Abstract
Striped catfish Pangasianodon hypopthalmus (Sauvage, 1878) is a flagship catfish species of the Mekong River region, a commercially valuable food fish that is important in freshwater fisheries, and a popular aquaculture species in many Asian countries. The species was assessed as “Endangered” by the International Union for Conservation of Nature (IUCN) due to range contraction and declining abundance, though the status of the species’ wild population in Cambodia, a critical habitat for the species, is not well understood. Here, we assess the population status of the striped catfish in Cambodia using multiple sources, including time-series catch data and length frequency distribution data from a commercial fishery (stationary trawl bagnet or dai) operated in the Tonle Sap River from 1998/99 to 2017/18 and larval drift data monitored in the Mekong River in Phnom Penh from 2004 to 2018. We found that there was a significant decline (R2 = 0.54, p = 0.0002) in the catch (metric tonnes) of the striped catfish from the commercial dai fishery over the last two decades. Similarly, length-based indicator analysis indicates that striped catfish mean length and abundance have both declined over the study period, raising concerns about the sustainability of river catfish fisheries. Moreover, long-term larval drift monitoring in Mekong River shows that there was a marginally significant decline in the quantity of striped catfish larvae/juvenile drifting downstream to the lower floodplain over the last decade. Changes in flood index (extent and duration of flood) in the Tonle Sap floodplain affected by the Mekong’s flow are likely key factors driving the decline of the wild populations of the striped catfish. Both larval fish abundance and floodplain fish harvests have a significant positive relationship with Mekong flow and flood extent. Indiscriminate fishing exacerbates pressures on striped catfish stocks. Therefore, actions such as maintaining natural seasonal flows (flood timing, extent, and duration) to the Tonle Sap floodplain and protecting migratory fish stocks from overharvest and habitat fragmentation are essential to the persistence of stocks of striped catfish and other large-bodied migratory fishes that utilize both the Cambodian Mekong and Tonle Sap floodplains.
1. Introduction
The Mekong River, the largest river in Southeast Asia, lies within the Indo-Burma biodiversity hotspot [1,2,3,4,5] and supports one of the most diverse fish faunas in the world [6,7]. Moreover, it sustains many threatened fish species, including critically endangered (e.g., giant barb Catlocarpio siamensis, Mekong giant catfish Pangasianodon gigas, seven-striped barb Probarbus jullieni, giant salmon carp Aatosyax grypus, etc.) and endangered (e.g., striped catfish Pangasianodon hypopthalmus, giant stingray Urogymnus polylepis, etc.) fishes [8]. In addition, the Mekong River supports many migratory fishes, including Pangasiid catfishes [9,10,11,12]. Connectivity between the main river and the floodplain as well as the seasonal flood pulse is very important to maintain both fish biodiversity and ecosystem productivity. Fish larvae and juveniles of more than one hundred species drift downstream from spawning grounds in the upper Cambodian Mekong River system into the lower floodplain areas (nursery grounds) of the Tonle Sap River (TSR) and Tonle Sap Lake (TSL) [13,14,15].
The striped catfish (Figure 1), Pangasianodon hypophthalmus (Sauvage, 1878) is a large-bodied, long-distance migratory catfish occurring in the Mekong and Chao Phraya basins [4,15,16,17]. The striped catfish is a commercially important fish species, and one of the most popular aquaculture species in many countries in Asia [15,18,19]. Adult striped catfishes migrate in the Mekong upstream to spawn at the beginning of the flood season [20]. The species spawns from May to August (with peak spawning time in late June and early July) in the upper Cambodian Mekong River between the Khone Falls and Kratie [10,21]. Previous studies documented the ecology of the striped catfish in the Lower Mekong Basin (LMB), e.g., temporal changes in body size in the TSR [11], life history using otolith [10], distribution and abundance trends in Cambodia and Vietnam [19], population genetic diversity and migration [22,23,24], larval and juvenile community in the LMB [25], and fish larvae monitoring and wild fry collection in the Cambodian Mekong River [18,26]. However, no quantitative assessments of the population status of the striped catfish in the lower Mekong River exist.
Figure 1.
Developmental stages of wild striped catfish: (a) striped catfish larva aged 3 days, 0.5 mm, (b) striped catfish juvenile aged 35 days, 87.0 mm in total length (TL), and (c) adult striped catfish with 570 mm in total length (TL).
Historically, striped catfish were highly abundant, but over the last several decades, populations declined, especially in the Chao Phraya River, and the Thai and Lao sections of the Mekong River, where the species is rarely observed outside of freshwater conservation areas. In Cambodia, the striped catfish was once a common catch and a dominant species in both the Tonle Sap floodplain and the Mekong River [15,18]. Anecdotal evidence suggests that wild stocks of both adult and juvenile striped catfish in Cambodia also declined significantly [15]. In the 1990s and early 2000s, millions of striped catfish larvae and juveniles from the Mekong and Bassac rivers were collected every year using small meshbag nets to supply pond and cage culture in Vietnam [18]. It is believed such practices contributed to the decline in wild striped catfish populations [14,18,20]. The decline of the striped catfish was also associated with hydropower development, habitat fragmentation, water quality degradation, and overfishing [11,15,18].
