Next Article in Journal
From Modeling to Optimizing Sustainable Public Transport: A New Methodological Approach
Next Article in Special Issue
Machine-Learning-Based Electric Power Forecasting
Previous Article in Journal
The Presence of a Family Communal Space as a Form of Local Wisdom towards Community Cohesion and Resilience in Coastal Settlements
Previous Article in Special Issue
Master Production Scheduling with Consideration of Utilization-Dependent Exhaustion and Capacity Load
 
 
Font Type:
Arial Georgia Verdana
Font Size:
Aa Aa Aa
Line Spacing:
Column Width:
Background:
Article

Remanufacturing and Product Recovery Strategies Considering Chain-to-Chain Competition and Power Structures

1
School of Management, Guangzhou University, Guangzhou 510006, China
2
School of Business, Sun Yat-sen University, Guangzhou 510275, China
*
Author to whom correspondence should be addressed.
Sustainability 2023, 15(10), 8170; https://doi.org/10.3390/su15108170
Submission received: 15 April 2023 / Revised: 11 May 2023 / Accepted: 15 May 2023 / Published: 17 May 2023
(This article belongs to the Special Issue Sustainable Production and Operations Management)

Abstract

In addition to its economic potential and environmental significance, remanufacturing shows strategic importance in competition. Product recovery, a fundamental part of the remanufacturing system, should be aligned with the competition between supply chains. Moreover, the power structure of the supply chain influences interactive decisions. In this study, we investigate how supply chain competition and power structure influence product recovery strategies. We model the problem in two competing supply chains, where the manufacturers sell products through the respective retailers. Either manufacturer can choose between two product recovery strategies: collecting the used products for remanufacturing directly (that is, direct recovery) or assigning the task of product recovery to the retailer (indirect recovery). In addition, we conduct full-blown exploration of the impact of power structures, including Stackelberg-Manufacturer as the leader, Stackelberg-Retailer as the leader, and vertical Nash. The results reveal the joint inter- and intra-channel implications of the product recovery strategies.

1. Introduction

Technology advancement and public environmental awareness foster the market for remanufactured products [1]. Many original equipment manufacturers (OEM) take actions to integrate remanufacturing toward exploiting this increasingly lucrative market [2]. The value of the remanufacturing industry is substantial in various countries. From 2009 to 2011, the value of U.S. remanufactured production grew by 15 percent to at least USD 43.0 billion [3]. The gross market value of the remanufacturing industry in China is expected to reach CNY 200 billion (USD 30 billion) by 2020 [4]. In addition to the great economic potential and environmental significance, remanufacturing is proven to be an effective competition tactic, including for leveraging the secondary market [5], preventing industry entrants [6], and segmenting the market for price discrimination [7], etc.
Remanufacturing refers to a series of activities to rebuild, repair, and restore a product to an as-new condition [8]. The very fundamental step of the remanufacturing process is product recovery, through which numerous interactions between the forward and reverse channels are intensified, since the used products are reverse-circulated back to the manufacturer as production material (throughout this paper, we use product collection and product recovery interchangeably). In reality, there are two main product recovery modes [9]. The manufacturer may directly collect used products from consumers or appoint a retailer to collect used products. For example, Xerox, a pioneer in remanufacturing, has a famous manufacturer take-back program. Their green remanufacturing program produces high-quality copiers by reusing the collected used products. Likewise, Lenovo, Epson, and many other manufacturers offer free mail-back programs to collect used products. On the other hand, we also observe that some manufacturers adopt the alternative product recovery mode, i.e., a retailer is assigned to collect used products for the manufacturer. For example, Caterpillar, a famous large-scale machinery manufacturer, has proactively engaged with dealers for product takeback. PC manufacturers, such as HP, also assign retailers to collect used products.
One implication of product recovery is that when the retailers collect used products, they are endowed with a dual role of the material supplier who could influence the cost side of the supply chain and the sales agent who could also influence the price side. Inserting an independent profit-maximizing retailer as an intermediary was initially studied in the marketing literature, in which the primary concern was about the pricing side issue. Although it has been shown that retailers can help buffer manufacturers from price competition when the product substitutability is high [10], whether the manufacturer would like to insert a retailer in the reverse channel when there is competition between the closed-loop supply chains is uncertain. The reverse circulation of used products closes the product and material flow of the supply chain into a loop, possibly endowing the channel agent with an extra role. The downstream retailer could simultaneously be viewed as an upstream supplier when we are considering product collection activities. In practice, the feature of dual identities becomes the concern of the manufacturer. Moreover, in the competitive product market, strategic interaction with competing supply chains will surely influence the decision-making process. Moreover, power structure is an important intra-channel factor in a closed-loop supply chain [11]. The leadership in supply chains is far from consistent and determines the form of the game among supply chain members. When a specific party has stronger power, it is a specific party-led Stackelberg game. When the parties have comparative power, it is a Nash game.
Given that remanufacturing plays an important role in the competitive market, product recovery is a fundamental step of the remanufacturing system, and power structure also influences the decisions. The aim of the paper is to study the joint inter- and intra-channel implications of product recovery strategies. Specifically, this paper investigates the following problems: What is the product recovery strategy equilibrium for the competing supply chains? How does the equilibrium vary when the power structure in the supply chain changes? Is the equilibrium Pareto efficient? What are the effects of competition intensity and product collection efficiency on equilibrium?
To develop an in-depth understanding of these important questions, we consider a two-stage game in an industry with two competing manufacturers who sell substitutable products through their exclusive independent retailers. The products could be produced by the raw material or remanufactured by the collected used parts. Customers are indifferent to new products vs. remanufactured products. In the first stage, the manufacturers simultaneously determine the product recovery strategy, i.e., collection by themselves (direct recovery) or by retailers (indirect recovery). The agent who bears the collection duty would incur a collection-rate-related investment cost. Four possible strategy combinations are formed: (Direct, Direct), (Indirect, Indirect), (Direct, Indirect), and (Indirect, Direct). The first word in each bracket represents the strategy adopted by supply chain 1 and the second word the strategy of supply chain 2. In the second stage, based on the formed strategy combinations, the manufacturers and retailers make decisions on the pricing and collection rate following three types of game sequence: Stackelberg-Manufacturer as the leader, Stackelberg-Retailer as the leader, and vertical Nash.
Our main results show that both inter- and intra-channel factors influence the equilibrium. While the competition intensity stands for the inter-channel factor, the power structure stands for the intra-channel factor. When there is leadership in the supply chain, multiple equilibria may occur. Both direct recovery and indirect recovery may be chosen in the equilibrium when the competition intensity and the effective ratio of collection are high.
Specifically, when the manufacturer is the Stackelberg leader, the collection rate under direct recovery mode is lower, because the manufacturer is less effective at improving the collection rate. The larger cost saving from a higher collection rate can only be partially reflected in the retail price, due to the issue of double marginalization. Moreover, with an indirect recovery strategy, the supply chain charges lower prices, and the manufacturer can obtain higher profit given the competitor’s price. Therefore, (Indirect, Indirect) is the prevailing equilibrium when the manufacturer is the Stackelberg leader. However, when the competition intensity and the effective ratio of collection are high, (Direct, Direct) is also the equilibrium and is Pareto efficient. This is because when both the competition intensity and the efficiency of product collection are high, the higher retail price under the direct recovery strategy can allow avoiding overcompetition between the supply chains and achieve higher profits for the manufacturers.
When the retailer is the Stackelberg leader, the manufacturer prefers to collect the used products by themself. The manufacturer is more incentivized to increase the collection rate so that the average production cost and, thereby, the retail price are lower. Therefore, (Direct, Direct) is the prevailing Nash equilibrium. However, with a direct recovery strategy, the manufacturers might be trapped into a prisoner’s dilemma when either the competition intensity is high or the effective ratio of collection is low. (Indirect, Indirect) may be the prevailing equilibrium when the competition intensity and effective ratio of collection are high.
When the manufacturer and retailer are engaged in vertical Nash, the equilibrium is invariant to the channel competition. Without channel power, the manufacturer charges the retailer with an equal margin, and the retail prices are the same no matter which product recovery strategy is adopted. Manufacturers prefer to let retailers collect the products so that they do not bear the related cost. Under this situation, (Indirect, Indirect) is the unique Nash equilibrium and is also Pareto efficient.
In summary, the firm with channel power has less incentive to enlarge the collection rate. The higher collection rate reduces the average production cost so that the supply chain is able to charge a lower price in the market. At equilibrium, manufacturers would adopt the product recovery strategy which can achieve a lower price. However, manufacturers may be trapped into a prisoner’s dilemma with the strategy. On the other hand, the product recovery strategy that leads to the higher retail price can turn toward a Pareto efficient Nash equilibrium when the competition intensity and effective ratio of collection are high.
As noted, Savaskan et al. [12] find that in a bilateral monopoly channel with one manufacturer and one retailer, the retailer, being the agent closer to the customers, has the dominant advantage to collect the used products. That is, when there is no considerable competition, the manufacturer would like to insert the retailer in the reverse channel. However, the above results show that with competition and appropriate power structure, both direct and indirect strategies could be the equilibrium.
In this paper, we present the following major contributions. First, the existing studies on product recovery only focus on improving or optimizing remanufacturing strategies, but product recovery is an integrated part of the strategy. Second, the chain-to-chain competition today usually involves sustainability, such as through product recovery. However, the previous literature mainly focuses on channel structures, production outsourcing, information sharing, etc. To the best of our knowledge, our study is the first to investigate product recovery strategy under chain-to-chain competition. Finally, we examine the impact of power structures on the product recovery strategy, which has rarely been reported in the literature.
The remainder of this paper is organized as follows. In Section 2, we review the related literature on the remanufacturing and closed-loop supply chain. Section 3 is devoted to introducing the model formulation, where we describe the structure of the supply chain and the game sequence when two competing supply chains make decisions about product recovery. In Section 4, we analyze the equilibrium of product recovery. A numerical analysis is provided in Section 5. The conclusion and future research directions are outlined in Section 6.

2. Literature Review

Our paper is related to three streams of literature, namely of remanufacturing and product recovery, chain-to-chain competition, and power structure. In this section, we review them in succession.

2.1. Remanufacturing and Product Recovery

The research on remanufacturing and product recovery is undergoing dramatic growth. Remanufacturing shows great environmental and economic significance and shapes the pervasive aspects of supply chain management. We refer to [8,13,14,15,16] for a comprehensive review. There is also some other literature on environmental protection and sustainability from the perspective of energy consumption, transportation hazard, and new technologies, such as Bachar et al. [17], Hota et al. [18], and Sarkar et al. [19]. However, we consider product recovery strategies with remanufacturing.
In addition to the environmental importance and cost-saving purposes [20], remanufacturing could be used as a powerful competition strategy. Ferguson and Toktay [6] find that remanufacturing could be used as an entry-deterrent strategy. Atasu et al. [7] claim that remanufacturing is more beneficial under competition than in a monopoly setting. Oraiopoulos et al. [5] study how the strategy of the secondary market is shaped by competitive advantage, product characteristics, and consumer preferences. More studies have focused on the improvement or optimization of remanufacturing strategies, such as through investment, product pricing, production, channel strategies, and compliance with the legislation [21,22,23,24,25,26,27,28,29,30]. In addition, some researchers have studied the best buyback strategy, return policy, and salesforce incentives in closed-loop supply chains [31,32,33]. Ramani et al. [31] consider a two-period model and endogenous returns and assume that in the first period, only new products are sold and the manufacturer faces competition from a Goodwill agency that collects and refurbishes the manufacturer’s goods and sells them as used products. Ray et al. [32] construct a two-period model to investigate a profitable buyback strategy for an original equipment manufacturer and an independent remanufacturer under a low- and high-pricing strategy. Kovach et al. [33] analyze how salesforce incentives influence a firm’s remanufacturing strategy and profitability.
When incorporated with remanufacturing, product recovery is an integrated part of the strategy ([34,35]). The strategic influence of the product recovery strategy lies in the interaction operation decisions between the forward channel and reverse channel. Shekarian and Flapper [11] conducted a comprehensive review. In their seminal paper, Savaskan et al. [12] consider the product recovery in bilateral monopoly and point out that retailers are more effective when assuming the collection work. Savaskan and Wassenhove [36] consider the problem in a more complicated supply chain, where the manufacturer sells products through two competing retailers. They show that when the substitutability of the products from two retail sectors is sufficiently high, the manufacturer finds it more effective to collect by themself. When the retailer collects the used products, it is equivalent to the manufacturer decentralizing in the reverse channel. While remanufacturing and product recovery close the loop of the supply chain, the problems of design of the distribution channel map to the reverse channel. In their seminal paper, [10] study the issue of integration in the distribution channel. The manufacturer could choose to sell directly to the consumers or insert an independent profit-maximizer in between. In subsequent research, Moorthy [37] study the channel-structure problem involving the strategic interaction with competitors. The results show that the coupling of demand dependence and strategic dependence determines the equilibrium. However, in the above research, the impact of different power structures under two competition supply chains was not considered.

