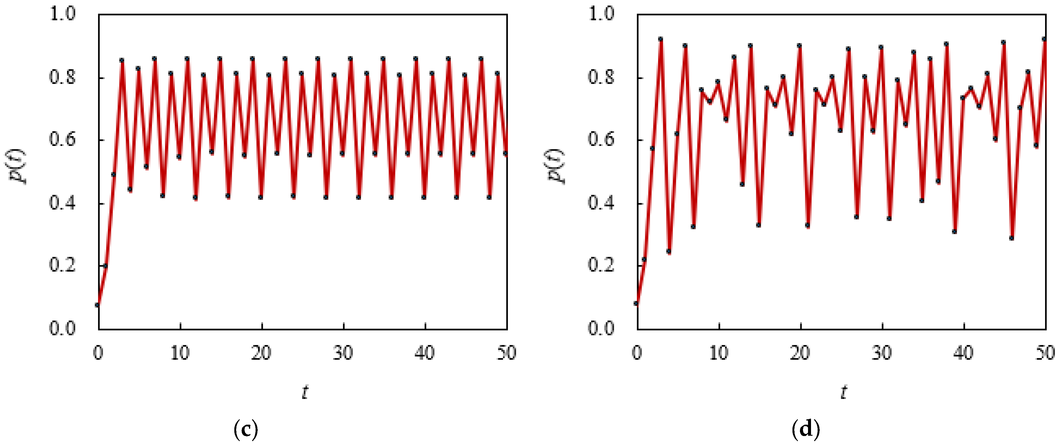
3.3. Numerical Calculation and Simulation
4. Discussion
5. Conclusions
Supplementary Materials
Author Contributions
Funding
Institutional Review Board Statement
Informed Consent Statement
Data Availability Statement
Acknowledgments
Conflicts of Interest
References
- Knox, P.L. Urbanization: An Introduction to Urban Geography, 2nd ed.; Prentice Hall: Upper Saddle River, NJ, USA, 2005. [Google Scholar]
- Zhou, Y.X. Urban Geography; Commercial Press: Beijing, China, 1995. (In Chinese) [Google Scholar]
- Knox, P.L.; Marston, S.A. Places and Regions in Global Context: Human Geography, 5th ed.; Prentice Hall: Upper Saddle River, NJ, USA, 2009. [Google Scholar]
- Chen, Y.G. Spatial interaction creates period-doubling bifurcation and chaos of urbanization. Chaos Solitons Fractals 2009, 42, 1316–1325. [Google Scholar] [CrossRef]
- Tainter, J.A. The Collapse of Complex Societies, 15th ed.; Cambridge University Press: London, UK, 2006. [Google Scholar]
- Thomas, L. Lives of a Cell: Notes of a Biology Watcher; Viking Penguin: New York, NY, USA, 1974. [Google Scholar]
- Turnbull, C.M. The Mountain People; Simon & Schuster: New York, NY, USA, 1972. [Google Scholar]
- Turnbull, C.M. Rethinking the Ik: A functional Non-Social System. In Extinction and Survival in Human Populations; Laughlin, C.D., Jr., Brady, I.A., Eds.; Columbia University Press: New York, NY, USA, 1978; pp. 49–75. [Google Scholar]
- Chen, Y.G. Environmental change, cultural break, and national ikization. J. Xinyang Teach. Coll. (Nat. Sci. Ed.) 2014, 27, 199–203. (In Chinese) [Google Scholar]
- Chen, Y.G. Urban chaos and replacement dynamics in nature and society. Phys. A Stat. Mech. Its Appl. 2014, 413, 373–384. [Google Scholar] [CrossRef]
- Heine, B. The Mountain People: Some notes on the Ik of North-Eastern Uganda. Afr. J. Int. Afr. Inst. 1985, 55, 3–16. [Google Scholar] [CrossRef]
- Beidelman, T.O. Review of Colin M. Turnbull’s The Mountain People. Afr. J. Int. Afr. Inst. 1973, 43, 170–171. [Google Scholar] [CrossRef]
- Luo, H.Y.; Chen, Y.G. An allometric algorithm for fractal-based Cobb-Douglas function of geographical systems. Discret. Dyn. Nat. Soc. 2014, 2014, 910457. [Google Scholar] [CrossRef]
- Cannon, T.; Jenkins, A. The Geography of Contemporary China: The Impact of Deng Xiaoping’s Decade; Routledge: London, UK, 1990. [Google Scholar]
- Yang, D.L. Calamity and Reform in China: State, Rural Society, and Institutional Change since the Great Leap Famine; Stanford University Press: Redwood, CA, USA, 1998. [Google Scholar]
- Albeverio, S.; Andrey, D.; Giordano, P.; Vancheri, A. The Dynamics of Complex Urban Systems: An Interdisciplinary Approach; Physica-Verlag: Berlin/Heidelberg, Germany, 2008. [Google Scholar]
- Batty, M. Cities and Complexity: Understanding Cities with Cellular Automata, Agent-Based Models, and Fractals; MIT Press: London, UK, 2005. [Google Scholar]
- Batty, M. The New Science of Cities; MIT Press: Cambridge, MA, USA, 2013. [Google Scholar]