The striped catfish is listed as “Endangered” in the International Union for Conservation of Nature (IUCN) Red List in 2011 [15]. However, this assessment was based on unpublished data from fishers’ opinion surveys and on expert judgment over the last 20 years [15]. In this study, we aim to assess the species population status of striped catfish using quantitative data by examining long-term changes in catch, length distribution, and recruitment in order to provide quantitative evidence about the species’ wild population trends in the Cambodian Mekong River System. Specifically, the study (1) assesses the catch trends of the striped catfish using the long-term catch monitoring data of the commercial-scale stationary trawl bag net (dai) fishery operated in the Tonle Sap River, (2) examines long-term trends in the length distribution of the striped catfish recorded at the dai fishery in the Tonle Sap River, (3) investigates long-term changes in the abundance of striped catfish larvae and juveniles drifting downstream in the Mekong River in Phnom Penh, Cambodia, and (4) identifies key factors shaping the variability in the striped catfish catches at the Tonle Sap dai fishery. The study is expected to provide essential knowledge and insights about the status of wild striped catfish populations to better support fisheries’ monitoring, management, and conservation planning.
2. Materials and Methods
2.1. Study Area
The study was implemented in the Lower Mekong River system along the Mekong and Tonle Sap rivers in Phnom Penh Municipality and Kandal Province, Cambodia (Figure 2). The Tonle Sap River connects Mekong River with the TSL, situated northwest about 130 km of its junction with Mekong [5]. The TSL is a key part of the Mekong hydrological system and is the largest freshwater wetland in Southeast Asia [5]. More than one million people depend on agriculture and fisheries around the TSL and its wetlands, including the TSR [27]. TSR and TSL fisheries are an essential source of food in Cambodia and the region [27]. During the rainy season (May to October), the water flows into the TSL due to the Mekong River’s increasing water levels. In contrast, in the dry season (November to April), the TSR changes its flow direction back to the Mekong River as a result of the Mekong River’s receding water levels. Hence, seasonal changes in water flow and the associated flood pulse are essential to providing an abundant food source for fish and the fishers who depend directly on fish resources [5].
Figure 2.
Location of dai fishery in Tonle Sap River and fish larvae monitoring site in Mekong River.
2.2. Data Collection
2.2.1. Dai Fishery Data: Striped Catfish Catch and Length Distribution Data
The dai fishery is the largest, century old, commercial fishery in the LMB. The fishery consists of multiple rows of stationary bag nets. Nets face upstream to catch fish migrating from the TSL and its surrounding floodplains back to the Mekong River in the dry season. The Mekong River Commission (MRC), in partnership with the Inland Fisheries Research and Development Institute (IFReDI) of the Cambodian Fisheries Administration, continues its assessment of the catches of dai fishery, which began in the mid-1990s. Monthly and seasonal catch data (kg) by species from 1998/99 to 2017/18 and length distribution (cm) of striped catfish from the 1998/99 to 2018/19 fishing seasons were made available by the IFReDI for this study.
For catch data, we used catch weight (metric tonnes) for the trend analysis. We then computed relative monthly and seasonal catches of striped catfish (compared to all species reported in the catch of the dai fishery) in order to understand the proportional change in the monthly catches within each fishing season and in the seasonal catches of striped catfish relative to other species over the study period. Here, we also present monthly relative catch to identify months of striped catfish peak catches. This information is a proxy to understand the period of striped catfish peak migration from the TSL, and thus the policy management, conservation, and implications.
For length distribution data, we discarded data for the 1998/99 and 1999/00 fishing seasons because sample sizes for those two fishing seasons were too small. For detailed information about the specifications of dai fishing gear operating in Tonle Sap River, see [28]. The general concepts and framework for the catch assessment of the dai fishery [29], and the data collection scheme as well as the formula to assess the catches and report species, are described in detail in [11,30].
2.2.2. Larval and Juvenile Fish Data
Daily larval and juvenile fish data from 2004 to 2018 (with missing data in 2015 and 2016) were also obtained from IFReDI. Sampling was supported by the MRC. Fish larvae and juveniles were sampled daily from the Cambodian Mekong River in Phnom Penh using a plankton net with 1 mm mesh size, 1 m diameter, and 5 m length. The plankton net was set 2 m below the water surface and about 20–30 m from the riverbank. A flow meter was attached at the opening of the plankton net to measure water velocity and to sample water volume. Fish larvae and juveniles were sampled four times per day (6:00–6:30, 12:00–12:30, 18:00–18:30, and 00:00–00:30 hours) over a four-month period between 01 June and 30 September from 2004 to 2018. The monitoring site was just upstream of the confluence of the Tonle Sap and Mekong Rivers (N: 11°34′19″; E: 104°56′26″; see Figure 2). Larvae and juveniles were preserved in 10% formaldehyde for identification. Fish samples were sorted and identified under a dissecting microscope using field guides for Mekong fish identification [4,31,32] at the IFReDI laboratory. The species names were later cross-checked and updated following keys in [31]. The density of the larval/juvenile fish was determined by the number of individuals per unit volume (1000 m3). Details about the fish larvae/juvenile collection sampling methods and the formula to calculate the daily striped catfish larval/juvenile density passing through the plankton net were described in [10]. To reduce the noise in the dataset, this study used the average daily data collected only during the daytime between 6:00–6:30, 12:00–12:30, and 18:00–18:30.
2.2.3. Water Level Data
Data on water levels were collected by the MRC. Daily water levels were recorded two times per day at Kampong Luong of the TSL and the average daily water levels were used in this study to compute the flood area (FA) and then estimate the flood index (FI) following the formula by John Forsius cited in [30]. The flood index (FI) is a measure of the flood extent and duration of flooding [30]:
where (FAy,d) is the flooded area of the Tonle Sap River–Lake system in year (y) on day (d), measured above the mean flooded area for the model.