2.2. Chain-to-Chain Competition

Another stream of research related to our paper focuses on chain-to-chain competition, and most studies have investigated channel structures, production outsourcing, information sharing, price and quality competition, extended warranties, and demand uncertainty [38,39,40,41,42,43,44]. Ha et al. [39] consider information sharing under the chain-to-chain competition and find that information sharing may benefit or hurt one of the two supply chains. Li et al. [40] investigate the partial vertical centralization (PVC) in competing supply chains and show that PVC is the equilibrium channel structure in some cases. Ma et al. [41] consider retailer’s extended warranties and discuss two types of channel-structure strategy and find that pure coordinated channel competition and pure decentralized channel competition may both reach equilibrium. Zhao et al. [42] study contract strategy for two competing supply chains under demand uncertainty, and discuss which contract (revenue sharing contract or wholesale price contract) is better for the manufacturer.
In addition, some researchers discuss rebate strategies and financing decisions under chain-to-chain competition. He et al. [45] investigate rebate strategies under chain-to-chain competition and show that when the price competition between two chains is intensified, more cost-effective rebates are better for manufacturers than less cost-effective rebates. Xia et al. [46] develop three financing strategic models for low-carbon production under chain-to-chain competition and find that there is no dominant financing strategy.
Unlike the above studies, chain-to-chain competition today usually involves big issues, such as product recovery. Since product recovery is an important part of the remanufacturing system and remanufacturing has strategic importance in competition, we aim to understand how the product recovery strategy would be influenced in the competing supply chains.

2.3. Power Structure

Our paper also relates to the literature on power structure in the supply chain. The power structure can be characterized through different sequences of action made by each party within the supply chain [47,48,49,50,51]. The first mover, anticipating the response of the second mover, is generally regarded as the leader [52]. The second mover can only take action after observing the decision of the first mover. In the common two-echelon supply chain, both manufacturer and retailer could function as the leader: Stackelberg-Manufacturer leader [10,53] and Stackelberg-Retailer leader [54,55]. When there is no apparent power difference, the two firms would move simultaneously. Then, the Nash equilibrium would be derived from the intersection of their best response function [56]. Various problems are investigated under the impact of the power structure, such as channel structure [48,57], market price and profits [58], ordering time [59,60], supply chain performance [52,61,62], and supplier alliances in an assembly system [63]. In addition, there are some studies investigating the impact of power structures on remanufacturing [64,65,66]. Chen et al. [65] examines remanufacturing process innovation, pricing decisions, and cost-sharing mechanisms under different power structures of the closed-loop supply chain. Yang et al. [66] study pricing decisions between an OEM and a third-party remanufacturer (TPR) considering various power structures. To the best of our knowledge, we are the first to address the issue of supply chain power structure in the research of product recovery with chain-to-chain competition. Table 1 presents the main differences between this study and the above-cited literature.

3. Model

Our primary interest is to understand the impact of supply chain competition and power structure on product recovery. To this end, we model the problem in two competing supply chains (denoted by subscript i, i { 1 , 2 } ), each consisting of one manufacturer ( M i ) and one retailer ( R i ). This is the most stylized supply chain structure to study our problem.
In each supply chain, the manufacturer produces at a unit cost c and sells to the retailer at wholesale price w i . The retailer then sells to customers at retail price p i . Customers are identical and price sensitive. Market demand is linear in terms of the product price and the competitor’s price: D i ( p i , p 3 i ) = μ p i + β p 3 i , with μ > 0 and 0 < β < 1 . Hence, the market demand decreases with the product price and increases with the competitor’s price. Here, μ is the base market size for each supply chain. We assume that the two supply chains are faced with a base market of identical size. β depicts the substitution level of products by two supply chains, which is the measurement of the competition intensity. Figure 1 illustrates the supply chain structure of our model.
Manufacturers have built in a remanufacturing system so that they can produce their products with both raw materials and collected used parts. The remanufacturing technology is developed to such extent that the products remanufactured by used parts function comparably to new products. Customers are indifferent to whether the products are new or remanufactured. This assumption is commonly seen in the literature (e.g., [12,36]). With the development of remanufacturing technology and deep-rooted environmental protection awareness, an increasing amount of customers begin to show this inclination.
Remanufacturing incurs a unit marginal production cost of c r and is cost-effective, c r < c . The cost benefit of remanufacturing is characterized by Δ , Δ = c c r . The cost c r has already considered the other related costs, such as buyback payment for customers, transportation fee, and inspection cost. To purify the analysis, we focus on the case of symmetric supply chains. That is, the two competing supply chains basically demonstrate comparatively similar characteristics in terms of market size, manufacturing, and remanufacturing cost.
Product recovery is crucial to the remanufacturing process. We use collection rate τ i , 0 < τ i < 1 , as the measurement of the production collection performance. The collection rate is defined as the proportion of the current production batch that is supported by the collected used parts. The formulation follows the trend of [12]. Our research is constrained in a one-period time frame, and we assume that the products are in a mature and steady state. The collection rate τ i could be viewed as the response of consumers to the effort of the agent paid to the product recovery. To sustain the collection rate, a convex investment cost B τ i 2 is incurred. B is the scale parameter to characterize the efficiency of remanufacturing investment. In other words, B reflects the diminishing scale of economies of investment in product recovery. The quadratic investment cost is also seen in research on R&D, advertisement, etc. To ensure the interior solutions in all equilibria, we impose the condition that 0 < B < 3.5 Δ 2 .
Based on the above setting, the average unit manufacturing cost could be calculated as c Δ τ i . We assume that each manufacturer can only remanufacture the collected products originally produced by them. In each supply chain, the manufacturer chooses the collection mode. There are two options for collection mode. The first is known as direct collection (denoted as D), where the manufacturer collects used products from consumers by themself. The other is indirect collection (denoted as I), where the retailer is assigned to collect used products for remanufacturing. The fundamental responsibility of the agent who assumes the collection activities is to determine the collection rate τ i and bear the collection-related investment cost B τ i 2 . That is, when the manufacturer adopts direct collection, they determine the collection rate and incur the product collection investment cost. When the manufacturer adopts the indirect collection mode, the retailer determines the collection rate and the manufacturer pays unit buyback cost b i to the retailer to acquire the used parts. Table 2 summarizes the notations in our model.
We are interested in how the supply chains’ competitive behaviors would influence the equilibrium collection mode and the effect of collection mode on the firms’ operation decisions. To this end, we model the problem in a two-stage game. In the first stage, manufacturers determine the product recovery strategy simultaneously. We do not consider mixed strategy equilibrium. The commitment of collection mode is reliable because it is a mid-to-long-term infrastructure investment for an organization to adjust in information systems, facility procurement, and organizational structures, etc. Based on the collection mode each supply chain adopts, four possible strategy combinations as shown in Table 3 are formed: (Direct, Direct), (Indirect, Indirect), (Direct, Indirect), and (Indirect, Direct). The first word in each bracket represents the policy adopted by supply chain 1 and the second represents the policy of supply chain 2. Since (Direct, Indirect) and (Indirect, Direct) are symmetric, we only focus on the first three scenarios, i.e., (Direct, Direct), (Indirect, Indirect), and (Direct, Indirect). The superscript j { D D , I I , D I } is used to represent the corresponding scenario in the following discussions.
In the second stage, each firm determines the operation decisions, including retail price, wholesale price, and collection rate, in accordance with the collection mode determined in the first stage. We consider three kinds of power structures within either supply chain: Stackelberg-Manufacturer as the leader, Stackelberg-Retailer as the leader, and vertical Nash. Following the literature, we model the power structure through different sequences of decisions made by each party [47,48,52]. The leader, anticipating the response of the follower, determines their decisions first. The follower can only take action after observing the decision of the leader. When the manufacturer and retailer engage in the Nash game, the equilibrium would be derived from the intersection of their best response function.
We use π i j to denote the profit of retailer i under scenario j and Π i j to denote manufacturer i’s profit under scenario j. Moreover, we use notations ‘ ¯ ’, ‘ ˜ ’, and ‘ ^ ’ to differentiate the equilibrium results of Stackelberg-Manufacturer as the leader, Stackelberg-Retailer as the leader, and vertical Nash, respectively. We assume that each firm has complete information about the decision. However, the information of each firm’s decision is confined within either supply chain. For example, when the manufacturer is the Stackelberg leader and uses direct collection, the retailer from the same supply chain has full information about the wholesale price and collection rate, but the retailer from the competing supply chain does not know.

4. Analysis and Discussion

In this section, we analyze the equilibrium of product recovery under each game sequence: Stackelberg-Manufacturer as the leader, Stackelberg-Retailer as the leader, and vertical Nash.
Consistent with the extensive marketing research, we substitute retail prices and wholesale prices with the retail margins and wholesale margins, represented by m i and M i , respectively. When the supply chain uses direct collection, the wholesale price can be written as the sum of average unit production cost and wholesale margin, w i = c Δ τ i + M i . The retail price is the sum of wholesale price and retail margin, p i = c Δ τ i + M i + m i . When the supply chain adopts indirect collection mode, the retailer is responsible for collecting products. The manufacturer now needs to pay a unit buyback payment to the retailer. The average unit cost is adjusted with the buyback price, and the wholesale price is w i = c ( Δ b i ) τ i + M i and the retail price is p i = c ( Δ b i ) τ i + M i + m i .
Specifically, when the supply chain adopts the direct collection mode, the retailer determines the retail margin, and the manufacturer decides the wholesale margin and collection rate. The retailer’s profit function is given by
max m i μ ( c Δ τ i + M i + m i ) + β p 3 i m i ,
and the manufacturer’s profit function is given by
max M i , τ i μ ( c Δ τ i + M i + m i ) + β p 3 i M i B τ i 2 .
When the supply chain adopts the indirect collection mode, the retailer determines both the retail price margin and the collection rate. The manufacturer determines the wholesale price margin. The retailer’s profit function can be expressed as
max m i , τ i ( μ ( c + M i + m i ( Δ b i ) τ i ) + β p 3 i ) ( m i + b i τ i ) B τ i 2 ,
and the manufacturer’s profit function is given by
max M i , b i ( μ ( c + M i + m i ( Δ b i ) τ i ) + β p 3 i ) M i .
The problem can be solved by backward induction. In the second stage, the pricing power determines the decision sequence within each supply chain. Given the strategy combination, the operation decisions of each firm are represented as a function of the competitors’ decisions. The second-stage equilibrium is then derived by the intersection of the response functions of the two supply chains.
In the first stage, manufacturers simultaneously determine the collection mode. The expected profit of the manufacturer in the second stage gives the payoff of the strategy matrix in the first stage. We can identify the first-stage Nash equilibrium following the standard procedure.

4.1. Stackelberg-Manufacturer as the Leader

When manufacturers and retailers are engaged in the Stackelberg game at the second stage and manufacturers function as the leader, manufacturers make decisions anticipating retailers’ responses.

