Research on Indoor Thermal Environment Analysis and Optimization Strategy of Rural Dwellings around Xi’an Based on PET Evaluation
Abstract
1. Introduction
1.1. Overview of Rural Dwelling Development
1.2. Research on the Indoor Thermal Environment of Rural Dwellings
1.3. Current Situation of Rural Dwellings around Xi’an
- Many traditional building practices that adapt to the local climate and can improve the indoor thermal environment are abandoned.
- Due to insufficient construction technology, the heat insulation effect of rural dwellings is poor.
- There is a lack of sustainable housing design, and there are a great deal of over-design phenomena in rural areas [41].
1.4. Evaluation Methods for the Indoor Thermal Environment
2. Materials and Methods
2.1. Field Investigation Method
2.1.1. Selection of Investigation Objects
2.1.2. Investigation Method
- Current Status Record of Architectural Design
- 2.
- Mapping of Architectural Space Dimensions
2.2. Software Simulation Method
2.2.1. Selection of Simulation Software
2.2.2. Simulation Method
- Boundary Condition Settings
- 2.
- Establishment of the Basic Model
- 3.
- Univariate Simulation and Evaluation
- 4.
- Composite-Variable Simulation and Optimization Strategy
3. Field Investigation Results
3.1. Investigation Objects
3.2. Architectural Design and Construction Element Measurement
3.3. Measurement of Building Space Dimensions
3.3.1. Building Space Dimensions
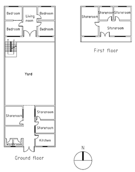
3.3.2. Building Plans
3.4. Extraction of Rural Dwellings’ Design Elements
4. Software Simulation Results
4.1. Boundary Condition Settings
4.1.1. Outdoor Climate Conditions Setting
4.1.2. Building Thermal Conditions Setting
4.1.3. Personnel Object Conditions Setting
4.1.4. PET Calculation Conditions Setting
4.2. Basic Model Establishment
4.3. Univariate Simulation Results and Evaluation
4.3.1. Univariate Simulation Process
4.3.2. Evaluation of Univariate Simulation Results
4.4. Composite-Variable Simulation Results and Optimization Strategy
4.4.1. Composite-Variable Simulation Results
4.4.2. Optimization Strategy
5. Discussion
5.1. Comparison with Previous Studies
5.2. Limitations of the Study
5.3. Economic Issues of Optimization Strategies
5.4. Possible Future Research Directions
6. Conclusions
- Through field investigation, it was found that the 11 rural dwellings in the study had similar characteristics in terms of homestead shape, courtyard spatial layout, building structure, building form, and functional room types, which was consistent with the current characteristics of rural dwellings around Xi’an. There were differences in the building orientation, number of floors, building materials, and building spatial dimensions. The value or type range of each design element was extracted through measurements. Based on the measurement results, the basic model of rural dwellings around Xi’an was established.
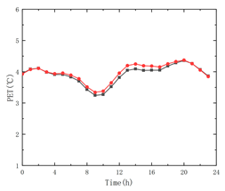
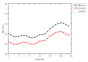
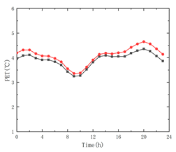
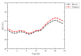
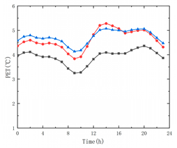
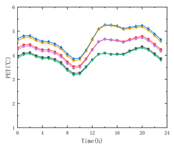
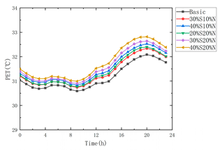
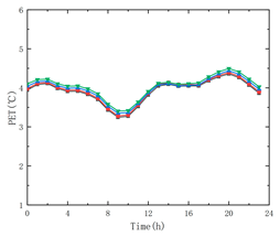
- This study simulated the indoor PET of the basic model on the winter solstice and summer solstice days under the variation of single design indicators, including the building orientation, floor height, roof type, exterior wall cladding material, insulation layer setting method, window-to-wall ratio, and window material. The optimal values for each indicator that resulted in the best overall indoor thermal environment in winter and summer were as follows: south-facing orientation, 3.0 m floor height, color steel roof, cement exterior wall cladding material, external insulation, 40% south window-to-wall ratio, 10% north window-to-wall ratio, and aluminum alloy double glass window material.
- Through composite-variable simulation, this study obtained the indoor PET simulation, resulting in 8400 working conditions corresponding to various building lengths, widths, heights, south window-to-wall ratios, north window-to-wall ratios, and insulation layer thicknesses. By comparing the results, a comprehensive design optimization strategy for rural dwellings was obtained. Compared to the basic model, this strategy optimized the building size, roof type, insulation layer setting method, window-to-wall ratio, and material. The optimized building had a length of 12.6 m, width of 7.8 m, floor height of 2.7 m, with a south window-to-wall ratio of 10%, and a north window-to-wall ratio of 10%. It used a color steel roof, a 60 mm-thick external insulation layer, a cement exterior wall cladding material, and an aluminum alloy double glass window material. By optimizing the design indicators, the indoor thermal environment in winter and summer can be improved, especially the PET value in winter. The optimization strategy can achieve an average increase of 4.17 °C in the winter PET value and an average decrease of 0.66 °C in summer. This study provides a reference for the design and renovation of rural dwellings in Xi’an and other rural areas in the cold regions of China and further provides assistance for the development of building energy conservation and green buildings in China.