2.3. Statistical Analyses
All data analyses were performed in the R programming language [33]. A stack bar chart was used to visualize the monthly relative catch weight (proportion) of the adult striped catfish for each fishing season over the study period. Then, a bar plot was applied to visualize the catch proportion of the striped catfish. Simple linear regression was also employed to explore the overall trend of the relationships between seasonal dai catches versus the time from the 1998/99 to the 2017/18 fishing season. Further, a surveillance plot was utilized to show a paired annual time series of a length-based indicator (LBI) versus the corresponding relative abundance of striped catfish in order to track its stock status in relation to the broad expectations about the state; for instance, healthy stocks should have more large individuals and vice versa [34]. LBI is often applied to assess data-poor fish stocks, i.e., when life history parameters are not available, as is the case for many Mekong fishes [34,35]. LBI is assumed to reflect size-selective fishing pressure, and may also capture other processes that can reduce fish population size [35]. In addition, the indicator is used to invoke the known pressure–state relationships and associated trends-based reference points to support effective decision making [36]. The LBI comprises the seasonal 95th percentile of the observed species L95% as a proportion of observed maximum length Lmax (L95%/Lmax). The relative abundance indicator was defined as Nspecies/Ntotal, the proportion of a given overall annual catch. LBI was standardized to the maximum observed annual value by the study species.
Simple linear regression was applied to predict the rate of change in the log-transformed mean daily abundance data of the striped catfish larval and juvenile collected from 1 June 2004 to 30 September 2018 from the Cambodian Mekong River in Phnom Penh. The temporal trend (e.g., whether increased, stable, or decreased) was assessed by using the value of a standardized regression coefficient. The model performances were assessed using the coefficient of determination (adjusted R2). Multiple linear regression (MLR) was performed to investigate the relationship between the striped catfish catch at the dai fishery and predictors (fish larval abundance and flood index). Fish larval abundance is used as a proxy to understand the fish spawning success and quantity of fish recruitment being injected to stocks each year; whereas flood index is widely known as a key driver influencing the successful reproduction of fish, fish growth, and fisheries productivity in the Tonle Sap system [14,30,37]. Given the lack of biotic (e.g., spawning stocks of striped catfish in the Mekong upstream) and other abiotic data, the two variables are applied for the model in this study. Hydrologic drivers or flood indexes are often used as composite predictors for the fisheries’ yield in the Tonle Sap system [30]. Before building the earlier and current models, dependent and independent variables were log-transformed to remove the extreme value’s effects and to meet the model normal distribution assumption. The influence of each variable on the striped catfish catch was assessed based on the MLR standardized coefficients, whereas model performances were evaluated using the adjusted coefficient of determination (adjusted R2). A probability value of <0.05 was considered significant. The simple and multiple linear regressions were performed using the lm() function of the ‘stats’ package [33].
3. Results
3.1. Temporal Trend of Striped Catfish Catches in the Dai Fishery
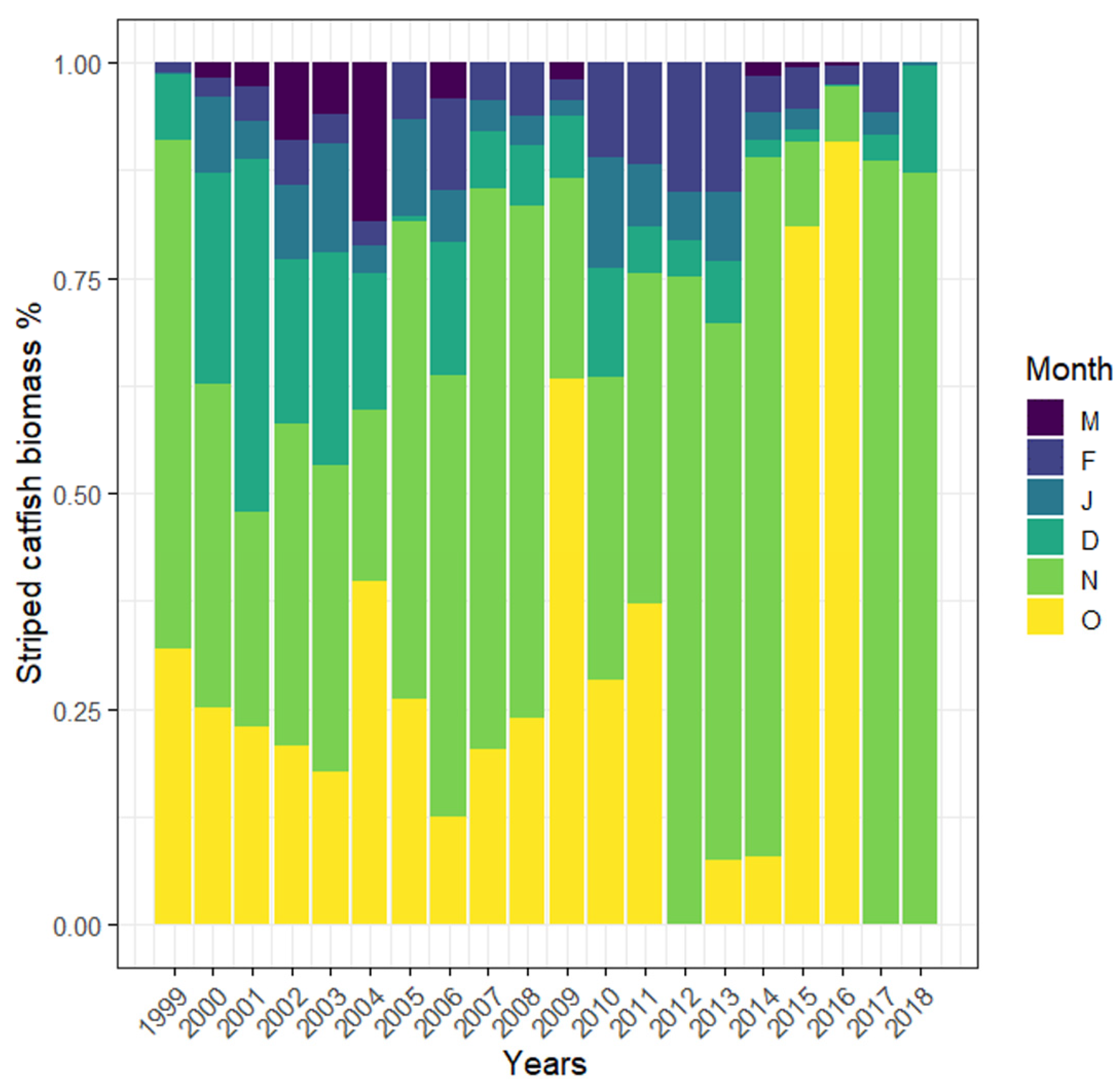
Figure 3 shows the proportional catch of the striped catfish (as a percentage of the total catch of all species combined) during the fishing season between October and March from 1998/99 to 2017/18. Relatively more striped catfishes were caught during the first two months of the fishing season (e.g., in October and November) than later in the fishing season (Figure 3). October and November striped catfish catches contributed to 50 to 90% of the catch for the whole fishing season from October to March.
