Sustainable Dyeing Process for Nylon 6 Fabrics by Rhubarb Flower Using Different Bio-Mordants
Abstract
1. Introduction
2. Experimental Section
2.1. Materials
2.2. Dye and Bio-Mordant Extraction
2.3. Pre-Mordanting
2.4. Dyeing Process
2.5. Color Measurement
2.6. Color Fastness
3. Results and Discussion
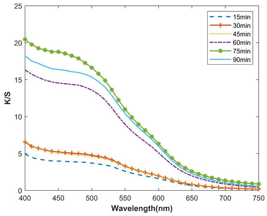
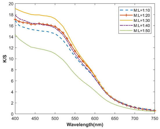
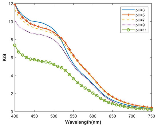
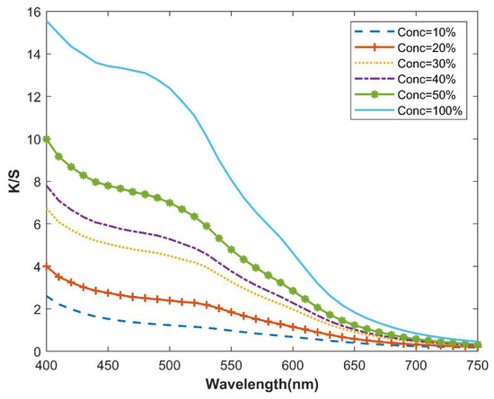
3.1. Dyeing Parameters Optimization




3.2. Statistical Analysis
3.3. Effect of Mordanting on Color Strength
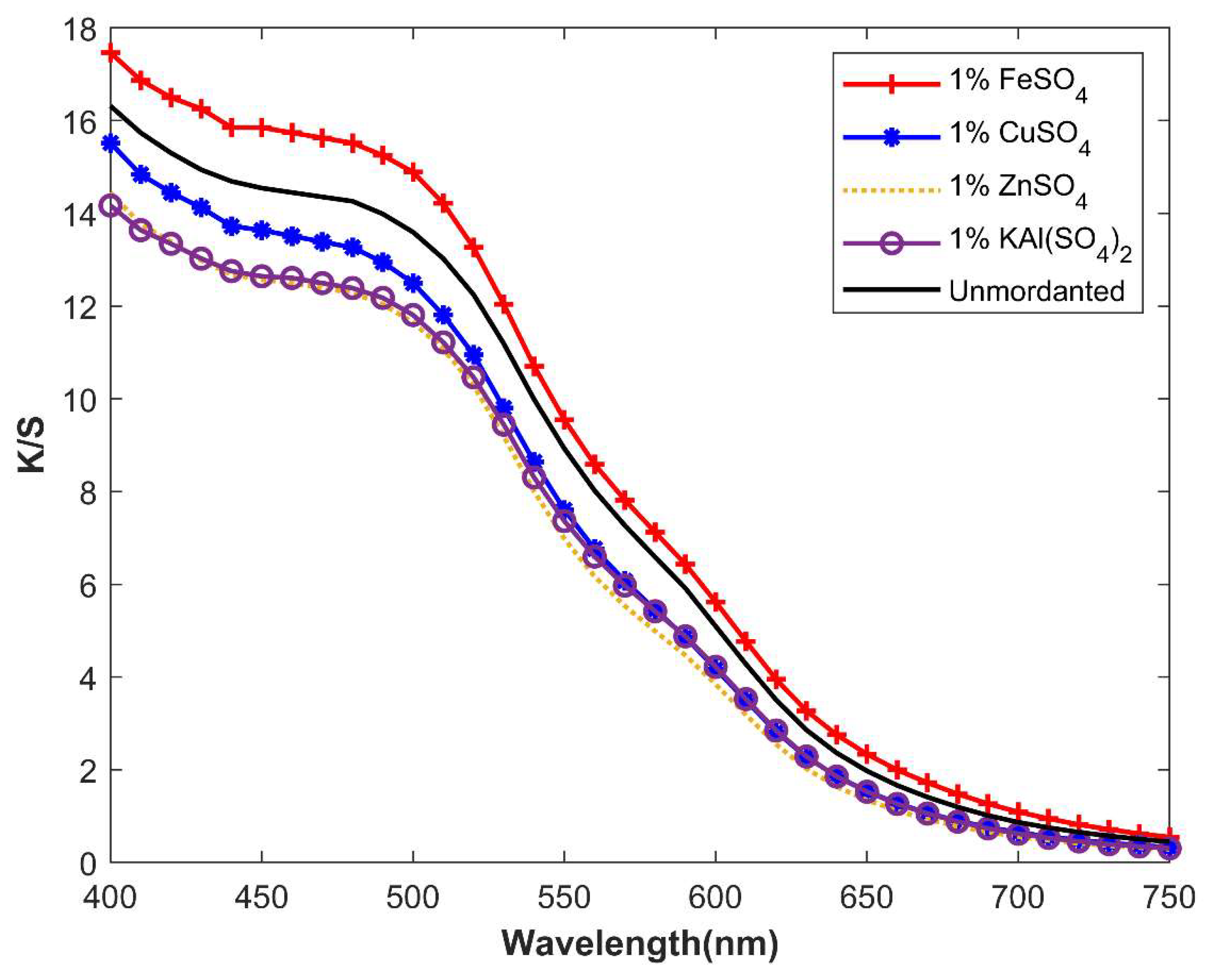
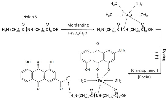
3.3.1. Effect of Metal Mordants


3.3.2. Effect of Bio-Mordants

3.4. Color Coordinates of Mordanted Samples


3.5. Evaluation of Color Fastness
4. Conclusions
Author Contributions
Funding
Data Availability Statement
Conflicts of Interest
References
- Buyukakinci, Y.B.; Guzel, E.T.; Karadag, R. Organic cotton fabric dyed with dyer’s oak and barberry dye by microwave irradiation and conventional methods. Ind. Text. 2021, 72, 30–38. [Google Scholar] [CrossRef]
- Kiran, S.; Hassan, A.; Adeel, S.; Qayyum, M.A.; Yousaf, M.S.; Abdullah, M.; Habib, N. Green dyeing of microwave treated silk using coconut coir based tannin natural dye. Ind. Text. 2020, 71, 227–234. [Google Scholar] [CrossRef]
- Haji, A.; Qavamnia, S.S.; Nasiriboroumand, M. The use of D-optimal design in optimization of wool dyeing with Juglans regia bark. Ind. Text. 2018, 69, 104–110. [Google Scholar] [CrossRef]
- Vadood, M.; Haji, A. A hybrid artificial intelligence model to predict the color coordinates of polyester fabric dyed with madder natural dye. Expert Syst. Appl. 2022, 193, 116514. [Google Scholar] [CrossRef]
- Haji, A.; Vadood, M. Environmentally Benign Dyeing of Polyester Fabric with Madder: Modelling by Artificial Neural Network and Fuzzy Logic Optimized by Genetic Algorithm. Fiber. Polym. 2021, 22, 3351–3357. [Google Scholar] [CrossRef]
- Liman, M.L.R.; Islam, M.T.; Hossain, M.M.; Sarker, P. Sustainable Dyeing Mechanism of Polyester with Natural Dye Extracted from Watermelon and Their UV Protective Characteristics. Fiber. Polym. 2020, 21, 2301–2313. [Google Scholar] [CrossRef]
- Lara, L.; Cabral, I.; Cunha, J. Ecological Approaches to Textile Dyeing: A Review. Sustainability 2022, 14, 8353. [Google Scholar] [CrossRef]