Author Contributions
Funding
Institutional Review Board Statement
Informed Consent Statement
Data Availability Statement
Conflicts of Interest
Appendix A. Results of the Field Investigation and Univariate Simulation
| Element | 1 | 2 | 3 | 4 | 5 | 6 | 7 | 8 | 9 | 10 | 11 | |
|---|---|---|---|---|---|---|---|---|---|---|---|---|
| Orientation | East | North | West | West | South | West | West | East | South | South | North | |
| Building structure | BC 1 | BC | BC | BC | BC | BC | BC | BC | BC | BC | BC | |
| Insulation layer | - | - | - | - | - | - | - | - | - | - | - | |
| Exterior wall cladding material | CT 2 | CT | CT | CT | CT | CT | C 3 | B 4 | CT | CT | CT | |
| Roof type | Flat roof | Flat roof | Pitched roof | Flat roof | Pitched roof | Flat roof | Pitched roof | Pitched roof | Flat roof | Flat roof | Pitched roof | |
| Roof cladding material | C | C | CS 5 | C | T 6 | C | CS | T | C | C | T | |
| Window frame material | W 7 | A 8 | A | W | W | A | W | W | W | A | W | |
| Window glass type | Single glass | Single glass | Single glass | Single glass | Single glass | Single glass | Single glass | Single glass | Single glass | Single glass | Single glass | |
| Number of rooms | 9 | 11 | 7 | 4 | 13 | 7 | 11 | 4 | 15 | 7 | 9 | |
| Number of functional rooms | Living room | 1 | 1 | 1 | 1 | 1 | 1 | 1 | 1 | 1 | 1 | 1 |
| Bedroom | 5 | 4 | 2 | 2 | 3 | 3 | 2 | 2 | 4 | 3 | 2 | |
| Kitchen | 1 | 1 | 1 | 1 | 1 | 1 | 1 | 0 | 1 | 1 | 1 | |
| Washroom | 1 | 3 | 1 | 0 | 2 | 2 | 0 | 0 | 2 | 0 | 1 | |
| Storeroom | 1 | 2 | 2 | 0 | 0 | 0 | 7 | 1 | 7 | 2 | 4 | |
| Other | - | - | - | - | - | - | Shop1 | - | - | - | - | |
| Element | 1 | 2 | 3 | 4 | 5 | 6 | 7 | 8 | 9 | 10 | 11 | |
|---|---|---|---|---|---|---|---|---|---|---|---|---|
| Homestead width (m) | 12.3 | 10.9 | 13.6 | 9.2 | 14.0 | 10.4 | 10.8 | 14.1 | 11.5 | 9.8 | 12.1 | |
| Homestead length (m) | 24.7 | 12.6 | 26.6 | 16.6 | 19.7 | 15.0 | 19.2 | 17.0 | 31.5 | 15.8 | 18.5 | |
| Homestead area (m2) | 303.8 | 137.3 | 361.8 | 152.7 | 247.7 | 156 | 207.4 | 239.7 | 362.3 | 154.8 | 223.9 | |
| Courtyard area (m2) | 144.7 | 32.9 | 233.6 | 63.4 | 105.5 | 51.9 | 55.8 | 154.7 | 203.7 | 53.4 | 126.1 | |
| Main living room length (m) | 12.3 | 10.9 | 10.6 | 9.2 | 10.2 | 10.4 | 10.8 | 9.9 | 11.5 | 9.8 | 9.6 | |
| Main living room width (m) | 7.0 | 7.6 | 7.4 | 6.5 | 7.7 | 7.2 | 6.2 | 6.2 | 6.9 | 6.1 | 6.0 | |
| Gross floor area (m2) | 100.9 | 75.6 | 72.8 | 53.7 | 76.0 | 68.0 | 60.3 | 56.3 | 72.2 | 53.6 | 52.6 | |
| Number of floors | 2 | 2 | 2 | 1 | 2 | 1 | 2 | 1 | 2 | 1 | 2 | |
| Floor height (m) | Ground floor | 3.5 | 3.8 | 3.0 | 3.6 | 3.8 | 3.6 | 3.6 | 3.0 | 3.6 | 3.6 | 3.0 |
| First floor | 2.7 | 3.8 | 3.9 | - | 3.5 | - | 3.6 | - | 3.6 | - | 3.0 | |
| Building height (m) | 6.7 | 8.8 | 7.9 | 4.2 | 7.7 | 4.1 | 8.2 | 3.6 | 7.7 | 4.9 | 6.7 | |
| Building area (m2) | 181.8 | 151.2 | 185.1 | 53.7 | 152.0 | 68.0 | 120.6 | 56.3 | 164.2 | 53.6 | 105.2 | |
| Main living room area (m2) | Living room | 32.3 | 31.5 | 23.1 | 17.1 | 29.5 | 23.5 | 19.7 | 18.0 | 20.2 | 20.5 | 16.8 |
| Bedroom1 | 21.8 | 8.0 | 23.1 | 17.1 | 10.8 | 10.9 | 19.1 | 18.0 | 12.9 | 17.1 | 16.8 | |
| Bedroom2 | 21.8 | 12.2 | 23.1 | 17.1 | 23.6 | 15.2 | 19.1 | 18.0 | 11.0 | 6.6 | 16.8 | |
| Bedroom3 | 21.8 | 23.0 | - | - | 13.7 | 15.2 | - | - | 12.9 | 6.6 | - | |
| Bedroom4 | 32.3 | 23.0 | - | - | 13.7 | - | - | - | 11.0 | - | - | |
| Bedroom5 | 21.8 | - | - | - | - | - | - | - | - | - | - | |
| Auxiliary room area (m2) | Kitchen | 24.8 | 6.8 | 13.0 | 21.8 | 19.0 | 10.9 | 10.2 | - | 11.6 | 7.8 | 10.9 |
| Washroom | 2.9 | 11.9 | 3.9 | - | 11.2 | 5.6 | - | - | 5.9 | - | 3.9 | |
| Storeroom | 16.8 | 22.8 | 41.7 | - | 72.3 | - | 126.0 | 11.2 | 114.8 | 23.5 | 63.5 | |
| Window-to-wall ratio | East | 20% | 0 | 24% | 27% | 0 | 13% | 15% | 12% | 0 | 0 | 0 |
| West | 24% | 0 | 24% | 27% | 0 | 31% | 22% | 7% | 0 | 0 | 0 | |
