Carbon Stock Assessment in Silvopastoral Systems along an Elevational Gradient: A Study from Cattle Producers in the Sumaco Biosphere Reserve, Ecuadorian Amazon
Abstract
1. Introduction
2. Materials and Methods
2.1. Geographic Setting
2.2. Bioclimatic Characteristics
2.3. Field Methods
2.3.1. Estimation of Aboveground Biomass and Carbon Content
2.3.2. Soil Carbon Stocks
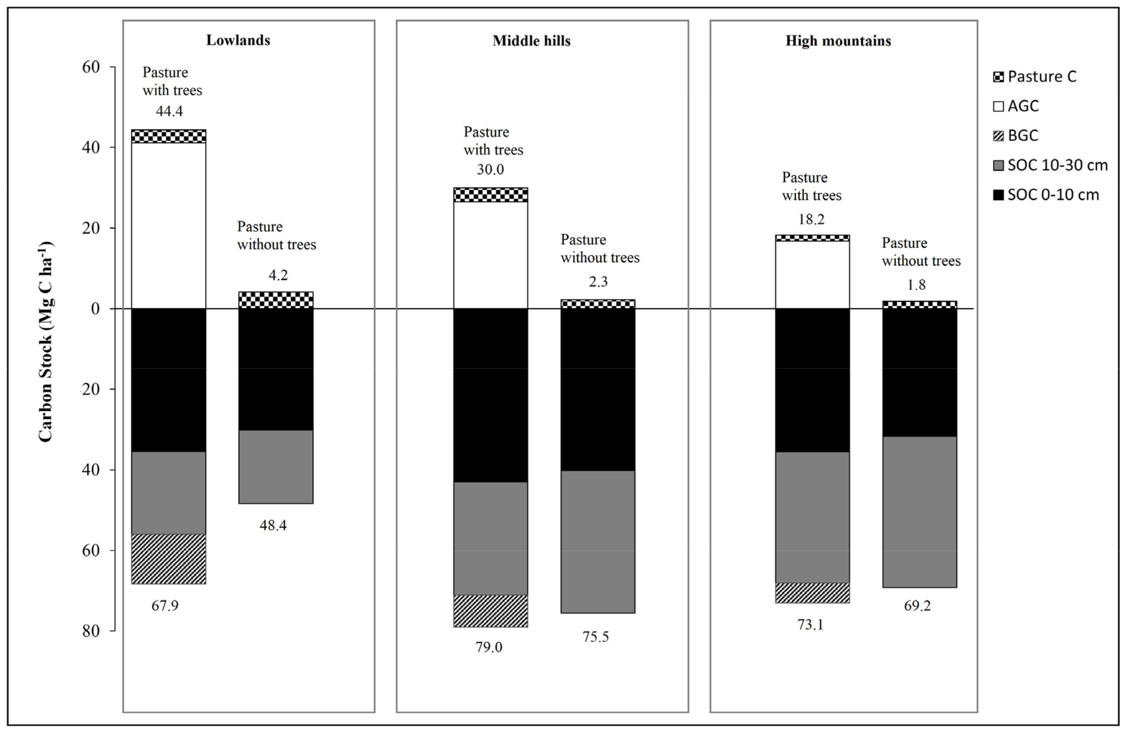
3. Results
3.1. Floristic Composition in Pasture with Dispersed Trees
3.2. Carbon Stock in Pasture with Dispersed Trees and Pasture in Monoculture System
3.3. Variation in Carbon Stock in Different Components along the Elevational Gradient
3.4. Biomass Important Value (BIV) of Dominant Tree Species in Pasture Systems
4. Discussion
4.1. Carbon Biomass
4.2. Dominant Tree Species
4.3. Soil Organic Carbon Pools
5. Conclusions
Author Contributions
Funding
Institutional Review Board Statement
Informed Consent Statement
Data Availability Statement
Acknowledgments
Conflicts of Interest
References
- Chapman, M.; Walker, W.S.; Cook-Patton, S.C.; Ellis, P.W.; Farina, M.; Griscom, B.W.; Baccini, A. Large Climate Mitigation Potential from Adding Trees to Agricultural Lands. Glob. Chang. Biol. 2020, 26, 4357–4365. [Google Scholar] [CrossRef] [PubMed]
- Munsell, J.F.; Fike, J.H.; Pent, G.J.; Frey, G.E.; Addlestone, B.J.; Downing, A.K. Thinning Forests or Planting Fields? Producer Preferences for Establishing Silvopasture. Agrofor. Syst. 2022, 96, 553–564. [Google Scholar]
- Smith, M.M.; Bentrup, G.; Kellerman, T.; MacFarland, K.; Straight, R.; Ameyaw, L.; Stein, S. Silvopasture in the USA: A Systematic Review of Natural Resource Professional and Producer-Reported Benefits, Challenges, and Management Activities. Agric. Ecosyst. Environ. 2022, 326, 107818. [Google Scholar] [CrossRef]
- Cusack, D.F.; Kazanski, C.E.; Hedgpeth, A.; Chow, K.; Cordeiro, A.L.; Karpman, J.; Ryals, R. Reducing Climate Impacts of Beef Production: A Synthesis of Life Cycle Assessments across Management Systems and Global Regions. Glob. Chang. Biol. 2021, 27, 1721–1736. [Google Scholar] [CrossRef] [PubMed]
- da Silveira Pontes, L.; Porfírio-da-Silva, V.; Moletta, J.L.; Telles, T.S. Long-Term Profitability of Crop-Livestock Systems, with and without Trees. Agric. Syst. 2021, 192, 103204. [Google Scholar] [CrossRef]
- Conway, A.; Nieman, C. Small-scale Silvopasture: Addressing Urban and Peri-urban Livestock Challenges in the United States with Agroforestry Practices. Urban Agric. Reg. Food Syst. 2022, 7, e20023. [Google Scholar] [CrossRef]