- Militký, J.; Venkataraman, M.; Mishra, R. The chemistry, manufacture, and tensile behavior of polyamide fibers. In Handbook of Properties of Textile and Technical Fibres, 2nd ed.; Bunsell, A.R., Ed.; Woodhead Publishing: Cambridge, UK, 2018; pp. 367–419. [Google Scholar] [CrossRef]
- Gupta, D.; Gulrajani, M.; Kumari, S. Light fastness of naturally occurring anthraquinone dyes on nylon. Color. Technol. 2004, 120, 205–212. [Google Scholar] [CrossRef]
- Sadeghi-Kiakhani, M. Eco-friendly dyeing of wool and nylon using madder as a natural dye: Kinetic and adsorption isotherm studies. Int. J. Environ. Sci. Technol. 2015, 12, 2363–2370. [Google Scholar] [CrossRef]
- Haji, A.; Mousavi Shoushtari, A.; Mirafshar, M. Natural dyeing and antibacterial activity of atmospheric-plasma-treated nylon 6 fabric. Color. Technol. 2014, 130, 37–42. [Google Scholar] [CrossRef]
- Shams-Nateri, A.; Hajipour, A.; Dehnavi, E.; Ekrami, E. Colorimetric Study on Polyamides Dyeing With Weld and Pomegranate Peel Natural Dyes. Cloth. Text. Res. J. 2014, 32, 124–135. [Google Scholar] [CrossRef]
- Mirjalilia, M.; Karimib, L.; Paydara, H.; Chizarifarda, G. Effect of henna natural dye on antibacterial properties of dyed nylon fabric with various mordants. Iran. J. Org. Chem 2014, 6, 1389–1395. [Google Scholar]
- Miah, M.R.; Hossain, M.; Dipto, A.; Telegin, F.; Quan, H. Eco-dyeing of Nylon Fabric Using Natural Dyes Extracted from Onion Outer Shells: Assessment of the Effect of Different Mordant on Color and Fastness Properties. Int. J. Sci. Eng. Res. 2016, 7, 1030–1042. [Google Scholar]
- Elnagar, K.; Abou Elmaaty, T.; Raouf, S. Dyeing of polyester and polyamide synthetic fabrics with natural dyes using ecofriendly technique. J. Text. 2014, 2014, 363079. [Google Scholar] [CrossRef]
- Vuthiganond, N.; Nakpathom, M.; Somboon, B.; Narumol, N.; Rungruangkitkrai, N.; Mongkholrattanasit, R. Dyeing properties of nylon fabrics with mangrove bark extract via mordanting methods. Mater. Sci. Forum 2016, 857, 495–498. [Google Scholar]
- Vadwala, Y.; Kola, N. Dyeing on nylon fabric with natural dye extracted from waste leaves of Terminalia catappa locally known as tropical almond tree. Int. J. Home Sci. 2017, 3, 175–181. [Google Scholar]