| South | 0 | 47% | 0 | 0 | 32% | 0 | 0 | 0 | 23% | 25% | 14% | |
| North | 0 | 44% | 0 | 0 | 24% | 0 | 0 | 0 | 17% | 25% | 19% | |
| Winter | Summer | |
|---|---|---|
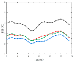
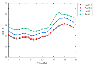
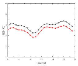
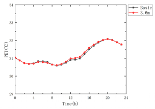
| Orientation | ![]() | ![]() |
| Floor height | ![]() | ![]() |
| Roof form | ![]() | ![]() |
| Exterior wall cladding material | ![]() | ![]() |
| Insulation layer | ![]() | ![]() |
| Window-to-wall ratio | ![]() | ![]() |
| Window material | ![]() | ![]() |
References
- Li, H.B.; Yuan, Y.; Zhang, X.L.; Li, Z.; Wang, Y.H.; Hu, X.L. Evolution and transformation mechanism of the spatial structure of rural settlements from the perspective of long-term economic and social change: A case study of the Sunan region, China. J. Rural Stud. 2022, 93, 234–243. [Google Scholar] [CrossRef]
- Ministry of Housing and Urban-Rural Development of the People’s Republic of China. China Urban-Rural Construction Statistical Yearbook 2020; China Statistics Press: Beijing, China, 2021.
- Jiang, Q.; Li, Y.H.; Si, H.Y. Digital Economy Development and the Urban-Rural Income Gap: Intensifying or Reducing. Land 2022, 11, 1980. [Google Scholar] [CrossRef]
- National Bureau of Statistics of China. China Statistical Yearbook 2020; China Statistics Press: Beijing, China, 2021.
- Ao, Y.B.; Zhang, Y.T.; Wang, Y.; Chen, Y.F.; Yang, L.C. Influences of rural built environment on travel mode choice of rural residents: The case of rural Sichuan. J. Transp. Geogr. 2020, 85, 102708. [Google Scholar] [CrossRef]
- Xu, J.; Ma, H.T.; Luo, J.; Huo, X.P.; Yao, X.B.; Yang, S.M. Spatial optimization mode of China’s rural settlements based on quality-of-life theory. Environ. Sci. Pollut. Res. 2019, 26, 13854–13866. [Google Scholar] [CrossRef]
- Ma, L.B.; Liu, S.C.; Fang, F.; Che, X.L.; Chen, M.M. Evaluation of urban-rural difference and integration based on quality of life. Sustain. Cities Soc. 2020, 54, 101877. [Google Scholar] [CrossRef]
- Li, Y.X.; Xie, Z.F.; Li, B.; Mohiuddin, M. The Impacts of In Situ Urbanization on Housing, Mobility and Employment of Local Residents in China. Sustainability 2022, 14, 9058. [Google Scholar] [CrossRef]
- Zhao, Q.L.; Jiang, G.H.; Ma, W.Q.; Yang, Y.T.; Zhou, T. The production function socialization trend of rural housing land and its response to rural land planning in metropolitan suburbs from the perspective of rural space commodification. Front. Environ. Sci. 2022, 10, 979698. [Google Scholar] [CrossRef]
- Liu, Y. The basic theory and methodology of rural revitalization planning in China. Acta Geogr. Sin. 2020, 75, 1120–1133. [Google Scholar]
- Xiong, Y.; Liu, J.L.; Kim, J.S. Understanding differences in thermal comfort between urban and rural residents in hot summer and cold winter climate. Build. Environ. 2019, 165, 106393. [Google Scholar] [CrossRef]
- Zhang, X.C.; Zhang, X.Q. Comparison and sensitivity analysis of embodied carbon emissions and costs associated with rural house construction in China to identify sustainable structural forms. J. Clean. Prod. 2021, 293, 126190. [Google Scholar] [CrossRef]
- Cui, Y.Q.; Sun, N.H.; Cai, H.B.; Li, S.M. Indoor Temperature Improvement and Energy-Saving Renovations in Rural Houses of China’s Cold Region-A Case Study of Shandong Province. Energies 2020, 13, 870. [Google Scholar] [CrossRef]
- Gao, J.L.; Jiang, W.X.; Chen, J.L.; Liu, Y.S. Housing-industry symbiosis in rural China: A multi-scalar analysis through the lens of land use. Appl. Geogr. 2020, 124, 102281. [Google Scholar] [CrossRef]
- Dongyang, L.; Lei, Y.; Xiang, C.; Gaoju, S. The Visualization Study on Research Progress of Thermal Comfort for Indoor Environment Based on CiteSpace. IOP Conf. Ser. Earth Environ. Sci. 2020, 514, 032033. [Google Scholar] [CrossRef]