- Bertuglia, C.S.; Bianchi, G.; Mela, A. The City and Its Sciences; Physica–Verlag: Berlin/Heidelberg, Germany, 1998. [Google Scholar]
- Wilson, A.G. Complex Spatial Systems: The Modelling Foundations of Urban and Regional Analysis; Pearson Education Asia: Singapore, 2000. [Google Scholar]
- Allen, P.M. Cities and Regions as Self-Organizing Systems: Models of Complexity; Gordon and Breach Science Publishers: Amsterdam, The Netherlands, 1997. [Google Scholar]
- Batty, M.; Xie, Y. Self-organized criticality and urban development. Discret. Dyn. Nat. Soc. 1999, 3, 109–124. [Google Scholar] [CrossRef]
- Haken, H.; Portugali, J. A synergetic approach to the self-organization of cities and settlements. Environ. Plan. B Plan. Des. 1995, 22, 35–46. [Google Scholar] [CrossRef]
- Portugali, J. Self-Organization and the City; Springer: Berlin/Heidelberg, Germany, 2000. [Google Scholar]
- Anderson, C.; Rasmussen, S.; White, R. Urban settlement transitions. Environ. Plan. B Plan. Des. 2002, 29, 841–865. [Google Scholar] [CrossRef]
- Sanders, L.; Pumain, D.; Mathian, H.; Guérin-Pace, F.; Bura, S. SIMPOP: A mulitiagent system for the study of urbanism. Environ. Plan. B Plan. Des. 1997, 24, 287–305. [Google Scholar] [CrossRef]
- Bak, P. How Nature Works: The Science of Self-Organized Criticality; Springer-Verlag: New York, NY, USA, 1996. [Google Scholar]
- Stanley, H.E. Introduction to Phase Transitions and Critical Phenomena; Oxford University Press: New York, NY, USA, 1971. [Google Scholar]
- Yeomans, J.M. Statistical Mechanics of Phase Transitions; Oxford University Press: London, UK, 1992. [Google Scholar]
- Chen, Y.G. Fractal dimension evolution and spatial replacement dynamics of urban growth. Chaos Solitons Fractals 2012, 45, 115–124. [Google Scholar] [CrossRef]
- Rao, D.N.; Karmeshu; Jain, V.P. Dynamics of urbanization: The empirical validation of the replacement hypothesis. Environ. Plan. B Plan. Des. 1989, 16, 289–295. [Google Scholar] [CrossRef]
- Jiang, B.; Miao, Y. The evolution of natural cities from the perspective of location-based social media. Prof. Geogr. 2015, 67, 295–306. [Google Scholar] [CrossRef]
- Jiang, B.; Yin, J.; Liu, Q. Zipf’s law for all the natural cities around the world. Int. J. Geogr. Inf. Sci. 2015, 29, 498–522. [Google Scholar] [CrossRef]
- Batten, D. On the dynamics of industrial evolution. Reg. Sci. Urban Econ. 1982, 12, 449–462. [Google Scholar] [CrossRef]
- Fisher, J.C.; Pry, R.H. A simple substitution model for technological change. Technol. Forecast. Soc. Change 1971, 3, 75–88. [Google Scholar] [CrossRef]
- Hermann, R.; Montroll, E.W. A manner of characterizing the development of countries. PNAS 1972, 69, 3019–3024. [Google Scholar] [CrossRef]
- Karmeshu; Bhargava, S.C.; Jain, V.P. A rationale for law of technological substitution. Reg. Sci. Urban Econ. 1985, 15, 137–141. [Google Scholar]
- Montroll, E.W. Social dynamics and the quantifying of social forces. PNAS 1978, 75, 4633–4637. [Google Scholar] [CrossRef]
- Martin, G.J. All Possible Worlds: A History of Geographical Ideas, 4th ed.; Oxford University Press: New York, NY, USA, 2005. [Google Scholar]