4.1.1. Second-Stage Analysis

Firms in each supply chain would firstly determine the operation decisions in accordance with the product recovery strategy, taking the retail price of the competing supply chain as given. When the supply chain adopts direct collection, the retailer determines the retail margin given the wholesale margin and collection rate by maximizing (1). The best response is derived from the first-order condition, m ¯ i D ( M ¯ i D , τ ¯ i D , p 3 i ) = 1 2 ( μ ( c Δ τ ¯ i D + M ¯ i D ) + β p 3 i ) . The manufacturer, anticipating the response of the retailer, determines wholesale margin and collection rate by maximizing (2). The response functions are represented as the functions of the competitor’s price:
M ¯ i D ( p 3 i ) = 4 B ( μ c + β p 3 i ) 8 B Δ 2 and τ ¯ i D ( p 3 i ) = Δ ( μ c + β p 3 i ) 8 B Δ 2 .
Substituting M ¯ i D ( p 3 i ) and τ ¯ i D ( p 3 i ) into the retail margin, we obtain
m ¯ i D ( p 3 i ) = 2 B ( μ c + β p 3 i ) 8 B Δ 2 .
The resulting retail price is then p ¯ i D ( p 3 i ) = 2 B c + ( 6 B Δ 2 ) ( μ + β p 3 i ) 8 B Δ 2 . We can also calculate the expected profit of manufacturer as Π ¯ i D ( p 3 i ) = B ( μ c + β p 3 i ) 2 8 B Δ 2 .
When the supply chain adopts indirect collection, the retailer, given the wholesale margin and buyback price, determines the retail margin and collection rate by maximizing (3). From the first-order condition, we can get the response of retail margin and collection rate as m ¯ i I ( M ¯ i I , b ¯ i I , τ ¯ i I , p 3 i ) = ( 2 B b ¯ i Δ ) ( μ c M ¯ i I + β p 3 i ) 4 B Δ 2 and τ ¯ i I ( M ¯ i I , τ ¯ i I , p 3 i ) = Δ ( μ c M ¯ i I + β p 3 i ) 4 B Δ 2 . The collection rate is independent of the unit buyback price b i . Therefore, the buyback payment has no incentive effect on the product recovery behavior.
Substituting m ¯ i I ( M ¯ i I , b ¯ i I , τ ¯ i I , p 3 i ) and τ ¯ i I ( M ¯ i I , τ ¯ i I , p 3 i ) into (4), we can obtain the objective function of manufacturer as follows:
max M ¯ i I 2 B M ¯ i I ( μ c M ¯ i I + β p 3 i ) 4 B Δ 2 .
An observation from the manufacturer’s profit function is that the buyback payment for retailer b ¯ i is canceled out. That is to say, the manufacturer could achieve optimal profit by simply adjusting the wholesale margin. The best response of the wholesale margin is derived by the first-order condition as follows:
M ¯ i I ( p 3 i ) = 1 2 ( μ c + β p 3 i ) .
Substituting M ¯ i I ( p 3 i ) into the retail margin and collection rate, we obtain the retail margin and collection rate,
m ¯ i I ( p 3 i ) = ( 2 B b i Δ ) ( μ c + β p 3 i ) 2 ( 4 B Δ 2 ) and τ i ¯ I ( p 3 i ) = Δ ( μ c + β p 3 i ) 2 ( 4 B Δ 2 ) .
Although the retail margin depends on the buyback payment b ¯ i , the resulting retail price is given by p ¯ i I ( p 3 i ) = B c + ( 3 B Δ 2 ) ( μ + β p 3 i ) 4 B Δ 2 , which is independent of the buyback payment. The manufacturer provides unit payment as apparent compensation for product recovery, but the retailer has to exclude it when determining the retail margin. The buyback payment b ¯ i functions as a dummy variable. Neither the profit of manufacturer nor the profit of retailer is influenced by the buyback payment. Therefore, we assume that b ¯ i = 0 . The expected profit of manufacturer is calculated as Π ¯ i I ( p 3 i ) = B ( μ c + β p 3 i ) 2 2 ( 4 B Δ 2 ) .
The intersection of response functions of supply chains with direct collection mode ((5) and (6)) gives the second-stage equilibrium results of (Direct, Direct) scenario. The intersection of response functions of one supply chain with direct collection mode and one supply chain with indirect collection mode ((5), (6), (7), and (8)) gives the equilibrium results of (Direct, Indirect) scenario. Likewise, the equilibrium results of (Indirect, Indirect) scenario can be derived by the intersection of response functions of two supply chains with indirect collection mode. All the results of operation decisions and equilibrium profits are tabulated in the Appendix A.
Before we proceed to analyze the first-stage equilibrium, we could gain a primitive image from the comparison of responses of direct collection and indirect collection supply chains. The following lemma gives the order of collection rates and retail prices.
Lemma 1.
When the manufacturer is the Stackelberg leader, given the retail price of the competing supply chain, that the supply chain adopting direct collection mode collects less τ ¯ i D ( p 3 i ) < τ ¯ i I ( p 3 i ) but charges a higher retail price, p ¯ i D ( p 3 i ) > p ¯ i I ( p 3 i ) .
These results mirror the findings from [12]. Due to double marginalization, the unit saving of remanufacturing can only partially reflect on the retail price when the manufacturer collects the used products. Therefore, when the retail price of the competing supply chain is exogenously fixed, the supply chain with indirect collection mode executes at a higher collection rate. In addition, the supply chain with direct collection mode charges a higher retail price than the one with an indirect collection mode. A higher price implies lower demand. Combining the two facets, it is obvious that the cost saving of remanufacturing from the direct collection supply chain is less than that from the indirect collection supply chain. The following lemma gives the order of manufacturers’ margins and profits given the competitor’s price.
Lemma 2.
When the manufacturer is the Stackelberg leader, given the retail price of the competing supply chain, the manufacturer under direct collection mode has a higher margin, M ¯ i D ( p 3 i ) > M ¯ i I ( p 3 i ) , but obtains a lower profit, Π ¯ i I ( p 3 i ) > Π ¯ i D ( p 3 i ) .
Given the retail price of the competing supply chain, the manufacturer charges a higher margin when they collect used products directly. Under indirect collection mode, however, the manufacturer could secure a higher profit with a higher demand and free duty of product recovery. As shown in [12], when the manufacturer and retailer are a bilateral monopoly, an indirect collection mode is preferable for the manufacturer. Considering the strategic response of the competing supply chain, whether indirect collection could maintain this advantage is not immediately clear.

4.1.2. First-Stage Analysis

To investigate the first-stage Nash equilibrium, we define the concept of effective ratio of collection denoted by n = Δ 2 / B to facilitate our analysis. Recall that Δ is the unit cost advantage of remanufacturing and B reflects the scale of diminishing returns of product collection investment. The higher level of n, the more efficient the investment in product collection. The available range for n is 0 < n < 3.5 . This condition is derived to guarantee the non-negativity of the decision variables.
Adopting indirect collection mode is equivalent to that the manufacturer decentralizes in the reverse channel. In their study, [10] investigate the decentralization incentive in the forward distribution channel and find that when the intensity of competition between supply chains is high, manufacturers prefer to decentralize by inserting an independent profit-maximizing retailer as a “buffer” to relieve competition. In the closed-loop supply chain with remanufacturing, decentralizing in the reverse channel has the opposite meaning. As Lemma 1 shows, when a retailer assumes the duty of product recovery, they collect with a higher collection rate and the retail price is lower at any given price of the competitor. Hence, the competition is exacerbated by decentralizing in the reverse channel. The following proposition characterizes the first-stage equilibrium for product recovery of competing supply chains.
Proposition 1.
When the manufacturer is a second-stage Stackelberg leader,
(1) 
(Indirect, Indirect) is always Nash equilibrium;
(2) 
(Direct, Direct) is Nash equilibrium when 6 2 2 < n < 3.5 and β 1 ( n ) < β < 1 .
Both (Direct, Direct) and (Indirect, Indirect) could be the Nash equilibrium. From Lemma 2, we can see that at any given price, manufacturer could secure a higher profit by delegating the product recovery to the retailer. For both manufacturers, the indirect collection mode is a dominant strategy. Therefore, when both manufacturers choose an indirect collection mode, no one has the inclination to deviate from the equilibrium state. An interesting observation from the above proposition is that the manufacturer may also simultaneously adopt direct collection when both the effective ratio of collection and the intensity of competition are high. Direct collection leads to a higher retail price. Charging a higher price has two effects on a manufacturer’s profit. First, a higher price leads to lower demand, which has a negative effect on the manufacturer’s profit. On the other hand, a higher price also induces the competitor to price higher, which is a positive effect. When the intensity of competition is high, the second force dominates. Furthermore, the effective ratio of collection sets a threshold for transformation. Only when the effective ratio is sufficiently large could there exist a threshold of competition intensity above which the direct collection mode stands out in the equilibrium state. The threshold β 1 ( n ) is decreasing with the improvement of the effective ratio of collection. Figure 2 depicts the distribution areas of equilibrium when the manufacturer is the Stackelberg leader. The horizontal axis is the effective ratio of collection n, while the vertical axis is the intensity of competition β . In the whole area, (Indirect, Indirect) is the Nash equilibrium. Only at the top right corner (Direct, Direct) is Nash equilibrium. The effective ratio of collection n and intensity of competition (product substitutability) β are exogenously given by the competing environment. There is other research investigating the interaction of remanufacturing and product design. In [26], the manufacturer could make integrated strategies consisting of product differentiation and collection decision.
In summary, when manufacturers have more channel power, they choose the same product recovery strategies, and no one has the inclination to unilaterally deviate. A common peril of Nash equilibrium is the possibility of the prisoner’s dilemma. Although indirect collection is advantageous in a bilateral monopoly market, it is possible for the competing supply chains to get trapped in a simultaneous move.
Proposition 2.
When the manufacturer is the second-stage Stackelberg leader,
(1) 
If (Direct, Direct) is the equilibrium, it is Pareto efficient;
(2) 
(Indirect, Indirect) is Pareto efficient when 0 < β < β 2 ( n ) .
When (Direct, Direct) is Nash equilibrium, not a single manufacturer could deviate to obtain a higher profit without lowering the other manufacturer’s profit. However, it is possible that (Indirect, Indirect) is Pareto dominated by (Direct, Direct) when the intensity of competition is high. In the intermediate range, however, (Indirect, Indirect) arises as a prisoner’s dilemma for the manufacturers. The reason for the prisoner’s dilemma is rooted at the interaction of the inter- and inter-channel effects of product recovery. When the manufacturer is the Stackelberg leader, the issue of double marginalization causes them to prefer to insert a retailer into the reverse channel. Retailers are more effective at collecting used products and contributing to lower average production costs. Therefore, supply chain with indirect collection mode charges a lower price, intensifying the competition. When competition intensity between channels is large, the aggravated competition brings suboptimal profit to the manufacturers, resulting in a “lose–lose” situation.
In addition to the profitability of the firms, product recovery strategies influence social welfare. According to [67], the customers with utility function given by U ( q 1 , q 2 ) = μ ( q 1 + q 2 ) 1 β q 1 2 + q 2 2 + 2 β q 1 q 2 2 ( 1 β 2 ) could lead to the demand functions in our model. From the equilibrium results, we can calculate the social welfare of the two equilibria when the manufacturer is the Stackelberg leader. By comparing the social welfare from (Direct, Direct) and (Indirect, Indirect), we find that the social welfare from (Indirect, Indirect) is always higher than (Direct, Direct). Adopting indirect recovery mode, the competing supply chains charge lower prices which induce higher demands and therefore the higher social welfare.

4.2. Stackelberg-Retailer as the Leader

When retailers act as the Stackelberg leader, they move before the manufacturers when determining the operation decisions. Given the first-stage strategy combination, retailers determine the operation decisions anticipating the manufacturer’s best response.