- Liu, Z.M.; Jin, Y.M.; Jin, H. The Effects of Different Space Forms in Residential Areas on Outdoor Thermal Comfort in Severe Cold Regions of China. Int. J. Environ. Res. Public Health 2019, 16, 3960. [Google Scholar] [CrossRef] [PubMed]
- Li, Z.X.; Tian, M.M.; Zhao, Y.F.; Zhang, Z.; Ying, Y.X. Development of an Integrated Performance Design Platform for Residential Buildings Based on Climate Adaptability. Energies 2021, 14, 8223. [Google Scholar] [CrossRef]
- Chen, J.H.; Lu, L.; Gong, Q.; Lau, W.Y.; Cheung, K.H. Techno-economic and environmental performance assessment of radiative sky cooling-based super-cool roof applications in China. Energy Convers. Manag. 2021, 245, 114621. [Google Scholar] [CrossRef]
- Ma, X.; Zhao, J. Simulation Study on The Influence of Greening Rate of Urban Residential Clusters on the Distribution of Suspended Particulate Matters. Appl. Ecol. Environ. Res. 2019, 17, 10335–10356. [Google Scholar] [CrossRef]
- Zhang, X.F.; Wang, Y.P.; Zhou, D.A.; Yang, C.; An, H.B.; Teng, T. Comparison of Summer Outdoor Thermal Environment Optimization Strategies in Different Residential Districts in Xi’an, China. Buildings 2022, 12, 1332. [Google Scholar] [CrossRef]
- Dauletbek, A.; Zhou, P.G. BIM-based LCA as a comprehensive method for the refurbishment of existing dwellings considering environmental compatibility, energy efficiency, and profitability: A case study in China. J. Build. Eng. 2022, 46, 103852. [Google Scholar] [CrossRef]
- Wang, Z.J.; Xue, Q.W.; Ji, Y.C.; Yu, Z.Y. Indoor environment quality in a low-energy residential building in winter in Harbin. Build. Environ. 2018, 135, 194–201. [Google Scholar] [CrossRef]
- Liu, M.; Zhang, B.G.; Ren, J.W.; Lian, C.L.; Yuan, J.; Hao, Q.L. Whole Life-Cycle Ecological Footprint of Rural Existing Houses in Northern China. Buildings 2018, 8, 92. [Google Scholar] [CrossRef]
- Shao, N.N.; Zhang, J.L.; Ma, L.D. Analysis on indoor thermal environment and optimization on design parameters of rural residence. J. Build. Eng. 2017, 12, 229–238. [Google Scholar] [CrossRef]
- Ren, Y.-C.; Liu, Q.-B. Green Performance of Rural Houses Based on Regional Adaptability. Build. Energy Effic. 2021, 2021, 26–33. [Google Scholar]
- Shao, T.; Jin, H.; Zheng, W.X. Optimization Research of Rural Houses Envelope Parameters in Severe Cold Regions of China. IOP Conf. Ser. Earth Environ. Sci. 2020, 581, 012037. [Google Scholar] [CrossRef]
- Chi, F.A.; Wang, Y.H.; Wang, R.N.; Li, G.M.; Peng, C.H. An investigation of optimal window-to-wall ratio based on changes in building orientations for traditional dwellings. Sol. Energy 2020, 195, 64–81. [Google Scholar] [CrossRef]
- Zhang, S.J.; Jiang, J.M.; Gao, W.J. Application evaluation and optimization of the sunroom in rural residential houses in Southeast Shandong Province, China. Sol. Energy 2023, 251, 208–222. [Google Scholar] [CrossRef]
- Zhang, B.G.; Cai, X.L.; Liu, M. Study on a New Type of Ventilation System for Rural Houses in Winter in the Severe Cold Regions of China. Buildings 2022, 12, 1010. [Google Scholar] [CrossRef]
- Fan, J.L.; Zeng, B.; Hu, J.W.; Zhang, X.; Wang, H. The impact of climate change on residential energy consumption in urban and rural divided southern and northern China. Environ. Geochem. Health 2020, 42, 969–985. [Google Scholar] [CrossRef]
- Pan, W.T.; Mei, H.Y. A Design Strategy for Energy-Efficient Rural Houses in Severe Cold Regions. Int. J. Environ. Res. Public Health 2020, 17, 6481. [Google Scholar] [CrossRef]
- Shao, T.; Zheng, W.X.; Cheng, Z. Passive Energy-Saving Optimal Design for Rural Residences of Hanzhong Region in Northwest China Based on Performance Simulation and Optimization Algorithm. Buildings 2021, 11, 421. [Google Scholar] [CrossRef]
- Xi’an Municipal Bureau of Statistics. Xi’an Statistical Yearbook 2020; China Statistics Press: Beijing, China, 2020.