- Ferreiro-Domínguez, N.; Rodríguez-Rigueiro, F.J.; Rigueiro-Rodríguez, A.; González-Hernández, M.P.; Mosquera-Losada, M.R. Climate Change and Silvopasture: The Potential of the Tree and Weather to Modify Soil Carbon Balance. Sustainability 2022, 14, 4270. [Google Scholar] [CrossRef]
- Valipour, M.; Bateni, S.M.; Jun, C. Global Surface Temperature: A New Insight. Climate 2021, 9, 81. [Google Scholar] [CrossRef]
- McManus, C.M.; Lucci, C.M.; Maranhão, A.Q.; Pimentel, D.; Pimentel, F.; Paiva, S.R. Response to Heat Stress for Small Ruminants: Physiological and Genetic Aspects. Livest. Sci. 2022, 105028. [Google Scholar] [CrossRef]
- Thornton, P.; Nelson, G.; Mayberry, D.; Herrero, M. Increases in Extreme Heat Stress in Domesticated Livestock Species during the Twenty-first Century. Glob. Chang. Biol. 2021, 27, 5762–5772. [Google Scholar] [CrossRef]
- Choudhary, B.B.; Sirohi, S. Economic Losses in Dairy Farms Due to Heat Stress in Sub-Tropics: Evidence from North Indian Plains. J. Dairy Res. 2022, 1–7. [Google Scholar] [CrossRef] [PubMed]
- Zeppetello, L.R.V.; Cook-Patton, S.C.; Parsons, L.A.; Wolff, N.H.; Kroeger, T.; Battisti, D.S.; Bettles, J.; Spector, J.T.; Balakumar, A.; Masuda, Y.J. Consistent Cooling Benefits of Silvopasture in the Tropics. Nat. Commun. 2022, 13, 1–9. [Google Scholar]
- Huertas, S.M.; Bobadilla, P.E.; Alcántara, I.; Akkermans, E.; van Eerdenburg, F.J.C.M. Benefits of Silvopastoral Systems for Keeping Beef Cattle. Animals 2021, 11, 992. [Google Scholar] [CrossRef] [PubMed]
- Myers, N.; Mittermeier, R.A.; Mittermeier, C.G.; Da Fonseca, G.A.B.; Kent, J. Biodiversity Hotspots for Conservation Priorities. Nature 2000, 403, 853–858. [Google Scholar] [CrossRef] [PubMed]
- Mejía, E.; Pacheco, P.; Muzo, A.; Torres, B. Smallholders and Timber Extraction in the Ecuadorian Amazon: Amidst Market Opportunities and Regulatory Constraints. Int. For. Rev. 2015, 17, 38–50. [Google Scholar] [CrossRef]
- Raven, P.H.; Gereau, R.E.; Phillipson, P.B.; Chatelain, C.; Jenkins, C.N.; Ulloa Ulloa, C. The Distribution of Biodiversity Richness in the Tropics. Sci. Adv. 2020, 6, eabc6228. [Google Scholar] [CrossRef]
- Sierra, R. Patrones y Factores de Deforestación En El Ecuador Continental, 1990–2010. Y Un Acercamiento A Los Próximos 2013, 10, 57. [Google Scholar]
- Mena, C.F.; Bilsborrow, R.E.; McClain, M.E. Socioeconomic Drivers of Deforestation in the Northern Ecuadorian Amazon. Environ. Manag. 2006, 37, 802–815. [Google Scholar] [CrossRef]
- Trew, B.T.; Maclean, I.M.D. Vulnerability of Global Biodiversity Hotspots to Climate Change. Glob. Ecol. Biogeogr. 2021, 30, 768–783. [Google Scholar] [CrossRef]