- Kabir, S.M.M.; Dhar, A.K.; Bhattacharjee, M. The use of natural Areca catechu dyes for silk and nylon and its halochromic effect. J. Text. Inst. 2020, 111, 882–889. [Google Scholar] [CrossRef]
- Adeel, S.; Hasan, M.u.; Batool, F.; Ozomay, M.; Hosseinnezhad, M.; Amin, N.; Hussaan, M. Eco-friendly bio-dyeing of bio-treated nylon fabric using Esfand (P. harmala) based yellow natural colorant. J. Eng. Fibers Fabr. 2022, 17, 15589250221091265. [Google Scholar] [CrossRef]
- Haji, A.; Shahmoradi Ghaheh, F.; Mohammadi, L. Dyeing of polyamide 6 fabric with new bio-colorant and bio-mordants. Environ. Sci. Pollut. Res. 2022, 30, 37981–37996. [Google Scholar] [CrossRef]
- Khan, S.A.; Ahmad, A.; Khan, M.I.; Yusuf, M.; Shahid, M.; Manzoor, N.; Mohammad, F. Antimicrobial activity of wool yarn dyed with Rheum emodi L. (Indian Rhubarb). Dye. Pigment. 2012, 95, 206–214. [Google Scholar] [CrossRef]
- Khan, S.A.; Shahid-ul-Islam; Shahid, M.; Khan, M.I.; Yusuf, M.; Rather, L.J.; Khan, M.A.; Mohammad, F. Mixed metal mordant dyeing of wool using root extract of Rheum emodi (Indian Rhubarb/Dolu). J. Nat. Fibers 2015, 12, 243–255. [Google Scholar] [CrossRef]
- Ali, N.; Elkatibe, E.; Elmohamedy, R.; Nassar, S.; Elshemy, N. Dyeing properties of wool fibers dyed with rhubarb as natural dye via ultrasonic and conventional methods. Egypt. J. Chem. 2019, 62, 119–130. [Google Scholar]
- Ahmed, N.; Nassar, S.; El-Shishtawy, R.M. Novel green coloration of cotton fabric. Part I: Bio-mordanting and dyeing characteristics of cotton fabrics with madder, Alkanet, Rhubarb and Curcumin Natural Dyes. Egypt. J. Chem. 2020, 63, 1605–1617. [Google Scholar]
- Singh, N.P.; Gupta, A.P.; Sinha, A.K.; Ahuja, P.S. High-performance thin layer chromatography method for quantitative determination of four major anthraquinone derivatives in Rheum emodi. J. Chromatogr. A 2005, 1077, 202–206. [Google Scholar] [CrossRef]
- Ansari, B.; Mehrizi, M.K.; Haji, A. Dyeing of Oxygen Plasma Treated Wool Fibers with Rhuem ribes L. Flowers. J. Color Sci. Technol. 2015, 9, 135–143. [Google Scholar]
- Xiang, H.; Zuo, J.; Guo, F.; Dong, D. What we already know about rhubarb: A comprehensive review. Chin. Med. 2020, 15, 88. [Google Scholar] [CrossRef]
- ISO 105-C06:2010; Textiles—Tests for Colour Fastness—Part C06: Colour Fastness to Domestic and Commercial Laundering. ISO: Geneva, Switzerland, 2010.