Figure 3.
Stack bar chart revealing a relative monthly catch of the striped catfish from the dai fishery in the Tonle Sap River from the 1998/1999 to the 2017/2018 fishing season. The Y-axis represents the value of the relative catch, and the X-axis represents the fishing season from 1998/99 to 2017/18. The fishing season starts in October and ends in March, represented by different colors from yellow to dark blue.
3.2. Summary of the Catch Percentage of the Striped Catfish Compared to Other Species from Dai Catches
The proportional catch of the striped catfish among the total dai catches from all combined species in each fishing season is illustrated in Figure 4. Overall, we found that the relative catch of the striped catfish decreased gradually over the study period, e.g., decreased from 0.16% in the 1998/99 fishing season to only 0.01% in the 2017/18 fishing season.
Figure 4.
A bar plot showing the relative catch of the striped catfish (%) compared with other species in each fishing season in the Tonle Sap River from the 1998/1999 to the 2017/2018 fishing season. Y-axis represents the relative catch (%).
3.3. The Overall Trend of the Striped Catfish Catches in the Dai Fishery
Barplot revealed the annual total catch of the striped catfish in the fishing season (Figure 5a). The catch of striped catfish declined significantly over the study period, e.g., 236.96 metric tonnes during the 2000–2001 fishing season to 4.67 metric tonnes during the 2017–2018 fishing season (Figure 5a). Moreover, we detected a significantly declining trend of the striped catfish catch in the Tonle Sap dai fishery from the 1998/99 to the 2017/18 fishing season (R2 = 0.54, coef = −4.64, p-value = 0.0002; Figure 5b).
Figure 5.
(a) A bar plot showing the annual total dai fishery catch (metric tonnes) of the striped catfish in the Tonle Sap River from 1998/1999 to 2017/2018. (b) Simple linear regression demonstrates a temporal trend in the striped catfish catch (log scale) collected from the Tonle Sap dai fishery from the 1998/99 to the 2017/18 fishing season. The green area represents a 95% confidence interval.
3.4. Long-Term Change in the Size Structure of the Striped Catfish
Figure 6 shows the temporal pattern of the number of individuals of striped catfish measured in random samples from the Tonle Sap dai fishery. Overall, there was a significant decline in the abundance of adult striped catfish randomly sampled at the Tonle Sap dai fishery from 2000 to 2018, with a slight observed recovery in 2013, followed by a significant downward trend afterwards. The number of individuals in the catch sample dropped from approximately 500 in 2002 to only about 10 individuals in 2019 (Figure 6a).
Figure 6.
Time series: (a) number of individuals of the striped catfish randomly sampled from the Tonle Sap dai fishery and (b) relative abundance vs. length-based indicator of striped catfish species measured in random samples from the dai fishery in the Tonle Sap River, 2001–2019. The color scale indicates the reference direction from good (green) to poor (red) conditions.
The indicator surveillance plot (Figure 6b) revealed the state of the relative abundance and length-based indicator of striped catfish in the Tonle Sap River from 2001 to 2019 (Figure 6b). The state plot illustrated the temporal patterns for striped catfish and demonstrated a significant decline in length structure and relative abundance over the last 19 years from 2001 to 2019. The decline is moving towards fewer individuals and smaller sizes of striped catfish (represented by red color) being reported in the dai catch in Tonle Sap River. The situation contrasts with that in the fishing season of 2001/2002, where more individuals and larger sizes of striped catfish (represented by green color) were reported at dai fishery.