- Torres, B.; Günter, S.; Acevedo-Cabra, R.; Knoke, T. Livelihood Strategies, Ethnicity and Rural Income: The Case of Migrant Settlers and Indigenous Populations in the Ecuadorian Amazon. For. Policy Econ. 2018, 86, 22–34. [Google Scholar] [CrossRef]
- Torres, B.; Andrade, V.; Heredia-R, M.; Toulkeridis, T.; Estupiñán, K.; Luna, M.; Bravo, C.; García, A. Productive Livestock Characterization and Recommendations for Good Practices Focused on the Achievement of the SDGs in the Ecuadorian Amazon. Sustainability 2022, 14, 10738. [Google Scholar] [CrossRef]
- Torres, B.; Eche, D.; Torres, Y.; Bravo, C.; Velasco, C.; García, A. Identification and Assessment of Livestock Best Management Practices (BMPs) Using the REDD+ Approach in the Ecuadorian Amazon. Agronomy 2021, 11, 1336. [Google Scholar] [CrossRef]
- MAATE Interactive Map of MAATE. Available online: http://ide.ambiente.gob.ec/mapainteractivo/ (accessed on 20 September 2022).
- Huntington, J.L.; Hegewisch, K.C.; Daudert, B.; Morton, C.G.; Abatzoglou, J.T.; McEvoy, D.J.; Erickson, T. Climate Engine: Cloud Computing and Visualization of Climate and Remote Sensing Data for Advanced Natural Resource Monitoring and Process Understanding. Bull. Am. Meteorol. Soc. 2017, 98, 2397–2410. [Google Scholar] [CrossRef]
- Chave, J.; Andalo, C.; Brown, S.; Cairns, M.A.; Chambers, J.Q.; Eamus, D.; Fölster, H.; Fromard, F.; Higuchi, N.; Kira, T. Tree Allometry and Improved Estimation of Carbon Stocks and Balance in Tropical Forests. Oecologia 2005, 145, 87–99. [Google Scholar] [CrossRef]
- Baker, T.R.; Phillips, O.L.; Malhi, Y.; Almeida, S.; Arroyo, L.; Di Fiore, A.; Erwin, T.; Killeen, T.J.; Laurance, S.G.; Laurance, W.F. Variation in Wood Density Determines Spatial Patterns InAmazonian Forest Biomass. Glob. Chang. Biol. 2004, 10, 545–562. [Google Scholar] [CrossRef]
- Van Breugel, M.; Ransijn, J.; Craven, D.; Bongers, F.; Hall, J.S. Estimating Carbon Stock in Secondary Forests: Decisions and Uncertainties Associated with Allometric Biomass Models. For. Ecol. Manag. 2011, 262, 1648–1657. [Google Scholar] [CrossRef]
- McGroddy, M.E.; Lerner, A.M.; Burbano, D.V.; Schneider, L.C.; Rudel, T.K. Carbon Stocks in Silvopastoral Systems: A Study from Four Communities in Southeastern Ecuador. Biotropica 2015, 47, 407–415. [Google Scholar] [CrossRef]
- IPCC Summary for Policymakers. In Global Warming of 1.5 °C. An IPCC Special Report on the Impacts of Global Warming of 1.5 °C above Pre-Industrial Levels and Related Global Greenhouse Gas Emission Pathways, in the Context of Strengthening the Global Response to; IPCC: Geneva, Switzerland, 2018.