- Shao, T.; Zheng, W.X.; Li, X.X.; Yang, W.L.; Wang, R.X. Multi-objective optimization design for rural houses in western zones of China. Archit. Sci. Rev. 2022, 65, 260–277. [Google Scholar] [CrossRef]
- Zhao, Q.; Fan, X.N.; Wang, Q.; Sang, G.C.; Zhu, Y.Y. Research on Energy-Saving Design of Rural Building Wall in Qinba Mountains Based on Uniform Radiation Field. Math. Probl. Eng. 2020, 2020, 9786895. [Google Scholar] [CrossRef]
- Cai, S.S. Research on the spatial form of traditional Guanzhong residential buildings in Shaanxi, China. Urban Archit. Space 2022, 29, 197–199+202. [Google Scholar]
- Zhang, B.T.; Liu, Z.Y. Shaanxi Residential Buildings; China Architecture & Building Press: Beijing, China, 2018. [Google Scholar]
- Yu, Z.C.; Liu, J.P. Research on vernacular dwelling of Guanzhong area. J. Northwest Univ. (Nat. Sci. Ed.) 2009, 39, 860–864. [Google Scholar]
- Liu, Y.D.; Ning, Q. Triple understanding of Guanzhong Narrow Courtyard and its house space. J. Hous. Built Environ. 2021, 36, 521–537. [Google Scholar] [CrossRef]
- Li, Y.; Lian, M. Analysis on the Layout of Traditional Residential Courtyards and Building Structures in Guanzhong Area, ShaanxiTaking Xiaojiapo Village in Lantian County as an example. IOP Conf. Ser. Earth Environ. Sci. 2021, 768, 012141. [Google Scholar] [CrossRef]
- He, W.; Chen, Y.; Wang, D.; Chen, G. Classification of Existing Residential Indoor Thermal Comfort in Cold Regions of China: A Case of Xi’an. Build. Sci. 2019, 35, 61. [Google Scholar]
- Chang, H.; Lee, I. A Study of Passive Design Strategy on Typical Village House in XiAn, Northwestern China. Korean Soc. Living Environ. Syst. 2019, 26, 400–414. [Google Scholar] [CrossRef]
- Morakinyo, T.E.; Dahanayake, K.W.D.K.C.; Adegun, O.B.; Balogun, A.A. Modelling the effect of tree-shading on summer indoor and outdoor thermal condition of two similar buildings in a Nigerian university. Energy Build. 2016, 130, 721–732. [Google Scholar] [CrossRef]
- Sharmin, T.; Steemers, K.; Humphreys, M. Outdoor thermal comfort and summer PET range: A field study in tropical city Dhaka. Energy Build. 2019, 198, 149–159. [Google Scholar] [CrossRef]
- Sulzer, M.; Christen, A.; Matzarakis, A. Predicting indoor air temperature and thermal comfort in occupational settings using weather forecasts, indoor sensors, and artificial neural networks. Build. Environ. 2023, 234, 110077. [Google Scholar] [CrossRef]
- Chen, Y.C.; Chen, W.N.; Chou, C.C.K.; Matzarakis, A. Concepts and New Implements for Modified Physiologically Equivalent Temperature. Atmosphere 2020, 11, 694. [Google Scholar] [CrossRef]
- Tian, Z.; Zhang, X.; Jin, X.; Zhou, X.; Si, B.; Shi, X. Towards adoption of building energy simulation and optimization for passive building design: A survey and a review. Energy Build. 2018, 158, 1306–1316. [Google Scholar] [CrossRef]
- Azar, E.; O’Brien, W.; Carlucci, S.; Hong, T.; Sonta, A.; Kim, J.; Andargie, M.S.; Abuimara, T.; El Asmar, M.; Jain, R.K.; et al. Simulation-aided occupant-centric building design: A critical review of tools, methods, and applications. Energy Build. 2020, 224, 110292. [Google Scholar] [CrossRef]
- Ostergard, T.; Jensen, R.L.; Maagaard, S.E. Building simulations supporting decision making in early design—A review. Renew. Sustain. Energy Rev. 2016, 61, 187–201. [Google Scholar] [CrossRef]
- Ministry of Housing and Urban-Rural Development of the People’s Republic of China. GB/T 50176-2016 Technical Standard for Thermal Design of Civil Buildings; China Architecture & Building Press: Beijing, China, 2016.
- Department of Housing and Urban-Rural Development of Shaanxi Province. DB/J 61/T91-2014 Energy Saving Technical Standard for Rural Residential Buildings in Xi’an Area; China Architecture & Building Press: Beijing, China, 2014.
- Xi’an Municipal People’s Government. Xi’an “14th Five-Year” Agricultural and Rural Modernization Plan; General Office of Xi’an Municipal People’s Government: Xi’an, China, 2022.