4.2.1. Second-Stage Analysis

We firstly analyze the unilateral response functions of direct collection supply chain and indirect collection supply chain given the competitor’s retail price.
When the supply chain adopts direct collection mode, given the retail margin, manufacturers determine the wholesale margins and collection rates by maximizing (2). The first-order condition gives the response functions: M ˜ i D ( m ˜ i D , p 3 i ) = 2 B ( μ ( c + m ˜ i D ) + β p 3 i ) 4 B Δ 2 and τ ˜ i D ( m ˜ i D , p 3 i ) = Δ ( μ ( c + m ˜ i D ) + β p 3 i ) 4 B Δ 2 . Anticipating the response of manufacturer, the retailer determines the retail margin by maximizing (1). The response functions are represented as the function of the competing supply chain’s price:
m ˜ i D ( p 3 i ) = μ c + β p 3 i 2 .
Substituting into the wholesale margin and collection rate, we can obtain that:
M ˜ i D ( p 3 i ) = B ( μ c + β p 3 i ) 4 B Δ 2 and τ ˜ i D ( p 3 i ) = Δ ( μ c + β p 3 i ) 2 ( 4 B Δ 2 ) .
The resulting price is given by p ˜ i D ( p 3 i ) = B c + ( 3 B Δ 2 ) ( μ β p 3 i ) 4 B Δ 2 . The expected profit of manufacturer is Π ˜ i D ( p 3 i ) = B ( μ c + β p 3 i ) 2 4 ( 4 B Δ 2 ) .
When the supply chain uses indirect collection mode, the manufacturer maximizes (4) to determine the wholesale margin and buyback payment. For a given buyback payment b ˜ i , the manufacturer’s profit is concave in the wholesale margin. Hence, the optimal wholesale margin is given by the first-order condition M ˜ i I ( m ˜ i I , τ ˜ i I , p 3 i ) = 1 2 ( μ ( c ( Δ b i ) τ ˜ i I + m ˜ i I ) + β p 3 i ) . The manufacturer’s profit is given by 1 4 ( μ ( c ( Δ b i ) τ ˜ i I + m ˜ i I ) + β p 3 i ) 2 , which is decreasing with b i . Hence, we set the optimal buyback payment equal to zero, i.e., b ˜ i I = 0 . Substituting M ˜ i I and b ˜ i = 0 into (3), retailer determines the optimal retail margin and collection rate as follows:
m ˜ i I ( p 3 i ) = 4 B ( μ c + β p 3 i ) 8 B Δ 2 and τ ˜ i I ( p 3 i ) = Δ ( μ c + β p 3 i ) 8 B Δ 2 .
The wholesale margin is given by
M ˜ i I ( p 3 i ) = 2 B ( μ c + β p 3 i ) 8 B Δ 2 .
From the above results, we can calculate the resulting retail price as p ˜ i I ( p 3 i ) = 2 B c + ( 6 B Δ 2 ) ( μ + β p 3 i ) 8 B Δ 2 and the expected profit of manufacturer is 4 B 2 ( μ c + β p 3 i ) 2 ( 8 B Δ 2 ) 2 . The second-stage equilibrium results can be calculated by the interaction of corresponding response functions.
The equilibrium results of the (Direct, Direct) scenario can be derived from the intersection of the response functions of supply chain adopting direct collection mode (retailer (9) and manufacturer (10)). The intersection of the retailer’s response function (11) and manufacturer’s response function (12) gives the equilibrium result of the (Indirect, Indirect) scenario. Similarly, the intersection of the response function of a supply chain adopting direct collection mode and the response function of a supply chain adopting indirect collection mode gives the equilibrium results of the (Direct, Indirect) scenario. The equilibrium results can be found in the Appendix A.
The response functions enable us to look into the feature of different product recovery strategies before deriving the first-stage Nash equilibrium. The following lemma compares the retail prices and collection rates of two product recovery strategies given the competitor’s retail price.
Lemma 3.
When the retailer is the Stackelberg leader, given the retail price of the competing supply chain, the supply chain adopting direct collection mode collects more, τ ˜ i D ( p 3 i ) > τ ˜ i I ( p 3 i ) , and charges a lower price, p ˜ i D ( p 3 i ) < p ˜ i I ( p 3 i ) .
When the retailer is the Stackelberg leader, they are cursed by double marginalization. That is, the cost saving of remanufacturing can only be partially reflected in the final price when the retailer assumes the duty of product collection. Therefore, the retailer has less incentive to collect the used products, making the collection rate lower under indirect collection mode than under direct collection mode. The average production cost under direct collection mode is also lower, enabling the supply chain to charge a lower price. The following lemma gives the order of manufacturers’ margins and profits under different product recovery strategies.
Lemma 4.
When the retailer is the Stackelberg leader, given the retail price of competing supply chain, manufacturer under direct collection mode charges a higher margin, M ˜ i D ( p 3 i ) > M ˜ i I ( p 3 i ) , and obtains a higher profit, Π ˜ i D ( p 3 i ) > Π ˜ i I ( p 3 i ) .
When the manufacturer is not the channel leader, they could charge a larger margin and obtain a higher profit under direct collection mode given the competing supply chain’s price. They are more effective at collecting used products because the cost saving can be directly reflected by the retail price. The average production cost under direct collection mode is lower. Hence, the manufacturer could charge a higher margin. With direct collection mode, the price is also lower. Therefore, a larger demand and a higher margin make the direct collection more profitable for the manufacturer, although the manufacturer has to be able to afford the cost of investing in product recovery.

4.2.2. First-Stage Analysis

Based on the second-period equilibrium results, we are ready to look at the equilibrium of the first stage. When the retailer is the Stackelberg leader, the property of product recovery strategy for the manufacturer is changed. The following proposition presents the first-stage equilibrium.
Proposition 3.
When the retailer is the second-stage Stackelberg leader,
(1) 
(Direct, Direct) is always Nash equilibrium;
(2) 
(Indirect, Indirect) is Nash equilibrium when n > 2 3 and β > β 3 ( n ) .
Similar to the case when the manufacturer is the Stackelberg leader, both (Direct, Direct) and (Indirect, Indirect) could be the Nash equilibrium, but the specific conditions are different. From Lemma 4, we know that direct collection is basically a more preferable strategy for the manufacturer given the competitor’s price. Therefore, (Direct, Direct) is always a Nash equilibrium, and no one has the inclination to unilaterally deviate.
On the other hand, manufacturers may also simultaneously adopt indirect collection mode. From Lemma 3, we know that the retail price under indirect collection mode is higher. As we argued in the former section, the effect of a low-price strategy is two-fold. A higher price leads to a lower demand, which is a negative effect on manufacturer’s profit. Meanwhile, a higher price also has a positive effect on the manufacturer’s profit because a higher price induces the competitors to charge higher prices as well. When the intensity of competition is large, the positive effect dominates. Figure 3 depicts the distribution areas of equilibrium when the retailer is the Stackelberg leader. The horizontal axis is the effective ratio of collection n while the vertical axis is the intensity of competition β . In the whole area, (Direct, Direct) is the Nash equilibrium. The range for the (Indirect, Indirect) becoming an equilibrium is shown in the upper right corner in Figure 3, where the effective ratio of large is large and the competition intensity is high. The following proposition demonstrates the Pareto efficiency of the Nash equilibria.
Proposition 4.
When the retailer is the second-stage Stackelberg leader,
(1) 
If (Indirect, Indirect) is the equilibrium, it is Pareto efficient;
(2) 
(Direct, Direct) is Pareto efficient when n > 2 3 and β < β 4 ( n ) .
(Indirect, Indirect) is always Pareto efficient, but the prisoner’s dilemma arises when both manufacturers choose the direct collection mode. (Direct, Direct) is Pareto efficient only when the competition intensity is low and the effective ratio of collection is relatively large. When the retailer is the Stackelberg leader, the manufacturer has more incentive to collect the used products directly. The supply chain with direct collection mode charges a lower price due to the lower average production cost from the more effective collection. A lower price represents the more intensified competition between the supply chains. The low-price strategy drags the manufacturers into the prisoner’s dilemma when the effective ratio of collection is not sufficiently high and/or the competition intensity is relatively high.
Likewise, we also compare the social welfare under (Direct, Direct) and (Indirect, Indirect) and find that the social welfare under (Direct, Direct) equilibrium is always higher. The supply chain charges lower price when the manufacturer adopts the Direct recovery strategy. This is because the manufacturer is more effective at increasing the collection rate, and the supply chain is able to produce at a more cost-effective level. Lower prices bring larger demands and therefore higher social welfare.

4.3. Vertical Nash

In this subsection, we analyze the situation when the relationship of manufacturer and retailer in either supply chain is vertical Nash. We also analyze the problem by backward induction.

4.3.1. Second-Stage Analysis

Given the strategy combination formed in the first stage, manufacturers and retailers determine the operation decisions, including pricing and collection rate, in the second stage. When the manufacturer and retailer within a supply chain are engaged in vertical Nash, they move simultaneously to determine the operation decisions. Therefore, the intersection of the response functions of manufacturers and retailers from two supply chains gives the second-stage equilibrium. The following proposition characterizes the second-stage equilibrium result.
Proposition 5.
When the second-stage pricing game is vertical Nash, the supply chain decisions are the same for different first-stage strategy combinations. The equilibrium results are characterized as follows: (1) The profit margins of the retailer and manufacturer are given by
m ^ i = M ^ i = 2 B ( μ ( 1 β ) c ) ( 6 4 β ) B ( 1 β ) Δ 2 .
(2) 
The collection rate is given by
τ ^ i = Δ ( μ ( 1 β ) c ) ( 6 4 β ) B ( 1 β ) Δ 2 .
(3) 
The profits of retailers and manufacturers are given by
π ^ i D = Π ^ i I = 4 B 2 ( μ ( 1 β ) c ) 2 ( ( 6 4 β ) B ( 1 β ) Δ 2 ) 2 ,
π ^ i I = Π ^ i D = B ( 4 B Δ 2 ) ( μ ( 1 β ) c ) 2 ( ( 6 4 β ) B ( 1 β ) Δ 2 ) 2 .
From the above proposition, we can see that when there is no pricing leadership in the supply chain, and the issue of double marginalization does not bother the firms. All firms charge equal margins no matter which product recovery strategy they adopt. The collection rates in both direct and indirect collection supply chains are also the same. The profitability of a firm depends on whether they assume the duty of product collection. The firm’s profit is lower if they are responsible for collecting the used products, because the firm has to afford the related investment cost if they collects the used products. The closeness to consumers has no effect on profit. The manufacturer in a direct collection supply chain gains the same profit as the retailer in an indirect collection supply chain.

4.3.2. First-Stage Analysis

When the second-stage is vertical Nash, the manufacturer’s profit with either collection mode is invariant with the competing supply chain’s product recovery strategy. The effect of competition on choosing collection mode is nullified. This particular feature changes the equilibrium in the first stage as shown in the following proposition.
Proposition 6.
When the second-stage pricing game is vertical Nash, (Indirect, Indirect) is always the unique Nash equilibrium and it is also Pareto efficient.
When the manufacturer and retailer decide simultaneously at the second stage, the indirect collection mode is basically a more preferable strategy for the manufacturers. Therefore, (Indirect, Indirect) is always the Nash equilibrium. Without the influence of double marginalization, both manufacturer and retailer are equally effective at collecting the used products. Since the collection rates are the same, the average production costs are the same for direct and indirect collection modes. The prices of the product under different strategy combinations are also the same. Neither manufacturer has an incentive to deviate.
From the perspective of social welfare, we find that the equilibrium (Indirect, Indirect) has the same social welfare as the other strategy combinations. This is because when manufacturers and retailers are engaged in vertical Nash, the retail prices are the same across different strategy combinations.