- Torres, B.; Vasseur, L.; López, R.; Lozano, P.; García, Y.; Arteaga, Y.; Bravo, C.; Barba, C.; García, A. Structure and above Ground Biomass along an Elevation Small-Scale Gradient: Case Study in an Evergreen Andean Amazon Forest, Ecuador. Agrofor. Syst. 2020, 94, 1235–1245. [Google Scholar] [CrossRef]
- Blake, G.R.; Hartge, K.H. Particle Density. Methods Soil Anal. Part 1 Phys. Mineral. Methods 1986, 5, 377–382. [Google Scholar]
- Bravo, C.; Goyes-Vera, F.; Arteaga-Crespo, Y.; García-Quintana, Y.; Changoluisa, D. A Soil Quality Index for Seven Productive Landscapes in the Andean-Amazonian Foothills of Ecuador. L. Degrad. Dev. 2021, 32, 2226–2241. [Google Scholar] [CrossRef]
- Nelson, D.W.; Sommers, L. Total Carbon, Organic Carbon, and Organic Matter. Methods Soil Anal. Part 2 Chem. Microbiol. Prop. 1983, 9, 539–579. [Google Scholar]
- Salinas, N.; Malhi, Y.; Meir, P.; Silman, M.; Roman Cuesta, R.; Huaman, J.; Salinas, D.; Huaman, V.; Gibaja, A.; Mamani, M. The Sensitivity of Tropical Leaf Litter Decomposition to Temperature: Results from a Large-scale Leaf Translocation Experiment along an Elevation Gradient in Peruvian Forests. New Phytol. 2011, 189, 967–977. [Google Scholar] [CrossRef]
- Phillips, O.L.; Sullivan, M.J.P.; Baker, T.R.; Monteagudo Mendoza, A.; Vargas, P.N.; Vásquez, R. Species Matter: Wood Density Influences Tropical Forest Biomass at Multiple Scales. Surv. Geophys. 2019, 40, 913–935. [Google Scholar] [CrossRef]
- Pietsch, K.A.; Ogle, K.; Cornelissen, J.H.C.; Cornwell, W.K.; Bönisch, G.; Craine, J.M.; Jackson, B.G.; Kattge, J.; Peltzer, D.A.; Penuelas, J. Global Relationship of Wood and Leaf Litter Decomposability: The Role of Functional Traits within and across Plant Organs. Glob. Ecol. Biogeogr. 2014, 23, 1046–1057. [Google Scholar] [CrossRef]
- da Silva Neto, E.C.; Pereira, M.G.; Fernandes, J.C.F.; Corrêa Neto, T.A. Aggregate Formation and Soil Organic Matter under Different Vegetation in Atlantic Forest from Southeastern Brazil. Semin. Ci. Agr. 2016, 3927–3940. [Google Scholar] [CrossRef]
- Rodríguez, L.; Suárez, J.C.; Rodriguez, W.; Artunduaga, K.J.; Lavelle, P. Agroforestry Systems Impact Soil Macroaggregation and Enhance Carbon Storage in Colombian Deforested Amazonia. Geoderma 2021, 384, 114810. [Google Scholar] [CrossRef]
- Zhou, Y.; Singh, J.; Butnor, J.R.; Coetsee, C.; Boucher, P.B.; Case, M.F.; Hockridge, E.G.; Davies, A.B.; Staver, A.C. Limited Increases in Savanna Carbon Stocks over Decades of Fire Suppression. Nature 2022, 603, 445–449. [Google Scholar] [CrossRef]
- Mataix-Solera, J.; Cerdà, A. Los Efectos de Los Incendios Forestales En Los Suelos. Síntesis y Conclusiones. Nuevos Retos En La Investigación y En La Gestión. In Efectos los Incend. For. Sobre los Suelos en España. El Estado La Cuestión Visto por los Científicos Españoles; Universitat València: València, Spain, 2009; pp. 355–383. [Google Scholar]
- Feliciano, D.; Slee, B.; Hunter, C.; Smith, P. Estimating the Contribution of Rural Land Uses to Greenhouse Gas Emissions: A Case Study of North East Scotland. Environ. Sci. Policy 2013, 25, 36–49. [Google Scholar] [CrossRef]