3.5. Temporal Trend of Striped Catfish Larvae and Juvenile Abundance
Figure 7 illustrates the temporal trend of the abundance of the striped catfish larvae/juveniles. Overall, we found that the abundance of larval and juvenile striped catfish in the Mekong River is also declining, with a marginally significant downward trend from 2004 to 2018 (Adj-R2 = 0.007, coefficients. = −1.75, p = 0.079).
Figure 7.
Scatter plot reveals the temporal trend of mean daily abundance of larval and juvenile striped catfish in the Mekong River in Phnom Penh from 2004 to 2018. The light blue area represents a 95% confidence interval. The scale unit was logged mean daily abundance.
3.6. Factors Affecting the Striped Catfish Catch at the Tonle Sap Dai Fishery
Multiple linear regression showed that the catches of striped catfish at Tonle Sap dai fishery are positively associated with both the flood index measured at the TSL and the level of recruitment recorded at the Mekong River (Table 1). The model indicates that such a relationship was significantly related to the flood index while it is not with the quantity of larvae/juveniles. Overall, the adjusted coefficient of determination (adjusted R2) value for the model is 0.56, meaning that the model explains 56% of the total variability of the response data. The summary of the model and the relationship between the variables is given in Table 1.
Table 1.
Multiple linear regression standardized coefficients showing the relationship between the striped catfish catch in the Tonle Sap dai fishery and larvae/juvenile abundance and flood index. The model performance is indicated as the adjusted R2. Significant levels are as follows: ‘**’: p < 0.01.
4. Discussion
Our long-term catch data reveal that catches of striped catfish were highest during the first two months (October and November) from 1998/99 to 2017/18 in the early dry fishing season at the Tonle Sap River dai fishery. The results support the findings of previous studies, indicating that more individuals of large and medium fishes including the striped catfish were generally caught in Tonle Sap River during the first two months of the fishery [19,24,30,38]. Striped catfish and other large-sized species are said to migrate out of the Tonle Sap floodplains and the lake to the Mekong River through the Tonle Sap River early in the dry season in October and November [38]. This dry season migration (migration for dry season refuge and spawning habitats upstream in the Mekong) from the lake is then followed by migrations of smaller-sized fishes, such as small mud carps, from December to March [24]. Knowing the period of peak migration is essential for setting up conservation and management measures for the species so that fishing mortality does not result in long-term population decline and fishery collapse.
We found a significantly strong decline in the catch of striped catfish over the last two decades. Likewise, population size structure indicated that the current stock status of striped catfish is in poor condition, as represented by fewer and smaller-sized individuals in the overall catch from Tonle Sap dai fishery. A marginally significant decline was also observed in the striped catfish potential recruitment, as measured by larval and juvenile fish abundance in the Cambodian Mekong. These results provide strong evidence that wild striped catfish population is markedly depleted, deserving special attention for its management and conservation. Our results suggested by the state plot (Figure 6b) affirm the IUCN listing of striped catfish as endangered species, and are also consistent with the assemblage-level assessments demonstrating that the Tonle Sap fisheries are being impacted by the indiscriminate fishing, where catches of medium and large-bodied species are declining while overall catches are mostly made up of small-bodied fish species [11]. In fact, the wild population status of striped catfish has been intensely exploited from the fry stage (in support of aquaculture farms) to spawning since the late 1980s [18,19,28]. Combined with complex life history (i.e., long-distance migrant between critical habitats and late-in-life spawners with sexual maturation taking more than three years [10,19]), wild stocks of striped catfish are highly susceptible to fishing mortality along their migration routes before they reach the age of first maturity and are thus able to reproduce for the first time in their life.
Further, this study shows that flood index plays a key role in explaining the variation in the wild population of striped catfish in the Tonle Sap system. The result is generally in agreement with many studies using the hydrologic parameters as the input predictors for the Tonle Sap’s fish yield. Overall, a high flood index enhances fisheries’ productivity. More extensive and prolonged floods are equated with larger areas being inundated, and thus larger rearing and feeding habitats for fish [12]. Larval and juvenile fish likely stay longer in those rearing/feeding habitats, which ultimately increases their survival rates, growth, and overall production. Higher flows also translate into more food being available and; thereby, competition for food among fish species is reduced [39]. For instance, Tonle Sap’s fisheries suffered from El Niño-induced droughts in recent years, which adversely impacted fisheries’ productivity in the Tonle Sap system; however, the increase in precipitation last year brought a better catch with larger individual and better diversity of fish, including the presence of rare species being observed in the Tonle Sap system [40]. For this reason, if the Mekong seasonal hydrology is modified, impacts are generally expected for striped catfish and other migratory fishes in the Mekong.
Water infrastructure development in the Mekong Basin has the potential to impact the productivity of striped catfish by changing seasonal flow patterns that cue migration for spawning and by reducing fish habitat that fish use for refuge, rearing, and feeding. The combination of the existing hydropower dams, such as the Xayaburi dam in northern Laos, Don Sahong dam in the southern Laos, the Lower Sesan 2 dam in northeastern Cambodia, and especially the under-construction Sekong A dam in Laos, is a conspicuous concern that will adversely impact fisheries including the striped catfish that utilize this system during their life cycle [6]. Therefore, maintaining natural flow pulses and the longitudinal and lateral connectivity among key critical habitats (dry season refuge, spawning, and rearing/feeding habitats) up and downstream is necessary to guarantee free flowing river and thus free migration routes for fishes to disperse, mature, and reproduce. Effective law enforcement is also required to reduce illegal fishing practices, eradicate destructive fishing methods, and safeguard conservation areas in order to sustain brood fishes, fish seasonal reproduction, recruitment, and growth. To decrease extinction risk, we finally suggest that a striped catfish management plan be prepared on the basis of catch data showing the period of peak dry season migration (October and November), identified spawning and feeding habitats, and their key migration routes, which were investigated in this study and other studies, e.g., [10,11,18,19].