- Swaffield, S. Theory in Landscape Architecture: A Reader; University of Pennsylvania Press: Philadelphia, PA, USA, 2002. [Google Scholar]
- Yu, K.J. The Art of Survival; Architecture & Building Press: Beijing, China, 2006; (In Chinese and English). [Google Scholar]
- Diebold, F.X. Elements of Forecasting, 3rd ed.; Thomson: Mason, OH, USA, 2004. [Google Scholar]
- Kleinbaum, D.G.; Kupper, L.L.; Muller, K.E.; Nizam, A. Applied Regression Analysis and Other Multivariable Methods, 3rd ed.; Thomson-Brooks: Pacific Grove, CA, USA, 1998. [Google Scholar]
- Waldrop, M. Complexity: The Emerging of Science at the Edge of Order and Chaos; Simon and Schuster: New York, NY, USA, 1992. [Google Scholar]
- Rozenfeld, H.D.; Rybski, D.; Andrade, D.S., Jr.; Batty, M.; Stanley, H.E.; Makse, H.A. Laws of population growth. PNAS 2008, 105, 18702–18707. [Google Scholar] [CrossRef]
- Rozenfeld, H.D.; Rybski, D.; Gabaix, X.; Makse, H.A. The area and population of cities: New insights from a different perspective on cities. Am. Econ. Rev. 2011, 101, 2205–2225. [Google Scholar] [CrossRef]
- Tannier, C.; Thomas, I.; Vuidel, G.; Frankhauser, P. A fractal approach to identifying urban boundaries. Geogr. Anal. 2011, 43, 211–227. [Google Scholar] [CrossRef]
- Jiang, B.; Jia, T. Zipf’s law for all the natural cities in the United States: A geospatial perspective. Int. J. Geogr. Inf. Sci. 2011, 25, 1269–1281. [Google Scholar] [CrossRef]
- Chen, Y.G. Logistic models of fractal dimension growth of urban morphology. Fractals 2018, 26, 1850033. [Google Scholar] [CrossRef]
- Chen, Y.G. An allometric scaling relation based on logistic growth of cities. Chaos Solitons Fractals 2014, 65, 65–77. [Google Scholar] [CrossRef]






| Event | Time | Related Concept | Consequence |
|---|---|---|---|
| The May 4th Movement | 1919 | New Culture Movement | Reconsider Chinese traditional culture |
| Great Leap Forward | 1958–1960 | The People’s Commune Movement | Environmental and ecological destruction |
| Great Cultural Revolution | 1966–1976 | Ten Chaotic Years | Environmental and cultural destruction |
| South Tour Speeches | 1992 | Reform and Opening-up | Geographical environmental destruction |
| Fast Urbanization | Recent years | House Demolition and City-Making Movement | Geographical environmental destruction |
| Urbanization | Replacement | Model | Feature |
|---|---|---|---|
| Natural urbanization | Natural replacement | Logistic function | Gradual change |
| Fast urbanization | Fast replacement | Quadratic logistic function | Rapid change |
| Dismantlement/movement | Step replacement | Unit-step function | Sudden change |
| Relation | Ikization Measure | Function | Model |
|---|---|---|---|
| Linear relation | Metric variable | Linear function | |
| Nonlinear relation | Metric variable | Production function | |
| Dummy variable | Logistic function |
| Year | Time | Capacity Dimension | Goodness-of-Fit | Information Dimension | Goodness-of-Fit | Correlation Dimension | Goodness-of-Fit |