- López-Santiago, J.G.; Casanova-Lugo, F.; Villanueva-López, G.; Díaz-Echeverría, V.F.; Solorio-Sánchez, F.J.; Martínez-Zurimendi, P.; Aryal, D.R.; Chay-Canul, A.J. Carbon Storage in a Silvopastoral System Compared to That in a Deciduous Dry Forest in Michoacán, Mexico. Agrofor. Syst. 2019, 93, 199–211. [Google Scholar] [CrossRef]
- Aynekulu, E.; Suber, M.; van Noordwijk, M.; Arango, J.; Roshetko, J.M.; Rosenstock, T.S. Carbon Storage Potential of Silvopastoral Systems of Colombia. Land 2020, 9. [Google Scholar] [CrossRef]
- Feliciano, D.; Sobenes, A. Stakeholders’ Perceptions of Factors Influencing Climate Change Risk in a Central America Hotspot. Reg. Environ. Chang. 2022, 22, 1–19. [Google Scholar] [CrossRef]
- Yang, Y.; Tilman, D.; Furey, G.; Lehman, C. Soil Carbon Sequestration Accelerated by Restoration of Grassland Biodiversity. Nat. Commun. 2019, 10, 1–7. [Google Scholar] [CrossRef]
- Murthy, I.K.; Gupta, M.; Tomar, S.; Munsi, M.; Tiwari, R.; Hegde, G.T.; Ravindranath, N.H. Carbon Sequestration Potential of Agroforestry Systems in India. J. Earth Sci. Clim. Chang. 2013, 4, 1–7. [Google Scholar] [CrossRef]
- Montagnini, F.; Ugalde, L.; Navarro, C. Growth Characteristics of Some Native Tree Species Used in Silvopastoral Systems in the Humid Lowlands of Costa Rica. Agrofor. Syst. 2003, 59, 163–170. [Google Scholar] [CrossRef]
- Jernigan, K. An Ethnobotanical Investigation of Tree Identification by the Aguaruna Jívaro of the Peruvian Amazon. J. Ethnobiol. 2006, 26, 107–125. [Google Scholar] [CrossRef]
- Álvarez, F.; Casanoves, F.; Suárez, J.C. Influence of Scattered Trees in Grazing Areas on Soil Properties in the Piedmont Region of the Colombian Amazon. PLoS One 2021, 16, e0261612. [Google Scholar] [CrossRef]
- Oza, M.J.; Kulkarni, Y.A. Traditional Uses, Phytochemistry and Pharmacology of the Medicinal Species of the Genus Cordia (Boraginaceae). J. Pharm. Pharmacol. 2017, 69, 755–789. [Google Scholar] [CrossRef]
- Salehi, B.; Prakash Mishra, A.; Nigam, M.; Karazhan, N.; Shukla, I.; Kiełtyka-Dadasiewicz, A.; Sawicka, B.; Głowacka, A.; Abu-Darwish, M.S.; Hussein Tarawneh, A. Ficus Plants: State of the Art from a Phytochemical, Pharmacological, and Toxicological Perspective. Phyther. Res. 2021, 35, 1187–1217. [Google Scholar] [CrossRef]
- Passos, B.G.; de Albuquerque, R.D.D.G.; Muñoz-Acevedo, A.; Echeverria, J.; Llaure-Mora, A.M.; Ganoza-Yupanqui, M.L.; Rocha, L. Essential Oils from Ocotea Species: Chemical Variety, Biological Activities and Geographic Availability. Fitoterapia 2021, 105065. [Google Scholar] [CrossRef]
- Palacios Bucheli, V.J.; Cárcamo Mallen, R.W.; Álvarez Macías, A.; Coral, C.; Bokelmann, W. Indigenous Family Labor in Agroforestry Systems in the Context of Global Transformations: The Case of the Inga and Camëntsá Communities in Putumayo, Colombia. Forests 2021, 12, 1503. [Google Scholar] [CrossRef]
- Huera-Lucero, T.; Salas-Ruiz, A.; Changoluisa, D.; Bravo-Medina, C. Towards Sustainable Urban Planning for Puyo (Ecuador): Amazon Forest Landscape as Potential Green Infrastructure. Sustainability 2020, 12, 4768. [Google Scholar] [CrossRef]