Author Contributions
Conceptualization, P.B.N. and S.S.; methodology, P.B.N. and S.S.; validation, P.B.N., Z.S.H., B.C. and S.C. (Sudeep Chandra); formal analysis, S.S., K.P., B.C. and P.B.N.; investigation, P.B.N., B.C., S.C. (Samol Chhuoy), S.U., K.P. and Z.S.H.; data acquisition and curation, S.S., K.P., S.C. (Samol Chhuoy), P.B.N. and B.T.; writing—original draft, S.S.; writing—review and editing, S.S.; P.B.N., Z.S.H., B.C., K.P., S.U., S.C. (Samol Chhuoy), B.T. and S.C. (Sudeep Chandra); visualization, S.S., P.B.N., Z.S.H., B.C., K.P., S.U. and S.C. (Samol Chhuoy); supervision, P.B.N. and Z.S.H.; funding acquisition, Z.S.H. and S.C. (Sudeep Chandra). All authors have read and agreed to the published version of the manuscript.
Funding
This study was funded by the United States Agency for International Development (USAID) supported project: Wonders of the Mekong (Cooperative Agreement # AID-OAA-A-16-00057).
Informed Consent Statement
Not applicable.
Data Availability Statement
Data used in this analysis are provided by the Inland Fisheries Research and Development Institute (IFReDI) and are available in raw form via request to the IFReDI. Requests to access the datasets should be directed to B.T. (bunthangtouch@gmail.com).
Acknowledgments
We thank to the Inland Fisheries Research and Development Institute (IFReDI) of the Fisheries Administration, Cambodia for providing the dataset for this study. The field data collection for this study was implemented by IFReDI and supported by the Mekong River Commission.
Conflicts of Interest
The authors declare no conflict of interest.
References
- Myers, N.; Mittermeier, R.A.; Mittermeier, C.G.; da Fonseca, G.A.B.; Kent, J. Biodiversity Hotspots for Conservation Priorities. Nature 2000, 403, 853–858. [Google Scholar] [CrossRef] [PubMed]
- Mittermeier, R.A.; Turner, W.R.; Larsen, F.W.; Brooks, T.M.; Gascon, C. Global Biodiversity Conservation: The Critical Role of Hotspots. In Biodiversity Hotspots; Springer: Berlin/Heidelberg, Germany, 2011; pp. 277–293. [Google Scholar] [CrossRef]
- Collen, B.; Whitton, F.; Dyer, E.E.; Baillie, J.E.M.; Cumberlidge, N.; Darwall, W.R.T.; Pollock, C.; Richman, N.I.; Soulsby, A.M.; Böhm, M. Global Patterns of Freshwater Species Diversity, Threat and Endemism. Glob. Ecol. Biogeogr. 2013, 23, 40–51. [Google Scholar] [CrossRef] [PubMed]
- Rainboth, W.J. Fishes of The Cambodian Mekong; Niem, V.H., Carpenter, K.E., Angelis, N.D., Eds.; FAO: Rome, Italy, 1996; ISBN 92-5-103743-4. [Google Scholar]
- MRC. Overview of the Hydrology of the Mekong Basin; Mekong River Commission: Vientiane, Laos, 2005; p. 73. [Google Scholar]
- Baird, I.G. Local Ecological Knowledge and Small-Scale Freshwater Fisheries Management in the Mekong River in Southern Laos; Haggan, N., Neis, B., Baird, I.G., Eds.; United Nations Educational, Scientific & Cultural Organization: Paris, France, 2007. [Google Scholar]
- MRC. State of the Basin Report 2010; Mekong River Commission: Vientiane, Laos, 2010; ISBN 978-993-2080-57-1.8. [Google Scholar]
- Grant, I.; Rigby, C.L.; Bin Ali, A.; Fahmi; Haque, A.B.; Hasan, V.; Sayer, C. Urogymnus polylepis, Giant Freshwater Whipray. 2021. The IUCN Red List of Threatened Species. 2021. Available online: https://www.fishbase.se/summary/11693 (accessed on 27 September 2021).