- ISO 105-B02:2013; Textiles—Tests for Colour Fastness—Part B02: Colour Fastness to Artificial Light: Xenon Arc Fading Lamp Test. ISO: Geneva, Switzerland, 2013.
- Roy, S.; Ghosh, S.; Bhowmick, N.; Roychoudhury, P. Study the effect of denier and fiber cut length on zeta potential of nylon and polyester fibers for sustainable dyeing process. J. Environ. Res. Dev. 2016, 11, 392. [Google Scholar]
- Mirnezhad, S.; Safapour, S.; Sadeghi-Kiakhani, M. Dual-mode adsorption of cochineal natural dye on wool fibers: Kinetic, equilibrium, and thermodynamic studies. Fibers Polym. 2017, 18, 1134–1145. [Google Scholar] [CrossRef]
- Sadeghi-Kiakhani, M.; Tehrani-Bagha, A.R.; Gharanjig, K.; Hashemi, E. Use of pomegranate peels and walnut green husks as the green antimicrobial agents to reduce the consumption of inorganic nanoparticles on wool yarns. J. Clean. Prod. 2019, 231, 1463–1473. [Google Scholar] [CrossRef]
- Tayade, P.B.; Adivarekar, R.V. Dyeing of cotton fabric with Cuminum cyminum L. as a natural dye and its comparison with synthetic dye. J. Text. Inst. 2013, 104, 1080–1088. [Google Scholar] [CrossRef]
- Nnorom, O.O.; Anyanwu, P.I.; Oguzie, C.K.; Okonkwo, S.D. Inhibitive Effect of NaCl and Citric Acid on the Colour Yield of Acid Dye on Nylon Fabric. J. Text. Sci. Technol. 2019, 6, 49–58. [Google Scholar] [CrossRef]
- Yang, Y. Effect of Salts on Physical Interactions in Wool Dyeing with Acid Dyes. Text. Res. J. 1998, 68, 615–620. [Google Scholar] [CrossRef]
- Chakraborty, J.N. 18—Dyeing with disperse dye. In Fundamentals and Practices in Colouration of Textiles; Chakraborty, J.N., Ed.; Woodhead Publishing: New Delhi, India, 2010; pp. 192–201. [Google Scholar] [CrossRef]
- Haji, A.; Rahimi, M. RSM Optimization of Wool Dyeing with Berberis thunbergii DC Leaves as a New Source of Natural Dye. J. Nat. Fibers 2022, 19, 2785–2798. [Google Scholar] [CrossRef]
- Shabbir, M.; Islam, S.U.; Bukhari, M.N.; Rather, L.J.; Khan, M.A.; Mohammad, F. Application of Terminalia chebula natural dye on wool fiber—Evaluation of color and fastness properties. Text. Cloth. Sustain. 2016, 2, 1. [Google Scholar] [CrossRef]
- Shabbir, M.; Rather, L.J.; Shahid-ul, I.; Bukhari, M.N.; Shahid, M.; Khan, M.A.; Mohammad, F. An eco-friendly dyeing of woolen yarn by Terminalia chebula extract with evaluations of kinetic and adsorption characteristics. J. Adv. Res. 2016, 7, 473–482. [Google Scholar] [CrossRef]
- Räisänen, R.; Nousiainen, P.; Hynninen, P.H. Emodin and Dermocybin Natural Anthraquinones as Mordant Dyes for Wool and Polyamide. Text. Res. J. 2001, 71, 1016–1022. [Google Scholar] [CrossRef]
- Bukhari, M.N.; Shahid-ul-Islam; Shabbir, M.; Rather, L.J.; Shahid, M.; Singh, U.; Khan, M.A.; Mohammad, F. Dyeing studies and fastness properties of brown naphtoquinone colorant extracted from Juglans regia L. on natural protein fiber using different metal salt mordants. Text. Cloth. Sustain. 2017, 3, 3. [Google Scholar] [CrossRef]
- Jahanban-Esfahlan, A.; Ostadrahimi, A.; Tabibiazar, M.; Amarowicz, R. A comprehensive review on the chemical constituents and functional uses of walnut (Juglans spp.) husk. Int. J. Mol. Sci. 2019, 20, 3920. [Google Scholar] [CrossRef] [PubMed]