- Duchicela, J.; Valdivieso, A.; Prado-Vivar, B.; Arévalo-Granda, V.; Hickey-Darquea, A.; Hof, P. Diversity of Arbuscular Mycorrhizal Fungi in the Ecuadorian Amazon Region. In Mycorrhizal Fungi in South America; Springer: Berlin/Heidelberg, Germany, 2022; pp. 141–170. [Google Scholar]
- Lerner, A.M.; Rudel, T.K.; Schneider, L.C.; McGroddy, M.; Burbano, D.V.; Mena, C.F. The Spontaneous Emergence of Silvo-Pastoral Landscapes in the Ecuadorian Amazon: Patterns and Processes. Reg. Environ. Chang. 2015, 15, 1421–1431. [Google Scholar] [CrossRef]
- Deng, L.; Zhu, G.; Tang, Z.; Shangguan, Z. Global Patterns of the Effects of Land-Use Changes on Soil Carbon Stocks. Glob. Ecol. Conserv. 2016, 5, 127–138. [Google Scholar] [CrossRef]
- Tiessen, H.; Cuevas, E.; Chacon, P. The Role of Soil Organic Matter in Sustaining Soil Fertility. Nature 1994, 371, 783–785. [Google Scholar] [CrossRef]
- Bravo, C.; Torres, B.; Alemán, R.; Changoluisa, D.; Marín, H.; Reyes, H.; Navarrete, H. Soil Structure and Carbon Sequestration as Ecosytem Services under Different Land Uses in the Ecuadorian Amazon Region. In Proceedings of the Conference on Molecular, Biomedical & Computational Sciences and Engineering, Porto, Portugal, 15–17 June 2017; pp. 1–8. [Google Scholar]
- Lal, R. Sequestering Carbon and Increasing Productivity by Conservation Agriculture. J. Soil Water Conserv. 2015, 70, 55A–62A. [Google Scholar] [CrossRef]
- Gardi, C.; Jones, A.; Montanarella, L.; Vargas, R.; Cruz, C. Soil Atlas of Latin America: An Innovative Tool for Policy Development and Awareness Raising. 한국토양비료학회 학술발표회 초록집 2014, 540. [Google Scholar]
- Custode, E.; Sourdat, M. Paisajes y Suelos de La Amazonía Ecuatoriana: Entre La Conservación y La Explotación. Rev. Banco Cent. Ecuador 1986, 24, 325–339. [Google Scholar]




| Variables | Lowlands | Middle Hills | High Mountains |
|---|---|---|---|
| Elevation range (masl) | 400–700 | 701–1600 | 1601–2000 |
| Average elevation (masl) | 543.1 | 1114.1 | 1778.0 |
| Year of settlement | 1975 | 1984 | 1952 |
| Mean farm size (ha) | 47.3 | 62.4 | 35.2 |
| Mean pastureland (ha) | 26.81 | 27.20 | 22.52 |
| Total stock of adult cattle (heads) | 21.25 | 18.84 | 30.43 |
| Adult cattle unit/ha | 0.9 | 0.6 | 1.4 |
| Ethnicity (% Kichwa) | 0.0 | 56.1 | 0.0 |
| Cattle system | meat and dairy | meat and dairy | dairy |
| Mean annual rainfall | 5209 | 4728 | 2025 |
| Mean temperature (°C) | 35 | 33 | 26 |
| Number plots in PWT | 12 | 8 | 6 |
| Number plots in PM | 15 | 15 | 15 |
| Variable | masl | Total Average | p-Value 1 | ||
|---|---|---|---|---|---|
| Lowlands | Middle Hills | High Mountains | |||
| Ha−1 | |||||
| Richness (S) | 10.17 ± 3.21 a | 6.63 ± 2.72 ab | 5.53 ± 2.51 b | 7.96 ± 3.49 | *** |
| Stem density | 193 ± 97.23 a | 83.25 ± 38.33 b | 101.00 ± 41.54 b | 138.00 ± 87.50 | *** |
| Basal area (m2) | 8.67 ± 4.23 | 4.19 ± 3.65 | 6.03 ± 4.97 | 6.68 ± 4.53 | n/s |
| Average DBH (cm) | 20.32 ± 5.39 | 22.37 ± 11.82 | 22.85 ± 12.69 | 21.53 ± 9.24 | n/s |