- Zhang, T.; Hu, Q.N.; Ding, Q.; Zhou, D.; Gao, W.J.; Fukuda, H. Towards a Rural Revitalization Strategy for the Courtyard Layout of Vernacular Dwellings Based on Regional Adaptability and Outdoor Thermal Performance in the Gully Regions of the Loess Plateau, China. Sustainability 2021, 13, 13074. [Google Scholar] [CrossRef]
- Cheng, T.; Wang, N.; Liu, C.H.; Iop. Research on Energy Consumption of Building Layout and Envelope for Rural Housing in the Cold Region of China. In Proceedings of the 4th Asia Conference of International-Building-Performance-Simulation-Association (ASIM), Hong Kong, China, 3–5 December 2018. [Google Scholar]
- Zhang, T.; Duan, Y.C.; Jiao, Z.Q.; Ye, X.; Hu, Q.N.; Fukuda, H.; Gao, W.J. Towards Improving Rural Living Environment for Chinese Cold Region Based on Investigation of Thermal Environment and Space Usage Status. Buildings 2022, 12, 2139. [Google Scholar] [CrossRef]






| Type | Classification |
|---|---|
| Structure | Raw soil structure, brick–concrete structure |
| Number of floors | 1, 2 |
| Roof form | Flat roof, pitched roof, semi-pitched roof |
| Exterior wall cladding material | Ceramic tile, cement, brick, raw soil |
| Simulation Engines | Computing Scene | Multi-Platform Support |
|---|---|---|
| EnergyPlus | Various transient systems | Able |
| IESVE | Linear and steady-state systems | Able |
| DeST | Linear and steady-state systems | Not able |
| Type | Classification |
|---|---|
| Orientation | South, North, East, West |
| Number of floors | 1, 2 |
| Roof form | Flat roof, pitched roof |
| Exterior wall cladding material | Ceramic tile, cement, brick |
| Number | 1 | 2 | 3 |
| Plan | ![]() | ![]() | ![]() |
| Number | 4 | 5 | 6 |
| Plan | ![]() | ![]() | ![]() |
| Number | 7 | 8 | 9 |
| Plan | ![]() | ![]() | ![]() |
| Number | 10 | 11 | |
| Plan | ![]() | ![]() | |
| Element | Range |
|---|---|
| Length (m) | 9.2–12.3 |
| Width (m) | 6.0–7.7 |
| Floor height (m) | 2.7–3.9 |
| WWR Front | 12–47% |
| WWR Rear | 7–44% |
| Orientation | East, West, South, North |
| Number of floors | 1, 2 |
| Exterior wall cladding material | Ceramic tile, cement, brick |
| Roof type | Pitched roof, flat roof, color steel roof |
| Window material | Wooden single glass, aluminum alloy single glass |
| Time | Air Temperature (°C) | Relative Humidity (%) | Wind Speed (m/s) | Global Radiation (W/m2) | Mean Radiant Temperature (°C) |
|---|---|---|---|---|---|
| 23 December | 1.76 | 71.72 | 1.21 | 23.87 | 1.76 |
| 23 June | 26.56 | 54.42 | 1.79 | 250.93 | 26.56 |
| Material | Thickness (mm) | Thermal Conductivity (W/mK) | Density (kg/m3) | Specific Heat Capacity (J/kgK) |
|---|---|---|---|---|
| Brick | 240 | 0.510 | 1440 | 1050 |
| Concrete | 100 | 0.770 | 2000 | 960 |
| Steel | - | 58.200 | 7850 | 480 |
| Ceramic tile | 20 | 1.990 | 2700 | 2600 |
| Cement | 20 | 0.870 | 1700 | 1050 |
| EPS (Insulation board) | 20 | 0.039 | 20 | 1380 |
| Material | Thermal Conductivity (W/mK) | Total Solar Transmittance | Visible Light Transmittance |
|---|---|---|---|
| Wooden single glass | 4.600 | 0.82 | 0.77 |
| Aluminum alloy single glass | 4.300 | 0.82 | 0.77 |
| Wooden double glass | 2.800 | 0.75 | 0.71 |
| Aluminum alloy double glass | 2.400 | 0.75 | 0.71 |
| Feature | Parameter | |
|---|---|---|
| Age | 60 | |
| Gender | Male | |
| Height (cm) | 175 | |
| Weight (kg) | 75 | |
| Metabolic rate (met) | 1.2 | |
| Clothing thermal resistance (Clo) | Winter | 1.51 |
| Summer | 0.36 | |
| Indicator | Value | |
|---|---|---|
| Number of rooms | 9 | |
| Number of main rooms | Living room | 1 |
| Bedroom | 2 | |
| Number of auxiliary rooms | Kitchen | 1 |
| Washroom | 1 | |
| Storeroom | 4 | |
| Length (m) | 10.0 | |
| Width (m) | 6.0 | |
| Homestead area (m2) | 180.0 | |
| Building area (m2) | 120.0 | |
| Gross floor area (m2) | 60.0 | |
| Courtyard area (m2) | 84.0 | |
| Main room area (m2) | Living room | 24.0 |
| Bedroom 1 | 18.0 | |
| Bedroom 2 | 18.0 | |