- Baran, E. Fish Migration Triggers in the Lower Mekong Basin and Other Tropical Freshwater Systems; MRC Technical Paper No. 14; Mekong River Commission: Vientiane, Laos, 2006; p. 56. [Google Scholar]
- Chhuoy, S.; Hogan, Z.S.; Chandra, S.; Chheng, P.; Touch, B.; Kenzo, U.; Ngor, P.B. Daily Otolith Ring Validation, Age Composition, and Origin of the Endangered Striped Catfish in the Mekong. Glob. Ecol. Conserv. 2022, 33, e01953. [Google Scholar] [CrossRef]
- Ngor, P.B.; McCann, K.S.; Grenouillet, G.; So, N.; McMeans, B.C.; Fraser, E.; Lek, S. Evidence of Indiscriminate Fishing Effects in One of the World’s Largest Inland Fisheries. Sci. Rep. 2018, 8, 8947. [Google Scholar] [CrossRef] [PubMed]
- Ngor, P.B.; Grenouillet, G.; Phem, S.; So, N.; Lek, S. Spatial and Temporal Variation in Fish Community Structure and Diversity in the Largest Tropical Flood-Pulse System of South-East Asia. Ecol. Freshw. Fish 2018, 27, 1087–1100. [Google Scholar] [CrossRef]
- Poulsen, A.F.; Poeu, O.; Viravong, S.; Suntornratana, U.; Tung, N.T. Fish Migrations of the Lower Mekong River Basin: Implications for Development, Planning and Environmental Management; MRC Technical Paper No. 8; Mekong River Commission: Phnom Penh, Cambodia, 2002; p. 62. [Google Scholar]
- Chan, S.; Chhea, K.C.; Viravong, S.; Bouakhamvongsa, K.; Suntornratana, U.; Yoorong, N.; Thanh Tung, N.; Quoc Bao, T.; Poulsen, A.F.; Jorgensen, J.V. Fish Migrations and Spawning Habits in the Mekong Mainstream—A Survey Using Local Knowledge (Basin-Wide) Assessment of Mekong Fisheries: Fish Migrations and Spawning and the Impact of Water Management Project (AMFC); Mekong River Commission: Vientiane, Laos, 1999. [Google Scholar]
- IUCN. Pangasianodon hypophthalmus (Sauvage, 1878). The IUCN Red List of Threatened Species. 2013. e.T180689A7649971. Available online: http://dx.doi.org/10.2305/IUCN.UK.2011-1.RLTS.T180689A7649971.en (accessed on 19 January 2011).
- Morioka, S.; Sano, K.; Phommachan, P.; Vongvichith, B. Growth and Morphological Development of Laboratory-Reared Larval and Juvenile Pangasianodon hypophthalmus. Ichthyol. Res. 2010, 57, 139–147. [Google Scholar] [CrossRef]
- Roberts, T.R.; Vidthayanon, C. Systematic Revision of the Asian Catfish Family Pangasiidae, with Biological Observations and Descriptions of 3 New Species. Proc. Acad. Nat. Sci. Phila. 1991, 143, 97–143. [Google Scholar]
- Ngor, P.B. Catfish Fry Collection in Kandal/Phnom Penh in the Mekong River. In Present Status of Cambodia’s Fisheries and Management Implications; van Zalinge, N.P., Nao, T., Deap, L., Eds.; Mekong River Commission and Department of Fisheries: Phnom Penh, Cambodia, 1999; pp. 115–135. [Google Scholar]
- Van Zalinge, N.; Lieng, S.; Ngor, P.B.; Heng, K.; Jørgensen, J.V. Status of the Mekong Pangasianodon hypophthalmus Resources, with Special Reference to the Stock Shared between Cambodia and Viet Nam; Bishop, A., Ed.; MRC Technical paper No. 1; Mekong River Commission: Phnom Penh, Cambodia, 2002; p. 29. [Google Scholar]
- Poulsen, A.F.; Hortle, K.G.; Valbo-Jorgensen, J.; Chan, S.; Chhuon, C.K.; Viravong, S.; Bouakhamvongsa, K.; Suntornratana, U.; Yoorong, N.; Nguyen, T.T.; et al. Distribution and Ecology of Some Important Riverine Fish Species of the Mekong River Basin; MRC Technical Paper No. 10; MRC Secretariat: Vientiane, Laos, 2004. [Google Scholar]
- Poulsen, A.; Valbo-Jørgensen, J. Fish Migrations and Spawning Habits in the Mekong Mainstream—A Survey Using Local Knowledge; AMFC Technical Report; Mekong River Commission: Phnom Penh, Cambodia, 2000; pp. 1–149. [Google Scholar]
- So, N.; Van Houdt, J.K.J.; Volckaert, F.A.M. Genetic Diversity and Population History of the Migratory Catfishes Pangasianodon hypophthalmus and Pangasius bocourti in the Cambodian Mekong River. Fish. Sci. 2006, 72, 469–476. [Google Scholar] [CrossRef]
- So, N.; Meas, G.; FAM, V. High Genetic Diversity in Cryptic Populations of the Migratory Sutchi Catfish Pangasianodon hypophthalmus in the Mekong River. Heredity 2006, 96, 166–174. [Google Scholar] [CrossRef] [PubMed]
- Ngor, P.B. Dai fisheries in the Tonle Sap River of Phnom Penh and Kandal province including a Review of the Census Data of 1996-97). In Management aspects of Cambodia’s Freshwater Capture Fisheries and Management Implications, Eleven presentation given at the Annual Meeting of the Department of Fisheries of the Ministry of Agriculture, Forestry and Fisheries; van Zalinge, N.P., Nao, T., Lieng, S., Eds.; Mekong River Commission and Department of Fisheries: Phnom Penh, Cambodia, 2000; pp. 30–47. [Google Scholar]