| Maximal DBH (cm) | 27.78 | 40.67 | 41.54 | 41.54 | |
| Plot−1 (2860 m2) | |||||
| Stem density | 54.50 ± 27.48 a | 23.50 ± 10.86 b | 28.50 ± 11.74 b | 138.00 ± 87.50 | *** |
| Basal area (m2) | 2.45 ± 1.19 | 1.18 ± 1.03 | 1.70 ± 1.40 | 6.68 ± 4.53 | n/s |
| Variables | Lowlands N = 27 | Middle Hills N = 23 | High Mountains N = 21 | Total Average N = 71 | 1p-Value |
|---|---|---|---|---|---|
| Pasture with trees (PWT) | |||||
| AGBtrees (Mg ha−1) | 87.57 ± 45.31 a | 56.47 ± 43.57 ab | 35.73 ± 29.93 b | 66.03 ± 45.67 | ** |
| AGCtrees (Mg ha−1) | 41.14 ± 21.30 a | 26.54 ± 20.48 ab | 16.79 ± 14.07 b | 31.03 ± 21.46 | ** |
| BGBroots_trees (Mg ha−1) | 26.27 ± 13.59 a | 16.94 ± 13.07 ab | 10.71 ± 8.97 b | 19.81 ± 13.70 | ** |
| BGCroots_trees (Mg ha−1) | 12.34 ± 6.39 a | 7.96 ± 6.14 ab | 5.03 ± 4.22 b | 9.30 ± 6.44 | ** |
| AGBlitter+pasture (Mg/ha−1) | 6.55 ± 1.53 a | 6.92 ± 2.53 a | 2.85 ± 0.31 b | 5.80 ± 2.36 | *** |
| AGClitter+pasture (Mg/ha−1) | 3.27 ± 0.77 a | 3.46 ± 1.26 a | 1.43 ± 0.15 b | 2.90 ± 1.18 | *** |
| Csoil 0–10 cm | 35.44 ± 9.57 | 42.94 ± 13.85 | 35.52 ± 16.11 | 37.76 ± 12.58 | n/s |
| Csoil 10–30 cm | 20.60 ± 12.67 a | 28.10 ± 6.02 ab | 32.57 ± 12.10 b | 25.67 ± 11.64 | ** |
| Total carbon stock | 112.80 ± 41.51 a | 108.99 ± 31.43 a | 91.34 ± 28.46 a | 106.67 ± 35.68 | n/s |
| Pasture in monoculture (PM) | |||||
| AGBlitter+pasture (Mg/ha−1) | 8.36 ± 2.65 a | 4.54 ± 2.41 b | 3.68 ± 1.95 b | 5.52 ± 3.08 | *** |
| AGClitter+pasture (Mg/ha−1) | 4.18 ± 1.33 a | 2.27 ± 1.21 b | 1.84 ± 0.97 b | 2.76 ± 1.54 | *** |
| CSoil 0–10 cm | 30.08 ± 7.63 | 40.13 ± 16.15 | 31.61 ± 13.89 | 33.94 ± 13.52 | n/s |
| CSoil 10–30 cm | 18.27 ± 6.48 a | 35.41 ± 11.82 b | 37.60 ± 16.95 b | 30.42 ± 15.01 | *** |
| Total carbon stock | 52.53 ± 13.55 a | 77.80 ± 21.09 b | 71.04 ± 29.23 ab | 67.12 ± 24.26 | ** |
| Family | Species | N (%) | BA (%) | AGB (%) | BIV* (%) |
|---|---|---|---|---|---|
| Lowlands (400–700 masl) | |||||
| Bignoniaceae | Jacaranda copaia | 18.40 | 11.34 | 5.24 | 11.66 |
| Cordiaceae | Cordia alliodora | 1.74 | 8.09 | 11.47 | 7.10 |
| Vochysiaceae | Vochysia braceliniae | 9.72 | 6.36 | 4.52 | 6.87 |
| Myrtaceae | Psidium guajava | 5.56 | 6.95 | 7.66 | 6.72 |
| Melastomataceae | Miconia spp. | 4.17 | 4.85 | 5.93 | 4.98 |
| Myristicaceae | Virola flexuosa | 3.47 | 4.89 | 6.33 | 4.90 |
| Fabaceae | Piptadenia pteroclada | 2.78 | 3.74 | 4.74 | 3.75 |
| Urticaceae | Cecropia membranacea | 2.78 | 4.43 | 3.39 | 3.53 |
| Meliaceae | Cedrela odorata | 0.69 | 3.76 | 5.30 | 3.25 |
| Lauraceae | Ocotea spp. | 2.43 | 3.81 | 2.72 | 2.99 |
| Subtotal | 71.88 | 72.01 | 69.59 | 71.16 | |
| Middle hills (701–1600 masl) | |||||
| Lauraceae | Nectandra spp. | 8.66 | 10.82 | 17.74 | 12.41 |
| Moraceae | Ficus maxima | 1.40 | 11.93 | 18.45 | 10.59 |
| Cordiaceae | Cordia alliodora | 6.42 | 14.39 | 6.63 | 9.15 |
| Lauraceae | Ocotea spp. | 6.98 | 6.64 | 11.43 | 8.35 |
| Asteraceae | Piptocoma discolor | 8.94 | 7.21 | 7.60 | 7.91 |
| Fabaceae | Inga spp. | 11.17 | 5.75 | 3.55 | 6.83 |