| Auxiliary room area (m2) | Kitchen | 12.0 |
| Washroom | 6.0 | |
| Storeroom | 78.0 | |
| Building floors | 2 | |
| Floor height (m) | 3.0 | |
| Building height (m) | 6.0 | |
| Roof form | Flat roof | |
| Building orientation | South | |
| Window-to-wall ratio | East | 0 |
| West | 0 | |
| South | 20% | |
| North | 10% | |
| Building structure | Brick–concrete structure | |
| Exterior wall cladding material | Ceramic tile | |
| Window material | Wooden single glass | |
| Insulation | - | |
| Indicators | Variables |
|---|---|
| Orientation | South, North, East, West |
| Floor height (m) | 3.0, 3.6 |
| Roof form | Flat roof, color steel roof |
| Exterior wall cladding material | Ceramic tile, cement |
| Insulation layer | None, internal insulation, external insulation |
| Window-to-wall ratio | 20%S10%N, 30%S10%N, 40%S10%N, 20%S20%N, 30%S20%N, 40%S20%N |
| Window material | Wooden single glass, aluminum alloy single glass, wooden double glass, aluminum alloy double glass |
| Indicators | Variables | Twi (°C) | Tsi (°C) | ΔTw (°C) | ΔTs (°C) | ΔT (°C) |
|---|---|---|---|---|---|---|
| Orientation | South | 3.89 | 31.50 | 0.00 | 0.00 | 0.00 |
| North | 3.74 | 31.35 | −0.16 | −0.14 | −0.01 | |
| East | 3.76 | 32.24 | −0.13 | 0.74 | −0.87 | |
| West | 3.89 | 33.35 | 0.00 | 1.85 | −1.85 | |
| Floor height | 3.0 m | 3.89 | 31.50 | 0.00 | 0.00 | 0.00 |
| 3.6 m | 3.42 | 31.30 | −0.47 | −0.19 | −0.28 | |
| Roof form | Flat roof | 3.89 | 31.50 | 0.00 | 0.00 | 0.00 |
| Color steel roof | 4.09 | 30.87 | 0.20 | −0.62 | 0.82 | |
| Exterior wall cladding material | Ceramic tile | 3.89 | 31.50 | 0.00 | 0.00 | 0.00 |
| Cement | 4.13 | 31.73 | 0.24 | 0.23 | 0.01 | |
| Insulation layer | None | 3.89 | 31.50 | 0.00 | 0.00 | 0.00 |
| Internal insulation | 5.45 | 32.24 | 1.55 | 0.75 | 0.81 | |
| External insulation | 5.80 | 31.72 | 1.91 | 0.22 | 1.69 | |
| Window-to-wall ratio | 20%S10%N | 3.89 | 31.50 | 0.00 | 0.00 | 0.00 |
| 30%S10%N | 4.02 | 31.68 | 0.13 | 0.18 | −0.05 | |
| 40%S10%N | 4.56 | 31.85 | 0.66 | 0.36 | 0.31 | |
| 20%S20%N | 3.88 | 31.41 | −0.01 | −0.08 | 0.07 | |
| 30%S20%N | 3.97 | 31.62 | 0.08 | 0.12 | −0.04 | |
| 40%S20%N | 4.50 | 31.88 | 0.61 | 0.38 | 0.23 | |
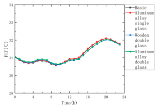
| Window material | Wooden single glass | 3.89 | 31.50 | 0.00 | 0.00 | 0.00 |
| Aluminum alloy single glass | 3.92 | 31.53 | 0.03 | 0.02 | 0.01 | |
| Wooden double glass | 3.98 | 31.47 | 0.09 | −0.03 | 0.11 | |
| Aluminum alloy double glass | 4.02 | 31.50 | 0.13 | 0.00 | 0.13 |
| Indicators | Variables |
|---|---|
| Length (m) | 9.0, 9.9, 10.8, 11.7, 12.6 |
| Width (m) | 6.0, 6.3, 6.6, 6.9, 7.2, 7.5, 7.8 |
| Floor height (m) | 2.7, 3.0, 3.3, 3.6, 3.9 |
| Insulation layer thickness (mm) | 20, 40, 60 |
| WWR South | 10%, 20%, 30%, 40% |
| WWR North | 10%, 20%, 30%, 40% |
| Length (m) | Width (m) | Floor Height (m) | Insulation Layer Thickness (mm) | WWR South | WWR North | Twi (°C) |
|---|---|---|---|---|---|---|
| 12.6 | 7.8 | 2.7 | 60 | 10% | 10% | 11.04 |
| 12.6 | 7.8 | 2.7 | 60 | 40% | 10% | 10.97 |
| 12.6 | 7.8 | 2.7 | 60 | 20% | 10% | 10.94 |
| 12.6 | 7.5 | 2.7 | 60 | 10% | 10% | 10.94 |
| 11.7 | 7.8 | 2.7 | 60 | 10% | 10% | 10.94 |
| 12.6 | 7.8 | 2.7 | 60 | 30% | 10% | 10.85 |
| 12.6 | 7.5 | 2.7 | 60 | 20% | 10% | 10.84 |
| 11.7 | 7.8 | 2.7 | 60 | 20% | 10% | 10.84 |
| 11.7 | 7.5 | 2.7 | 60 | 10% | 10% | 10.83 |
| 10.8 | 7.8 | 2.7 | 60 | 10% | 10% | 10.83 |
| Length (m) | Width (m) | Floor Height (m) | Insulation Layer Thickness (mm) | WWR South | WWR North | Tsi (°C) |
|---|---|---|---|---|---|---|
| 9 | 7.8 | 3.9 | 60 | 10% | 10% | 30.87 |
| 9 | 7.5 | 3.9 | 60 | 10% | 10% | 30.87 |
| 9 | 6 | 3.3 | 60 | 10% | 10% | 30.87 |
| 9 | 6 | 3.9 | 60 | 10% | 10% | 30.87 |
| 9 | 7.2 | 3.9 | 60 | 10% | 10% | 30.87 |
| 9 | 6 | 3.6 | 60 | 10% | 10% | 30.87 |
| 9 | 7.8 | 3.6 | 60 | 10% | 10% | 30.87 |
| 9 | 6.9 | 3.9 | 60 | 10% | 10% | 30.87 |
| 9 | 7.5 | 3.6 | 60 | 10% | 10% | 30.87 |