- Cowx, I.G.; Kamonrat, W.; Sukumasavin, N.; Sirimongkolthawon, R.; Suksri, S.; Phila, N. Larval and Juvenile Fish Communities of the Lower Mekong Basin; MRC Technical Paper No. 49; Mekong River Commission: Phnom Penh, Cambodia, 2015; p. 100. [Google Scholar]
- Chea, T.; Chheng, P.; Thach, P.; Kim, S.; Chin, D.; Sim, T. Monitoring Fish Larvae Abundance and Diversity in the Mekong and Tonle Sap Rivers in Cambodia; Mekong River Commission: Phnom Penh, Cambodia, 2014; p. 46. [Google Scholar]
- Sarkkula, J.; Koponen, J.; Kummu, M. Ecosystem Processes of the Tonle Sap Lake. In Proceedings of the Ecotone II-1 Workshop, Phnom Penh/Siem Reap, Cambodia, 26 October–1 November 2003. [Google Scholar]
- Deap, L.; Degen, P.; van Zalinge, N. Fishing Gears of the Cambodian Mekong; Inland Fisheries Research and Development Institute of Cambodia (IFReDI): Phnom Penh, Cambodia, 2003; ISBN 1726-3972. [Google Scholar]
- Stamatopoulos, C. Sample-Based Fishery Surveys: A Technical Handbook; Food and Agriculture Organisation of the United Nations: Rome, Italy, 2002; ISBN 9251046999. [Google Scholar]
- Halls, A.S.; Paxton, B.R.; Hall, N.; Ngor, P.B.; Lieng, S.; Ngor, P.; So, N. The Stationary Trawl (Dai) Fishery of the Tonle Sap-Great Lake System; MRC Technical Paper No. 32; Mekong River Commission: Phnom Penh, Cambodia, 2013; p. 142. [Google Scholar]
- So, N.; Utsugi, K.; Shibukawa, K.; Thach, P.; Chhuoy, S.; Kim, S.; Chin, D.; Nen, P.; Chheng, P. Field Guide to Fishes of the Cambodian Freshwater Bodies; Inland Fisheries Research and Development Institute, Fisheries Administration: Phnom Penh, Cambodia, 2019; p. 197. [Google Scholar]
- Termvidchakorn, A.; Hortle, K.G. A Guide to Larvae and Juveniles of Some Common Fish Species from the Mekong River Basin; MRC Technical Paper No. 38; Mekong River Commission: Phnom Penh, Cambodia, 2013; p. 234. [Google Scholar]
- R Core Team. A Language and Environment for Statistical Computing; R Foundation for Statistical Computing: Vienna, Austria, 2021. [Google Scholar]
- Shephard, S.; Valbo-Jorgensen, J.; Abadía, J.; Baigún, C.; Doria, C.R.C.; Fabré, N.N.; Isaac, V.J.; Ngor, P.B.; Ruffino, M.L.; Funge-Smith, S. From Amazon Catfish to Mekong Money Fish: Size-Based Assessment of Data-Limited Commercial Inland Fisheries. Fisheries 2021, 46, 170–187. [Google Scholar] [CrossRef]
- Shephard, S.; Davidson, I.C.; Walker, A.M.; Gargan, P.G. Length-Based Indicators and Reference Points for Assessing Data-Poor Stocks of Diadromous Trout Salmo trutta. Fish. Res. 2018, 199, 36–43. [Google Scholar] [CrossRef]
- McDonald, G.; Harford, B.; Arrivillaga, A.; Babcock, E.A.; Carcamo, R.; Foley, J.; Fujita, R.; Gedamke, T.; Gibson, J.; Karr, K.; et al. An Indicator-Based Adaptive Management Framework and Its Development for Data-Limited Fisheries in Belize. Mar. Policy 2017, 76, 28–37. [Google Scholar] [CrossRef]
- Ngor, P.B.; Legendre, P.; Oberdorf, T.; Lek, S. Flow Alterations by Dams Shaped Fish Assemblage Dynamics in the Complex Mekong-3S River System. Ecol. Indic. 2018, 88, 103–114. [Google Scholar] [CrossRef]
- Srun, P.; Ngor, P.B. The Dry Season Migration Pattern of Five Mekong Fish Species: Riel (Henicorhynchus spp.), Chhkok (Cyclocheilichthys enoplos), Pruol (Cirrhinus microlepis), Pra (Pangasianodon hypophthalmus) and Trasork (Probarbus jullieni). In Proceedings of the Department of Fisheries—MRC/Danida—Eleven Presentations Given at the Annual Meeting of the Department of Fisheries, Ministry of Agriculture, Forestry and Fisheries, Phnom Penh, Cambodia, 27–28 January 2000; Department of Fisheries—Mekong River Commission (MRC)/Danish International Development Agency (DANIDA): Phnom Penh, Cambodia, 2000; pp. 61–89. [Google Scholar]
- MRC. Monitoring Fish Abundance and Diversity in the Mekong Basin. Catch Cult. 2008, 14, 24–25. [Google Scholar]
- Lovgren, S. In Cambodia, a Battered Mekong Defies Doomsday Predictions; Yale School of the Environment: New Haven, CT, USA, 2023. [Google Scholar]
Disclaimer/Publisher’s Note: The statements, opinions and data contained in all publications are solely those of the individual author(s) and contributor(s) and not of MDPI and/or the editor(s). MDPI and/or the editor(s) disclaim responsibility for any injury to people or property resulting from any ideas, methods, instructions or products referred to in the content. |
© 2023 by the authors. Licensee MDPI, Basel, Switzerland. This article is an open access article distributed under the terms and conditions of the Creative Commons Attribution (CC BY) license (https://creativecommons.org/licenses/by/4.0/).