5. Numerical Experiment

Through numerical experiments in this section, the comparisons of manufacturer i’s profits under different power structures are analyzed to verify the previous theoretical results. The source data from the experiments are provided as Supplementary Materials.
Figure 4 shows manufacturer i’s profits in different strategy combinations when the manufacturer is the Stackelberg leader ( Δ = 1 , c = 1.1 , ( a ) u = 0.75 , ( b ) u = 0.2 ). Obviously, we can find Π 1 I I > Π 1 D I and ( I n d i r e c t , I n d i r e c t ) is always Nash equilibrium. Figure 4a shows that when β is small, manufacturer i’s profit is lower under ( D i r e c t , D i r e c t ) than under ( I n d i r e c t , D i r e c t ) , and thus ( D i r e c t , D i r e c t ) is not Nash equilibrium. However, when both β and n are large, we can find that manufacturer i’s profit is higher under ( D i r e c t , D i r e c t ) than under ( I n d i r e c t , D i r e c t ) and ( I n d i r e c t , I n d i r e c t ) , as shown in Figure 4b. Therefore, ( D i r e c t , D i r e c t ) is Nash equilibrium and Pareto efficient when β and n are large, which verifies Proposition 1 and 2.
As shown in Figure 5, we compare manufacturer i’s profits in different strategy combinations when the retailer is the Stackelberg leader ( Δ = 1 , c = 1.2 , ( a ) u = 0.5 , ( b ) u = 1 ). We can find that manufacturer i’s profit is higher under ( D i r e c t , D i r e c t ) than under ( I n d i r e c t , D i r e c t ) , and thus ( D i r e c t , D i r e c t ) is always Nash equilibrium. In addition, comparing Figure 5a,b, we can find that ( I n d i r e c t , I n d i r e c t ) is Nash Equilibrium when β is large. Furthermore, Figure 5b depicts that when β is small and n is large, manufacturer i’s profit is higher under ( D i r e c t , D i r e c t ) than under ( I n d i r e c t , I n d i r e c t ) , and thus ( D i r e c t , D i r e c t ) is Pareto efficient in this case. Therefore, Propositions 3 and 4 can be verified.
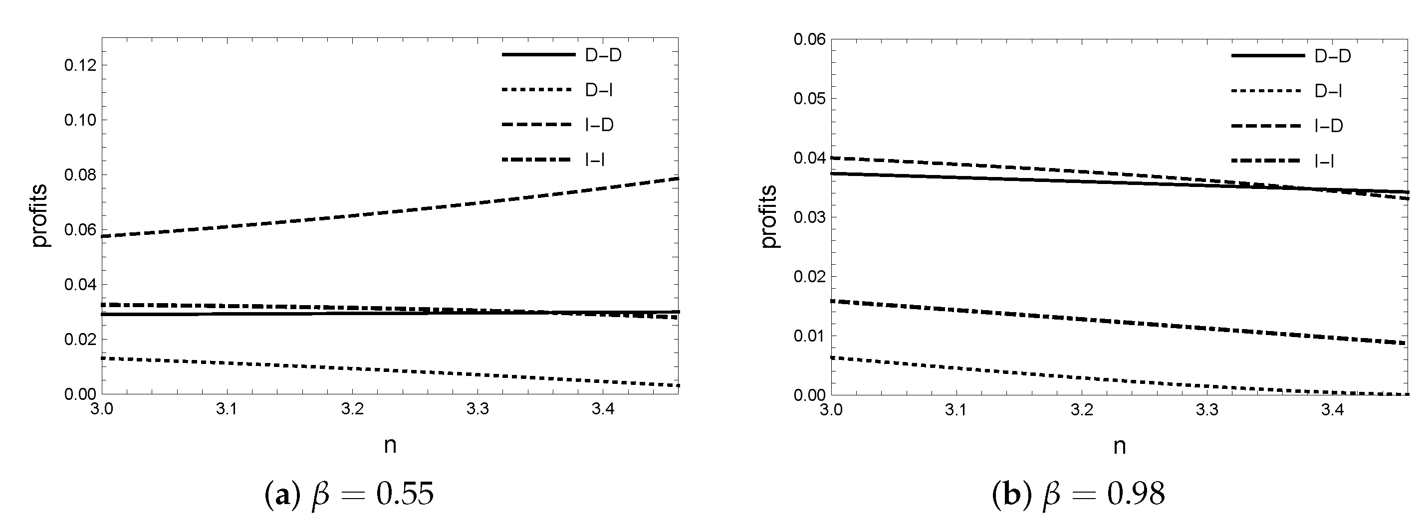
Next, we compare the manufacturer i’s profits under vertical Nash in Figure 6, where we set Δ = 1 , c = 1.2 , u = 0.5 , β = 0.8 . Figure 6 shows that manufacturer i’s profit is lower under ( D i r e c t , D i r e c t ) than under ( I n d i r e c t , D i r e c t ) , and manufacturer i’s profit is higher under ( I n d i r e c t , I n d i r e c t ) than under ( D i r e c t , I n d i r e c t ) and ( D i r e c t , D i r e c t ) . Therefore, (Indirect, Indirect) is always the unique Nash equilibrium and it is also Pareto efficient, which is consistent with Proposition 6.

6. Conclusions

This paper investigates the inter- and intra-channel implications of product recovery. We model the problem in two competing supply chains, each consisting of one manufacturer and one retailer. There are three types of power structures in the supply chain, i.e., Stackelberg-Manufacturer as the leader, Stackelberg-Retailer as the leader, and vertical Nash. Manufacturers have incorporated cost-effective remanufacturing systems so that the products could be produced from raw materials and collected used parts. Manufacturers have two options regarding the product recovery strategy, collecting used products for remanufacturing by itself (that is, direct recovery) or assigning the task of product recovery to its retailer (indirect recovery). The problem is formulated as a two-stage game. Both manufacturers determine the product recovery strategy simultaneously in the first stage. In the second stage, firms determine the operation decisions in accordance with the strategy combinations.
Our analysis indicates that when there is leadership in the supply chain, the inter-channel competition defines the meaning of product recovery strategies. Multiple equilibria occur when the competition intensity and effective ratio of collection are high, thus either direct recovery or indirect recovery may be chosen. Specifically, the firm with channel power has less incentive to increase the collection rate. A higher collection rate reduces the average production cost and enables the supply chain to charge a lower retail price. At equilibrium, manufacturers would adopt the product recovery strategy, through which a lower price is achieved. However, manufacturers may be trapped into a prisoner’s dilemma due to the intensified competition. On the other hand, the product recovery strategy, which leads to a higher retail price, can turn toward being a Pareto efficient Nash equilibrium when the competition intensity and effective ratio of collection are high. The power structure fundamentally influences the intra-channel double marginalization effect. When the manufacturers and the retailers engage in a vertical Nash game, the double marginalization effect diminishes, and indirect recovery is the unique equilibrium and is also Pareto efficient.
With a better understanding of the product recovery strategy, closed-loop supply chain management could provide more guidance to practitioners. Competition intensity, supply chain power structure, and product collection efficiency influence which product recovery strategy the manufacturer would like to adopt. Therefore, we observe that manufacturers such as Xerox, Lenovo, Epson, etc., collect the used products for remanufacturing by themselves. On the other hand, manufacturers such as Caterpillar and HP collaborate with retailers to collect used products. The managerial implication from the research is that pursuing the product recovery strategy that brings a higher collection rate and a lower retail price may cause the manufacturers to become trapped in the prisoner’s dilemma.
Our model assumes that manufacturers and retailers have the same recovery costs B. We tried but found it analytically difficult to extend our model to consider the differentiated recovery costs between manufacturers and retailers. We conjecture that our results qualitatively hold, but that the unbalanced recovery costs will influence the thresholds. For example, when the manufacturers’ recovery cost is lower (or higher), Direct (or Indirect) recovery is more likely to be the equilibrium strategy.
We assume that the firms have complete information in the game. In reality, we can see that retailers may be more informative about the market in many cases. By incorporating asymmetric information, we can gain more insights about product recovery. The other direction for future research is differentiated pricing for the products and remanufactured products.

Supplementary Materials

The following supporting information can be downloaded at: https://www.mdpi.com/article/10.3390/su15108170/s1.

Author Contributions

Writing—original draft preparation, H.D.; writing—review and editing, J.X. All authors have read and agreed to the published version of the manuscript.

Funding

This research was supported by the National Natural Science Foundation of China (71802197), and the Guangdong Basic and Applied Basic Research Foundation (2021A1515011987, 2022B1515020081).

Institutional Review Board Statement

Not applicable.

Informed Consent Statement

Not applicable.

Data Availability Statement

Data available as Supplementary Materials.

Conflicts of Interest

The authors declare no conflict of interest.

Appendix A. Second-Stage Equilibrium Results

Appendix A.1. Stackelberg-Manufacturer as the Leader

  • (Direct, Direct) Equilibrium
    When the manufacturer is the second-stage pricing game leader and both supply chains adopt direct collection, the equilibrium results are characterized as follows:
    (1) The profit margins of retailer and manufacturer are given by
    m ¯ i D D = 2 B ( μ ( 1 β ) c ) ( 8 6 β ) B ( 1 β ) Δ 2 and M ¯ i D D = 4 B ( μ ( 1 β ) c ) ( 8 6 β ) B ( 1 β ) Δ 2 ;
    (2) The collection rate is
    τ ¯ i D D = Δ ( μ ( 1 β ) c ) ( 8 6 β ) B ( 1 β ) Δ 2 ;
    (3) The profits of retailer and manufacturer are given by
    π ¯ i D D = 4 B 2 ( μ ( 1 β ) c ) 2 ( ( 8 6 β ) B ( 1 β ) Δ 2 ) 2 and Π ¯ i D D = B ( 8 B Δ 2 ) ( μ ( 1 β ) c ) 2 ( ( 8 6 β ) B ( 1 β ) Δ 2 ) 2 .
  • (Direct, Indirect) Equilibrium
    When the manufacturer is the second-stage pricing game leader, supply chain 1 adopts direct collection, and supply chain 2 adopts indirect collection, the equilibrium results are characterized as follows:
    (1) The profit margins of the retailers are given by
    m ¯ 1 D I = 2 B ( ( 4 + 3 β ) B ( 1 + β ) Δ 2 ) ( μ ( 1 β ) c ) 2 B 2 ( 16 9 β 2 ) 3 B ( 4 3 β 2 ) Δ 2 + ( 1 β 2 ) Δ 4 and
    m ¯ 2 D I = B ( ( 8 + 6 β ) B ( 1 + β ) Δ 2 ) ( μ ( 1 β ) c ) 2 B 2 ( 16 9 β 2 ) 3 B ( 4 3 β 2 ) Δ 2 + ( 1 β 2 ) Δ 4
    (2) The profit margins of manufacturers are given by
    M ¯ 1 D I = 4 B ( ( 4 + 3 β ) B ( 1 + β ) Δ 2 ) ( μ ( 1 β ) c ) 2 B 2 ( 16 9 β 2 ) 3 B ( 4 3 β 2 ) Δ 2 + ( 1 β 2 ) Δ 4 and
    M ¯ 2 D I = ( 4 B Δ 2 ) ( ( 8 + 6 β ) B ( 1 + β ) Δ 2 ) ( μ ( 1 β ) c ) 2 ( 2 B 2 ( 16 9 β 2 ) 3 B ( 4 3 β 2 ) Δ 2 + ( 1 β 2 ) Δ 4 )
    (3) The collection rates are given by
    τ ¯ 1 D I = Δ ( ( 4 + 3 β ) B ( 1 + β ) Δ 2 ) ( μ ( 1 β ) c ) 2 B 2 ( 16 9 β 2 ) 3 B ( 4 3 β 2 ) Δ 2 + ( 1 β 2 ) Δ 4 and
    τ ¯ 2 D I = Δ ( ( 8 + 6 β ) B ( 1 + β ) Δ 2 ) ( μ ( 1 β ) c ) 2 ( 2 B 2 ( 16 9 β 2 ) 3 B ( 4 3 β 2 ) Δ 2 + ( 1 β 2 ) Δ 4 )
    (4) The profits of retailers are given by
    π ¯ 1 D I = 2 B ( ( 4 + 3 β ) B ( 1 + β ) Δ 2 ) ( μ ( 1 β ) c ) 2 B 2 ( 16 9 β 2 ) 3 B ( 4 3 β 2 ) Δ 2 + ( 1 β 2 ) Δ 4 2 and
    π ¯ 2 D I = B ( 4 B Δ 2 ) ( ( 8 + 6 β ) B ( 1 + β ) Δ 2 ) 2 ( μ ( 1 β ) c ) 2 4 ( 2 B 2 ( 16 9 β 2 ) 3 B ( 4 3 β 2 ) Δ 2 + ( 1 β 2 ) Δ 4 ) 2
    (5) The profits of manufacturers are given by
    Π ¯ 1 D I = B ( 8 B Δ 2 ) ( ( 4 + 3 β ) B ( 1 + β ) Δ 2 ) 2 ( μ ( 1 β ) c ) 2 ( 2 B 2 ( 16 9 β 2 ) 3 B ( 4 3 β 2 ) Δ 2 + ( 1 β 2 ) Δ 4 ) 2 and
    Π ¯ 2 D I = B ( 4 B Δ 2 ) ( ( 8 + 6 β ) B ( 1 + β ) Δ 2 ) 2 ( μ ( 1 β ) c ) 2 2 ( 2 B 2 ( 16 9 β 2 ) 3 B ( 4 3 β 2 ) Δ 2 + ( 1 β 2 ) Δ 4 ) 2
  • (Indirect, Indirect) Equilibrium
    When the manufacturer is the second-stage pricing game leader and both supply chains adopt indirect collection, the equilibrium results are characterized as follows:
    (1) The profit margins of retailer and manufacturer are given by
    m ¯ i I I = B ( μ ( 1 β ) c ) ( 4 3 β ) B ( 1 β ) Δ 2 and M ¯ i I I = ( 4 B Δ 2 ) ( μ ( 1 β ) c ) 2 ( ( 4 3 β ) B ( 1 β ) Δ 2 )
    (2) The collection rate is given by
    τ ¯ i I I = Δ ( μ ( 1 β ) c ) 2 ( ( 4 3 β ) B ( 1 β ) Δ 2 )
    (3) The profits of retailer and manufacturer are given by
    π ¯ i I I = B ( 4 B Δ 2 ) ( μ ( 1 β ) c ) 2 4 ( ( 4 3 β ) B ( 1 β ) Δ 2 ) 2 and Π ¯ i I I = B ( 4 B Δ 2 ) ( μ ( 1 β ) c ) 2 2 ( ( 4 3 β ) B ( 1 β ) Δ 2 ) 2