|---|---|---|---|---|---|---|---|
| n | t | D0 | R2 | D1 | R2 | D2 | R2 |
| 1984 | 0 | 1.7412 | 0.9908 | 1.6189 | 0.9978 | 1.5701 | 0.9898 |
| 1988 | 4 | 1.7381 | 0.9937 | 1.6328 | 0.9958 | 1.5975 | 0.9884 |
| 1989 | 5 | 1.7921 | 0.9933 | 1.6889 | 0.9994 | 1.6453 | 0.9950 |
| 1991 | 7 | 1.7979 | 0.9941 | 1.6967 | 0.9986 | 1.6594 | 0.9939 |
| 1992 | 8 | 1.7853 | 0.9957 | 1.6925 | 0.9985 | 1.6605 | 0.9947 |
| 1994 | 10 | 1.8313 | 0.9958 | 1.7600 | 0.9998 | 1.7268 | 0.9977 |
| 1995 | 11 | 1.8527 | 0.9960 | 1.7664 | 0.9996 | 1.7312 | 0.9969 |
| 1996 | 12 | 1.8470 | 0.9967 | 1.7634 | 0.9994 | 1.7296 | 0.9965 |
| 1998 | 14 | 1.8501 | 0.9967 | 1.7686 | 0.9995 | 1.7361 | 0.9971 |
| 1999 | 15 | 1.8718 | 0.9973 | 1.7983 | 0.9996 | 1.7706 | 0.9978 |
| 2001 | 17 | 1.8880 | 0.9978 | 1.8195 | 0.9998 | 1.7926 | 0.9985 |
| 2006 | 22 | 1.9221 | 0.9987 | 1.8677 | 0.9999 | 1.8445 | 0.9997 |
| 2009 | 25 | 1.9367 | 0.9991 | 1.8905 | 0.9999 | 1.8711 | 0.9999 |
| 2014 | 30 | 1.9754 | 0.9997 | 1.9272 | 0.9999 | 1.9068 | 1.0000 |
| 2018 | 34 | 1.9823 | 0.9998 | 1.9386 | 0.9999 | 1.9194 | 1.0000 |
| Parameter | Capacity Dimension D0 | Information Dimension D1 | Correlation Dimension D2 |
|---|---|---|---|
| Order of time | 2 | 2 | 2 |
| Fractal dimension capacity Dmax | 1.9925 | 1.9485 | 1.9294 |
| Inherent growth rate k | 0.0529 | 0.0550 | 0.0556 |
| Coefficient Dmax/D0-1 | 0.1286 | 0.1743 | 0.1920 |
| Goodness-of-fit R2 | 0.9835 | 0.9902 | 0.9918 |
| Type | Parameter | Meaning | Value |
|---|---|---|---|
| Rural population | a | Rural natural growth rate | 0.375 |
| b | Rural-urban coupling strength | 2, 2.65, 2.95, 3.25 | |
| Urban population | c | Urban natural growth rate | 2, 2.65, 2.95, 3.25 |
| d | Urban-rural coupling strength | 0.005 |
Disclaimer/Publisher’s Note: The statements, opinions and data contained in all publications are solely those of the individual author(s) and contributor(s) and not of MDPI and/or the editor(s). MDPI and/or the editor(s) disclaim responsibility for any injury to people or property resulting from any ideas, methods, instructions or products referred to in the content. |
© 2023 by the authors. Licensee MDPI, Basel, Switzerland. This article is an open access article distributed under the terms and conditions of the Creative Commons Attribution (CC BY) license (https://creativecommons.org/licenses/by/4.0/).
Share and Cite
Ye, L.; Chen, Y.; Long, Y. Exploring the Relationship between Urbanization and Ikization. Sustainability 2023, 15, 9622. https://doi.org/10.3390/su15129622
Ye L, Chen Y, Long Y. Exploring the Relationship between Urbanization and Ikization. Sustainability. 2023; 15(12):9622. https://doi.org/10.3390/su15129622
Chicago/Turabian StyleYe, Lü, Yanguang Chen, and Yuqing Long. 2023. "Exploring the Relationship between Urbanization and Ikization" Sustainability 15, no. 12: 9622. https://doi.org/10.3390/su15129622
APA StyleYe, L., Chen, Y., & Long, Y. (2023). Exploring the Relationship between Urbanization and Ikization. Sustainability, 15(12), 9622. https://doi.org/10.3390/su15129622