- Hosseinnezhad, M.; Gharanjig, K.; Jafari, R.; Imani, H.; Razani, N. Cleaner colorant extraction and environmentally wool dyeing using oak as eco-friendly mordant. Environ. Sci. Pollut. Res. 2021, 28, 7249–7260. [Google Scholar] [CrossRef]





| Dyeing Parameter | T Statistic | Degree of Freedom | p-Value (Significance) |
|---|---|---|---|
| Dye bath pH | 11.6270 | 2 | 3.1 × 10−4 |
| Dyeing Temperature | 2.2589 | 3 | 0.1090 |
| Dye Concentration | 3.8582 | 5 | 0.0119 |
| M:L ratio | 19.1920 | 4 | 4.3 × 10−5 |
| Dyeing Time | 4.1610 | 5 | 0.0088 |
| Mordants | L* | a* | b* | K/S (λmax) | ΔE |
|---|---|---|---|---|---|
| Unmordanted | 29.2 | 16.17 | 14.32 | 15.7 | Control sample |
| Zn | 29.75 | 17.35 | 15.37 | 15.3 | 1.7 |
| Cu | 29.45 | 17.38 | 16.18 | 16.87 | 2.2 |
| Fe | 28.03 | 15.15 | 13.92 | 16.87 | 1.6 |
| Al | 31.04 | 18.07 | 17.1 | 15.3 | 3.8 |
| Pistachio hull | 29.67 | 17.52 | 15.66 | 16.07 | 1.9 |
| Walnut husk | 26.64 | 15.1 | 13.52 | 18.77 | 2.8 |
| Green coffee | 31.47 | 16.89 | 15.76 | 13.94 | 2.7 |
| Pinecone | 27.19 | 16.86 | 14.55 | 18.62 | 2.1 |
| Mordant Type | Wash Fastness | Light Fastness | ||
|---|---|---|---|---|
| Color Change | Stain on Nylon 6 | Stain on Cotton | ||
| Unmordanted | 3 | 4 | 4 | 2 |
| Zn | 5 | 5 | 5 | 8 |
| Cu | 5 | 5 | 5 | 8 |
| Fe | 5 | 5 | 5 | 8 |
| Al | 5 | 5 | 5 | 8 |
| Pistachio hull | 5 | 5 | 5 | 8 |
| Walnut husk | 5 | 5 | 5 | 8 |
| Green coffee | 5 | 5 | 5 | 8 |
| Pinecone | 5 | 5 | 5 | 8 |
Disclaimer/Publisher’s Note: The statements, opinions and data contained in all publications are solely those of the individual author(s) and contributor(s) and not of MDPI and/or the editor(s). MDPI and/or the editor(s) disclaim responsibility for any injury to people or property resulting from any ideas, methods, instructions or products referred to in the content. |
© 2023 by the authors. Licensee MDPI, Basel, Switzerland. This article is an open access article distributed under the terms and conditions of the Creative Commons Attribution (CC BY) license (https://creativecommons.org/licenses/by/4.0/).
Share and Cite
Shahmoradi Ghaheh, F.; Haji, A.; Daneshvar, E. Sustainable Dyeing Process for Nylon 6 Fabrics by Rhubarb Flower Using Different Bio-Mordants. Sustainability 2023, 15, 9232. https://doi.org/10.3390/su15129232
Shahmoradi Ghaheh F, Haji A, Daneshvar E. Sustainable Dyeing Process for Nylon 6 Fabrics by Rhubarb Flower Using Different Bio-Mordants. Sustainability. 2023; 15(12):9232. https://doi.org/10.3390/su15129232
Chicago/Turabian StyleShahmoradi Ghaheh, Fatemeh, Aminoddin Haji, and Elaheh Daneshvar. 2023. "Sustainable Dyeing Process for Nylon 6 Fabrics by Rhubarb Flower Using Different Bio-Mordants" Sustainability 15, no. 12: 9232. https://doi.org/10.3390/su15129232
APA StyleShahmoradi Ghaheh, F., Haji, A., & Daneshvar, E. (2023). Sustainable Dyeing Process for Nylon 6 Fabrics by Rhubarb Flower Using Different Bio-Mordants. Sustainability, 15(12), 9232. https://doi.org/10.3390/su15129232