Appendix A.2. Stackelberg-Retailer as the Leader

  • (Direct, Direct)
    When the retailer is the second-stage pricing game leader and both supply chains adopt direct collection, the equilibrium results are characterized as follows:
    (1) The profit margins of retailer and manufacturer are given by
    m ˜ i D D = ( 4 B Δ 2 ) ( μ ( 1 β ) c ) 2 ( ( 4 3 β ) B ( 1 β ) Δ 2 ) and M ˜ i D D = B ( μ ( 1 β ) c ) ( 4 3 β ) B ( 1 β ) Δ 2 ;
    (2) The collection rate is
    τ ˜ i D D = Δ ( μ ( 1 β ) c ) 2 ( ( 4 3 β ) B ( 1 β ) Δ 2 ) ;
    (3) The profits of retailer and manufacturer are given by
    π ˜ i D D = B ( 4 B Δ 2 ) ( μ ( 1 β ) c ) 2 2 ( ( 4 3 β ) B ( 1 β ) Δ 2 ) 2 and Π ˜ i D D = B ( 4 B Δ 2 ) ( μ ( 1 β ) c ) 2 4 ( ( 4 3 β ) B ( 1 β ) Δ 2 ) 2 .
  • (Direct, Indirect) When the manufacturer is the second-stage pricing game leader, supply chain 1 adopts direct collection, and supply chain 2 adopts indirect collection, the equilibrium results are characterized as follows:
    (1) The profit margins of the retailers are given by
    m ˜ 1 D I = ( 4 B Δ 2 ) ( ( 8 + 6 β ) B ( 1 + β ) Δ 2 ) ( μ ( 1 β ) c ) 2 ( 2 B 2 ( 16 9 β 2 ) 3 B ( 4 3 β 2 ) Δ 2 + ( 1 β 2 ) Δ 4 ) and
    m ˜ 2 D I = 4 B ( ( 4 + 3 β ) B ( 1 + β ) Δ 2 ) ( μ ( 1 β ) c ) 2 B 2 ( 16 9 β 2 ) 3 B ( 4 3 β 2 ) Δ 2 + ( 1 β 2 ) Δ 4
    (2) The profit margins of manufacturers are given by
    M ˜ 1 D I = B ( ( 8 + 6 β ) B ( 1 + β ) Δ 2 ) ( μ ( 1 β ) c ) 2 B 2 ( 16 9 β 2 ) 3 B ( 4 3 β 2 ) Δ 2 + ( 1 β 2 ) Δ 4 and
    M ˜ 2 D I = 2 B ( ( 4 + 3 β ) B ( 1 + β ) Δ 2 ) ( μ ( 1 β ) c ) 2 B 2 ( 16 9 β 2 ) 3 B ( 4 3 β 2 ) Δ 2 + ( 1 β 2 ) Δ 4
    (3) The collection rates are given by
    τ ˜ 1 D I = Δ ( ( 8 + 6 β ) B ( 1 + β ) Δ 2 ) ( μ ( 1 β ) c ) 2 ( 2 B 2 ( 16 9 β 2 ) 3 B ( 4 3 β 2 ) Δ 2 + ( 1 β 2 ) Δ 4 ) and
    τ ˜ 2 D I = Δ ( ( 4 + 3 β ) B ( 1 + β ) Δ 2 ) ( μ ( 1 β ) c ) 2 B 2 ( 16 9 β 2 ) 3 B ( 4 3 β 2 ) Δ 2 + ( 1 β 2 ) Δ 4
    (4) The profits of retailers are given by
    π ˜ 1 D I = B ( 4 B Δ 2 ) ( ( 8 + 6 β ) B ( 1 + β ) Δ 2 ) ( μ ( 1 β ) c ) 2 ( 2 B 2 ( 16 9 β 2 ) 3 B ( 4 3 β 2 ) Δ 2 + ( 1 β 2 ) Δ 4 ) and
    π ˜ 2 D I = B ( 8 B Δ 2 ) ( ( 4 + 3 β ) B ( 1 + β ) Δ 2 ) 2 ( μ ( 1 β ) c ) 2 ( 2 B 2 ( 16 9 β 2 ) 3 B ( 4 3 β 2 ) Δ 2 + ( 1 β 2 ) Δ 4 ) 2
    (5) The profits of manufacturers are given by
    Π ˜ 1 D I = B ( 4 B Δ 2 ) ( ( 8 + 6 β ) B ( 1 + β ) Δ 2 ) 2 ( μ ( 1 β ) c ) 2 4 ( 2 B 2 ( 16 9 β 2 ) 3 B ( 4 3 β 2 ) Δ 2 + ( 1 β 2 ) Δ 4 ) 2 and
    Π ˜ 2 D I = 4 B 2 ( ( 4 + 3 β ) B ( 1 + β ) Δ 2 ) 2 ( μ ( 1 β ) c ) 2 ( 2 B 2 ( 16 9 β 2 ) 3 B ( 4 3 β 2 ) Δ 2 + ( 1 β 2 ) Δ 4 ) 2
  • (Indirect, Indirect) When the retailer is the second-stage pricing game leader and both supply chains adopt indirect collection, the equilibrium results are characterized as follows:
    (1) The profit margins of retailer and manufacturer are given by
    m ˜ i I I = 4 B ( μ ( 1 β ) c ) ( 8 6 β ) B ( 1 β ) Δ 2 and M ˜ i I I = 2 B ( μ ( 1 β ) c ) ( 8 6 β ) B ( 1 β ) Δ 2 ;
    (2) The collection rate is
    τ ˜ i I I = Δ ( μ ( 1 β ) c ) ( 8 6 β ) B ( 1 β ) Δ 2 ;
    (3) The profits of retailer and manufacturer are given by
    π ˜ i I I = B ( 8 B Δ 2 ) ( μ ( 1 β ) c ) 2 ( ( 8 6 β ) B ( 1 β ) Δ 2 ) 2 and Π ˜ i I I = 4 B 2 ( μ ( 1 β ) c ) 2 ( ( 8 6 β ) B ( 1 β ) Δ 2 ) 2 .

Appendix B. Proof for Proposition 1

(1) Suppose (Direct, Direct) is the Nash equilibrium, then when manufacturer 1 chooses direct collection, it should also be optimal for manufacturer 2 to choose direct; that is, Π 2 D D > Π 2 D I . Symmetrically, when the manufacturer chooses direct collection, it should be optimal for manufacturer 1 to choose direct; that is, Π 1 D D > Π 1 I D . By symmetry, we have Π 1 D D = Π 2 D D and Π 1 I D = Π 2 D I . Therefore, checking the condition for one of the inequality is sufficient.
Π 2 D D Π 2 D I = B ( ( β 1 ) c + μ ) 2 2 × B 5 n β 4 ( n 6 ) 2 ( ( n 12 ) n + 30 ) + 2 β 2 ( n 8 ) 2 ( n 6 ) ( n 4 ) ( n 8 ) 3 ( n 4 ) ( 6 β 8 ) B ( β 1 ) Δ 2 2 β 2 1 Δ 4 + 2 9 β 2 16 B 2 + 3 4 3 β 2 B Δ 2 2
The second equality is derived by substituting Δ 2 = n B . Excluding the terms which are always positive, the major term could be written as a quadratic function of ϕ = β 2 :
M ( ϕ ) = ( n 6 ) 2 ( ( n 12 ) n + 30 ) ϕ 2 + 2 ( n 6 ) ( n 4 ) ( n 8 ) 2 ϕ ( n 8 ) 3 ( n 4 )
The parabola opens down and has a positive symmetric axis and negative intercept. Solving M ( ϕ ) = 0 , we get two roots:
ϕ 1 , 2 = 1 n 4 24 n 3 + 210 n 2 792 n + 1080 × ( n 4 26 n 3 + 248 n 2 2 n 6 40 n 5 + 660 n 4 5744 n 3 + 27776 n 2 70656 n + 73728 1024 n + 1536 )
when 6 2 2 < n < 3.5 , 0 < ϕ 1 < 1 ; when 0 < n < 6 2 2 , ϕ 1 > 0 . ϕ 2 is always greater than 1. Therefore, let β 1 ( n ) = ϕ 1 when 6 2 2 < n < 3.5 and β 1 ( n ) < β < 1 , M ( ϕ ) > 0 , i.e., Π 2 D D > Π 2 D I , ( D i r e c t , D i r e c t ) is NE.
(2) Suppose (Indirect, Indirect) is the Nash equilibrium, then when manufacturer 1 chooses indirect collection, it is optimal for player 2 to choose indirect collection; that is, Π 2 I I > Π 2 I D . When manufacturer 2 chooses indirect collection, it is optimal for player 2 to choose indirect collection; that is, Π 1 I I > Π 1 D I . On addition, we have Π 1 I I = Π 2 I I and Π 1 D I = Π 2 I D . Therefore, the two inequalities are equivalent.
Π 2 I I Π 2 I D = B ( ( β 1 ) c + μ ) 2 2 × B 5 n β 4 ( n 3 ) 2 ( ( n 12 ) n + 30 ) 2 β 2 ( n 8 ) ( n 4 ) 2 ( n 3 ) + ( n 8 ) ( n 4 ) 3 ( 3 β 4 ) B ( β 1 ) Δ 2 2 β 2 1 Δ 4 + 2 9 β 2 16 B 2 + 3 4 3 β 2 B Δ 2 2
Excluding the terms that are always positive, the major term could be written as a quadratic function of ϕ = β 2 :
M 2 ( ϕ ) = ( n 3 ) 2 ( ( n 12 ) n + 30 ) ϕ 2 2 ( n 8 ) ( n 3 ) ( n 4 ) 2 ϕ + ( n 8 ) ( n 4 ) 3
when 0 < n < 3 , the parabola opens up and has a positive symmetric axis and positive intercept. When n = 3 , M ( ϕ ) = 5 , always positive. When 3 < n < 3.5 , the parabola opens up and has a negative symmetric axis and positive intercept. When n 3 , solving M ( ϕ ) = 0 we obtain
ϕ 3 , 4 = 1 n 4 18 n 3 + 111 n 2 288 n + 270 × ( n 4 19 n 3 + 128 n 2 2 n 6 26 n 5 + 273 n 4 1492 n 3 + 4496 n 2 7104 n + 4608 368 n + 384 )
when 0 < n < 3 , ϕ 3 > 1 and ϕ 4 > 1 . When 3 < n < 3.5 , ϕ 3 < 0 and ϕ 4 < 0 . Therefore, M ( ϕ ) is always positive when 0 < n < 3.5 and 0 < β < 1 ; that is, ( I n d i r e c t , I n d i r e c t ) is always NE.
(3) Following a similar logic, we can also exclude the possibility that (Direct, Indirect) or (Indirect, Direct) might be Nash equilibrium. For example, if (Direct, Indirect) is Nash equilibrium, then the two inequalities hold: (i) Π ¯ 2 D D < Π ¯ 2 D I , (ii) Π ¯ 1 I I < Π ¯ 1 D I . That is to say, only when both (Direct Direct) and (Indirect, Indirect) are not equilibrium could (Direct, Indirect) be Nash equilibrium. This is not possible because (Indirect, Indirect) is Nash equilibrium in the available range.