| 9 | 7.8 | 3.3 | 60 | 10% | 10% | 30.87 |
| Length (m) | Width (m) | Floor Height (m) | Insulation Layer Thickness (mm) | WWR South | WWR North | Twi (°C) | Tsi (°C) | ΔTw (°C) | ΔTs (°C) | ΔT (°C) |
|---|---|---|---|---|---|---|---|---|---|---|
| 12.6 | 7.8 | 2.7 | 60 | 10% | 10% | 11.04 | 30.97 | 4.17 | −0.66 | 4.82 |
| 11.7 | 7.8 | 2.7 | 60 | 10% | 10% | 10.94 | 30.95 | 4.06 | −0.67 | 4.73 |
| 12.6 | 7.5 | 2.7 | 60 | 10% | 10% | 10.94 | 30.96 | 4.06 | −0.66 | 4.72 |
| 10.8 | 7.8 | 2.7 | 60 | 10% | 10% | 10.83 | 30.94 | 3.95 | −0.68 | 4.63 |
| 11.7 | 7.5 | 2.7 | 60 | 10% | 10% | 10.83 | 30.95 | 3.96 | −0.67 | 4.63 |
| 12.6 | 7.2 | 2.7 | 60 | 10% | 10% | 10.82 | 30.96 | 3.95 | −0.66 | 4.61 |
| 10.8 | 7.5 | 2.7 | 60 | 10% | 10% | 10.72 | 30.94 | 3.85 | −0.69 | 4.53 |
| 9.9 | 7.8 | 2.7 | 60 | 10% | 10% | 10.71 | 30.92 | 3.83 | −0.70 | 4.53 |
| 11.7 | 7.2 | 2.7 | 60 | 10% | 10% | 10.73 | 30.95 | 3.85 | −0.67 | 4.52 |
| 12.6 | 6.9 | 2.7 | 60 | 10% | 10% | 10.70 | 30.96 | 3.83 | −0.66 | 4.49 |
| Indicator | Original Value | Optimization Value | |
|---|---|---|---|
| Number of rooms | 9 | 9 | |
| Number of main rooms | Living room | 1 | 1 |
| Bedroom | 2 | 2 | |
| Number of auxiliary rooms | Kitchen | 1 | 1 |
| Washroom | 1 | 1 | |
| Storeroom | 4 | 4 | |
| Length (m) | 10.0 | 12.6 | |
| Width (m) | 6.0 | 7.8 | |
| Homestead area (m2) | 180.0 | 249.5 | |
| Building area (m2) | 120.0 | 196.6 | |
| Gross floor area (m2) | 60.0 | 98.3 | |
| Courtyard area (m2) | 84.0 | 115.7 | |
| Main room area (m2) | Living room | 32.8 | 24.0 |
| Bedroom 1 | 32.8 | 18.0 | |
| Bedroom 2 | 32.8 | 18.0 | |
| Auxiliary room area (m2) | Kitchen | 12.0 | 12.0 |
| Washroom | 6.0 | 6.0 | |
| Storeroom | 116.3 | 78.0 | |
| Building floors | 2 | 2 | |
| Floor height (m) | 3.0 | 2.7 | |
| Building height (m) | 6.0 | 5.4 | |
| Roof form | Flat roof | Color steel roof | |
| Building orientation | South | South | |
| Window-to-wall ratio | East | 0 | 0 |
| West | 0 | 0 | |
| South | 20% | 10% | |
| North | 10% | 10% | |
| Building structure | Brick–concrete structure | Brick–concrete structure | |
| Exterior wall cladding material | Ceramic tile | Cement | |
| Window material | Wooden single glass | Aluminum alloy double glass | |
| Insulation | - | External insulation (60 mm) | |
Disclaimer/Publisher’s Note: The statements, opinions and data contained in all publications are solely those of the individual author(s) and contributor(s) and not of MDPI and/or the editor(s). MDPI and/or the editor(s) disclaim responsibility for any injury to people or property resulting from any ideas, methods, instructions or products referred to in the content. |
© 2023 by the authors. Licensee MDPI, Basel, Switzerland. This article is an open access article distributed under the terms and conditions of the Creative Commons Attribution (CC BY) license (https://creativecommons.org/licenses/by/4.0/).
Share and Cite
Qi, Y.; Li, X.; Wang, Y.; Zhou, D. Research on Indoor Thermal Environment Analysis and Optimization Strategy of Rural Dwellings around Xi’an Based on PET Evaluation. Sustainability 2023, 15, 7889. https://doi.org/10.3390/su15107889
Qi Y, Li X, Wang Y, Zhou D. Research on Indoor Thermal Environment Analysis and Optimization Strategy of Rural Dwellings around Xi’an Based on PET Evaluation. Sustainability. 2023; 15(10):7889. https://doi.org/10.3390/su15107889
Chicago/Turabian StyleQi, Yingtao, Xiaodi Li, Yupeng Wang, and Dian Zhou. 2023. "Research on Indoor Thermal Environment Analysis and Optimization Strategy of Rural Dwellings around Xi’an Based on PET Evaluation" Sustainability 15, no. 10: 7889. https://doi.org/10.3390/su15107889
APA StyleQi, Y., Li, X., Wang, Y., & Zhou, D. (2023). Research on Indoor Thermal Environment Analysis and Optimization Strategy of Rural Dwellings around Xi’an Based on PET Evaluation. Sustainability, 15(10), 7889. https://doi.org/10.3390/su15107889


