| Burseraceae | Protium nodulosum | 3.91 | 4.94 | 4.67 | 4.51 |
| Burseraceae | Dacryodes peruviana | 4.47 | 4.77 | 3.70 | 4.31 |
| Meliaceae | Cedrela odorata | 8.66 | 2.82 | 1.39 | 4.29 |
| Myrtaceae | Psidium guajava | 5.59 | 0.97 | 0.66 | 2.41 |
| Subtotal | 66.20 | 70.24 | 75.81 | 70.75 | |
| High mountains (1601–2000 masl) | |||||
| Moraceae | Ficus sp. | 3.52 | 38.02 | 27.35 | 22.96 |
| Lauraceae | Nectandra spp. | 10.56 | 12.62 | 17.75 | 13.64 |
| Malvaceae | Heliocarpus americanus | 12.61 | 11.81 | 10.73 | 11.72 |
| Myrtaceae | Psidium guajava | 19.06 | 3.52 | 3.15 | 8.58 |
| Fabaceae | Inga spp. | 13.49 | 4.89 | 4.80 | 7.73 |
| Lauraceae | Ocotea spp. | 6.74 | 4.96 | 6.29 | 6.00 |
| Burseraceae | Dacryodes peruviana | 5.57 | 3.52 | 4.39 | 4.49 |
| Meliaceae | Cedrela montana | 1.17 | 4.34 | 6.13 | 3.88 |
| Moraceae | Brosimum sp. | 0.59 | 2.36 | 4.48 | 2.47 |
| Arecaceae | Wettinia sp. | 5.87 | 0.57 | 0.26 | 2.23 |
| Subtotal | 79.18 | 86.61 | 85.34 | 83.71 | |
Disclaimer/Publisher’s Note: The statements, opinions and data contained in all publications are solely those of the individual author(s) and contributor(s) and not of MDPI and/or the editor(s). MDPI and/or the editor(s) disclaim responsibility for any injury to people or property resulting from any ideas, methods, instructions or products referred to in the content. |
© 2022 by the authors. Licensee MDPI, Basel, Switzerland. This article is an open access article distributed under the terms and conditions of the Creative Commons Attribution (CC BY) license (https://creativecommons.org/licenses/by/4.0/).
Share and Cite
Torres, B.; Bravo, C.; Torres, A.; Tipán-Torres, C.; Vargas, J.C.; Herrera-Feijoo, R.J.; Heredia-R, M.; Barba, C.; García, A. Carbon Stock Assessment in Silvopastoral Systems along an Elevational Gradient: A Study from Cattle Producers in the Sumaco Biosphere Reserve, Ecuadorian Amazon. Sustainability 2023, 15, 449. https://doi.org/10.3390/su15010449
Torres B, Bravo C, Torres A, Tipán-Torres C, Vargas JC, Herrera-Feijoo RJ, Heredia-R M, Barba C, García A. Carbon Stock Assessment in Silvopastoral Systems along an Elevational Gradient: A Study from Cattle Producers in the Sumaco Biosphere Reserve, Ecuadorian Amazon. Sustainability. 2023; 15(1):449. https://doi.org/10.3390/su15010449
Chicago/Turabian StyleTorres, Bolier, Carlos Bravo, Alexandra Torres, Cristhian Tipán-Torres, Julio C. Vargas, Robinson J. Herrera-Feijoo, Marco Heredia-R, Cecilio Barba, and Antón García. 2023. "Carbon Stock Assessment in Silvopastoral Systems along an Elevational Gradient: A Study from Cattle Producers in the Sumaco Biosphere Reserve, Ecuadorian Amazon" Sustainability 15, no. 1: 449. https://doi.org/10.3390/su15010449
APA StyleTorres, B., Bravo, C., Torres, A., Tipán-Torres, C., Vargas, J. C., Herrera-Feijoo, R. J., Heredia-R, M., Barba, C., & García, A. (2023). Carbon Stock Assessment in Silvopastoral Systems along an Elevational Gradient: A Study from Cattle Producers in the Sumaco Biosphere Reserve, Ecuadorian Amazon. Sustainability, 15(1), 449. https://doi.org/10.3390/su15010449