Appendix C. Proof for Proposition 2

(1) If ( D i r e c t , D i r e c t ) is Pareto efficient, then none of the following conditions should hold: (i) ( Π ¯ 1 D D , Π ¯ 2 D D ) ( Π ¯ 1 D I , Π ¯ 2 D I ) , (ii) ( Π ¯ 1 D D , Π ¯ 2 D D ) ( Π ¯ 1 I D , Π ¯ 2 I D ) , (iii) ( Π ¯ 1 D D , Π ¯ 2 D D ) ( Π ¯ 1 I I , Π ¯ 2 I I ) . The first two conditions are equivalent, so we only need to check (i) and (iii). For (i), when (Direct, Direct) is the Nash equilibrium, we have Π ¯ 2 D D > Π ¯ 2 D I hold. Therefore, conditions (i) and (ii) cannot be satisfied and (Direct, Indirect) cannot be a Pareto improvement for (Direct, Direct). For (iii), we derive the condition from the comparison of Π ¯ 1 I I and Π ¯ 1 D D .
Π ¯ 1 I I Π ¯ 1 D D = B ( ( β 1 ) c + μ ) 2 2 B 3 n 30 β 2 64 β + ( β 1 ) 2 n 2 12 ( β 1 ) 2 n + 32 ( 3 β 4 ) B ( β 1 ) Δ 2 2 ( 6 β 8 ) B ( β 1 ) Δ 2 2
Excluding the terms which are always positive, the major term could be written as a quadratic function of β :
M ( β ) = β 2 n 2 12 n + 30 + β 2 n 2 + 24 n 64 + n 2 12 n + 32
when 0 < n < 3.5 , the parabola opens up and has a positive symmetric axis and positive intercept. Solving M ( β ) = 0 , we get two roots:
r o o t 1 , 2 = n 2 12 n + 32 2 n 2 12 n + 32 n 2 12 n + 30
when 0 < n < 3.5 , 0 < r o o t 1 < 1 and r o o t 2 > 1 . Therefore, when 0 < n < 3.5 and 0 < β < r o o t 1 , M ( β ) is positive, Π ¯ 1 I I > Π ¯ 1 D D . When 0 < n < 3.5 and r o o t 1 < β < 1 , Π 1 I I < Π 1 D D . Comparing r o o t 1 and β 1 ( n ) , we can get r o o t 1 < β < β 1 ( n ) . In the range when (Direct, Direct) is Nash equilibrium, condition (iii) does not hold. Therefore, we can conclude that ( D i r e c t , D i r e c t ) is Pareto efficient if it is Nash Equilibrium.
(2) Suppose (Indirect, Indirect) is Pareto efficient, then none of the following three conditions should hold: (i) ( Π ¯ 1 I I , Π ¯ 2 I I ) ( Π ¯ 1 D I , Π ¯ 2 D I ) , (ii) ( Π ¯ 1 I I , Π ¯ 2 I I ) ( Π ¯ 1 I D , Π ¯ 2 I D ) , (iii) ( Π ¯ 1 I I , Π ¯ 2 I I ) ( Π ¯ 1 D D , Π ¯ 2 D D ) . Again, the first two conditions are equivalent and when (Indirect, Indirect) is Nash equilibrium, we have Π ¯ 1 I I > Π ¯ 1 D I . Condition (i) and (ii) do not hold. From the comparison of Π ¯ 1 I I and Π ¯ 1 D D , we find that when r o o t 1 < β < 1 , Π ¯ 1 I I > Π ¯ 1 D D . Define r o o t 1 = β 2 ( n ) , we can get (Indirect, Indirect) is Pareto efficient when β 2 ( n ) < β < 1 .

References

  1. Abbey, J.; Meloy, M.; Guide, V., Jr.; Atalay, S. Remanufactured Products in Closed-loop Supply Chains for Consumer Goods. Prod. Oper. Manag. 2014, 24, 488–503. [Google Scholar] [CrossRef]
  2. Toktay, L.; Wei, D. Cost allocation in manufacturing-remanufacturing operations. Prod. Oper. Manag. 2011, 20, 841–847. [Google Scholar] [CrossRef]
  3. United States International Trade Commission. Remanufactured goods: An overview of the US and global industries, markets, and trade. USITC Publ. 2012, 4356, 332–525. [Google Scholar]
  4. Xinhua. China’s Remanufacturing Industry to Hit 200b Yuan by 2020. Available online: https://www.chinadaily.com.cn/business/2017-11/22/content_34856617.htm (accessed on 14 July 2022).
  5. Oraiopoulos, N.; Ferguson, M.; Toktay, L. Relicensing as a secondary market strategy. Manag. Sci. 2012, 58, 1022–1037. [Google Scholar] [CrossRef]
  6. Ferguson, M.; Toktay, L. The effect of competition on recovery strategies. Prod. Oper. Manag. 2006, 15, 351–368. [Google Scholar] [CrossRef]
  7. Atasu, A.; Sarvary, M.; Van Wassenhove, L. Remanufacturing as a marketing strategy. Manag. Sci. 2008, 54, 1731–1746. [Google Scholar] [CrossRef]
  8. Souza, G. Closed-loop supply chains: A critical review, and future research. Decis. Sci. 2013, 44, 7–38. [Google Scholar] [CrossRef]
  9. Northwest Product Stewardship Council. Manufacturer & Retailer Take Back Programs for Electronics. Available online: https://productstewardship.net/products/electronics/resources/programs/business (accessed on 14 July 2022).
  10. McGuire, T.; Staelin, R. An industry equilibrium analysis of downstream vertical integration. Mark. Sci. 1983, 2, 161–191. [Google Scholar] [CrossRef]
  11. Shekarian, E.; Flapper, S. Analyzing the structure of closed-loop supply chains: A game theory perspective. Sustainability 2020, 13, 1397. [Google Scholar] [CrossRef]
  12. Savaskan, R.; Bhattacharya, S.; Van Wassenhove, L. Closed-loop supply chain models with product remanufacturing. Manag. Sci. 2004, 50, 239–252. [Google Scholar] [CrossRef]
  13. Atasu, A.; Guide, V., Jr.; Wassenhove, L. Product reuse economics in closed-loop supply chain research. Prod. Oper. Manag. 2008, 17, 483–496. [Google Scholar] [CrossRef]
  14. Tang, C.; Zhou, S. Research advances in environmentally and socially sustainable operations. Eur. J. Oper. Res. 2012, 223, 585–594. [Google Scholar] [CrossRef]
  15. Abbey, J.; Guide, V., Jr. A typology of remanufacturing in closed-loop supply chains. Int. J. Prod. Res. 2018, 56, 374–384. [Google Scholar] [CrossRef]
  16. Ren, Y.; Lu, X.; Guo, H.; Xie, Z.; Zhang, H.; Zhang, C. A review of combinatorial optimization problems in reverse logistics and remanufacturing for end-of-life products. Mathematics 2023, 11, 298. [Google Scholar] [CrossRef]
  17. Bachar, R.; Bhuniya, S.; Ghosh, S.; Sarkar, B. Controllable energy consumption in a sustainable smart manufacturing model considering superior service, flexible demand, and partial outsourcing. Mathematics 2022, 10, 4517. [Google Scholar] [CrossRef]
  18. Hota, S.; Ghosh, S.; Sarkar, B. A solution to the transportation hazard problem in a supply chain with an unreliable manufacturer. AIMS Environ. Sci. 2022, 9, 354–380. [Google Scholar] [CrossRef]
  19. Sarkar, B.; Takeyeva, D.; Guchhait, R.; Sarkar, M. Optimized radio-frequency identification system for different warehouse shapes. Knowl.-Based. Syst. 2022, 258, 109811. [Google Scholar] [CrossRef]
  20. Miao, Z.; Fu, K.; Xia, Z.; Wang, Y. Models for closed-loop supply chain with trade-ins. Omega 2017, 66, 308–326. [Google Scholar] [CrossRef]
  21. Debo, L.; Toktay, L.; Van Wassenhove, L. Market segmentation and product technology selection for remanufacturable products. Manag. Sci. 2005, 51, 1193–1205. [Google Scholar] [CrossRef]
  22. Ferrer, G.; Swaminathan, J. Managing new and remanufactured products. Manag. Sci. 2006, 52, 15–26. [Google Scholar] [CrossRef]
  23. Östlin, J.; Sundin, E.; Björkman, M. Product life-cycle implications for remanufacturing strategies. J. Clean. Prod. 2009, 17, 999–1009. [Google Scholar] [CrossRef]
  24. Shi, T.; Chhajed, D.; Wan, Z.; Liu, Y. Distribution channel choice and divisional conflict in remanufacturing operations. Prod. Oper. Manag. 2020, 29, 1702–1719. [Google Scholar] [CrossRef]
  25. Atasu, A.; Özdemirzdemir, Ö.; Van Wassenhove, L. Stakeholder perspectives on E-waste take-back legislation. Prod. Oper. Manag. 2013, 22, 382–396. [Google Scholar] [CrossRef]
  26. Esenduran, G.; Kemahlıoğlu-Ziya, E. A comparison of product take-back compliance schemes. Prod. Oper. Manag. 2015, 24, 71–88. [Google Scholar] [CrossRef]
  27. Zhou, L.; Zhou, G.; Li, H.; Cao, J. Channel selection of closed-loop supply chain for scrapped agricultural machines remanufacturing. Sustainability 2023, 15, 5337. [Google Scholar] [CrossRef]
  28. Chen, S.; Pan, Y.; Wu, D.; Dolgui, A. In-house versus outsourcing collection in a closed-loop supply chain with remanufacturing technology development. Int. J. Prod. Res. 2023, 61, 1720–1735. [Google Scholar] [CrossRef]
  29. Zhou, Q.; Meng, C.; Sheu, J.; Yuen, K. Remanufacturing mode and strategic decision: A game-theoretic approach. Int. J. Prod. Econ. 2023, 260, 108841. [Google Scholar] [CrossRef]
  30. Fang, C.; Fan, S.; Qiu, Y. The choice of remanufacturing strategy for the OEM with third-party remanufacturers’ advantages. Comp. Ind. Eng. 2023; Forthcoming. [Google Scholar] [CrossRef]
  31. Ramani, V.; De Giovanni, P. A two-period model of product cannibalization in an atypical Closed-loop Supply Chain with endogenous returns: The case of DellReconnect. Eur. J. Oper. Res. 2017, 262, 1009–1027. [Google Scholar] [CrossRef]
  32. Ray, A.; De, A.; Mondal, S.; Wang, J. Selection of best buyback strategy for original equipment manufacturer and independent remanufacturer–game theoretic approach. Int. J. Prod. Res. 2020, 59, 5495–5524. [Google Scholar] [CrossRef]
  33. Kovach, J.; Atasu, A.; Banerjee, S. Salesforce Incentives and Remanufacturing. Prod. Oper. Manag. 2018, 27, 516–530. [Google Scholar] [CrossRef]
  34. Galbreth, M.; Blackburn, J. Optimal acquisition quantities in remanufacturing with condition uncertainty. Prod. Oper. Manag. 2010, 19, 61–69. [Google Scholar] [CrossRef]
  35. Clottey, T.; Benton, W.; Srivastava, R. Forecasting product returns for remanufacturing operations. Decis. Sci. 2012, 43, 589–614. [Google Scholar] [CrossRef]
  36. Savaskan, R.; Van Wassenhove, L. Reverse channel design: The case of competing retailers. Manag. Sci. 2006, 52, 1–14. [Google Scholar] [CrossRef]
  37. Moorthy, K. Strategic decentralization in channels. Mark. Sci. 1988, 7, 335–355. [Google Scholar] [CrossRef]
  38. Wang, S.; Hu, Q.; Liu, W. Price and quality-based competition and channel structure with consumer loyalty. Eur. J. Oper. Res. 2017, 262, 563–574. [Google Scholar] [CrossRef]
  39. Ha, A.; Tian, Q.; Tong, S. Information sharing in competing supply chains with production cost reduction. Manuf. Serv. Oper. Manag. 2017, 19, 246–262. [Google Scholar] [CrossRef]
  40. Li, J.; Yang, S.; Shi, V.; Zhai, S. Partial vertical centralization in competing supply chains. Int. J. Prod. Econ. 2020, 224, 107565. [Google Scholar] [CrossRef]
  41. Ma, J.; Ai, X.; Yang, W.; Pan, Y. Decentralization versus coordination in competing supply chains under retailers’ extended warranties. Ann. Oper. Res. 2019, 275, 485–510. [Google Scholar] [CrossRef]
  42. Zhao, H.; Chen, J.; Ai, X. Contract strategy in the presence of chain to chain competition. Int. J. Prod. Res. 2022, 60, 1913–1931. [Google Scholar] [CrossRef]
  43. Zhang, L.; Liu, C.; Zhang, C.; Wang, S. Upstream encroachment and downstream outsourcing in competing shipping supply chains. Int. J. Prod. Econ. 2023, 255, 108655. [Google Scholar] [CrossRef]
  44. Hezarkhani, B.; Demirel, G.; Bouchery, Y.; Dora, M. Can “ugly veg” supply chains reduce food loss? Eur. J. Oper. Res. 2023. [Google Scholar] [CrossRef]
  45. He, H.; Ai, X.; Wang, G.; Zhong, L. Manufacturer rebate strategy under chain to chain competition. J. Oper. Res. Soc. 2022, 1–15. [Google Scholar] [CrossRef]
  46. Xia, T.; Wang, Y.; Lv, L.; Cheng, T. Financing decisions of low-carbon supply chain under chain-to-chain competition. Int. J. Prod. Res. 2022, 1–24. [Google Scholar] [CrossRef]
  47. Fader, P.; Moorthy, K. Strategic interaction within a channel. In Retail and Marketing Channels (RLE Retailing and Distribution); Reddy, S.K., Pellegrini, L., Eds.; Routledge: London, UK, 2012; pp. 103–118. [Google Scholar]
  48. Choi, S. Price competition in a channel structure with a common retailer. Mark. Sci. 1991, 10, 271–296. [Google Scholar] [CrossRef]
  49. Zha, Y.; Wu, X.; Liu, H.; Yu, Y. Impact of a platform developer’s entry on the device manufacturer with different power structures and revenue models. Omega 2023, 115, 102769. [Google Scholar] [CrossRef]
  50. Xiao, Y.; Niu, W.; Zhang, L.; Xue, W. Store brand introduction in a dual-channel supply chain: The roles of quality differentiation and power structure. Omega 2023, 116, 102802. [Google Scholar] [CrossRef]
  51. Chen, W.; Fan, J.; Du, H.; Zhong, P. Investment strategy for renewable energy and electricity service quality under different power structures. J. Ind. Manag. Optim. 2023, 19, 1550–1572. [Google Scholar] [CrossRef]
  52. Shi, R.; Zhang, J.; Ru, J. Impacts of power structure on supply chains with uncertain demand. Prod. Oper. Manag. 2013, 22, 1232–1249. [Google Scholar] [CrossRef]
  53. Lariviere, M.; Porteus, E. Selling to the newsvendor: An analysis of price-only contracts. Manuf. Serv. Oper. Manag. 2001, 3, 293–305. [Google Scholar] [CrossRef]
  54. Raju, J.; Zhang, Z. Channel coordination in the presence of a dominant retailer. Mark. Sci. 2005, 24, 254–262. [Google Scholar] [CrossRef]
  55. Geylani, T.; Dukes, A.; Srinivasan, K. Strategic manufacturer response to a dominant retailer. Mark. Sci. 2007, 26, 164–178. [Google Scholar] [CrossRef]
  56. Jeuland, A.; Shugan, S. Managing channel profits. Mark. Sci. 1983, 2, 239–272. [Google Scholar] [CrossRef]
  57. Zheng, B.; Yang, C.; Yang, J.; Zhang, M. Dual-channel closed loop supply chains: Forward channel competition, power structures and coordination. Int. J. Prod. Res. 2017, 55, 3510–3527. [Google Scholar] [CrossRef]
  58. Ertek, G.; Griffin, P. Supplier-and buyer-driven channels in a two-stage supply chain. IIE Trans. 2002, 34, 691–700. [Google Scholar] [CrossRef]
  59. Ferguson, M. When to commit in a serial supply chain with forecast updating. Nav. Res. Logist. 2003, 50, 917–936. [Google Scholar] [CrossRef]
  60. Ferguson, M.; DeCroix, G.; Zipkin, P. Commitment decisions with partial information updating. Nav. Res. Logist. 2005, 52, 780–795. [Google Scholar] [CrossRef]
  61. Majumder, P.; Srinivasan, A. Leader location, cooperation, and coordination in serial supply chains. Prod. Oper. Manag. 2006, 15, 22–39. [Google Scholar] [CrossRef]
  62. Meng, X.; Yao, Z.; Nie, J.; Zhao, Y.; Li, Z. Low-carbon product selection with carbon tax and competition: Effects of the power structure. Int. J. Prod. Econ. 2018, 200, 224–230. [Google Scholar] [CrossRef]
  63. Nagarajan, M.; Sošić, G. Coalition stability in assembly models. Oper. Res. 2009, 57, 131–145. [Google Scholar] [CrossRef]
  64. Cheng, J.; Li, B.; Gong, B.; Cheng, M.; Xu, L. The optimal power structure of environmental protection responsibilities transfer in remanufacturing supply chain. J. Clean. Prod. 2017, 153, 558–569. [Google Scholar] [CrossRef]
  65. Chen, H.; Dong, Z.; Li, G.; He, K. Remanufacturing process innovation in closed-loop supply chain under cost-sharing mechanism and different power structures. Comp. Ind. Eng. 2021, 162, 107743. [Google Scholar]
  66. Yang, F.; Wang, M.; Ang, S. Optimal remanufacturing decisions in supply chains considering consumers’ anticipated regret and power structures. Transportation. Res. E-Log. 2021, 148, 102267. [Google Scholar] [CrossRef]
  67. Singh, N.; Vives, X. Price and quantity competition in a differentiated duopoly. RAND J. Econ. 1984, 546–554. [Google Scholar]
Figure 1. Supply chain structure.
Figure 1. Supply chain structure.
Sustainability 15 08170 g001
Figure 2. Manufacturer leader: first-stage equilibrium.
Figure 2. Manufacturer leader: first-stage equilibrium.
Sustainability 15 08170 g002
Figure 3. Retailer leader: first-stage equilibrium.
Figure 3. Retailer leader: first-stage equilibrium.
Sustainability 15 08170 g003
Figure 4. The comparisons of manufacturer i’s profits when the manufacturer is the Stackelberg leader.
Figure 4. The comparisons of manufacturer i’s profits when the manufacturer is the Stackelberg leader.
Sustainability 15 08170 g004
Figure 5. The comparisons of manufacturer i’s profits when the retailer is the Stackelberg leader.
Figure 5. The comparisons of manufacturer i’s profits when the retailer is the Stackelberg leader.
Sustainability 15 08170 g005
Figure 6. The comparisons of manufacturer i’s profits under vertical Nash.
Figure 6. The comparisons of manufacturer i’s profits under vertical Nash.
Sustainability 15 08170 g006
Table 1. Authors’ contribution table.
Table 1. Authors’ contribution table.
AuthorsRemanufacturing and Product RecoveryChain-to-Chain CompetitionPower Structure
Abbey and Guide [15]
Ren et al. [16]
Zhou et al. [27]
Chen et al. [28]
Zhou et al. [29]
Fang et al. [30]
Ramani and De Giovanni [31]
Ray et al. [32]
Kovach et al. [33]
Wang et al. [38]
Ma et al. [41]
Zhao et al. [42]
Zhang et al. [43]
Hezarkhani et al. [44]
Choi [48]
Zha et al. [49]
Xiao et al. [50]
Chen et al. [51]
Shi et al. [52]
Zheng et al. [57]
Majumder and Srinivasan [61]
Meng et al. [62]
Cheng et al. [64]
Chen et al. [65]
Yang et al. [66]
This paper
Table 2. Summary of notations.
Table 2. Summary of notations.
Index
itwo competing supply chains, i { 1 , 2 }
Decision variables
τ i collection rate
p i retail price
w i wholesale price
m i retail margins
M i wholesale margins
Parameters
μ base market size
β substitution level of products
cunit manufacturing cost
c r unit marginal production cost for remanufacturing
Δ cost benefit of remanufacturing, Δ = c c r
b i unit buyback cost to the retailer in indirect collection mode
Bscale parameter to characterize efficiency of remanufacturing investment
Table 3. Strategy matrix.
Table 3. Strategy matrix.
DirectIndirect
DirectD-DD-I
IndirectI-DI-I
Disclaimer/Publisher’s Note: The statements, opinions and data contained in all publications are solely those of the individual author(s) and contributor(s) and not of MDPI and/or the editor(s). MDPI and/or the editor(s) disclaim responsibility for any injury to people or property resulting from any ideas, methods, instructions or products referred to in the content.

Share and Cite

MDPI and ACS Style

Duan, H.; Xu, J. Remanufacturing and Product Recovery Strategies Considering Chain-to-Chain Competition and Power Structures. Sustainability 2023, 15, 8170. https://doi.org/10.3390/su15108170

AMA Style

Duan H, Xu J. Remanufacturing and Product Recovery Strategies Considering Chain-to-Chain Competition and Power Structures. Sustainability. 2023; 15(10):8170. https://doi.org/10.3390/su15108170

Chicago/Turabian Style

Duan, Housheng, and Jiayan Xu. 2023. "Remanufacturing and Product Recovery Strategies Considering Chain-to-Chain Competition and Power Structures" Sustainability 15, no. 10: 8170. https://doi.org/10.3390/su15108170

APA Style

Duan, H., & Xu, J. (2023). Remanufacturing and Product Recovery Strategies Considering Chain-to-Chain Competition and Power Structures. Sustainability, 15(10), 8170. https://doi.org/10.3390/su15108170

Note that from the first issue of 2016, this journal uses article numbers instead of page numbers. See further details here.

Article Metrics

Back to TopTop